Spatio-Temporal Evolutionary Patterns of the Pieridae Butterflies (Lepidoptera: Papilionoidea) Inferred from Mitogenomic Data
Abstract
1. Introduction
2. Materials and Methods
2.1. DNA Extraction, Mitogenome Sequencing, and Assembly
2.2. Gene Annotation and Mitogenome Analysis
2.3. Measures of Nucleotide Variation
2.4. Phylogenetic Analysis
2.5. Divergence Time Estimation
2.6. Ancestral Area Reconstruction
3. Results and Discussionteen
3.1. Characterization of Mitogenomes
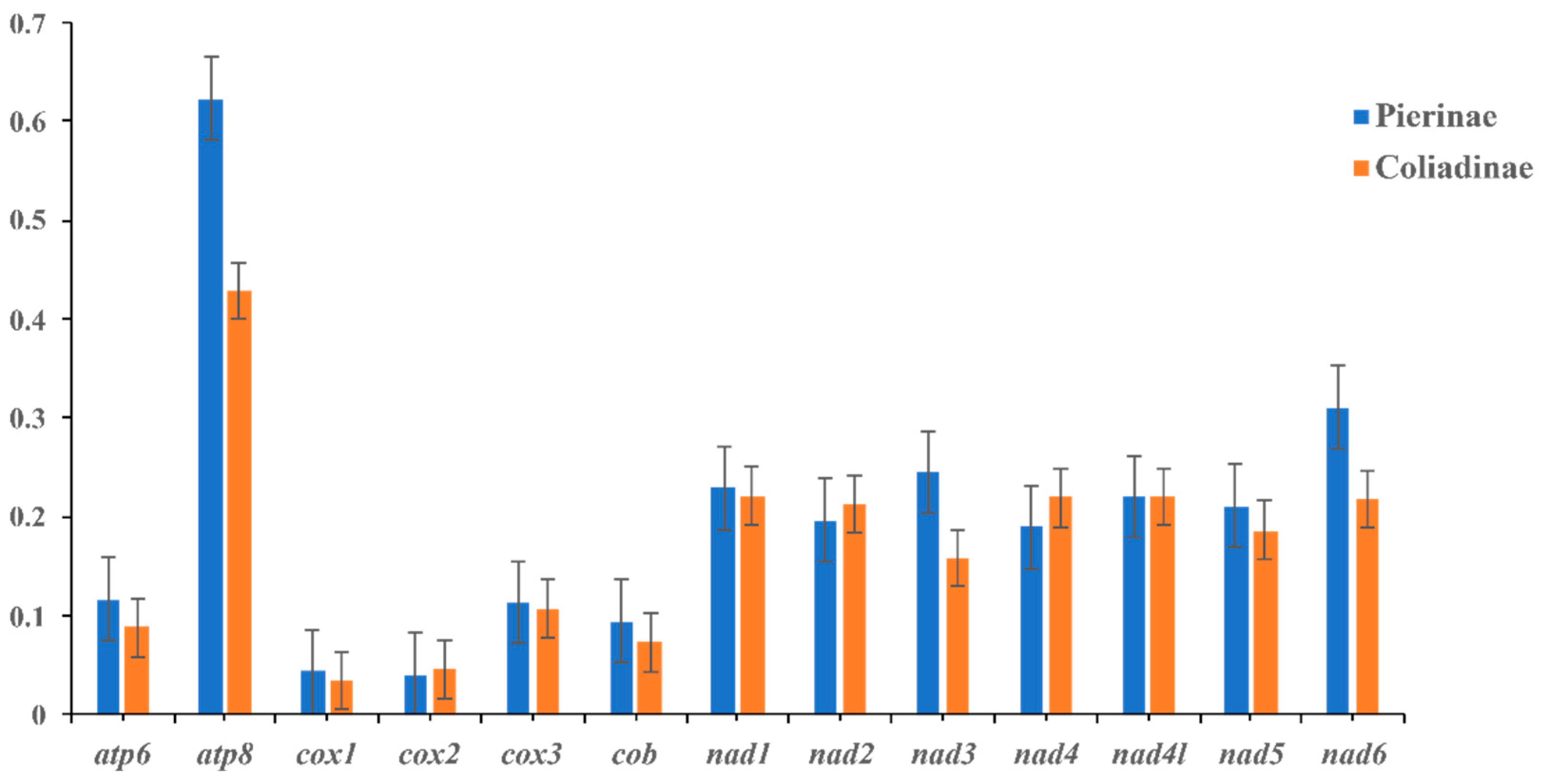
3.2. Assessment of Sequence Variation
3.3. Phylogenetic Relationships
3.4. Divergence Time Estimates
3.5. Ancestral Area Reconstruction
4. Conclusions
Supplementary Materials
Author Contributions
Funding
Institutional Review Board Statement
Informed Consent Statement
Data Availability Statement
Acknowledgments
Conflicts of Interest
References
- Chen, S.; Mao, L.; Zhang, J.; Zhou, K.; Gao, J. Environmental determinants of geographic butterfly richness pattern in eastern China. Biodivers. Conserv. 2014, 23, 1453–1467. [Google Scholar] [CrossRef]
- Ehrlich, P.R.; Raven, P.H. Butterflies and plants: A study in coevolution. Evolution 1964, 18, 586–608. [Google Scholar]
- Roe, A.; Weller, S.; Baixeras, J.; Brown, J.; Cummings, M.; Davis, D.; Kawahara, A.; Parr, C.; Regier, J.; Rubinoff, D. Evolutionary framework for Lepidoptera model systems. In Genetics and Molecular Biology of Lepidoptera; CRC Press: Boca Raton, FL, USA, 2009; pp. 1–24. [Google Scholar]
- Kawahara, A.Y.; Plotkin, D.; Espeland, M.; Meusemann, K.; Toussaint, E.F.; Donath, A.; Gimnich, F.; Frandsen, P.B.; Zwick, A.; Dos Reis, M. Phylogenomics reveals the evolutionary timing and pattern of butterflies and moths. Proc. Natl. Acad. Sci. USA 2019, 116, 22657–22663. [Google Scholar] [CrossRef]
- van Nieukerken, E.J.; Kaila, L.; Kitching, I.J.; Kristensen, N.P.; Lees, D.J.; Minet, J.; Mitter, J.; Mutanen, M.; Regier, J.C.; Simonsen, T.J.; et al. Order Lepidoptera Linnaeus, 1758. Zootaxa 2011, 3148, 212–221. [Google Scholar] [CrossRef]
- Braby, M.F.; Vila, R.; Pierce, N.E. Molecular phylogeny and systematics of the Pieridae (Lepidoptera: Papilionoidea): Higher classification and biogeography. Zool. J. Linn. Soc. 2006, 147, 239–275. [Google Scholar] [CrossRef]
- Wahlberg, N.; Rota, J.; Braby, M.F.; Pierce, N.E.; Wheat, C.W. Revised systematics and higher classification of pierid butterflies (Lepidoptera: Pieridae) based on molecular data. Zool. Scr. 2014, 43, 641–650. [Google Scholar] [CrossRef]
- Braby, M.F. Provisional checklist of genera of the Pieridae (Lepidoptera: Papilionidae). Zootaxa 2005, 832, 1–16. [Google Scholar] [CrossRef]
- Klots, A.B. A generic revision of the Pieridae (Lepidoptera), together with a study of the male genitalia. Entomol. Am. 1933, 12, 139–150. [Google Scholar]
- Reuter, E. Über die Palpen der Rhopaloceren: Ein Beitrag zur Erkenntnis der Verwandtschaftlichen Beziehungen unter den Tagfaltern; Druckerei der Finnischen Litteratur Gesellschaft: Helsinki, Finland, 1896; Volume 22. [Google Scholar]
- Ding, C.P.; Zhang, Y.L. Phylogenetic relationships of Pieridae (Lepidoptera: Papilionoidea) in China based on seven gene fragments. Entomol. Sci. 2017, 20, 15–23. [Google Scholar] [CrossRef]
- Zhang, M.; Yin, J.; Ma, P.; Li, T.; Cao, T.; Zhong, Y. The complete mitochondrial genomes of Aporia crataegi, Gonepteryx rhamni, and Appias remedios (Lepidoptera, Pieridae) and phylogenetic relationship of other Pieridae species. Int. J. Biol. Macromol. 2019, 129, 1069–1080. [Google Scholar] [CrossRef]
- Cao, Y.; Hao, J.S.; Sun, X.Y.; Zheng, B.; Yang, Q. Molecular phylogenetic and dating analysis of pierid butterfly species using complete mitochondrial genomes. Genet. Mol. Res. 2016, 15, gmr15049196. [Google Scholar] [CrossRef] [PubMed]
- Heikkilä, M.; Kaila, L.; Mutanen, M.; Pena, C.; Wahlberg, N. Cretaceous origin and repeated tertiary diversification of the redefined butterflies. Proc. R. Soc. B 2012, 279, 1093–1099. [Google Scholar] [CrossRef] [PubMed]
- Wahlberg, N.; Wheat, C.W.; Peña, C. Timing and patterns in the taxonomic diversification of Lepidoptera (butterflies and moths). PLoS ONE 2013, 8, e80875. [Google Scholar] [CrossRef] [PubMed]
- De Jong, R. Fossil butterflies, calibration points and the molecular clock (Lepidoptera: Papilionoidea). Zootaxa 2017, 4270, 1–63. [Google Scholar] [CrossRef] [PubMed]
- Espeland, M.; Breinholt, J.; Willmott, K.R.; Warren, A.D.; Vila, R.; Toussaint, E.F.A.; Maunsell, S.C.; Aduse-Poku, K.; Talavera, G.; Eastwood, R.; et al. A Comprehensive and Dated Phylogenomic Analysis of Butterflies. Curr. Biol. 2018, 28, 770–778.e5. [Google Scholar] [CrossRef]
- Chazot, N.; Wahlberg, N.; Freitas, A.V.L.; Mitter, C.; Labandeira, C.; Sohn, J.C.; Sahoo, R.K.; Seraphim, N.; De Jong, R.; Heikkilä, M. Priors and posteriors in Bayesian timing of divergence analyses: The age of butterflies revisited. Syst. Biol. 2019, 68, 797–813. [Google Scholar] [CrossRef]
- Braby, M.F.; Pierce, N.E. Systematics, biogeography and diversification of the Indo-Australian genus Delias Hübner (Lepidoptera: Pieridae): Phylogenetic evidence supports an ‘out-of-Australia’ origin. Syst. Entomol. 2007, 32, 2–25. [Google Scholar] [CrossRef]
- Braby, M.F.; Pierce, N.E.; Vila, R. Phylogeny and historical biogeography of the subtribe Aporiina (Lepidoptera: Pieridae): Implications for the origin of Australian butterflies. Biol. J. Linn. Soc. Lond. 2007, 90, 413–440. [Google Scholar] [CrossRef]
- Müller, C.J.; Matos-Maraví, P.F.; Beheregaray, L.B. Delving into Delias Hübner (Lepidoptera: Pieridae): Fine-scale biogeography, phylogenetics and systematics of the world’s largest butterfly genus. J. Biogeogr. 2013, 40, 881–893. [Google Scholar] [CrossRef]
- Warren-Gash, H.; Aduse-Poku, K.; Murillo-Ramos, L.; Wahlberg, N. Systematics and evolution of the African butterfly genus Mylothris (Lepidoptera, Pieridae). Nota Lepidopterol. 2020, 43, 1–14. [Google Scholar] [CrossRef][Green Version]
- Boore, J.L. Animal mitochondrial genomes. Nucleic Acids Res. 1999, 27, 1767–1780. [Google Scholar] [CrossRef]
- Taanman, J.W. The mitochondrial genome: Structure, transcription, translation and replication. Biochim. Biophys. Acta Rev. Cancer 1999, 1410, 103–123. [Google Scholar] [CrossRef]
- Zhang, D.X.; Hewitt, G.M. Insect mitochondrial control region: A review of its structure, evolution and usefulness in evolutionary studies. Biochem. Syst. Ecol. 1997, 25, 99–120. [Google Scholar] [CrossRef]
- Curole, J.P.; Kocher, T.D. Mitogenomics: Digging deeper with complete mitochondrial genomes. Trends Ecol. Evol. 1999, 14, 394–398. [Google Scholar] [CrossRef]
- Lin, C.P.; Danforth, B.N. How do insect nuclear and mitochondrial gene substitution patterns differ? Insights from Bayesian analyses of combined datasets. Mol. Phylogenet. Evol. 2004, 30, 686–702. [Google Scholar]
- Qin, J.; Zhang, Y.; Zhou, X.; Kong, X.; Wei, S.; Ward, R.D.; Zhang, A.B. Mitochondrial phylogenomics and genetic relationships of closely related pine moth (Lasiocampidae: Dendrolimus) species in China, using whole mitochondrial genomes. BMC Genom. 2015, 16, 428. [Google Scholar] [CrossRef]
- Lv, L.; Peng, X.; Jing, S.; Liu, B.; Zhu, L.; He, G. Intraspecific and interspecific variations in the mitochondrial genomes of Nilaparvata (Hemiptera: Delphacidae). J. Econ. Entomol. 2015, 108, 2021–2029. [Google Scholar] [CrossRef]
- Avise, J.C. Mitochondrial DNA polymorphism and a connection between genetics and demography of relevance to conservation. Conserv. Biol. 1995, 9, 686–690. [Google Scholar] [CrossRef]
- Allio, R.; Scornavacca, C.; Nabholz, B.; Clamens, A.L.; Sperling, F.A.; Condamine, F.L. Whole genome shotgun phylogenomics resolves the pattern and timing of swallowtail butterfly evolution. Syst. Biol. 2020, 69, 38–60. [Google Scholar] [CrossRef]
- Nie, L.; Wang, Y.L.; Huang, D.Y.; Tao, R.S.; Su, C.Y.; Hao, J.S.; Zhu, C.D. Mitochondrial genomes of four pierid butterfly species (Lepidoptera: Pieridae) with assessments about Pieridae phylogeny upon multiple mitogenomic datasets. Zool. Syst. 2018, 43, 387–409. [Google Scholar]
- Chen, S.; Zhou, Y.; Chen, Y.; Gu, J. fastp: An ultra-fast all-in-one FASTQ preprocessor. Bioinformatics 2018, 34, i884–i890. [Google Scholar] [CrossRef] [PubMed]
- Jin, J.J.; Yu, W.B.; Yang, J.B.; Song, Y.; DePamphilis, C.W.; Yi, T.S.; Li, D.Z. GetOrganelle: A fast and versatile toolkit for accurate de novo assembly of organelle genomes. Genome Biol. 2020, 21, 241. [Google Scholar] [CrossRef] [PubMed]
- Donath, A.; Jühling, F.; Al-Arab, M.; Bernhart, S.H.; Reinhardt, F.; Stadler, P.F.; Middendorf, M.; Bernt, M. Improved annotation of protein–coding genes boundaries in metazoan mitochondrial genomes. Nucleic Acids Res. 2019, 47, 10543–10552. [Google Scholar] [CrossRef] [PubMed]
- Swindell, S.R.; Plasterer, T.N. Seqman in Sequence Data Analysis Guidebook; Humana: Totowa, NJ, USA, 1997; pp. 75–89. [Google Scholar]
- Benson, G. Tandem repeats finder: A program to analyze DNA sequences. Nucleic Acids Res. 1999, 27, 573–580. [Google Scholar] [CrossRef] [PubMed]
- Xia, X. DAMBE7: New and improved tools for data analysis in molecular biology and evolution. Mol. Biol. Evol. 2018, 35, 1550–1552. [Google Scholar] [CrossRef]
- Rozas, J.; Ferrer-Mata, A.; Sánchez-DelBarrio, J.C.; Guirao-Rico, S.; Librado, P.; Ramos-Onsins, S.E.; Sánchez-Gracia, A. DnaSP 6: DNA sequence polymorphism analysis of large data sets. Mol. Biol. Evol. 2017, 34, 3299–3302. [Google Scholar] [CrossRef]
- Kück, P.; Meid, S.A.; Groß, C.; Wägele, J.W.; Misof, B. AliGROOVE–visualization of heterogeneous sequence divergence within multiple sequence alignments and detection of inflated branch support. BMC Bioinform. 2014, 15, 294. [Google Scholar] [CrossRef]
- Kumar, S.; Stecher, G.; Tamura, K. MEGA7: Molecular evolutionary genetics analysis version 7.0 for bigger datasets. Mol. Biol. Evol. 2016, 33, 1870–1874. [Google Scholar] [CrossRef]
- Katoh, K.; Standley, D.M. MAFFT multiple sequence alignment software version 7: Improvements in performance and usability. Mol. Biol. Evol. 2013, 30, 772–780. [Google Scholar] [CrossRef]
- Castresana, J. Selection of conserved blocks from multiple alignments for their use in phylogenetic analysis. Mol. Biol. Evol. 2000, 17, 540–552. [Google Scholar] [CrossRef]
- Vaidya, G.; Lohman, D.J.; Meier, R. SequenceMatrix: Concatenation software for the fast assembly of multi-gene datasets with character set and codon information. Cladistics 2011, 27, 171–180. [Google Scholar] [CrossRef]
- Nguyen, L.T.; Schmidt, H.A.; Von Haeseler, A.; Minh, B.Q. IQ-TREE: A fast and effective stochastic algorithm for estimating maximum-likelihood phylogenies. Mol. Biol. Evol. 2015, 32, 268–274. [Google Scholar] [CrossRef]
- Kalyaanamoorthy, S.; Minh, B.Q.; Wong, T.K.; Von Haeseler, A.; Jermiin, L.S. ModelFinder: Fast model selection for accurate phylogenetic estimates. Nat. Methods 2017, 14, 587–589. [Google Scholar] [CrossRef]
- Ronquist, F.; Teslenko, M.; Van Der Mark, P.; Ayres, D.L.; Darling, A.; Höhna, S.; Larget, B.; Liu, L.; Suchard, M.A.; Huelsenbeck, J.P. MrBayes 3.2: Efficient Bayesian phylogenetic inference and model choice across a large model space. Syst. Biol. 2012, 61, 539–542. [Google Scholar] [CrossRef]
- Lanfear, R.; Frandsen, P.B.; Wright, A.M.; Senfeld, T.; Calcott, B. PartitionFinder 2: New methods for selecting partitioned models of evolution for molecular and morphological phylogenetic analyses. Mol. Biol. Evol. 2017, 34, 772–773. [Google Scholar] [CrossRef]
- Magallón, S.; Gómez-Acevedo, S.; Sánchez-Reyes, L.L.; Hernández-Hernández, T. A metacalibrated time-tree documents the early rise of flowering plant phylogenetic diversity. New Phytol. 2015, 207, 437–453. [Google Scholar] [CrossRef]
- Nylin, S.; Janz, N. Ecology and evolution of host plant range: Butterflies as a model group. In Herbivores: Between Plants and Predators; Wiley–Blackwell: Hoboken, NJ, USA, 1999; pp. 31–54. [Google Scholar]
- Janz, N.; Nylin, S. Butterflies and plants: A phylogenetic study. Evolution 1998, 52, 486–502. [Google Scholar]
- Suchard, M.A.; Lemey, P.; Baele, G.; Ayres, D.L.; Drummond, A.J.; Rambaut, A. Bayesian phylogenetic and phylodynamic data integration using BEAST 1.10. Virus Evol. 2018, 4, vey016. [Google Scholar] [CrossRef]
- Rambaut, A.; Drummond, A.J.; Xie, D.; Baele, G.; Suchard, M.A. Posterior summarization in Bayesian phylogenetics using Tracer 1. Syst. Biol. 2018, 67, 901–904. [Google Scholar] [CrossRef]
- Stadler, T. Lineages-through-time plots of neutral models for speciation. Math. Biosci. 2008, 216, 163–171. [Google Scholar] [CrossRef]
- R Core Team. R: A Language and Environment for Statistical Computing; R Foundation for Statistical Computing: Vienna, Austria, 2013. [Google Scholar]
- Wahlberg, N.; Leneveu, J.; Kodandaramaiah, U.; Peña, C.; Nylin, S.; Freitas, A.V.; Brower, A.V. Nymphalid butterflies diversify following near demise at the Cretaceous/Tertiary boundary. Proc. R. Soc. B 2009, 276, 4295–4302. [Google Scholar] [CrossRef] [PubMed]
- Yu, Y.; Harris, A.J.; Blair, C.; He, X. RASP (Reconstruct Ancestral State in Phylogenies): A tool for historical biogeography. Mol. Biol. Evol. 2015, 87, 46–49. [Google Scholar] [CrossRef] [PubMed]
- Fordyce, J.A. Host shifts and evolutionary radiations of butterflies. Proc. R. Soc. B 2010, 277, 3735–3743. [Google Scholar] [CrossRef] [PubMed]
- Chou, I. Classification and Identification of Chinese Butterflies; Henan Scientific and Technological Publishing House: Henan, China, 1998. [Google Scholar]
- Yata, O. Butterflies of the South East Asian Islands. Volume II: Pieridae, Danaidae; Plapac. Co.: Tokyo, Japan, 1981. [Google Scholar]
- Marjanović, D.; Laurin, M. Fossils, molecules, divergence times, and the origin of lissamphibians. Syst. Biol. 2007, 56, 369–388. [Google Scholar] [CrossRef] [PubMed]
- Yang, Z.; Rannala, B. Bayesian estimation of species divergence times under a molecular clock using multiple fossil calibrations with soft bounds. Mol. Biol. Evol. 2006, 23, 212–226. [Google Scholar] [CrossRef]
- Labandeira, C.C.; Johnson, K.R.; Wilf, P. Impact of the terminal Cretaceous event on plant-insect associations. Proc. Natl. Acad. Sci. USA 2002, 99, 2061–2066. [Google Scholar] [CrossRef]
- Wheat, C.W.; Vogel, H.; Wittstock, U.; Braby, M.F.; Underwood, D.; Mitchell-Olds, T. The genetic basis of a plant-insect coevolutionary key innovation. Proc. Natl. Acad. Sci. USA 2007, 104, 20427–20431. [Google Scholar] [CrossRef]
- Cody, S.; Richardson, J.E.; Rull, V.; Ellis, C.; Pennington, R.T. The great American biotic interchange revisited. Ecography 2010, 33, 326–332. [Google Scholar] [CrossRef]
- Houben, A.J.; van Mourik, C.A.; Montanari, A.; Coccioni, R.; Brinkhuis, H. The Eocene–Oligocene transition: Changes in sea level, temperature or both? Palaeogeogr. Palaeoclimatol. Palaeoecol. 2012, 335, 75–83. [Google Scholar] [CrossRef]
- Cardinal-McTeague, W.M.; Sytsma, K.J.; Hall, J.C. Biogeography and diversification of Brassicales: A 103 million year tale. Mol. Phylogenet. Evol. 2016, 99, 204–224. [Google Scholar] [CrossRef]
- Reinert, J.F. Zoogeography of Aedes (Diceromyia) Theobald (Diptera: Culicidae). Entomol. Soc. S. Afr. J. 1970, 33, 129–141. [Google Scholar]
- Chatterjee, S.; Bajpai, S. India’s northward drift from Gondwana to Asia during the Late Cretaceous–Eocene. Proc. Indian Natl. Sci. Acad. USA 2016, 82, 479–487. [Google Scholar] [CrossRef]
- Sanmartín, I.; Enghoff, H.; Ronquist, F. Patterns of animal dispersal, vicariance and diversification in the Holarctic. Biol. J. Linn. Soc. Lond. 2001, 73, 345–390. [Google Scholar] [CrossRef]
- Montes, C.; Bayona, G.; Cardona, A.; Buchs, D.M.; Silva, C.A.; Morón, S.; Hoyos, N.; Ramírez, D.A.; Jaramillo, C.A.; Valencia, V. Arc-continent collision and orocline formation: Closing of the Central American seaway. J. Geophys. Res. Solid Earth. 2012, 117, B04105. [Google Scholar] [CrossRef]
- Haq, B.U.; Hardenbol, J.; Vail, P.R. Mesozoic and Cenozoic chronostratigraphy and eustatic cycles. SEPM Spec. Pub. 1988, 42, 71–108. [Google Scholar]
- Shi, X.Y. 35Ma: An important natural periodicity in geological history: Concept and causes of natural crisis. Earth Sci. J. China Univ. Geosci. 1996, 21, 53. [Google Scholar]
- Pound, M.J.; Salzmann, U. Heterogeneity in global vegetation and terrestrial climate change during the late Eocene to early Oligocene transition. Sci. Rep. 2017, 7, 43386. [Google Scholar] [CrossRef]
- Vila, R.; Bell, C.D.; Macniven, R.; Goldman-Huertas, B.; Ree, R.H.; Marshall, C.R.; Balint, Z.; Johnson, K.; Benyamini, D.; Pierce, N.E. Phylogeny and palaeoecology of Polyommatus blue butterflies show Beringia was a climate-regulated gateway to the New World. Proc. R. Soc. B 2011, 278, 2737–2744. [Google Scholar] [CrossRef]
- Brikiatis, L. The De Geer, Thulean and Beringia routes: Key concepts for understanding early Cenozoic biogeography. J. Biogeogr. 2014, 41, 1036–1054. [Google Scholar] [CrossRef]








Disclaimer/Publisher’s Note: The statements, opinions and data contained in all publications are solely those of the individual author(s) and contributor(s) and not of MDPI and/or the editor(s). MDPI and/or the editor(s) disclaim responsibility for any injury to people or property resulting from any ideas, methods, instructions or products referred to in the content. |
© 2022 by the authors. Licensee MDPI, Basel, Switzerland. This article is an open access article distributed under the terms and conditions of the Creative Commons Attribution (CC BY) license (https://creativecommons.org/licenses/by/4.0/).
Share and Cite
Wei, F.; Huang, W.; Fang, L.; He, B.; Zhao, Y.; Zhang, Y.; Shu, Z.; Su, C.; Hao, J. Spatio-Temporal Evolutionary Patterns of the Pieridae Butterflies (Lepidoptera: Papilionoidea) Inferred from Mitogenomic Data. Genes 2023, 14, 72. https://doi.org/10.3390/genes14010072
Wei F, Huang W, Fang L, He B, Zhao Y, Zhang Y, Shu Z, Su C, Hao J. Spatio-Temporal Evolutionary Patterns of the Pieridae Butterflies (Lepidoptera: Papilionoidea) Inferred from Mitogenomic Data. Genes. 2023; 14(1):72. https://doi.org/10.3390/genes14010072
Chicago/Turabian StyleWei, Fanyu, Wenxiang Huang, Lin Fang, Bo He, Youjie Zhao, Yingming Zhang, Zufei Shu, Chengyong Su, and Jiasheng Hao. 2023. "Spatio-Temporal Evolutionary Patterns of the Pieridae Butterflies (Lepidoptera: Papilionoidea) Inferred from Mitogenomic Data" Genes 14, no. 1: 72. https://doi.org/10.3390/genes14010072
APA StyleWei, F., Huang, W., Fang, L., He, B., Zhao, Y., Zhang, Y., Shu, Z., Su, C., & Hao, J. (2023). Spatio-Temporal Evolutionary Patterns of the Pieridae Butterflies (Lepidoptera: Papilionoidea) Inferred from Mitogenomic Data. Genes, 14(1), 72. https://doi.org/10.3390/genes14010072

