Comparison of Hi-C-Based Scaffolding Tools on Plant Genomes
Abstract
:1. Introduction
2. Materials and Methods
2.1. Reads and Hi-C Simulation
2.2. Sequence Assembly and Hi-C Mapping
2.3. Preparation and Run
2.4. Evaluation of Scaffolding Tools’ Performance
3. Results
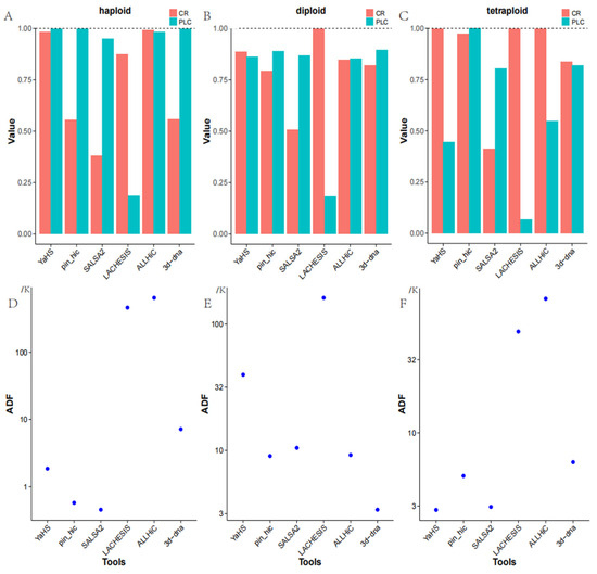
3.1. Haploid Genome
3.2. Diploid Genome
3.3. Tetraploid Genome
3.4. Summary
4. Conclusions
Author Contributions
Funding
Conflicts of Interest
References
- Burton, J.N.; Adey, A.; Patwardhan, R.P.; Qiu, R.; Kitzman, J.O.; Shendure, J. Chromosome-Scale Scaffolding of de Novo Genome Assemblies Based on Chromatin Interactions. Nat. Biotechnol. 2013, 31, 1119–1125. [Google Scholar] [CrossRef] [PubMed]
- Dudchenko, O.; Batra, S.S.; Omer, A.D.; Nyquist, S.K.; Hoeger, M.; Durand, N.C.; Shamim, M.S.; Machol, I.; Lander, E.S.; Aiden, A.P.; et al. De Novo Assembly of the Aedes Aegypti Genome Using Hi-C Yields Chromosome-Length Scaffolds. Science 2017, 356, 92–95. [Google Scholar] [CrossRef]
- Ghurye, J.; Pop, M.; Koren, S.; Bickhart, D.; Chin, C.-S. Scaffolding of Long Read Assemblies Using Long Range Contact Information. BMC Genom. 2017, 18, 527. [Google Scholar] [CrossRef] [PubMed]
- Ghurye, J.; Rhie, A.; Walenz, B.P.; Schmitt, A.; Selvaraj, S.; Pop, M.; Phillippy, A.M.; Koren, S. Integrating Hi-C Links with Assembly Graphs for Chromosome-Scale Assembly. PLoS Comput. Biol. 2019, 15, e1007273. [Google Scholar] [CrossRef] [PubMed]
- Guan, D.; McCarthy, S.A.; Ning, Z.; Wang, G.; Wang, Y.; Durbin, R. Efficient Iterative Hi-C Scaffolder Based on N-Best Neighbors. BMC Bioinform. 2021, 22, 569. [Google Scholar] [CrossRef] [PubMed]
- Zhou, C.; McCarthy, S.A.; Durbin, R. YaHS: Yet Another Hi-C Scaffolding Tool. Bioinformatics 2023, 39, btac808. [Google Scholar] [CrossRef] [PubMed]
- Zhang, X.; Zhang, S.; Zhao, Q.; Ming, R.; Tang, H. Assembly of Allele-Aware, Chromosomal-Scale Autopolyploid Genomes Based on Hi-C Data. Nat. Plants 2019, 5, 833–845. [Google Scholar] [CrossRef] [PubMed]
- Sun, R.; Li, S.; Chang, L.; Dong, J.; Zhong, C.; Zhang, H.; Wei, L.; Gao, Y.; Wang, G.; Zhang, Y.; et al. Chromosome-Level Genome Assembly of Fragaria Pentaphylla Using PacBio and Hi-C Technologies. Front. Genet. 2022, 13, 873711. [Google Scholar] [CrossRef] [PubMed]
- Cheng, H.; Concepcion, G.T.; Feng, X.; Zhang, H.; Li, H. Haplotype-Resolved de Novo Assembly Using Phased Assembly Graphs with Hifiasm. Nat. Methods 2021, 18, 170–175. [Google Scholar] [CrossRef] [PubMed]
- Ono, Y.; Hamada, M.; Asai, K. PBSIM3: A Simulator for All Types of PacBio and ONT Long Reads. NAR Genom. Bioinform. 2022, 4, lqac092. [Google Scholar] [CrossRef] [PubMed]
- DeMaere, M.Z.; Darling, A.E. Sim3C: Simulation of HiC and Meta3C Proximity Ligation Sequencing Technologies. GigaScience 2018, 7, gix103. [Google Scholar] [CrossRef] [PubMed]
- Li, H.; Durbin, R. Fast and Accurate Short Read Alignment with Burrows–Wheeler Transform. Bioinformatics 2009, 25, 1754–1760. [Google Scholar] [CrossRef] [PubMed]
- Li, H.; Handsaker, B.; Wysoker, A.; Fennell, T.; Ruan, J.; Homer, N.; Marth, G.; Abecasis, G.; Durbin, R. 1000 Genome Project Data Processing Subgroup the Sequence Alignment/Map Format and SAMtools. Bioinformatics 2009, 25, 2078–2079. [Google Scholar] [CrossRef] [PubMed]
- Yu, W.; Luo, H.; Yang, J.; Zhang, S.; Jiang, H.; Zhao, X.; Hui, X.; Sun, D.; Li, L.; Wei, X.Q.; et al. Comprehensive Assessment of Eleven de novo HiFi Assemblers on Complex Eukaryotic Genomes and Metagenomes. bioRxiv 2023. [Google Scholar] [CrossRef]
- Yamaguchi, K.; Kadota, M.; Nishimura, O.; Ohishi, Y.; Naito, Y.; Kuraku, S. Technical Considerations in Hi-C Scaffolding and Evaluation of Chromosome-scale Genome Assemblies. Mol. Ecol. 2021, 30, 5923–5934. [Google Scholar] [CrossRef] [PubMed]

| Tools | Haploid | Diploid | Tetraploid | |||
|---|---|---|---|---|---|---|
| CR | PLC | CR | PLC | CR | PLC | |
| YaHS | 0.9826 | 0.9985 | 0.8857 | 0.8618 | 0.9996 | 0.4453 |
| pin_hic | 0.5549 | 0.9995 | 0.7927 | 0.8905 | 0.9731 | 0.9998 |
| SALSA2 | 0.3813 | 0.9496 | 0.5084 | 0.8680 | 0.4135 | 0.8052 |
| LACHESIS | 0.8754 | 0.1863 | 0.9978 | 0.1815 | 0.9996 | 0.0673 |
| ALLHiC | 0.9926 | 0.9814 | 0.8465 | 0.8546 | 0.9982 | 0.5482 |
| 3d-DNA | 0.5583 | 0.9995 | 0.8212 | 0.8947 | 0.8370 | 0.8206 |
Disclaimer/Publisher’s Note: The statements, opinions and data contained in all publications are solely those of the individual author(s) and contributor(s) and not of MDPI and/or the editor(s). MDPI and/or the editor(s) disclaim responsibility for any injury to people or property resulting from any ideas, methods, instructions or products referred to in the content. |
© 2023 by the authors. Licensee MDPI, Basel, Switzerland. This article is an open access article distributed under the terms and conditions of the Creative Commons Attribution (CC BY) license (https://creativecommons.org/licenses/by/4.0/).
Share and Cite
Hou, Y.; Wang, L.; Pan, W. Comparison of Hi-C-Based Scaffolding Tools on Plant Genomes. Genes 2023, 14, 2147. https://doi.org/10.3390/genes14122147
Hou Y, Wang L, Pan W. Comparison of Hi-C-Based Scaffolding Tools on Plant Genomes. Genes. 2023; 14(12):2147. https://doi.org/10.3390/genes14122147
Chicago/Turabian StyleHou, Yuze, Li Wang, and Weihua Pan. 2023. "Comparison of Hi-C-Based Scaffolding Tools on Plant Genomes" Genes 14, no. 12: 2147. https://doi.org/10.3390/genes14122147
APA StyleHou, Y., Wang, L., & Pan, W. (2023). Comparison of Hi-C-Based Scaffolding Tools on Plant Genomes. Genes, 14(12), 2147. https://doi.org/10.3390/genes14122147

