Estimates of Genomic Heritability and the Marker-Derived Gene for Re(Production) Traits in Xinggao Sheep
Abstract
1. Introduction
2. Materials and Methods
2.1. Animals Used and Obtaining Phenotypes
2.2. Statistical Analysis
2.3. Estimation of Genetic Parameters
2.4. Genotypic Data
2.5. Genotyping Analysis and Data Quality Control
2.6. Genome-Wide Association Study
2.7. Identifying Candidate Gene
3. Results
3.1. Genetic Parameter Estimates for Phenotypes
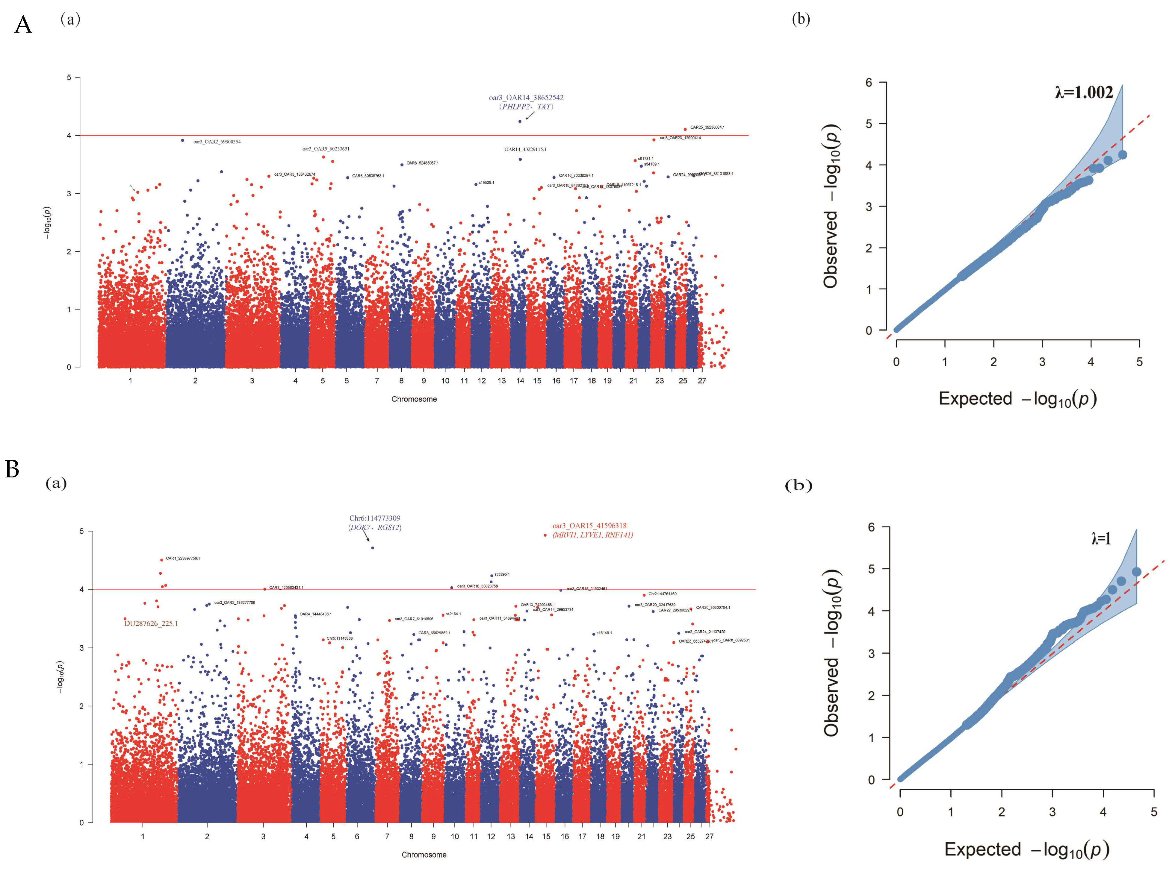
3.2. Genome-Wide Association Study
4. Discussion
4.1. Genetic Parameter Estimates for Phenotypes
4.2. Genome-Wide Association Study
5. Conclusions
Author Contributions
Funding
Institutional Review Board Statement
Informed Consent Statement
Data Availability Statement
Acknowledgments
Conflicts of Interest
References
- Kijas, J.W.; Lenstra, J.A.; Hayes, B.; Boitard, S.; Porto Neto, L.R.; San Cristobal, M.; Servin, B.; McCulloch, R.; Whan, V.; Gietzen, K.; et al. Genome-Wide Analysis of the World’s Sheep Breeds Reveals High Levels of Historic Mixture and Strong Recent Selection. PLoS Biol. 2012, 10, e1001258. [Google Scholar] [CrossRef]
- Tang, J. Study on Screening Polytocous Candidate Genes in Sheep Based Transcriptome Sequencing and Proteomics. Ph.D. Thesis, Chinese Academy of Agricultural Sciences, Beijing, China, 2019. [Google Scholar]
- National Sheep Genetic Improvement Program (2021–2035). Anim. Agric. 2016, 6–8.
- Wei, C.; Wang, H.; Liu, G.; Wu, M.; Cao, J.; Liu, Z.; Liu, R.; Zhao, F.; Zhang, L.; Lu, J.; et al. Genome-Wide Analysis Reveals Population Structure and Selection in Chinese Indigenous Sheep Breeds. BMC Genom. 2015, 16, 194. [Google Scholar] [CrossRef] [PubMed]
- He, X.; Liu, X.; Dalai; Chen, M.; Fu, S.; Qi, Y.; Wang, B.; Liu, Y. Analysis on Lambing Performance and Feeding Benefit of Xing′an Multi-Lamb Sheep. Anim. Husb. Feed Sci. 2021, 42, 56–59. [Google Scholar]
- Chen, T.; Wang, L.; Li, Q.; Long, Y.; Lin, Y.; Yin, J.; Zeng, Y.; Huang, L.; Yao, T.; Abbasi, M.N.; et al. Functional Probiotics of Lactic Acid Bacteria from Hu Sheep Milk. BMC Microbiol. 2020, 20, 228. [Google Scholar] [CrossRef] [PubMed]
- EEr, H.; Ma, L.; Xie, X.; Ma, J.; Ma, X.; Yue, C.; Ma, Q.; Liang, X.; Ding, W.; Li, Y. Genetic Polymorphism Association Analysis of SNPs on the Species Conservation Genes of Tan Sheep and Hu Sheep. Trop. Anim. Health Prod. 2020, 52, 915–926. [Google Scholar] [CrossRef]
- Zhang, X.; Xu, B.; Lv, J.; Zhang, Y. Effect on Embryo Transfer of East Friesland. Guansu Anim. Vet. Sci. 2007, 37, 29–30. [Google Scholar]
- Song, Y.; An, X.; Zhang, L.; Zhang, X.; Sun, Y.; Bai, Q.; Zhou, Z.; Cao, B. Overview of the Dairy Sheep Industry and the Prospect Analysis of Chinese Dairy Sheep Industry. China Dairy 2019, 8, 16–21. [Google Scholar]
- Yuan, T.; Zhu, Y.; Shi, M.; Li, T.; Li, N.; Wu, G.; Bazer, F.W.; Zang, J.; Wang, F.; Wang, J. Within-Litter Variation in Birth Weight: Impact of Nutritional Status in the Sow. J. Zhejiang Univ. Sci. B 2015, 16, 417–435. [Google Scholar] [CrossRef]
- Hagan, J.K.; Etim, N.N. The Effects of Breed, Season and Parity on the Reproductive Performance of Pigs Reared under Hot and Humid Environments. Trop. Anim. Health Prod. 2019, 51, 411–418. [Google Scholar] [CrossRef]
- Amou Posht-e-Masari, H.; Shadparvar, A.A.; Ghavi Hossein-Zadeh, N.; Hadi Tavatori, M.H. Estimation of Genetic Parameters for Reproductive Traits in Shall Sheep. Trop. Anim. Health Prod. 2013, 45, 1259–1263. [Google Scholar] [CrossRef]
- Lupi, T.M.; León, J.M.; Nogales, S.; Barba, C.; Delgado, J.V. Genetic Parameters of Traits Associated with the Growth Curve in Segureña Sheep. Animal 2016, 10, 729–735. [Google Scholar] [CrossRef]
- Murphy, T.W.; Berger, Y.M.; Holman, P.W.; Baldin, M.; Burgett, R.L.; Thomas, D.L. Estimates of Genetic Parameters, Genetic Trends, and Inbreeding in a Crossbred Dairy Sheep Research Flock in the United States. J. Anim. Sci. 2017, 95, 4300–4309. [Google Scholar] [CrossRef]
- Wei, C.; Luo, H.; Zhao, B.; Tian, K.; Huang, X.; Wang, Y.; Fu, X.; Tian, Y.; Di, J.; Xu, X.; et al. The Effect of Integrating Genomic Information into Genetic Evaluations of Chinese Merino Sheep. Animals 2020, 10, 569. [Google Scholar] [CrossRef]
- Gebreselassie, G.; Berihulay, H.; Jiang, L.; Ma, Y. Review on Genomic Regions and Candidate Genes Associated with Economically Important Production and Reproduction Traits in Sheep (Ovies Aries). Animals 2019, 10, 33. [Google Scholar] [CrossRef] [PubMed]
- Miao, X.; Luo, Q. Genome-Wide Transcriptome Analysis between Small-Tail Han Sheep and the Surabaya Fur Sheep Using High-Throughput RNA Sequencing. Reproduction 2013, 145, 587–596. [Google Scholar] [CrossRef] [PubMed]
- Tao, L.; He, X.Y.; Wang, F.Y.; Pan, L.X.; Wang, X.Y.; Gan, S.Q.; Di, R.; Chu, M.X. Identification of Genes Associated with Litter Size Combining Genomic Approaches in Luzhong Mutton Sheep. Anim. Genet. 2021, 52, 545–549. [Google Scholar] [CrossRef]
- Piper, L.R.; Bindon, B.M. The Booroola Merino and the Performance of Medium Non-Peppin Crosses at Armidale; Wool Technology & Sheep Breeding: Tubbul, NSW, Australia, 1982; Volume 31, p. 14. [Google Scholar]
- Galloway, S.M.; McNatty, K.P.; Cambridge, L.M.; Laitinen, M.P.; Juengel, J.L.; Jokiranta, T.S.; McLaren, R.J.; Luiro, K.; Dodds, K.G.; Montgomery, G.W.; et al. Mutations in an Oocyte-Derived Growth Factor Gene (BMP15) Cause Increased Ovulation Rate and Infertility in a Dosage-Sensitive Manner. Nat. Genet. 2000, 25, 279–283. [Google Scholar] [CrossRef] [PubMed]
- Hanrahan, J.P.; Gregan, S.M.; Mulsant, P.; Mullen, M.; Davis, G.H.; Powell, R.; Galloway, S.M. Mutations in the Genes for Oocyte-Derived Growth Factors GDF9 and BMP15 Are Associated with both Increased Ovulation Rate and Sterility in Cambridge and Belclare Sheep (Ovis Aries). Biol. Reprod. 2004, 70, 900–909. [Google Scholar] [CrossRef]
- Drouilhet, L.; Mansanet, C.; Sarry, J.; Tabet, K.; Bardou, P.; Woloszyn, F.; Lluch, J.; Harichaux, G.; Viguié, C.; Monniaux, D.; et al. The Highly Prolific Phenotype of Lacaune Sheep Is Associated with an Ectopic Expression of the B4GALNT2 Gene within the Ovary. PLoS Genet. 2013, 9, e1003809. [Google Scholar] [CrossRef] [PubMed]
- Xu, S.-S.; Gao, L.; Xie, X.-L.; Ren, Y.-L.; Shen, Z.-Q.; Wang, F.; Shen, M.; Eyϸórsdóttir, E.; Hallsson, J.H.; Kiseleva, T.; et al. Genome-Wide Association Analyses Highlight the Potential for Different Genetic Mechanisms for Litter Size among Sheep Breeds. Front. Genet. 2018, 9, 118. [Google Scholar] [CrossRef] [PubMed]
- Ayalew, W.; Aliy, M.; Negussie, E. Estimation of Genetic Parameters of the Productive and Reproductive Traits in Ethiopian Holstein Using Multi-Trait Models. Asian-Australas J. Anim. Sci. 2017, 30, 1550–1556. [Google Scholar] [CrossRef] [PubMed]
- Madsen, P.; Jensen, J. A Package for Analysing Multivariate Mixed Models; Version 6, Release 5.2.; Center for Quantitative Genetics and Genomics Dept. of Molecular Biology and Genetics, University of Aarhus Research Centre: Tjele, Denmark, 2013. [Google Scholar]
- Asadi-Fozi, M.; Bradford, H.L.; Notter, D.R. Direct and Correlated Responses to Selection for Autumn Lambing in Sheep. Genet. Sel. Evol. 2020, 52, 56. [Google Scholar] [CrossRef]
- Chen, T.; Zhang, H.; Liu, Y.; Liu, Y.-X.; Huang, L. EVenn: Easy to Create Repeatable and Editable Venn Diagrams and Venn Networks Online. J. Genet. Genom. 2021, 48, 863–866. [Google Scholar] [CrossRef]
- Purcell, S.; Neale, B.; Todd-Brown, K.; Thomas, L.; Ferreira, M.A.R.; Bender, D.; Maller, J.; Sklar, P.; de Bakker, P.I.W.; Daly, M.J.; et al. PLINK: A Tool Set for Whole-Genome Association and Population-Based Linkage Analyses. Am. J. Hum. Genet. 2007, 81, 559–575. [Google Scholar] [CrossRef] [PubMed]
- Graffelman, J.; Jain, D.; Weir, B. A Genome-Wide Study of Hardy–Weinberg Equilibrium with next Generation Sequence Data. Hum. Genet. 2017, 136, 727–741. [Google Scholar] [CrossRef]
- Bradbury, P.J.; Zhang, Z.; Kroon, D.E.; Casstevens, T.M.; Ramdoss, Y.; Buckler, E.S. TASSEL: Software for Association Mapping of Complex Traits in Diverse Samples. Bioinformatics 2007, 23, 2633–2635. [Google Scholar] [CrossRef] [PubMed]
- Sahana, G.; Guldbrandtsen, B.; Bendixen, C.; Lund, M.S. Genome-Wide Association Mapping for Female Fertility Traits in Danish and Swedish Holstein Cattle. Anim. Genet. 2010, 41, 579–588. [Google Scholar] [CrossRef]
- Zamani, P.; Mohammadi, H.; Mirhoseini, S.Z. Genome-Wide Association Study and Genomic Heritabilities for Blood Protein Levels in Lori-Bakhtiari Sheep. Sci. Rep. 2021, 11, 23771. [Google Scholar] [CrossRef]
- Devlin, B.; Roeder, K.; Wasserman, L. Genomic Control, a New Approach to Genetic-Based Association Studies. Theor. Popul. Biol. 2001, 60, 155–166. [Google Scholar] [CrossRef]
- Orenge, J.S.K.; Ilatsia, E.D.; Kosgey, I.S.; Kahi, A.K. Genetic and Phenotypic Parameters and Annual Trends for Growth and Fertility Traits of Charolais and Hereford Beef Cattle Breeds in Kenya. Trop. Anim. Health Prod. 2009, 41, 767–774. [Google Scholar] [CrossRef] [PubMed]
- Abdoli, R.; Zamani, P.; Mirhoseini, S.; Ghavi Hossein-Zadeh, N.; Nadri, S. A Review on Prolificacy Genes in Sheep. Reprod. Dom. Anim. 2016, 51, 631–637. [Google Scholar] [CrossRef]
- Murphy, T.W.; Keele, J.W.; Freking, B.A. Genetic and Nongenetic Factors Influencing Ewe Prolificacy and Lamb Body Weight in a Closed Romanov Flock. J. Anim. Sci. 2020, 98, skaa283. [Google Scholar] [CrossRef]
- Schmidová, J.; Milerski, M.; Svitáková, A.; Vostrý, L. Effects of Service Ram on Litter Size in Romanov Sheep. Small Rumin. Res. 2016, 141, 56–62. [Google Scholar] [CrossRef]
- Schmidová, J.; Milerski, M.; Svitaková, A.; Vostrý, L.; Novotná, A. Estimation of Genetic Parameters for Litter Size in Charollais, Romney, Merinolandschaf, Romanov, Suffolk, Šumava and Texel Breeds of Sheep. Small Rumin. Res. 2014, 119, 33–38. [Google Scholar] [CrossRef]
- Safari, E.; Fogarty, N.M.; Gilmour, A.R.; Atkins, K.D.; Mortimer, S.I.; Swan, A.A.; Brien, F.D.; Greeff, J.C.; van der Werf, J.H.J. Across Population Genetic Parameters for Wool, Growth, and Reproduction Traits in Australian Merino Sheep. Estimates of Heritability and Variance Components. Aust. J. Agric. Res. 2007, 58, 177. [Google Scholar] [CrossRef]
- Janssens, S.; Vandepitte, W.; Bodin, L. Genetic Parameters for Litter Size in Sheep: Natural versus Hormone-Induced Oestrus. Genet. Sel. Evol. 2004, 36, 543–562. [Google Scholar] [CrossRef]
- Heba, A.A.E.-H.; Metawi, H.R.; Adenaike, A.S.; Shimma, M.E.-K.; Anous, M.R.; Sunday, O.P.; Khattab, A.S. Genetic Parameters, Phenotypic and Genetic Trends of Litter Size on Different Breeds of Goats in Egypt. Trop. Anim. Health Prod. 2021, 53, 286. [Google Scholar] [CrossRef] [PubMed]
- Hanford, K.J.; Van Vleck, L.D.; Snowder, G.D. Estimates of Genetic Parameters and Genetic Change for Reproduction, Weight, and Wool Characteristics of Targhee Sheep. J. Anim. Sci. 2003, 81, 630–640. [Google Scholar] [CrossRef]
- Khattab, A.S.; Peters, S.O.; Adenaike, A.S.; Sallam, A.A.M.; Atya, M.M.; Ahmed, H.A. Phenotypic and Genetic Parameters of Productive Traits in Rahmani and Romanov Sheep and Crossbreds. J. Anim. Sci. Technol. 2021, 63, 1211–1222. [Google Scholar] [CrossRef] [PubMed]
- Lalit; Malik, Z.S.; Dalal, D.S.; Dahiya, S.P.; Patil, C.S.; Dahiya, R. Genetic Analysis of Growth Traits in Harnali Sheep. Vet. World 2016, 9, 128–132. [Google Scholar] [CrossRef] [PubMed]
- Mohammadi, A.; Latifi, M. Autosomal and Sex-Linked (Co)Variance Components and Genetic Parameters for Growth Traits of Iranian Zandi Sheep. Trop. Anim. Health Prod. 2020, 52, 1023–1032. [Google Scholar] [CrossRef]
- Sánchez-Dávila, F.; Bernal-Barragán, H.; Padilla-Rivas, G.; Del Bosque-González, A.S.; Vázquez-Armijo, J.F.; Ledezma-Torres, R.A. Environmental Factors and Ram Influence Litter Size, Birth, and Weaning Weight in Saint Croix Hair Sheep under Semi-Arid Conditions in Mexico. Trop. Anim. Health Prod. 2015, 47, 825–831. [Google Scholar] [CrossRef] [PubMed]
- Safari, E.; Fogarty, N.M.; Gilmour, A.R.; Atkins, K.D.; Mortimer, S.I.; Swan, A.A.; Brien, F.D.; Greeff, J.C.; van der Werf, J.H.J. Genetic Correlations among and between Wool, Growth and Reproduction Traits in Merino Sheep. J. Anim. Breed. Genet. 2007, 124, 65–72. [Google Scholar] [CrossRef]
- Georges, M.; Charlier, C.; Hayes, B. Harnessing Genomic Information for Livestock Improvement. Nat. Rev. Genet. 2019, 20, 135–156. [Google Scholar] [CrossRef] [PubMed]
- Zhao, H.; Tian, R.; Xia, H.; Li, C.; Li, G.; Li, A.; Zhang, X.; Zhou, X.; Ma, J.; Huang, H.; et al. High-Density Genetic Variation Map Reveals Key Candidate Loci and Genes Associated With Important Agronomic Traits in Peanut. Front. Genet. 2022, 13, 845602. [Google Scholar] [CrossRef] [PubMed]
- He, Y.; Xu, S.; Jia, C.; Jin, L. A Design of Multi-Source Samples as a Shared Control for Association Studies in Genetically Stratified Populations. Cell. Res. 2009, 19, 913–915. [Google Scholar] [CrossRef]
- Georgiopoulos, G.; Evangelou, E. Power Considerations for λ Inflation Factor in Meta-Analyses of Genome-Wide Association Studies. Genet. Res. (Camb) 2016, 98, e9. [Google Scholar] [CrossRef]
- Hernández-Montiel, W.; Martínez-Núñez, M.A.; Ramón-Ugalde, J.P.; Román-Ponce, S.I.; Calderón-Chagoya, R.; Zamora-Bustillos, R. Genome-Wide Association Study Reveals Candidate Genes for Litter Size Traits in Pelibuey Sheep. Animals 2020, 10, 434. [Google Scholar] [CrossRef]
- Gao, T.; Furnari, F.; Newton, A.C. PHLPP: A Phosphatase That Directly Dephosphorylates Akt, Promotes Apoptosis, and Suppresses Tumor Growth. Mol. Cell 2005, 18, 13–24. [Google Scholar] [CrossRef]
- Hargrove, J.L.; Mackin, R.B. Organ Specificity of Glucocorticoid-Sensitive Tyrosine Aminotransferase. Separation from Aspartate Aminotransferase Isoenzymes. J. Biol. Chem. 1984, 259, 386–393. [Google Scholar] [CrossRef]
- Lim, W.; Song, G. Characteristics, Tissue-Specific Expression, and Hormonal Regulation of Expression of Tyrosine Aminotransferase in the Avian Female Reproductive Tract. Domest. Anim. Endocrinol. 2016, 57, 10–20. [Google Scholar] [CrossRef]
- Hu, Z.; Liu, J.; Cao, J.; Zhang, H.; Liu, X. Ovarian Transcriptomic Analysis of Black Muscovy Duck at the Early, Peak and Late Egg-Laying Stages. Gene 2021, 777, 145449. [Google Scholar] [CrossRef]
- Jones, N.; Dumont, D.J. Recruitment of Dok-R to the EGF Receptor through Its PTB Domain Is Required for Attenuation of Erk MAP Kinase Activation. Curr. Biol. 1999, 9, 1057–1060. [Google Scholar] [CrossRef]
- Yue, C.; Bai, Y.; Piao, Y.; Liu, H. DOK7 Inhibits Cell Proliferation, Migration, and Invasion of Breast Cancer via the PI3K/PTEN/AKT Pathway. J. Oncol. 2021, 2021, 4035257. [Google Scholar] [CrossRef]
- Kimple, A.J.; Bosch, D.E.; Giguère, P.M.; Siderovski, D.P. Regulators of G-Protein Signaling and Their Gα Substrates: Promises and Challenges in Their Use as Drug Discovery Targets. Pharm. Rev. 2011, 63, 728–749. [Google Scholar] [CrossRef] [PubMed]
- Schroer, A.B.; Mohamed, J.S.; Willard, M.D.; Setola, V.; Oestreich, E.; Siderovski, D.P. A Role for Regulator of G Protein Signaling-12 (RGS12) in the Balance between Myoblast Proliferation and Differentiation. PloS ONE 2019, 14, e0216167. [Google Scholar] [CrossRef] [PubMed]
- Shao, Y.W.; Wood, G.A.; Lu, J.; Tang, Q.-L.; Liu, J.; Molyneux, S.; Chen, Y.; Fang, H.; Adissu, H.; McKee, T.; et al. Cross-Species Genomics Identifies DLG2 as a Tumor Suppressor in Osteosarcoma. Oncogene 2019, 38, 291–298. [Google Scholar] [CrossRef]
- Roberts, S.; Delury, C.; Marsh, E. The PDZ Protein Discs-Large (DLG): The “Jekyll and Hyde” of the Epithelial Polarity Proteins. FEBS J. 2012, 279, 3549–3558. [Google Scholar] [CrossRef] [PubMed]
- Banerjee, P.; Carmelo, V.A.O.; Kadarmideen, H.N. Genome-Wide Epistatic Interaction Networks Affecting Feed Efficiency in Duroc and Landrace Pigs. Front. Genet. 2020, 11, 121. [Google Scholar] [CrossRef]
- Tian, X.; Pascal, G.; Monget, P. Evolution and Functional Divergence of NLRP Genes in Mammalian Reproductive Systems. BMC Evol. Biol. 2009, 9, 202. [Google Scholar] [CrossRef] [PubMed]
- Zhang, P.; Dixon, M.; Zucchelli, M.; Hambiliki, F.; Levkov, L.; Hovatta, O.; Kere, J. Expression Analysis of the NLRP Gene Family Suggests a Role in Human Preimplantation Development. PLoS ONE 2008, 3, e2755. [Google Scholar] [CrossRef] [PubMed]
- Peng, H.; Zhang, W.; Xiao, T.; Zhang, Y. Expression Patterns of Nlrp9a, Nlrp9b and Nlrp9c during Mouse Development. Biologia 2014, 69, 107–112. [Google Scholar] [CrossRef]




| Item | Ewe Reproduction | Lamb Performance | ||
|---|---|---|---|---|
| LS | BWT, kg | WWT, kg | ADG, kg | |
| Mean | 2.12 | 3.51 | 16.19 | 0.25 |
| S.D. | 0.64 | 0.77 | 3.49 | 0.07 |
| Minimum | 1 | 1.5 | 6.67 | 0.05 |
| Maximum | 5 | 7 | 25.93 | 0.47 |
| Number of records | 2289 | 2281 | 2284 | 2284 |
| Trait | Ewe Reproduction | Lamb Performance | ||
|---|---|---|---|---|
| LS | BWT | WWT | ADG | |
| LS | 0.12 ± 0.00 | - | - | - |
| BWT | - | 0.22 ± 0.02 | 0.34 ± 0.44 | 0.12 ± 0.48 |
| WWT | - | 0.38 | 0.28 ± 0.05 | 0.97 ± 0.00 |
| ADG | - | 0.13 | 0.97 | 0.29 ± 0.06 |
| Traits | SNP ID | Chr | Position(bp) | Gene Annotated | p |
|---|---|---|---|---|---|
| LS | oar3_OAR14_38652542 | 14 | 38,652,542 | PHLPP2, TAT | 5.70 × 10−5 |
| OAR25_39236034.1 | 25 | 39,236,034 | - | 7.77 × 10−5 | |
| BWT | oar3_OAR15_41596318 | 15 | 41,596,318 | MRVI1, LYVE1, RNF141 | 1.18 × 10−5 |
| Chr6:114773309 | 6 | 114,773,309 | DOK7, RGS12 | 1.95 × 10−5 | |
| WWT | OAR14_22829882.1 | 14 | 22,829,882 | - | 2.37 × 10−5 |
| OAR21_12710366.1 | 21 | 11,143,699 | DLG2 | 2.49 × 10−5 | |
| oar3_OAR12_49504727 | 12 | 49,504,727 | AGRN,ISG15, PERM1, PLEKHN1, KLHL17, NOC2L, SAMD11 | 2.72 × 10−5 | |
| ADG | oar3_OAR14_58915171 | 14 | 58,915,171 | NLRP9 | 4.56 × 10−5 |
| OAR14_22829882.1 | 14 | 22,829,882 | - | 1.40 × 10−5 | |
| oar3_OAR12_49504727 | 12 | 49,504,727 | AGRN,ISG15, PERM1, PLEKHN1, KLHL17, NOC2L, SAMD11 | 2.59 × 10−5 |
Disclaimer/Publisher’s Note: The statements, opinions and data contained in all publications are solely those of the individual author(s) and contributor(s) and not of MDPI and/or the editor(s). MDPI and/or the editor(s) disclaim responsibility for any injury to people or property resulting from any ideas, methods, instructions or products referred to in the content. |
© 2023 by the authors. Licensee MDPI, Basel, Switzerland. This article is an open access article distributed under the terms and conditions of the Creative Commons Attribution (CC BY) license (https://creativecommons.org/licenses/by/4.0/).
Share and Cite
Liu, Z.; Fu, S.; He, X.; Liu, X.; Shi, C.; Dai, L.; Wang, B.; Chai, Y.; Liu, Y.; Zhang, W. Estimates of Genomic Heritability and the Marker-Derived Gene for Re(Production) Traits in Xinggao Sheep. Genes 2023, 14, 579. https://doi.org/10.3390/genes14030579
Liu Z, Fu S, He X, Liu X, Shi C, Dai L, Wang B, Chai Y, Liu Y, Zhang W. Estimates of Genomic Heritability and the Marker-Derived Gene for Re(Production) Traits in Xinggao Sheep. Genes. 2023; 14(3):579. https://doi.org/10.3390/genes14030579
Chicago/Turabian StyleLiu, Zaixia, Shaoyin Fu, Xiaolong He, Xuewen Liu, Caixia Shi, Lingli Dai, Biao Wang, Yuan Chai, Yongbin Liu, and Wenguang Zhang. 2023. "Estimates of Genomic Heritability and the Marker-Derived Gene for Re(Production) Traits in Xinggao Sheep" Genes 14, no. 3: 579. https://doi.org/10.3390/genes14030579
APA StyleLiu, Z., Fu, S., He, X., Liu, X., Shi, C., Dai, L., Wang, B., Chai, Y., Liu, Y., & Zhang, W. (2023). Estimates of Genomic Heritability and the Marker-Derived Gene for Re(Production) Traits in Xinggao Sheep. Genes, 14(3), 579. https://doi.org/10.3390/genes14030579

