Next Article in Journal
Functional Genetics to Understand the Etiology of Autoimmunity
Next Article in Special Issue
Single-Nucleotide Polymorphisms as Biomarkers of Antipsychotic-Induced Akathisia: Systematic Review
Previous Article in Journal
An Entropy-Based Directed Random Walk for Cancer Classification Using Gene Expression Data Based on Bi-Random Walk on Two Separated Networks
Previous Article in Special Issue
Exposure to Juvenile Stress Induces Epigenetic Alterations in the GABAergic System in Rats
 
 
Font Type:
Arial Georgia Verdana
Font Size:
Aa Aa Aa
Line Spacing:
Column Width:
Background:
Article

The Role of Glutamatergic Gene Polymorphisms in the Clinical Phenotypes of Schizophrenia

by
Evgeniya G. Poltavskaya
1,
Elena G. Kornetova
1,2,
Maxim B. Freidin
3,4,
Ivan V. Pozhidaev
1,
Diana Z. Paderina
1,
Anna V. Bocharova
3,
Arkadiy V. Semke
1,
Nikolay A. Bokhan
1,2,
Svetlana A. Ivanova
1,2 and
Olga Y. Fedorenko
1,*
1
Mental Health Research Institute, Tomsk National Research Medical Center of the Russian Academy of Sciences, 634014 Tomsk, Russia
2
Department of Psychiatry, Addictology and Psychotherapy, Siberian State Medical University, 634050 Tomsk, Russia
3
Research Institute of Medical Genetics, Tomsk National Research Medical Center of the Russian Academy of Sciences, 634050 Tomsk, Russia
4
School of Biological and Behavioural Sciences, Queen Mary University of London, London E1 4NS, UK
*
Author to whom correspondence should be addressed.
Genes 2023, 14(3), 575; https://doi.org/10.3390/genes14030575
Submission received: 3 February 2023 / Revised: 17 February 2023 / Accepted: 22 February 2023 / Published: 24 February 2023
(This article belongs to the Special Issue Advances in Genetics of Psychiatric Disorder)

Abstract

Background: Personal variations in genetic risk for schizophrenia relate to its phenotypic heterogeneity—both in disorder development and clinical manifestations. Abnormal glutamatergic neurotransmitter system functioning is integrated in the pathogenesis of schizophrenia. Methods: A sample of 805 Russian schizophrenia patients from the Siberian Federal region was investigated. We examined the association of 39 single nucleotide polymorphisms in eight genes (GRIN2A, GRIN2B, SLC1A2, SLC1A3, SLC17A7, GRM3, GRM7, and GRM8) involved in the glutamatergic system with the development of clinical heterogeneity of schizophrenia. The MassARRAY Analyzer 4 was used for genotyping. Results: GRIN2A rs11644461, rs8057394 and GRIN2B rs7313149 are associated with the continuous type of schizophrenia. The GRIN2A rs8057394*G allele is a relative risk factor (p = 0.019) for developing the continuous type of schizophrenia. We found a nominally significant association between negative symptoms of schizophrenia and SLC17A7 rs62126236. The SLC17A7 rs62126236*T allele has a protective effect (p = 0.039) against predominant negative symptoms in schizophrenia. The total Positive and Negative Syndrome Scale (PANSS) scores were significantly associated with GRIN2A rs9788936 after adjusting for multiple testing (p = 0.001). Conclusions: In this study the contribution of the glutamatergic gene polymorphisms to the clinical heterogeneity of schizophrenia has been demonstrated.

1. Introduction

Dopaminergic and glutamatergic abnormalities are leading hypotheses in understanding schizophrenia [1,2,3]. Glutamate is the most abundant excitatory amino acid neurotransmitter, activating G protein-coupled metabotropic receptors mediating slow synaptic transmission and ionotropic receptors mediating fast synaptic transmission in the brain [4]. Altered excitatory signaling, via a hypofunction of the N-methyl-D-aspartate (NMDA)-type glutamate receptor (NMDAR), is considered a key contributor to the schizophrenia disease process [5]. The NMDAR non-competitive antagonists, such as phencyclidine, dizocilpine and ketamine, are well known to provoke positive and negative schizophrenia-like symptomatology in otherwise healthy people [6] as well as inducing relapse in schizophrenia patients [7]. At the same time, ketamine’s action at the NMDAR can result in dose-dependent antidepressant responses in humans [8].
GluN2A, encoded by GRIN2A (glutamate receptor, ionotropic, N-methyl-D-aspartate 2A), is the highest expressed among NMDAR GluN2 subunits in the human CNS [9]. The variable (GT)n polymorphism located in the promoter region of GRIN2A was shown to be related to schizophrenia. Moreover, this (GT)n repeat could impact the severity of chronic outcomes in a length-dependent manner [1,10]. Recently we demonstrated GRIN2A rs7206256 to be linked to the early manifestation of this disease [11]. Moreover, GRIN2A rs7192557 contributes to the development of antipsychotic induced limb-truncal tardive dyskinesia in patients with schizophrenia [12].
The GRIN2B (glutamate receptor, ionotropic, N-methyl-D-aspartate 2B) gene, encoding the NMDAR NR2B subunits, is crucial in corticogenesis and brain plasticity. Moreover, reported associations of GRIN2B polymorphisms and schizophrenia have been published [13]. Recently, we demonstrated an association of the GRIN2B rs7313149 with the early manifestation of schizophrenia [11].
Excitatory amino acid transporters (EAATs) in addition to NMDAR have drawn considerable attention due to their direct influence on glutamatergic neurotransmission by reuptake of glutamate excess from the synaptic cleft. Of these, EAAT2 (also known as solute carrier family 1, member 2 encoded by the SLC1A2 gene) has been extensively investigated in schizophrenia pathogenesis. Previously, a haplotype association between SLC1A2 polymorphisms and schizophrenia in Japanese patients was reported [14]. However, this association was not confirmed in a study on a larger sample [15]. An association of SLC1A2 rs12360706 with schizophrenia was found in the Chinese population, and heterozygotes had a higher proportion of psychosis in their family history [16].
EAAT2 is the major glutamate reuptake mechanism. Furthermore it contributes to the brain’s energy metabolism through glutamate transport into astrocytes for its further participation in the glutamate-glutamine cycle. EAAT2-mediated glutamate uptake is crucial for normal oligodendrocyte function, since its inhibition results in demyelination, axonal damage, and cell death. Abnormal EAAT2 expression has been found in multiple neuropsychiatric diseases. Several teams of researchers investigated altered EAAT2 in people with schizophrenia, reporting reduced expression in the dorsolateral prefrontal cortex and in the parahippocampal region. In addition, carriers of a risk haplotype of the metabotropic glutamate receptor 3 (GRM3) for schizophrenia had lower EAAT2 expression in the prefrontal cortex as well as impaired cognitive function in respect of verbal fluency and list learning [17]. Such abnormal glutamatergic transmission may play a fundamental role in working memory deficits observed in patients with schizophrenia and could underlie a progressive loss of grey matter throughout the brain. Studies showed associations between the SLC1A2 polymorphism and cognitive functions in patients with schizophrenia [16,18,19]. A haplotype of the SLC1A2 gene SNPs rs1042113, rs10768121, and rs12361171 was identified as a risk factor for tardive dyskinesia [12].
In addition to the evidence implicating postsynaptic neurotransmission and signaling in schizophrenia, there is accumulating evidence implicating the presynaptic component of glutamatergic synapses. Vesicular glutamate transporters (VGLUTs) transfer glutamate into vesicles for subsequent release into the synaptic cleft. VGLUTs modulate synaptic activity through effects on glutamate storage and release [20]. Three such VGLUTs are encoded by the solute carrier genes SLC17A6-8. VGLUT1 (SLC17A7) and VGLUT2 (SLC17A6) are expressed in glutamate-containing neurons, while VGLUT3 (SLC17A8) is expressed in some neurons using other neurotransmitters, e.g., acetylcholine or serotonin. The importance of glutamatergic vesicular transport is apparent from the effects of full knockouts of VGLUT1 and VGLUT2, which are incompatible with normal life. VGLUT1 knockout mice are found to die after weaning, while VGLUT2 knockouts die immediately after birth [21]. Changes in the expression of VGLUTs have been linked to various brain disorders along with schizophrenia, Alzheimer’s, and Parkinson’s disease [22].
The metabotropic glutamate receptors (mGluRs) are G-protein-coupled receptors. The group II metabotropic glutamate receptors, mGlu2 and mGlu3, respectively encoded by GRM2 and GRM3, primarily act as presynaptic autoreceptors and are found to be involved in synaptic plasticity and brain function [23].
There have been several reports of a link between GRM3 variants and schizophrenia [24,25]. In a family-based association study, AA homozygotes of GRM3 hCV11245618 demonstrated poorer performance on several tests of prefrontal and hippocampal function, which are considered cognitive phenotypes for the disorder [25]. Furthermore, this SNP was also associated with reduced neuroimaging measures of synaptic neurotransmission and glutamatergic function as well as with less expression of EAAT2 in post-mortem brains [25].
A later genome-wide association study (GWAS) recognized GRM3 as a gene containing potential schizophrenia risk variants [26]. A large meta-analysis of 14 SNPs in GRM3 found significant associations and population specificity for three SNPs (rs2237562, rs13242038, and rs917071) [27].
The metabotropic glutamate receptor 7 (mGlu7) is a member of the group III mGlu receptors and is abundantly expressed presynaptically in both excitatory and inhibitory synapses, thereby modulating both glutamate and γ-aminobutyric acid (GABA) release. The mGlu7 is considered a therapeutic target for several psychiatric and neurological disorders, and GRM7 polymorphisms have been linked to schizophrenia, depression, autism, and ADHD [28,29,30,31,32].
GRM8 is a further group III mGluR and a schizophrenia candidate gene. Several studies have shown associations of GRM8 loci in Chinese [33], Japanese [34], and Iranian [35] populations.
In the present study, we investigated the potential role of 39 single nucleotide polymorphisms of these eight glutamatergic genes, chosen on the basis of the previous studies reviewed above, which highlight their importance in schizophrenia, in the development of the clinical heterogeneity of the disease. This was studied in terms of the leading symptoms (negative or positive), the severity of clinical symptoms (assessed by the Positive and Negative Syndrome Scale (PANSS)), and the course (continuous or episodic) of schizophrenia.

2. Materials and Methods

2.1. Patients

Ethical legislative criteria for this work are described elsewhere (protocol N142 approved on 14 May 2021) [11]. A total of 805 Russian schizophrenia patients (ages 18–60) from four different psychiatric clinics in the Siberian region listed in our previous work were recruited [11]. The inclusion standards were a verified schizophrenia diagnosis (F20) [36] and the patient’s informed agreement. The examined patients were recruited from the Siberian Region, with Caucasian/European appearance and unrelated by blood to each other. The sample did not include patients suffering from psychoorganic disorders and somatic diseases with decompensation. The PANSS was applied for psychopathological assessment [37]. In the study group, the total PANSS score was 102 (92; 109) (median and lower-upper quartiles: Me (Q1; Q3)). The continuous or episodic course of the disorder was concluded on the basis of the fifth character of ICD-10.
We proceeded from Crow’s dichotomous concept of schizophrenia (positive and negative) for psychopathological estimation [38]. This concept postulates two “pathological aspects” underlying schizophrenia: a positive component (potentially sensitive to antipsychotics) and a negative component (often progressive and associated with a deficit state and poor long-term outcome). To investigate the involvement of the studied genetic variants in the progression of predominant negative or positive symptoms according to the PANSS survey data, the initial sample of 805 schizophrenia patients was split into 2 subgroups: a subgroup of 391 patients with predominant negative symptoms (PANSS positive scale score 20 (17; 24), PANSS negative scale score 27 (24; 31)) and a subgroup of 414 patients with predominant positive symptoms (PANSS positive scale score 27 (23; 30), PANSS negative scale score 24 (21; 27)). The remaining patients had mixed symptoms, without predominance of positive or negative symptoms, and were excluded from the comparison. To analyze the associations of the studied genetic variants in the course of schizophrenia, 2 subgroups were distinguished from the general group of patients with schizophrenia: 398 cases suffered continuously, and 257 patients experienced an episodic course of the disease.

2.2. Genetic Analysis

Venous blood samples were taken in EDTA-containing tubes followed by DNA extraction by the standard phenol-chloroform method.
Inclusion criteria for single-nucleotide polymorphisms (SNP) selection are described elsewhere [39]. Genotyping of thirty nine SNPs in GRIN2A (rs9989388, rs7190619, rs7196095, rs7192557, rs9788936, rs7206256, rs4782039, rs1345423, rs11644461, rs11646587, rs8057394); GRIN2B (rs12300851, rs220599, rs7313149, rs12827536, rs10772715, rs10845838, rs1805481, rs2192970, rs2300242); SLC1A2 (rs3812778, rs3829280, rs1042113, rs10768121, rs11033046, rs12361171, rs3088168, rs12294045, rs10742338); SLC1A3 (rs2229894); SLC17A7 (rs62126236); GRM3 (rs1468412, rs2299225); GRM7 (rs3749380, rs17031835, rs12491620, rs1450099); GRM8 (rs2299472, rs2237748) was carried out with the use of a SEQUENOM MassARRAY® Analyzer 4 mass spectrometer (Agena Bioscience™) using the SEQUENOM Consumables iPLEX Gold 96 kit based at The Core Facility “Medical Genomics”, TNRMC, RAS.

2.3. Statistical Analysis

Statistical analysis was done using R 4.0.4. The Hardy–Weinberg equilibrium (HWE) of genotypic frequencies was tested using the χ2 test. Logistic or linear regression was applied to test the association between clinical phenotypes and genetic variants (additive model), while correcting for age, sex, chlorpromazine equivalent (CPZeq), and duration of disease. Bonferroni correction was applied after calculating the number of independent tests following the approach described by Li and Li [40] and after excluding SNPs that did not pass the HWE test.

3. Results

Details about the studied patient population are presented in Table 1.
There are well-established sex differences in the temporal incidence and prevalence of schizophrenia [41]. At a younger age, as is the case in our population, men are in excess, but at later age relatively more women present with schizophrenia than men.
Deviation from the HWE was found for SLC1A2 rs10742338; hence, this polymorphism was excluded from further consideration (Table S1). Using the rest of the SNPs, we estimated the number of independent tests was 31; therefore, we set the significance level for the current study as 0.05/31 = 0.0016.

3.1. Association of Studied SNPs with the Course of Schizophrenia (Continuous vs. Episodic)

In the present study, we compared groups of schizophrenia patients with a continuous and episodic type of the course of the disease. The continuous course is considered less favorable for patients; therefore, we compared patients with a continuous course of schizophrenia with patients with an episodic type in analysis of the association with the SNPs. We found nominally significant (p < 0.05) associations with the continuous course of schizophrenia for the following polymorphisms: GRIN2A rs11644461, rs8057394; GRIN2B rs7313149 (Table 2). The GRIN2A rs8057394*G allele is a relative risk factor for developing the continuous type of schizophrenia. GRIN2A rs11644461*T and GRIN2B rs7313149*T alleles have protective effect against developing the continuous type of schizophrenia.

3.2. Association of Studied SNPs with Predominant (Negative vs. Positive) Symptoms of Schizophrenia

We investigated genetic features in groups of patients with a predominance of negative or positive schizophrenia symptoms. Since the progression of negative symptoms is believed to be a less favorable schizophrenia prognosis factor, we considered patients with predominant negative symptoms as the “case” group versus patients with positive symptoms as “controls” in genetic analysis of this characteristic. We found a nominally significant association between negative symptom predominance and SLC17A7 rs62126236 polymorphism (Table 3). The results show that the SLC17A7 rs62126236*T has a protective effect (p = 0.039) against predominant negative symptoms in schizophrenia.

3.3. Association of Studied SNPs with Intensity of Symptoms in Patients with Schizophrenia

The PANSS scale was used to assess the intensity of symptoms. The PANSS scale has several sections for assessing positive, negative, and general psychopathological symptoms. We carried out an association analysis between the total scores on the PANSS scale (for each section separately, as well as using the total score for the entire scale) and the polymorphisms in the studied genes of the glutamatergic system.
Four polymorphisms, GRIN2A rs9788936 (p = 0.010), GRIN2A rs11646587 (p = 0.036), GRM8 rs2299472 (p = 0.034), and SLC17A7 rs62126236 (p = 0.044), were associated with the intensity of negative symptoms according to the PANSS scores (Table 4). Also, we found an association of GRIN2A rs9788936 (p = 0.014) and GRIN2B rs7313149 (p = 0.025) with the intensity of positive symptoms (Table 4).
Comparison of totals on the PANSS scale in the block of tests for assessing general psychopathological symptoms revealed differences for the GRIN2A rs8057394 (p = 0.011), GRIN2A rs9788936 (p = 0.012), and SLC1A2 rs12361171 (p = 0.027) polymorphisms.
During the study, we also assessed the total scores on the PANSS (Table 4). As a result of this analysis, associations of four polymorphisms, GRIN2A rs9788936 (p = 0.001), GRIN2A rs8057394 (p = 0.011), GRIN2B rs7313149 (p = 0.016), and SLC1A2 rs12361171 (p = 0.040) with the intensity of symptoms in schizophrenia were identified.
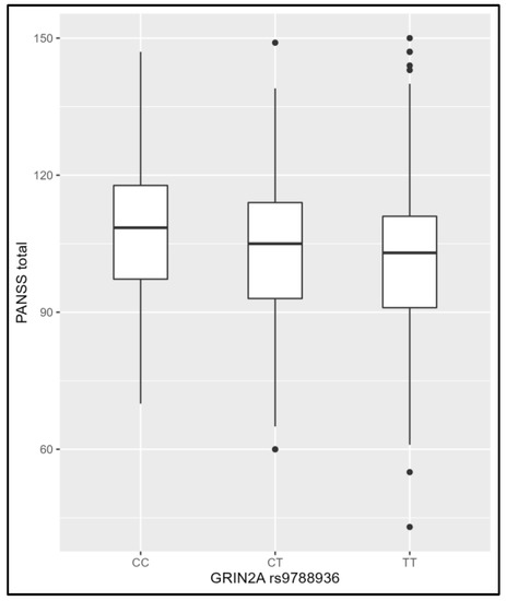
No statistically significant associations between the SNPs and clinical phenotypes of schizophrenia were found after adjusting for multiple testing, except GRIN2A rs9788936 and total scores on the PANSS (Figure 1). The carrying of GRIN2A rs9788936*T is associated with lower total scores on the PANSS.

4. Discussion

Schizophrenia is a highly heterogeneous mental disorder. Its management significantly depends on whether the course is continuous or episodic. Some of the diagnostic symptoms of this disorder are known as poor prognostic factors. Persistent negative symptoms, as well as a continuous pattern of the course of the disease, are associated with a higher progression of schizophrenia.
Glutamatergic neurotransmission is widespread in the central nervous system, as basically all corticofugal and intracortical connections use this neurotransmitter [42]. NMDARs mediate a relatively slow ionotropic component of excitatory synaptic transmission. These receptors are crucial for brain development and neuroplasticity, while their hyperfunction can result in various neurodegenerative disorders mediated via calcium-mediated excitotoxicity [43]. The GRIN2A gene encodes the NMDAR GluN2A subunit, which plays a critical role during postnatal brain development, as its expression increases while that of the GluN2B subunit (encoded by the GRIN2B gene) decreases. The GRIN2A and GRIN2B genes are being extensively studied as plausible candidate genes for the susceptibility to schizophrenia and other neurodegenerative or neurodevelopmental disorders. We previously showed that the GRIN2A and GRIN2B genes are associated with early onset of schizophrenia [11].
The SLC1A2 gene encodes EAAT2, which is responsible for removal of glutamate from the synaptic cleft. SLC1A2 has been implicated in several neurological and psychiatric conditions, including schizophrenia, autism, and bipolar disorder [44]. We previously showed that the PIP5K2A gene, whose dysfunction affects the functioning of glutamate transporters [45], is also associated with the course of schizophrenia [46].
The GRM8 gene encodes a presynaptic metabotropic glutamate receptor 8 (mGluR8), modulating neuronal excitability by inhibiting glutamate release at the synapse. Previously, GRM8 rs2299472*CC was shown to be associated with schizophrenia in the Uygur Chinese population [33]. We could find an association of GRM8 rs2299472 with the intensity of negative symptoms according to the PANSS scores. In our study, schizophrenia patient carriers of the GRM8 rs2299472*C allele had lower scores on the Negative Subscale of PANSS.
The association between GRIN2A rs9788936 and total scores on the PANSS survived multiple tests and is likely to be a replicable finding.
It is worth noting that other important SNPs in glutamatergic system genes were omitted because of limited screening criteria but deserve further investigation in our sample. For example, in a Chinese sample, rs12360706 in SLC1A2 was recently found to be associated with schizophrenia, and heterozygotes had a higher proportion of psychosis in their family history [16]. Moreover, three further SNPs from a GWAS study of GRM3 mentioned previously should also be investigated [27].
In the present study, we were able to detect the contribution of the GRIN2A, GRIN2B, GRM8, SLC1A2, and SLC17A7 genes of the glutamatergic system to determining the clinical heterogeneity of schizophrenia, which is important for the prognosis and outcome of the disease. The results may be used as predictors of the adverse course of schizophrenia, overall predominance of negative symptoms, and disruption of integrity, which is a contribution to precision medicine. Nevertheless, the identified associations still need to be explored in much greater depth in larger cohorts and other populations.

Limitations

The study design was cross-sectional, and attempts to find lifetime worst occasion symptoms were therefore not possible. Symptoms were assessed during the diagnostic interview and could therefore be likely to reflect the effect of medication, since the studied patients were not drug free; thus, we cannot distinguish the relationship of genotype to the underlying symptom profile from its relationship with treatment response. Longitudinal studies of initially drug-naïve patients would be needed to overcome this limitation. The fact that only Caucasians were included limits the study in terms of generalization, although we tried to achieve ethnic homogeneity of the sample. Despite the relatively good sample size, genetic correlations were modest and did not survive multiple testing corrections, except GRIN2A rs9788936 and total scores on the PANSS. While limited resources prevented a comprehensive study of all potentially functional or marker SNPs in all genes related to glutamatergic synaptic function, we chose to genotype a series of previously studied SNPs in genes that our work and that of others have strongly implicated in schizophrenia. As mentioned above, this study did not include all potentially associated SNPs. As other neurotransmitter systems in addition to glutamate are implicated in the pathology of schizophrenia, focusing only on the glutamatergic system could be a source of bias. Further studies would ideally involve GABAergic and dopaminergic genes and their potential interactions with our current findings.

5. Conclusions

This study indicates the likely contribution of the GRIN2A, GRIN2B, GRM8, SLC1A2, and SLC17A7 genes to the development of clinical heterogeneity in schizophrenia. Associations of these genes with the course, the predominant symptoms, as well as the intensity of symptoms in schizophrenia were identified. Thus, we have shown that the genes of the glutamatergic system can contribute to determining the nature of the course of schizophrenia, thereby determining individual prospects following the development of the disease.

Supplementary Materials

The following supporting information can be downloaded at: https://www.mdpi.com/article/10.3390/genes14030575/s1, Table S1: The basic information of analyzed polymorphic variants.

Author Contributions

Conceptualization, O.Y.F. and S.A.I.; methodology, O.Y.F. and S.A.I.; validation, O.Y.F., E.G.K. and A.V.B.; formal analysis, M.B.F., E.G.P. and I.V.P.; investigation, O.Y.F., E.G.P., I.V.P., D.Z.P. and A.V.B.; resources, O.Y.F. and S.A.I.; data curation, O.Y.F., A.V.S. and E.G.K.; writing—original draft, O.Y.F. and E.G.P.; writing—review and editing, O.Y.F., E.G.K., M.B.F., N.A.B. and S.A.I.; visualization, O.Y.F.; supervision, N.A.B., A.V.S. and S.A.I.; project administration, O.Y.F.; funding acquisition, O.Y.F. and N.A.B. All authors have read and agreed to the published version of the manuscript.

Funding

This work was supported by the Russian Science Foundation (project no. 21-15-00212).

Institutional Review Board Statement

The study was conducted in accordance with the Declaration of Helsinki and received approval of the Bioethical Committee of the Mental Health Research Institute of the TNRMC, RAS (Protocol N142, approved on 14 May 2021).

Informed Consent Statement

Informed agreement was received from all patients who participated in the study.

Data Availability Statement

The datasets generated for this work will not be made publicly accessible, although they are available on reasonable request to Olga Yu. Fedorenko (f_o_y@mail.ru), following approval of the Board of Directors of the MHRI, in line with local guidelines and regulations.

Acknowledgments

The authors are thankful to Sergey M. Andreev (Tomsk Clinical Psychiatric Hospital) and Veronika A. Sorokina (Kemerovo Regional Clinical Psychiatric Hospital) for their support in recruiting patients. We also thank the patients who participated in our study.

Conflicts of Interest

The authors declare no conflict of interest. The funders had no role in the design of the study; in the collection, analyses, or interpretation of data; in the writing of the manuscript; or in the decision to publish the results.

References

  1. Howes, O.; Kapur, S. The Dopamine Hypothesis of Schizophrenia: Version III—The Final Common Pathway. Schizophr. Bull. 2009, 35, 549–562. [Google Scholar] [CrossRef]
  2. Howes, O.; McCutcheon, R.; Stone, J. Glutamate and dopamine in schizophrenia: An update for the 21st century. J. Psychopharmacol. 2015, 29, 97–115. [Google Scholar] [CrossRef]
  3. Uno, Y.; Coyle, J.T. Glutamate hypothesis in schizophrenia. Psychiatry Clin. Neurosci. 2019, 73, 204–215. [Google Scholar] [CrossRef]
  4. Collingridge, G.L.; Abraham, W.C. Glutamate receptors and synaptic plasticity: The impact of Evans and Watkins. Neuropharmacology 2022, 206, 108922. [Google Scholar] [CrossRef]
  5. Balu, D.T. The NMDA Receptor and Schizophrenia: From Pathophysiology to Treatment. Adv. Pharmacol. 2016, 76, 351–382. [Google Scholar] [CrossRef]
  6. Adell, A. Brain NMDA Receptors in Schizophrenia and Depression. Biomolecules 2020, 10, 947. [Google Scholar] [CrossRef]
  7. Goff, D.C.; Wine, L. Glutamate in schizophrenia: Clinical and research implications. Schizophr. Res. 1997, 27, 157–168. [Google Scholar] [CrossRef]
  8. Dean, B.; Gibbons, A.S.; Boer, S.; Uezato, A.; Meador-Woodruff, J.; Scarr, E.; McCullumsmith, R. Changes in cortical N-methyl-daspartate receptors and post-synaptic density protein 95 in schizophrenia, mood disorders and suicide. Aust. N. Z. J. Psychiatry 2016, 50, 275–283. [Google Scholar] [CrossRef]
  9. Volkmann, R.A.; Fanger, C.M.; Anderson, D.R.; Sirivolu, V.R.; Paschetto, K.; Gordon, E.; Virginio, C.; Gleyzes, M.; Buisson, B.; Steidl, E.; et al. MPX-004 and MPX-007: New Pharmacological Tools to Study the Physiology of NMDA Receptors Containing the GluN2A Subunit. PLoS ONE 2016, 11, e0148129. [Google Scholar] [CrossRef]
  10. Tang, J.; Chen, X.; Xu, X.; Wu, R.; Zhao, J.; Hu, Z.; Xia, K. Significant linkage and association between a functional (GT)n polymorphism in promoter of the N-methyl-d-aspartate receptor subunit gene (GRIN2A) and schizophrenia. Neurosci. Lett. 2006, 409, 80–82. [Google Scholar] [CrossRef]
  11. Poltavskaya, E.G.; Fedorenko, O.Y.; Kornetova, E.G.; Loonen, A.J.M.; Kornetov, A.N.; Bokhan, N.A.; Ivanova, S.A. Study of Early Onset Schizophrenia: Associations of GRIN2A and GRIN2B Polymorphisms. Life 2021, 11, 997. [Google Scholar] [CrossRef]
  12. Fedorenko, O.Y.; Paderina, D.Z.; Kornetova, E.G.; Poltavskaya, E.G.; Pozhidaev, I.V.; Goncharova, A.A.; Bokhan, N.A.; Ivanova, S.A.; Freidin, M.B.; Bocharova, A.V.; et al. Genes of the glutamatergic system and tardive dyskinesia in patients with schizophrenia. Diagnostics 2022, 12, 1521. [Google Scholar] [CrossRef] [PubMed]
  13. Mishra, N.; Kouzmitcheva, E.; Orsino, A.; Minassian, B.A. Chromosome 12p Deletion Spanning the GRIN2B Gene Presenting with a Neurodevelopmental Phenotype: A Case Report and Review of Literature. Child Neurol. Open 2016, 3, 2329048x16629980. [Google Scholar] [CrossRef] [PubMed]
  14. Deng, X.; Shibata, H.; Ninomiya, H.; Tashiro, N.; Iwata, N.; Ozaki, N.; Fukumaki, Y. Association study of polymorphisms in the excitatory amino acid transporter 2 gene (SLC1A2) with schizophrenia. BMC Psychiatry 2004, 4, 21. [Google Scholar] [CrossRef] [PubMed]
  15. Nagai, Y.; Ohnuma, T.; Karibe, J.; Shibata, N.; Maeshima, H.; Baba, H.; Hatano, T.; Hanzawa, R.; Arai, H. No genetic association between the SLC1A2 gene and Japanese patients with schizophrenia. Neurosci. Lett. 2009, 463, 223–227. [Google Scholar] [CrossRef] [PubMed]
  16. Wang, L.; Ma, T.; Qiao, D.; Cui, K.; Bi, X.; Han, C.; Yang, L.; Sun, M.; Liu, L. Polymorphism of rs12294045 in EAAT2 gene is potentially associated with schizophrenia in Chinese Han population. BMC Psychiatry 2022, 22, 171. [Google Scholar] [CrossRef] [PubMed]
  17. Spangaro, M.; Bosia, M.; Zanoletti, A.; Bechi, M.; Cocchi, F.; Pirovano, A.; Lorenzi, C.; Bramanti, P.; Benedetti, F.; Smeraldi, E.; et al. Cognitive dysfunction and glutamate reuptake: Effect of EAAT2 polymorphism in schizophrenia. Neurosci. Lett. 2012, 522, 151–155. [Google Scholar] [CrossRef] [PubMed]
  18. Poletti, S.; Radaelli, D.; Bosia, M.; Buonocore, M.; Pirovano, A.; Lorenzi, C.; Cavallaro, R.; Smeraldi, E.; Benedetti, F. Effect of glutamate transporter EAAT2 gene variants and gray matter deficits on working memory in schizophrenia. Eur. Psychiatry 2014, 29, 219–225. [Google Scholar] [CrossRef]
  19. Spangaro, M.; Bosia, M.; Zanoletti, A.; Bechi, M.; Mariachiara, B.; Pirovano, A.; Lorenzi, C.; Bramanti, P.; Smeraldi, E.; Cavallaro, R. Exploring effects of EAAT polymorphisms on cognitive functions in schizophrenia. Pharmacogenomics 2014, 15, 925–932. [Google Scholar] [CrossRef]
  20. Oni-Orisan, A.; Kristiansen, L.V.; Haroutunian, V.; Meador-Woodruff, J.H.; McCullumsmith, R.E. Altered vesicular glutamate transporter expression in the anterior cingulate cortex in schizophrenia. Biol. Psychiatry 2008, 63, 766–775. [Google Scholar] [CrossRef]
  21. Wallén-Mackenzie, A.; Wootz, H.; Englund, H. Genetic inactivation of the vesicular glutamate transporter 2 (VGLUT2) in the mouse: What have we learnt about functional glutamatergic neurotransmission? Ups. J. Med. Sci. 2010, 115, 11–20. [Google Scholar] [CrossRef] [PubMed]
  22. Callaerts-Vegh, Z.; Moechars, D.; Van Acker, N.; Daneels, G.; Goris, I.; Leo, S.; Naert, A.; Meert, T.; Balschun, D.; D’Hooge, R. Haploinsufficiency of VGluT1 but not VGluT2 impairs extinction of spatial preference and response suppression. Behav. Brain Res. 2013, 245, 13–21. [Google Scholar] [CrossRef] [PubMed]
  23. Niswender, C.M.; Conn, P.J. Metabotropic glutamate receptors: Physiology, pharmacology, and disease. Annu. Rev. Pharmacol. Toxicol. 2010, 50, 295–322. [Google Scholar] [CrossRef] [PubMed]
  24. Fujii, Y.; Shibata, H.; Kikuta, R.; Makino, C.; Tani, A.; Hirata, N.; Shibata, A.; Ninomiya, H.; Tashiro, N.; Fukumaki, Y. Positive associations of polymorphisms in the metabotropic glutamate receptor type 3 gene (GRM3) with schizophrenia. Psychiatr. Genet. 2003, 13, 71–76. [Google Scholar] [CrossRef]
  25. Egan, M.F.; Straub, R.E.; Goldberg, T.E.; Yakub, I.; Callicott, J.H.; Hariri, A.R.; Mattay, V.S.; Bertolino, A.; Hyde, T.M.; Shannon-Weickert, C.; et al. Variation in GRM3 affects cognition, prefrontal glutamate, and risk for schizophrenia. Proc. Natl. Acad. Sci. USA 2004, 101, 12604–12609. [Google Scholar] [CrossRef] [PubMed]
  26. Schizophrenia Working Group of the Psychiatric Genomics Consortium. Biological insights from 108 schizophrenia-associated genetic loci. Nature 2014, 511, 421–427. [Google Scholar] [CrossRef]
  27. Saini, S.M.; Mancuso, S.G.; Mostaid, M.S.; Liu, C.; Pantelis, C.; Everall, I.P.; Bousman, C.A. Meta-analysis supports GWAS-implicated link between GRM3 and schizophrenia risk. Transl. Psychiatry 2017, 7, e1196. [Google Scholar] [CrossRef] [PubMed]
  28. Jalan-Sakrikar, N.; Field, J.R.; Klar, R.; Mattmann, M.E.; Gregory, K.J.; Zamorano, R.; Engers, D.W.; Bollinger, S.R.; Weaver, C.D.; Days, E.L.; et al. Identification of positive allosteric modulators VU0155094 (ML397) and VU0422288 (ML396) reveals new insights into the biology of metabotropic glutamate receptor 7. ACS Chem. Neurosci. 2014, 5, 1221–1237. [Google Scholar] [CrossRef]
  29. Azari, I.; Moghadam, R.H.; Fallah, H.; Noroozi, R.; Ghafouri-Fard, S.; Taheri, M. GRM7 polymorphisms and risk of schizophrenia in Iranian population. Metab. Brain Dis. 2019, 34, 847–852. [Google Scholar] [CrossRef]
  30. Niu, W.; Huang, X.; Yu, T.; Chen, S.; Li, X.; Wu, X.; Cao, Y.; Zhang, R.; Bi, Y.; Yang, F.; et al. Association study of GRM7 polymorphisms and schizophrenia in the Chinese Han population. Neurosci. Lett. 2015, 604, 109–112. [Google Scholar] [CrossRef]
  31. Li, W.; Ju, K.; Li, Z.; He, K.; Chen, J.; Wang, Q.; Yang, B.; An, L.; Feng, G.; Sun, W.; et al. Significant association of GRM7 and GRM8 genes with schizophrenia and major depressive disorder in the Han Chinese population. Eur. Neuropsychopharmacol. 2016, 26, 136–146. [Google Scholar] [CrossRef] [PubMed]
  32. Ohtsuki, T.; Koga, M.; Ishiguro, H.; Horiuchi, Y.; Arai, M.; Niizato, K.; Itokawa, M.; Inada, T.; Iwata, N.; Iritani, S.; et al. A polymorphism of the metabotropic glutamate receptor mGluR7 (GRM7) gene is associated with schizophrenia. Schizophr. Res. 2008, 101, 9–16. [Google Scholar] [CrossRef] [PubMed]
  33. Zhang, L.; Zhong, X.; An, Z.; Han, S.; Luo, X.; Shi, Y.; Yi, Q. Association analysis of the GRM8 gene with schizophrenia in the Uygur Chinese population. Hereditas 2014, 151, 140–144. [Google Scholar] [CrossRef]
  34. Takaki, H.; Kikuta, R.; Shibata, H.; Ninomiya, H.; Tashiro, N.; Fukumaki, Y. Positive associations of polymorphisms in the metabotropic glutamate receptor type 8 gene (GRM8) with schizophrenia. Am. J. Med. Genet. B Neuropsychiatr. Genet. 2004, 128, 6–14. [Google Scholar] [CrossRef]
  35. Tavakkoly-Bazzaz, J.; Azarnezhad, A.; Mousavi, N.; Salehipour, P.; Shahsavand Ananloo, E.; Alizadeh, F. TCF4 and GRM8 gene polymorphisms and risk of schizophrenia in an Iranian population: A case-control study. Mol. Biol. Rep. 2018, 45, 2403–2409. [Google Scholar] [CrossRef]
  36. World Health Organization. International Statistical Classification of Diseases and Health Related Problems ICD-10; World Health Organization: Geneva, Switzerland, 2004. [Google Scholar]
  37. Kay, S.R.; Fiszbein, A.; Opler, L.A. The Positive and Negative Syndrome Scale (PANSS) for Schizophrenia. Schizophr. Bull. 1987, 13, 261–276. [Google Scholar] [CrossRef] [PubMed]
  38. Crow, T.J. The two-syndrome concept: Origins and current status. Schizophr. Bull. 1985, 11, 471–486. [Google Scholar] [CrossRef]
  39. Ivanova, S.; Loonen, A.J.; Bakker, P.R.; Freidin, M.B.; Ter Woerds, N.J.; Al Hadithy, A.F.; Semke, A.V.; Fedorenko, O.Y.; Brouwers, J.R.; Bokhan, N.A.; et al. Likelihood of mechanistic roles for dopaminergic, serotonergic and glutamatergic receptors in tardive dyskinesia: A comparison of genetic variants in two independent patient populations. SAGE Open Med. 2016, 4, 2050312116643673. [Google Scholar] [CrossRef]
  40. Li, J.; Ji, L. Adjusting multiple testing in multilocus analyses using the eigenvalues of a correlation matrix. Heredity 2005, 95, 221–227. [Google Scholar] [CrossRef]
  41. Abel, K.M.; Drake, R.; Goldstein, J.M. Sex differences in schizophrenia. Int. Rev. Psychiatry 2010, 22, 417–428. [Google Scholar] [CrossRef]
  42. Loonen, A.J.M. Het Beweeglijke Brein. de Neurowetenschappelijke Achtergrond van de Psychische Functies, 3rd ed.; Mension: Haarlem, The Netherlands, 2021. [Google Scholar]
  43. Armada-Moreira, A.; Gomes, J.I.; Pina, C.C.; Savchak, O.K.; Gonçalves-Ribeiro, J.; Rei, N.; Pinto, S.; Morais, T.P.; Martins, R.S.; Ribeiro, F.F.; et al. Going the Extra (Synaptic) Mile: Excitotoxicity as the Road Toward Neurodegenerative Diseases. Front. Cell. Neurosci. 2020, 14, 90. [Google Scholar] [CrossRef] [PubMed]
  44. Fiorentino, A.; Sharp, S.I.; McQuillin, A. Association of rare variation in the glutamate receptor gene SLC1A2 with susceptibility to bipolar disorder and schizophrenia. Eur. J. Hum. Genet. 2015, 23, 1200–1206. [Google Scholar] [CrossRef] [PubMed]
  45. Fedorenko, O.; Tang, C.; Sopjani, M.; Föller, M.; Gehring, E.-M.; Strutz-Seebohm, N.; Ureche, O.N.; Ivanova, S.; Semke, A.; Lang, F.; et al. PIP5K2A-dependent regulation of excitatory amino acid transporter EAAT3. Psychopharmacology 2009, 206, 429–435. [Google Scholar] [CrossRef]
  46. Poltavskaya, E.G.; Fedorenko, O.Y.; Vyalova, N.M.; Kornetova, E.G.; Bokhan, N.A.; Loonen, A.J.M.; Ivanova, S.A. Genetic polymorphisms of PIP5K2A and course of schizophrenia. BMC Med Genet. 2020, 21 (Suppl. 1), 171. [Google Scholar] [CrossRef] [PubMed]
Figure 1. Association between GRIN2A rs9788936 and total scores on the Positive and Negative Syndrome Scale (PANSS).
Figure 1. Association between GRIN2A rs9788936 and total scores on the Positive and Negative Syndrome Scale (PANSS).
Genes 14 00575 g001
Table 1. Demographic and clinical parameters of the studied patients.
Table 1. Demographic and clinical parameters of the studied patients.
Sample Size, n805
Sex, n (%)Men: 423 (52.5%)
Women: 382 (47.5%)
Age, years, Me (Q1; Q3)38 (32; 49)
Duration of illness, years, Me (Q1; Q3)13 (7; 22)
n—number of patients; Me—Median; Q1—Quartile 1; Q3—Quartile 3.
Table 2. Odds ratios calculated for polymorphisms of the studied genes associated with the type of course of schizophrenia.
Table 2. Odds ratios calculated for polymorphisms of the studied genes associated with the type of course of schizophrenia.
GeneSNPEffect AlleleOther AlleleORLower 95%Upper 95%p-Value
GRIN2Ars11644461TC0.7390.5760.9500.018
GRIN2Ars8057394GC1.3611.0511.7630.019
GRIN2Brs7313149TC0.7420.5600.9840.038
Note: SNP—Single Nucleotide Polymorphism. Analysis was carried out using logistic regression. Disease type (continuous vs. episodic) was used as a response variable; genotypes (encoded 0, 1, 2) were used as predictors. Adjustment was done for age, sex, chlorpromazine equivalent, and duration of disease. Odds ratios (OR) and 95% confidence intervals are provided for results with at least nominal statistical significance (p < 0.05).
Table 3. Odds ratios calculated for polymorphisms of the studied genes associated with the predominant symptoms of schizophrenia (negative or positive).
Table 3. Odds ratios calculated for polymorphisms of the studied genes associated with the predominant symptoms of schizophrenia (negative or positive).
GeneSNPEffect AlleleOther AlleleORLower 95%Upper 95%p-Value
SLC17A7rs62126236TC0.7780.6130.9880.039
Note: SNP—Single Nucleotide Polymorphism. Analysis was carried out using logistic regression. Disease symptoms (negative vs. positive) were used as a response variable; genotypes (encoded 0, 1, 2) were used as predictors. Adjustment was done for age, sex, chlorpromazine equivalent (CPZeq), and duration of disease. Odds ratios (OR) and 95% confidence intervals are provided for results with at least nominal statistical significance (p < 0.05).
Table 4. Results of analysis of association between PANSS scores and genetic variants.
Table 4. Results of analysis of association between PANSS scores and genetic variants.
GeneSNPEffect AlleleOther AlleleEstimateSEt Valuep-Value
Association between PANSS N1-7 and genetic variants
GRIN2Ars9788936TC−0.1590.061−2.5920.010
GRIN2Ars11646587GA0.1230.0592.1060.036
GRM8rs2299472CA−0.1140.053−2.1220.034
SLC17A7rs62126236TC−0.1150.057−2.0180.044
Association between PANSS P1-7 and genetic variants
GRIN2Ars9788936TC−0.1510.062−2.4540.014
GRIN2Brs7313149TC−0.1330.059−2.2480.025
Association between PANSS G1-16 and genetic variants
GRIN2Ars8057394TC0.1390.0552.5360.011
GRIN2Ars9788936TC−0.1550.062−2.5050.012
SLC1A2rs12361171TA0.1130.0512.2090.027
Association between PANSS total and genetic variants
GRIN2Ars9788936TC−0.1960.061−3.1900.001
GRIN2Ars8057394TC0.1380.0542.5340.011
GRIN2Brs7313149TC−0.1400.058−2.4080.016
SLC1A2rs12361171TA0.1040.0512.0580.040
Note: PANSS—Positive and Negative Syndrome Scale; N1-7—Negative Subscale containing 7 items; P1-7—Positive Subscale containing 7 items; G1-16—General Psychopatology Subscale containing 16 items; SNP—Single Nucleotide Polymorphism; SE—Standard Error. Analysis was carried out using multiple regression. PANSS was used as a response variable; genotypes (encoded 0, 1, 2) were used as predictors. Prior to the analysis, PANSS distribution was transformed to standard normal distribution N [0, 1] using quantile normalization. Adjustment was done for age, sex, CPZeq, and duration of disease. Regression coefficients and standard errors are provided for results with at least nominal statistical significance (p < 0.05).
Disclaimer/Publisher’s Note: The statements, opinions and data contained in all publications are solely those of the individual author(s) and contributor(s) and not of MDPI and/or the editor(s). MDPI and/or the editor(s) disclaim responsibility for any injury to people or property resulting from any ideas, methods, instructions or products referred to in the content.

Share and Cite

MDPI and ACS Style

Poltavskaya, E.G.; Kornetova, E.G.; Freidin, M.B.; Pozhidaev, I.V.; Paderina, D.Z.; Bocharova, A.V.; Semke, A.V.; Bokhan, N.A.; Ivanova, S.A.; Fedorenko, O.Y. The Role of Glutamatergic Gene Polymorphisms in the Clinical Phenotypes of Schizophrenia. Genes 2023, 14, 575. https://doi.org/10.3390/genes14030575

AMA Style

Poltavskaya EG, Kornetova EG, Freidin MB, Pozhidaev IV, Paderina DZ, Bocharova AV, Semke AV, Bokhan NA, Ivanova SA, Fedorenko OY. The Role of Glutamatergic Gene Polymorphisms in the Clinical Phenotypes of Schizophrenia. Genes. 2023; 14(3):575. https://doi.org/10.3390/genes14030575

Chicago/Turabian Style

Poltavskaya, Evgeniya G., Elena G. Kornetova, Maxim B. Freidin, Ivan V. Pozhidaev, Diana Z. Paderina, Anna V. Bocharova, Arkadiy V. Semke, Nikolay A. Bokhan, Svetlana A. Ivanova, and Olga Y. Fedorenko. 2023. "The Role of Glutamatergic Gene Polymorphisms in the Clinical Phenotypes of Schizophrenia" Genes 14, no. 3: 575. https://doi.org/10.3390/genes14030575

APA Style

Poltavskaya, E. G., Kornetova, E. G., Freidin, M. B., Pozhidaev, I. V., Paderina, D. Z., Bocharova, A. V., Semke, A. V., Bokhan, N. A., Ivanova, S. A., & Fedorenko, O. Y. (2023). The Role of Glutamatergic Gene Polymorphisms in the Clinical Phenotypes of Schizophrenia. Genes, 14(3), 575. https://doi.org/10.3390/genes14030575

Note that from the first issue of 2016, this journal uses article numbers instead of page numbers. See further details here.

Article Metrics

Back to TopTop