The Influence of 5-HTTLPR, BDNF Rs6265 and COMT Rs4680 Polymorphisms on Impulsivity in Bipolar Disorder: The Role of Gender
Abstract
1. Introduction
2. Materials and Methods
2.1. Study Sample
2.2. Assessment Tools
2.3. Genotype Analysis
2.4. Statistical Analysis
3. Results
3.1. Characteristics of the Sample
3.2. Impulsivity Scores
3.3. Mixed-Effects Regression Model
3.3.1. Main Effects
3.3.2. Interaction Effects
3.4. Retrospective Design Analysis
4. Discussion
- (1)
- In our sample of euthymic BD individuals, BD diagnosis was associated with higher impulsivity scores across all BIS factors when compared to HC; this finding confirms earlier reports [75], ultimately suggesting that impulsivity may represent a state-independent trait of the disease.
- (2)
- The effect of the interaction between BD diagnosis and polymorphism status on impulsivity levels was not significant for any of the three polymorphisms considered.
- (3)
- In the whole sample (HC+BD), BDNF Met/Met homozygosis (but not Val/Met heterozygosis) was associated with lower BIS scores when compared to the wild-type genotype (Val/Val).
- (4)
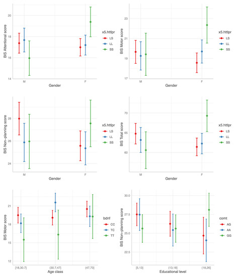
- A genotype × gender interaction was evident for the 5-HTTLPR polymorphism in females, with the SS genotype (but not the LS heterozygosis) being associated with higher BIS scores. Conversely, no main effect was evident for the SS homozygosis.
- (5)
- No significant association was found between COMT genotype status and impulsivity levels.
4.1. No Differences in the Effect of SNPs on Impulsivity between HC and BD
4.2. The Effect of BDNF on BIS Scores
4.3. HTTLPR x Gender Interaction Effect on Impulsivity Measures
5. Conclusions
Supplementary Materials
Author Contributions
Funding
Informed Consent Statement
Data Availability Statement
Conflicts of Interest
References
- Grande, I.; Berk, M.; Birmaher, B.; Vieta, E. Bipolar disorder. Lancet 2016, 387, 1561–1572. [Google Scholar] [CrossRef]
- WHO. Global Health Estimates: Life Expectancy and Leading Causes of Death and Disability; WHO: Geneva, Switzerland, 2019. [Google Scholar]
- Dong, M.; Lu, L.; Zhang, L.; Zhang, Q.; Ungvari, G.S.; Ng, C.H.; Yuan, Z.; Xiang, Y.; Wang, G.; Xiang, Y.-T. Prevalence of suicide attempts in bipolar disorder: A systematic review and meta-analysis of observational studies. Epidemiol. Psychiatr. Sci. 2020, 29, e63. [Google Scholar] [CrossRef] [PubMed]
- Fountoulakis, K.N.; Gonda, X.; Koufaki, I.; Hyphantis, T.; Cloninger, C.R. The Role of Temperament in the Etiopathogenesis of Bipolar Spectrum Illness. Harv. Rev. Psychiatry 2016, 24, 36–52. [Google Scholar] [CrossRef] [PubMed][Green Version]
- Fletcher, K.; Parker, G.; Barrett, M.; Synnott, H.; McCraw, S. Temperament and personality in bipolar II disorder. J. Affect. Disord. 2012, 136, 304–309. [Google Scholar] [CrossRef] [PubMed]
- Engström, C.; Brändström, S.; Sigvardsson, S.; Cloninger, R.; Nylander, P.-O. Bipolar disorder: I. Temperament and character. J. Affect. Disord. 2004, 82, 131–134. [Google Scholar] [CrossRef]
- Zaninotto, L.; Souery, D.; Calati, R.; Di Nicola, M.; Montgomery, S.; Kasper, S.; Zohar, J.; Mendlewicz, J.; Robert Cloninger, C.; Serretti, A.; et al. Temperament and character profiles in bipolar I, bipolar II and major depressive disorder: Impact over illness course, comorbidity pattern and psychopathological features of depression. J. Affect. Disord. 2015, 184, 51–59. [Google Scholar] [CrossRef]
- Sparding, T.; Pålsson, E.; Joas, E.; Hansen, S.; Landén, M. Personality traits in bipolar disorder and influence on outcome. BMC Psychiatry 2017, 17, 159. [Google Scholar] [CrossRef]
- Meyer, T.D.; Hautzinger, M. Screening for bipolar disorders using the Hypomanic Personality Scale. J. Affect. Disord. 2003, 75, 149–154. [Google Scholar] [CrossRef]
- Johnson, S.L.; Carver, C.S.; Tharp, J.A. Suicidality in Bipolar Disorder: The Role of Emotion-Triggered Impulsivity. Suicide Life Threat. Behav. 2017, 47, 177–192. [Google Scholar] [CrossRef]
- Richard-Lepouriel, H.; Kung, A.-L.; Hasler, R.; Bellivier, F.; Prada, P.; Gard, S.; Ardu, S.; Kahn, J.-P.; Dayer, A.; Henry, C.; et al. Impulsivity and its association with childhood trauma experiences across bipolar disorder, attention deficit hyperactivity disorder and borderline personality disorder. J. Affect. Disord. 2019, 244, 33–41. [Google Scholar] [CrossRef]
- Ozten, M.; Erol, A. Impulsivity differences between bipolar and unipolar depression. Indian J. Psychiatry 2019, 61, 156–160. [Google Scholar] [CrossRef] [PubMed]
- Rote, J.; Dingelstadt, A.-M.-L.; Aigner, A.; Bauer, M.; Fiebig, J.; König, B.; Kunze, J.; Pfeiffer, S.; Pfennig, A.; Quinlivan, E.; et al. Impulsivity predicts illness severity in long-term course of bipolar disorder: A prospective approach. Aust. N. Z. J. Psychiatry 2018, 52, 876–886. [Google Scholar] [CrossRef]
- Henna, E.; Hatch, J.P.; Nicoletti, M.; Swann, A.C.; Zunta-Soares, G.; Soares, J.C. Is impulsivity a common trait in bipolar and unipolar disorders? Bipolar Disord. 2013, 15, 223–227. [Google Scholar] [CrossRef] [PubMed]
- Sanches, M.; Scott-Gurnell, K.; Patel, A.; Caetano, S.C.; Zunta-Soares, G.B.; Hatch, J.P.; Olvera, R.; Swann, A.C.; Soares, J.C. Impulsivity in children and adolescents with mood disorders and unaffected offspring of bipolar parents. Compr. Psychiatry 2014, 55, 1337–1341. [Google Scholar] [CrossRef] [PubMed]
- Wessa, M.; Kollmann, B.; Linke, J.; Schönfelder, S.; Kanske, P. Increased impulsivity as a vulnerability marker for bipolar disorder: Evidence from self-report and experimental measures in two high-risk populations. J. Affect. Disord. 2015, 178, 18–24. [Google Scholar] [CrossRef]
- Lombardo, L.E.; Bearden, C.E.; Barrett, J.; Brumbaugh, M.S.; Pittman, B.; Frangou, S.; Glahn, D.C. Trait impulsivity as an endophenotype for bipolar I disorder: Trait impulsivity as an endophenotype for BD-I. Bipolar Disord. 2012, 14, 565–570. [Google Scholar] [CrossRef] [PubMed]
- Moeller, F.G.; Barratt, E.S.; Dougherty, D.M.; Schmitz, J.M.; Swann, A.C. Psychiatric Aspects of Impulsivity. Am. J. Psychiatry 2001, 158, 1783–1793. [Google Scholar] [CrossRef] [PubMed]
- Pettinati, H.M.; O’Brien, C.P.; Dundon, W.D. Current Status of Co-Occurring Mood and Substance Use Disorders: A New Therapeutic Target. Am. J. Psychiatry 2013, 170, 23–30. [Google Scholar] [CrossRef] [PubMed]
- Kim, Y.-S.; Cha, B.; Lee, D.; Kim, S.-M.; Moon, E.; Park, C.-S.; Kim, B.-J.; Lee, C.-S.; Lee, S. The Relationship between Impulsivity and Quality of Life in Euthymic Patients with Bipolar Disorder. Psychiatry Investig. 2013, 10, 246. [Google Scholar] [CrossRef]
- Ng, T.H.; Stange, J.P.; Black, C.L.; Titone, M.K.; Weiss, R.B.; Abramson, L.Y.; Alloy, L.B. Impulsivity predicts the onset of DSM-IV-TR or RDC hypomanic and manic episodes in adolescents and young adults with high or moderate reward sensitivity. J. Affect. Disord. 2016, 198, 88–95. [Google Scholar] [CrossRef]
- Bezdjian, S.; Baker, L.A.; Tuvblad, C. Genetic and environmental influences on impulsivity: A meta-analysis of twin, family and adoption studies. Clin. Psychol. Rev. 2011, 31, 1209–1223. [Google Scholar] [CrossRef] [PubMed]
- Khadka, S.; Narayanan, B.; Meda, S.A.; Gelernter, J.; Han, S.; Sawyer, B.; Aslanzadeh, F.; Stevens, M.C.; Hawkins, K.A.; Anticevic, A.; et al. Genetic association of impulsivity in young adults: A multivariate study. Transl. Psychiatry 2014, 4, e451. [Google Scholar] [CrossRef] [PubMed]
- Sanchez-Roige, S.; Fontanillas, P.; Elson, S.L.; Gray, J.C.; de Wit, H.; MacKillop, J.; Palmer, A.A. Genome-wide association studies of impulsive personality traits (BIS-11 and UPPSP) and drug experimentation in up to 22,861 adult research participants identify loci in the CACNA1I and CADM2 genes. J. Neurosci. 2019, 39, 2562–2572. [Google Scholar] [CrossRef] [PubMed]
- Jiménez, E.; Arias, B.; Mitjans, M.; Goikolea, J.M.; Roda, E.; Ruíz, V.; Pérez, A.; Sáiz, P.A.; Paz García-Portilla, M.; Burón, P.; et al. Association between GSK3β gene and increased impulsivity in bipolar disorder. Eur. Neuropsychopharmacol. 2014, 24, 510–518. [Google Scholar] [CrossRef] [PubMed]
- Malloy-Diniz, L.F.; Neves, F.S.; de Moraes, P.H.P.; De Marco, L.A.; Romano-Silva, M.A.; Krebs, M.-O.; Corrêa, H. The 5-HTTLPR polymorphism, impulsivity and suicide behavior in euthymic bipolar patients. J. Affect. Disord. 2011, 133, 221–226. [Google Scholar] [CrossRef] [PubMed]
- Greenwood, T.A.; Joo, E.-J.; Shekhtman, T.; Sadovnick, A.D.; Remick, R.A.; Keck, P.E.; McElroy, S.L.; Kelsoe, J.R. Association of dopamine transporter gene variants with childhood ADHD features in bipolar disorder. Am. J. Med. Genet. B Neuropsychiatr. Genet. 2013, 162, 137–145. [Google Scholar] [CrossRef] [PubMed]
- Rao, S.; Han, X.; Shi, M.; Siu, C.O.; Waye, M.M.Y.; Liu, G.; Wing, Y.K. Associations of the serotonin transporter promoter polymorphism (5-HTTLPR) with bipolar disorder and treatment response: A systematic review and meta-analysis. Prog. Neuropsychopharmacol. Biol. Psychiatry 2019, 89, 214–226. [Google Scholar] [CrossRef]
- Chiou, Y.-J.; Huang, T.-L. Brain-derived neurotrophic factor (BDNF) and bipolar disorder. Psychiatry Res. 2019, 274, 395–399. [Google Scholar] [CrossRef]
- Ahmadi, L.; Kazemi Nezhad, S.R.; Behbahani, P.; Khajeddin, N.; Pourmehdi-Boroujeni, M. Genetic Variations of DAOA (rs947267 and rs3918342) and COMT Genes (rs165599 and rs4680) in Schizophrenia and Bipolar I Disorder. Basic Clin. Neurosci. J. 2018, 9, 429–438. [Google Scholar] [CrossRef]
- Porcelli, S.; Marsano, A.; Caletti, E.; Sala, M.; Abbiati, V.; Bellani, M.; Perlini, C.; Rossetti, M.G.; Mandolini, G.M.; Pigoni, A.; et al. Temperament and Character Inventory in Bipolar Disorder versus Healthy Controls and Modulatory Effects of 3 Key Functional Gene Variants. Neuropsychobiology 2017, 76, 209–221. [Google Scholar] [CrossRef]
- Käenmäki, M.; Tammimäki, A.; Myöhänen, T.; Pakarinen, K.; Amberg, C.; Karayiorgou, M.; Gogos, J.A.; Männistö, P.T. Quantitative role of COMT in dopamine clearance in the prefrontal cortex of freely moving mice: Quantitative role of COMT in the prefrontal cortex. J. Neurochem. 2010, 114, 1745–1755. [Google Scholar] [CrossRef] [PubMed]
- Olsson, C.A.; Byrnes, G.B.; Anney, R.J.L.; Collins, V.; Hemphill, S.A.; Williamson, R.; Patton, G.C. COMT Val158 Met and 5HTTLPR functional loci interact to predict persistence of anxiety across adolescence: Results from the Victorian Adolescent Health Cohort Study. Genes Brain Behav. 2007, 6, 647–652. [Google Scholar] [CrossRef]
- Lachman, H.M.; Papolos, D.F.; Saito, T.; Yu, Y.-M.; Szumlanski, C.L.; Weinshilboum, R.M. Human catechol-O-methyltransferase pharmacogenetics: Description of a functional polymorphism and its potential application to neuropsychiatric disorders. Pharmacogenetics 1996, 6, 243–250. [Google Scholar] [CrossRef] [PubMed]
- Pigoni, A.; Lazzaretti, M.; Mandolini, G.M.; Delvecchio, G.; Altamura, A.C.; Soares, J.C.; Brambilla, P. The impact of COMT polymorphisms on cognition in Bipolar Disorder: A review. J. Affect. Disord. 2019, 243, 545–551. [Google Scholar] [CrossRef] [PubMed]
- Calati, R.; Porcelli, S.; Giegling, I.; Hartmann, A.M.; Möller, H.-J.; De Ronchi, D.; Serretti, A.; Rujescu, D. Catechol-o-methyltransferase gene modulation on suicidal behavior and personality traits: Review, meta-analysis and association study. J. Psychiatr. Res. 2011, 45, 309–321. [Google Scholar] [CrossRef] [PubMed]
- Glavina Jelas, I.; Devic, I.; Karlovic, D. Cloninger’s temperament and character dimensions and dopaminergic genes: DAT1 VNTR and COMT Val158Met polymorphisms. Psychiatr. Danub. 2018, 30, 47–56. [Google Scholar] [CrossRef] [PubMed]
- Kotyuk, E.; Duchek, J.; Head, D.; Szekely, A.; Goate, A.M.; Balota, D.A. A genetic variant (COMT) coding dopaminergic activity predicts personality traits in healthy elderly. Personal. Individ. Differ. 2015, 82, 61–66. [Google Scholar] [CrossRef] [PubMed]
- Enge, S.; Sach, M.; Reif, A.; Lesch, K.-P.; Miller, R.; Fleischhauer, M. Cumulative Dopamine Genetic Score predicts behavioral and electrophysiological correlates of response inhibition via interactions with task demand. Cogn. Affect. Behav. Neurosci. 2020, 20, 59–75. [Google Scholar] [CrossRef]
- Paloyelis, Y.; Asherson, P.; Mehta, M.A.; Faraone, S.V.; Kuntsi, J. DAT1 and COMT Effects on Delay Discounting and Trait Impulsivity in Male Adolescents with Attention Deficit/Hyperactivity Disorder and Healthy Controls. Neuropsychopharmacology 2010, 35, 2414–2426. [Google Scholar] [CrossRef]
- Leehr, E.J.; Schag, K.; Brückmann, C.; Plewnia, C.; Zipfel, S.; Nieratschker, V.; Giel, K.E. A Putative Association of COMT Val(108/158)Met with Impulsivity in Binge Eating Disorder: COMT and BED. Eur. Eat. Disord. Rev. 2016, 24, 169–173. [Google Scholar] [CrossRef]
- Lazzaretti, M.; Fabbro, D.; Sala, M.; Del Toso, K.; de Vidovich, G.; Marraffini, E.; Morandotti, N.; Gambini, F.; Barale, F.; Balestrieri, M.; et al. Association between Low-Activity Allele of Cathecolamine-O-Methyl-Transferase (COMT) and Borderline Personality Disorder in an Italian Population. Behav. Med. 2013, 39, 25–28. [Google Scholar] [CrossRef] [PubMed]
- Coleman, J.A.; Green, E.M.; Gouaux, E. X-ray structures and mechanism of the human serotonin transporter. Nature 2016, 532, 334–339. [Google Scholar] [CrossRef] [PubMed]
- Möller, I.R.; Slivacka, M.; Nielsen, A.K.; Rasmussen, S.G.F.; Gether, U.; Loland, C.J.; Rand, K.D. Conformational dynamics of the human serotonin transporter during substrate and drug binding. Nat. Commun. 2019, 10, 1687. [Google Scholar] [CrossRef] [PubMed]
- Lesch, K.-P.; Bengel, D.; Heils, A.; Sabol, S.Z.; Greenberg, B.D.; Petri, S.; Benjamin, J.; Muller, C.R.; Hamer, D.H.; Murphy, D.L. Association of Anxiety-Related Traits with a Polymorphism in the Serotonin Transporter Gene Regulatory Region. Science 1996, 274, 1527–1531. [Google Scholar] [CrossRef]
- Gonda, X.; Fountoulakis, K.N.; Rihmer, Z.; Lazary, J.; Laszik, A.; Akiskal, K.K.; Akiskal, H.S.; Bagdy, G. Towards a genetically validated new affective temperament scale: A delineation of the temperament ’phenotype’ of 5-HTTLPR using the TEMPS-A. J. Affect. Disord. 2009, 112, 19–29. [Google Scholar] [CrossRef]
- Plieger, T.; Montag, C.; Felten, A.; Reuter, M. The serotonin transporter polymorphism (5-HTTLPR) and personality: Response style as a new endophenotype for anxiety. Int. J. Neuropsychopharmacol. 2014, 17, 851–858. [Google Scholar] [CrossRef]
- Luo, Y.L.L.; Welker, K.M.; Way, B.; DeWall, N.; Bushman, B.J.; Wildschut, T.; Sedikides, C. 5-HTTLPR polymorphism is associated with nostalgia proneness: The role of neuroticism. Soc. Neurosci. 2019, 14, 183–190. [Google Scholar] [CrossRef]
- Schepers, R.; Markus, C.R. The interaction between 5-HTTLPR genotype and ruminative thinking on BMI. Br. J. Nutr. 2017, 118, 629–637. [Google Scholar] [CrossRef]
- Talati, A.; Odgerel, Z.; Wickramaratne, P.J.; Norcini-Pala, A.; Skipper, J.L.; Gingrich, J.A.; Weissman, M.M. Associations between serotonin transporter and behavioral traits and diagnoses related to anxiety. Psychiatry Res. 2017, 253, 211–219. [Google Scholar] [CrossRef]
- Nomura, M.; Kaneko, M.; Okuma, Y.; Nomura, J.; Kusumi, I.; Koyama, T.; Nomura, Y. Involvement of Serotonin Transporter Gene Polymorphisms (5-HTT) in Impulsive Behavior in the Japanese Population. PLoS ONE 2015, 10, e0119743. [Google Scholar] [CrossRef]
- Lage, G.M.; Malloy-Diniz, L.F.; Matos, L.O.; Bastos, M.A.R.; Abrantes, S.S.C.; Corrêa, H. Impulsivity and the 5-HTTLPR Polymorphism in a Non-Clinical Sample. PLoS ONE 2011, 6, e16927. [Google Scholar] [CrossRef] [PubMed]
- Eun, T.K.; Jeong, S.H.; Lee, K.Y.; Kim, S.H.; Ahn, Y.M.; Bang, Y.W.; Joo, E.-J. Association between the 5-HTTLPR Genotype and Childhood Characteristics in Mood Disorders. Clin. Psychopharmacol. Neurosci. 2016, 14, 88–95. [Google Scholar] [CrossRef] [PubMed]
- Notaras, M.; van den Buuse, M. Brain-Derived Neurotrophic Factor (BDNF): Novel Insights into Regulation and Genetic Variation. Neuroscientist 2019, 25, 434–454. [Google Scholar] [CrossRef] [PubMed]
- Egan, M.F.; Kojima, M.; Callicott, J.H.; Goldberg, T.E.; Kolachana, B.S.; Bertolino, A.; Zaitsev, E.; Gold, B.; Goldman, D.; Dean, M.; et al. The BDNF val66met Polymorphism Affects Activity-Dependent Secretion of BDNF and Human Memory and Hippocampal Function. Cell 2003, 112, 257–269. [Google Scholar] [CrossRef]
- In Kang, J.; Song, D.-H.; Namkoong, K.; Kim, S.J. Interaction effects between COMT and BDNF polymorphisms on boredom susceptibility of sensation seeking traits. Psychiatry Res. 2010, 178, 132–136. [Google Scholar] [CrossRef]
- Kim, S.J.; Cho, S.-J.; Jang, H.M.; Shin, J.; Park, P.-W.; Lee, Y.J.; Cho, I.H.; Choi, J.-E.; Lee, H.-J. Interaction between Brain-Derived Neurotrophic Factor Val66Met Polymorphism and Recent Negative Stressor in Harm Avoidance. Neuropsychobiology 2010, 61, 19–26. [Google Scholar] [CrossRef]
- Toh, Y.L.; Ng, T.; Tan, M.; Tan, A.; Chan, A. Impact of brain-derived neurotrophic factor genetic polymorphism on cognition: A systematic review. Brain Behav. 2018, 8, e01009. [Google Scholar] [CrossRef]
- Mandolini, G.M.; Lazzaretti, M.; Pigoni, A.; Delvecchio, G.; Soares, J.C.; Brambilla, P. The impact of BDNF Val66Met polymorphism on cognition in Bipolar Disorder: A review. J. Affect. Disord. 2019, 243, 552–558. [Google Scholar] [CrossRef]
- Kambeitz, J.P.; Bhattacharyya, S.; Kambeitz-Ilankovic, L.M.; Valli, I.; Collier, D.A.; McGuire, P. Effect of BDNF val66met polymorphism on declarative memory and its neural substrate: A meta-analysis. Neurosci. Biobehav. Rev. 2012, 36, 2165–2177. [Google Scholar] [CrossRef]
- Karg, K.; Burmeister, M.; Shedden, K.; Sen, S. The Serotonin Transporter Promoter Variant (5-HTTLPR), Stress, and Depression Meta-analysis Revisited: Evidence of Genetic Moderation. Arch. Gen. Psychiatry 2011, 68, 444. [Google Scholar] [CrossRef]
- González-Castro, T.B.; Salas-Magaña, M.; Juárez-Rojop, I.E.; López-Narváez, M.L.; Tovilla-Zárate, C.A.; Hernández-Díaz, Y. Exploring the association between BDNF Val66Met polymorphism and suicidal behavior: Meta-analysis and systematic review. J. Psychiatr. Res. 2017, 94, 208–217. [Google Scholar] [CrossRef] [PubMed]
- Youssef, M.M.; Underwood, M.D.; Huang, Y.-Y.; Hsiung, S.; Liu, Y.; Simpson, N.R.; Bakalian, M.J.; Rosoklija, G.B.; Dwork, A.J.; Arango, V.; et al. Association of BDNF Val66Met Polymorphism and Brain BDNF Levels with Major Depression and Suicide. Int. J. Neuropsychopharmacol. 2018, 21, 528–538. [Google Scholar] [CrossRef] [PubMed]
- He, L.; Liao, Y.; Wu, Q.; Liu, T. Association Between Brain-Derived Neurotrophic Factor Val66Met Polymorphism and Methamphetamine Use Disorder: A Meta-Analysis. Front. Psychiatry 2020, 11, 585852. [Google Scholar] [CrossRef]
- Su, H.; Tao, J.; Zhang, J.; Xie, Y.; Sun, Y.; Li, L.; Xu, K.; Han, B.; Lu, Y.; Sun, H.; et al. An association between BDNF Val66Met polymorphism and impulsivity in methamphetamine abusers. Neurosci. Lett. 2014, 582, 16–20. [Google Scholar] [CrossRef] [PubMed]
- Wojnar, M.; Brower, K.J.; Strobbe, S.; Ilgen, M.; Matsumoto, H.; Nowosad, I.; Sliwerska, E.; Burmeister, M. Association between Val66Met brain-derived neurotrophic factor (BDNF) gene polymorphism and post-treatment relapse in alcohol dependence. Alcohol. Clin. Exp. Res. 2009, 33, 693–702. [Google Scholar] [CrossRef] [PubMed]
- Patton, J.H.; Stanford, M.S.; Barratt, E.S. Factor structure of the Barratt impulsiveness scale. J. Clin. Psychol. 1995, 51, 768–774. [Google Scholar] [CrossRef]
- Fossati, A.; Di Ceglie, A.; Acquarini, E.; Barratt, E.S. Psychometric properties of an Italian version of the Barratt Impulsiveness Scale-11 (BIS-11) in nonclinical subjects. J. Clin. Psychol. 2001, 57, 815–828. [Google Scholar] [CrossRef]
- Rylander-Rudqvist, T.; Håkansson, N.; Tybring, G.; Wolk, A. Quality and Quantity of Saliva DNA Obtained from the Self-administrated Oragene Method—A Pilot Study on the Cohort of Swedish Men. Cancer Epidemiol. Biomark. Prev. 2006, 15, 1742–1745. [Google Scholar] [CrossRef]
- Altoè, G.; Bertoldo, G.; Zandonella Callegher, C.; Toffalini, E.; Calcagnì, A.; Finos, L.; Pastore, M. Enhancing Statistical Inference in Psychological Research via Prospective and Retrospective Design Analysis. Front. Psychol. 2020, 10, 2893. [Google Scholar] [CrossRef]
- Callegher, C.; Bertoldo, G.; Toffalini, E.; Vesely, A.; Andreella, A.; Pastore, M.; Altoè, G. PRDA: An R package for Prospective and Retrospective Design Analysis. J. Open Source Softw. 2021, 6, 2810. [Google Scholar] [CrossRef]
- Shen, T.; You, Y.; Joseph, C.; Mirzaei, M.; Klistorner, A.; Graham, S.L.; Gupta, V. BDNF Polymorphism: A Review of Its Diagnostic and Clinical Relevance in Neurodegenerative Disorders. Aging Dis. 2018, 9, 523–536. [Google Scholar] [CrossRef] [PubMed]
- Culverhouse, R.C.; Saccone, N.L.; Horton, A.C.; Ma, Y.; Anstey, K.J.; Banaschewski, T.; Burmeister, M.; Cohen-Woods, S.; Etain, B.; Fisher, H.L.; et al. Collaborative meta-analysis finds no evidence of a strong interaction between stress and 5-HTTLPR genotype contributing to the development of depression. Mol. Psychiatry 2018, 23, 133–142. [Google Scholar] [CrossRef] [PubMed]
- Liao, Y.-J.; Jiang, J.-R.; Jin, S.-Q. The association between COMT Val158Met polymorphism and migraine risk: A meta-analysis. Cephalalgia 2017, 37, 592–598. [Google Scholar] [CrossRef] [PubMed]
- Saddichha, S.; Schuetz, C. Is impulsivity in remitted bipolar disorder a stable trait? A meta-analytic review. Compr. Psychiatry 2014, 55, 1479–1484. [Google Scholar] [CrossRef]
- Gottesman, I.I.; Gould, T.D. The Endophenotype Concept in Psychiatry: Etymology and Strategic Intentions. Am. J. Psychiatry 2003, 160, 636–645. [Google Scholar] [CrossRef]
- Hasler, G.; Drevets, W.C.; Gould, T.D.; Gottesman, I.I.; Manji, H.K. Toward Constructing an Endophenotype Strategy for Bipolar Disorders. Biol. Psychiatry 2006, 60, 93–105. [Google Scholar] [CrossRef]
- Luykx, J.J.; Boks, M.P.M.; Breetvelt, E.J.; Aukes, M.F.; Strengman, E.; da Pozzo, E.; Dell’osso, L.; Marazziti, D.; van Leeuwen, A.; Vreeker, A.; et al. BDNF Val66Met homozygosity does not influence plasma BDNF levels in healthy human subjects. Prog. Neuropsychopharmacol. Biol. Psychiatry 2013, 43, 185–187. [Google Scholar] [CrossRef]
- Chang, Y.-H.; Wang, T.-Y.; Lee, S.-Y.; Chen, S.-L.; Huang, C.-C.; Chen, P.S.; Yang, Y.K.; Hong, J.-S.; Lu, R.-B. Memory Impairment and Plasma BDNF Correlates of the BDNF Val66Met Polymorphism in Patients With Bipolar II Disorder. Front. Genet. 2018, 9, 583. [Google Scholar] [CrossRef]
- Enge, S.; Fleischhauer, M.; Gärtner, A.; Reif, A.; Lesch, K.-P.; Kliegel, M.; Strobel, A. Brain-Derived Neurotrophic Factor (Val66Met) and Serotonin Transporter (5-HTTLPR) Polymorphisms Modulate Plasticity in Inhibitory Control Performance Over Time but Independent of Inhibitory Control Training. Front. Hum. Neurosci. 2016, 10, 370. [Google Scholar] [CrossRef]
- Cheng, C.Y.; Hong, C.J.; Yu, Y.W.Y.; Chen, T.J.; Wu, H.C.; Tsai, S.J. Brain-derived neurotrophic factor (Val66Met) genetic polymorphism is associated with substance abuse in males. Mol. Brain Res. 2005, 140, 86–90. [Google Scholar] [CrossRef]
- Greenwald, M.K.; Steinmiller, C.L.; Śliwerska, E.; Lundahl, L.; Burmeister, M. BDNF Val/Met genotype is associated with drug-seeking phenotypes in heroin-dependent individuals: A pilot study: BDNF and drug-seeking behavior. Addict. Biol. 2013, 18, 836–845. [Google Scholar] [CrossRef] [PubMed][Green Version]
- Gomide Vasconcelos, A.; Sergeant, J.; Corrêa, H.; Mattos, P.; Malloy-Diniz, L. When self-report diverges from performance: The usage of BIS-11 along with neuropsychological tests. Psychiatry Res. 2014, 218, 236–243. [Google Scholar] [CrossRef] [PubMed]
- Fisher, P.M.; Holst, K.K.; Adamsen, D.; Klein, A.B.; Frokjaer, V.G.; Jensen, P.S.; Svarer, C.; Gillings, N.; Baare, W.F.C.; Mikkelsen, J.D.; et al. BDNF Val66met and 5-HTTLPR polymorphisms predict a human in vivo marker for brain serotonin levels: Genetic Predictors of Human Brain Serotonin Marker. Hum. Brain Mapp. 2015, 36, 313–323. [Google Scholar] [CrossRef] [PubMed]
- Baldinger, P.; Kraus, C.; Rami-Mark, C.; Gryglewski, G.; Kranz, G.S.; Haeusler, D.; Hahn, A.; Spies, M.; Wadsak, W.; Mitterhauser, M.; et al. Interaction between 5-HTTLPR and 5-HT1B genotype status enhances cerebral 5-HT1A receptor binding. NeuroImage 2015, 111, 505–512. [Google Scholar] [CrossRef]
- Spies, M.; Nasser, A.; Ozenne, B.; Jensen, P.S.; Knudsen, G.M.; Fisher, P.M. Common HTR2A variants and 5-HTTLPR are not associated with human in vivo serotonin 2A receptor levels. Hum. Brain Mapp. 2020, 41, 4518–4528. [Google Scholar] [CrossRef]
- Williams, R.B.; Marchuk, D.A.; Gadde, K.M.; Barefoot, J.C.; Grichnik, K.; Helms, M.J.; Kuhn, C.M.; Lewis, J.G.; Schanberg, S.M.; Stafford-Smith, M.; et al. Central Nervous System Serotonin Function and Cardiovascular Responses to Stress. Psychosom. Med. 2001, 63, 300–305. [Google Scholar] [CrossRef]
- Walderhaug, E.; Herman, A.I.; Magnusson, A.; Morgan, M.J.; Landrø, N.I. The short (S) allele of the serotonin transporter polymorphism and acute tryptophan depletion both increase impulsivity in men. Neurosci. Lett. 2010, 473, 208–211. [Google Scholar] [CrossRef][Green Version]
- Stoltenberg, S.F.; Christ, C.C.; Highland, K.B. Serotonin system gene polymorphisms are associated with impulsivity in a context dependent manner. Prog. Neuropsychopharmacol. Biol. Psychiatry 2012, 39, 182–191. [Google Scholar] [CrossRef]
- Weiss, E.M.; Schulter, G.; Fink, A.; Reiser, E.M.; Mittenecker, E.; Niederstätter, H.; Nagl, S.; Parson, W.; Papousek, I. Influences of COMT and 5-HTTLPR Polymorphisms on Cognitive Flexibility in Healthy Women: Inhibition of Prepotent Responses and Memory Updating. PLoS ONE 2014, 9, e85506. [Google Scholar] [CrossRef]
- Awh, E.; Vogel, E.K.; Oh, S.-H. Interactions between attention and working memory. Neuroscience 2006, 139, 201–208. [Google Scholar] [CrossRef]
- Meule, A.; de Zwaan, M.; Müller, A. Attentional and motor impulsivity interactively predict ‘food addiction’ in obese individuals. Compr. Psychiatry 2017, 72, 83–87. [Google Scholar] [CrossRef] [PubMed]
- Ebneter, D.; Latner, J.; Rosewall, J.; Chisholm, A. Impulsivity in restrained eaters: Emotional and external eating are associated with attentional and motor impulsivity. Eat. Weight Disord. Stud. Anorex. Bulim. Obes. 2012, 17, e62–e65. [Google Scholar] [CrossRef] [PubMed]
- Stoltenberg, S.F.; Anderson, C.; Nag, P.; Anagnopoulos, C. Association between the serotonin transporter triallelic genotype and eating problems is moderated by the experience of childhood trauma in women. Int. J. Eat. Disord. 2012, 45, 492–500. [Google Scholar] [CrossRef] [PubMed]
- Akkermann, K.; Nordquist, N.; Oreland, L.; Harro, J. Serotonin transporter gene promoter polymorphism affects the severity of binge eating in general population. Prog. Neuropsychopharmacol. Biol. Psychiatry 2010, 34, 111–114. [Google Scholar] [CrossRef] [PubMed]
- Paaver, M.; Kurrikoff, T.; Nordquist, N.; Oreland, L.; Harro, J. The effect of 5-HTT gene promoter polymorphism on impulsivity depends on family relations in girls. Prog. Neuropsychopharmacol. Biol. Psychiatry 2008, 32, 1263–1268. [Google Scholar] [CrossRef]
- Gonda, X.; Fountoulakis, K.N.; Csukly, G.; Bagdy, G.; Pap, D.; Molnár, E.; Laszik, A.; Lazary, J.; Sarosi, A.; Faludi, G.; et al. Interaction of 5-HTTLPR genotype and unipolar major depression in the emergence of aggressive/hostile traits. J. Affect. Disord. 2011, 132, 432–437. [Google Scholar] [CrossRef]
- Pawliczek, C.M.; Derntl, B.; Kellermann, T.; Kohn, N.; Gur, R.C.; Habel, U. Inhibitory control and trait aggression: Neural and behavioral insights using the emotional stop signal task. NeuroImage 2013, 79, 264–274. [Google Scholar] [CrossRef]
- Limosin, F.; Loze, J.-Y.; Boni, C.; Hamon, M.; Adès, J.; Rouillon, F.; Gorwood, P. Male-specific association between the 5-HTTLPR S allele and suicide attempts in alcohol-dependent subjects. J. Psychiatr. Res. 2005, 39, 179–182. [Google Scholar] [CrossRef]
- Jiménez-Treviño, L.; Saiz, P.A.; García-Portilla, M.P.; Blasco-Fontecilla, H.; Carli, V.; Iosue, M.; Jaussent, I.; López-Castroman, J.; Vaquero-Lorenzo, C.; Sarchiapone, M.; et al. 5-HTTLPR–brain-derived neurotrophic factor (BDNF) gene interactions and early adverse life events effect on impulsivity in suicide attempters. World J. Biol. Psychiatry 2019, 20, 137–149. [Google Scholar] [CrossRef]
- Gaysina, D.; Zainullina, A.; Gabdulhakov, R.; Khusnutdinova, E. The Serotonin Transporter Gene: Polymorphism and Haplotype Analysis in Russian Suicide Attempters. Neuropsychobiology 2006, 54, 70–74. [Google Scholar] [CrossRef]
- Gvion, Y.; Levi-Belz, Y.; Hadlaczky, G.; Apter, A. On the role of impulsivity and decision-making in suicidal behavior. World J. Psychiatry 2015, 5, 255. [Google Scholar] [CrossRef] [PubMed]
- Doihara, C.; Kawanishi, C.; Ohyama, N.; Yamada, T.; Nakagawa, M.; Iwamoto, Y.; Odawara, T.; Hirayasu, Y. Trait impulsivity in suicide attempters: Preliminary study: Impulsivity in suicide attempters. Psychiatry Clin. Neurosci. 2012, 66, 529–532. [Google Scholar] [CrossRef] [PubMed]
- Wang, L.; He, C.Z.; Yu, Y.M.; Qiu, X.H.; Yang, X.X.; Qiao, Z.X.; Sui, H.; Zhu, X.Z.; Yang, Y.J. Associations between impulsivity, aggression, and suicide in Chinese college students. BMC Public Health 2014, 14, 551. [Google Scholar] [CrossRef]
- Border, R.; Johnson, E.C.; Evans, L.M.; Smolen, A.; Berley, N.; Sullivan, P.F.; Keller, M.C. No Support for Historical Candidate Gene or Candidate Gene-by-Interaction Hypotheses for Major Depression Across Multiple Large Samples. Am. J. Psychiatry 2019, 176, 376–387. [Google Scholar] [CrossRef]
- Duncan, L.E.; Keller, M.C. A Critical Review of the First 10 Years of Candidate Gene-by-Environment Interaction Research in Psychiatry. Am. J. Psychiatry 2011, 168, 1041–1049. [Google Scholar] [CrossRef] [PubMed]
- Pasyk, S.; Sanger, N.; Kapczinski, F.; Samaan, Z. Evaluation of BDNF as a biomarker for impulsivity in a psychiatric population. Diagnostics 2020, 10, 419. [Google Scholar] [CrossRef] [PubMed]




| Overall (n = 225) | HC (n = 131) | BD (n = 94) | p-Value | |
|---|---|---|---|---|
| Center of enrollment, n (%) | <0.001 | |||
| Bologna | 5 (2.2) | 4 (3.1) | 1 (1.1) | |
| Brescia | 35 (15.6) | 18 (13.7) | 17 (18.1) | |
| Casale Monferrato | 17 (7.6) | 2 (1.5) | 15 (16.0) | |
| Milan | 37 (16.4) | 16 (12.2) | 21 (22.3) | |
| Pavia | 53 (23.6) | 38 (29.0) | 15 (16.0) | |
| Saronno | 19 (8.4) | 8 (6.1) | 11 (11.7) | |
| Udine | 10 (4.4) | 5 (3.8) | 5 (5.3) | |
| Verona | 49 (21.8) | 40 (30.5) | 9 (9.6) | |
| Age, years, Average (SD) | 39.8 (13.4) | 35.5 (12.9) | 45.7 (11.7) | <0.001 |
| Gender, n (%) | 0.24 | |||
| Males | 92 (40.9) | 49 (37.4) | 43 (45.7) | |
| Raven IQ scale, Average (SD) | 118.4 (11.2) | 122.7 (7.9) | 112.5 (12.4) | <0.001 |
| Educational level (years), Average (SD) | 15.2 (4.4) | 16.9 (3.8) | 12.7 (4.0) | <0.001 |
| Socioeconomic status, Average (SD) | 39.0 (15.5) | 44.5 (12.9) | 31.2 (15.7) | <0.001 |
| HAM-D (n = 85), Average (SD) | 5.68 (3.80) | - | 5.68 (3.80) | |
| BRMRS (n = 88), Average (SD) | 4.31 (4.76) | - | 4.31 (4.76) |
| Overall (n = 225) | HC (n = 131) | BD (n = 94) | p-Value | |
|---|---|---|---|---|
| BIS-11 score, Median (IQR) | ||||
| Attentional | 17.0 (5.0) | 16.0 (5.0) | 19.0 (4.0) | <0.001 |
| Motor | 19.0 (6.0) | 18.0 (5.0) | 22.0 (7.0) | <0.001 |
| Non-Planning | 26.0 (6.0) | 25.0 (6.0) | 28.0 (6.5) | <0.001 |
| Total | 63.0 (14.0) | 59.0 (12.0) | 68.5 (12.8) | <0.001 |
| COMT Genotype, n (%) | 0.28 | |||
| AA | 50 (22.2) | 34 (26.0) | 16 (17.0) | |
| AG | 100 (44.4) | 55 (42.0) | 45 (47.9) | |
| GG | 75 (33.3) | 42 (32.1) | 33 (35.1) | |
| COMT Allele, n (%) | 0.21 | |||
| A | 200 (44.4) | 123 (46.9) | 77 (41.0) | |
| G | 250 (55.6) | 139 (53.1) | 111 (59.0) | |
| 5-HTTLPR Genotype, n (%) | 0.96 | |||
| LL | 81 (36.0) | 48 (36.6) | 33 (35.1) | |
| LS | 110 (48.9) | 63 (48.1) | 47 (50.0) | |
| SS | 34 (15.1) | 20 (15.3) | 14 (14.9) | |
| 5-HTTLPR Allele, n (%) | 0.90 | |||
| L | 272 (60.4) | 159 (60.7) | 113 (60.1) | |
| S | 178 (39.6) | 103 (39.3) | 75 (39.9) | |
| BDNF Genotype, n (%) | 0.81 | |||
| CC | 131 (58.2) | 77 (58.8) | 54 (57.4) | |
| TC | 80 (35.6) | 47 (35.9) | 33 (35.1) | |
| TT | 14 (6.2) | 7 (5.3) | 7 (7.4) | |
| BDNF Allele, n (%) | 0.67 | |||
| C | 342 (76.0) | 201 (76.7) | 141 (75.0) | |
| T | 108 (24.0) | 61 (23.3) | 47 (25.0) |
| BIS Total | |||
|---|---|---|---|
| Predictors | β | 95% CI | p-Value |
| (Intercept) | 65.7 | 61.1–70.3 | <0.001 |
| Disease (BD) | 5.35 | 2.40–8.30 | <0.001 |
| Gender (Female) | −3.34 | −6.6–0.01 | 0.050 |
| Age class (31.7–47) | 2.22 | −0.84–5.27 | 0.154 |
| Age class (48–73) | 2.16 | −1.17–5.49 | 0.202 |
| Raven IQ scale (115–127) | −2.68 | −5.58–0.23 | 0.071 |
| Raven IQ scale (128–128) | −1.80 | −5.62–2.02 | 0.355 |
| Educational level (14–18) | −2.91 | −5.87–0.06 | 0.054 |
| Educational level (19–26) | −4.00 | −7.86–−0.14 | 0.043 |
| COMT (AA) | −2.29 | −5.31–0.73 | 0.136 |
| COMT (GG) | −0.88 | −3.57–1.82 | 0.522 |
| 5-HTTLPR (LL) | −1.59 | −5.57–2.39 | 0.431 |
| 5-HTTLPR (SS) | −4.16 | −9.42–1.10 | 0.120 |
| BDNF (TC) | 0.86 | −1.65–3.36 | 0.501 |
| BDNF (TT) | −10.2 | −15.2–−5.31 | <0.001 |
| 5-HTTLPR (LL) × Gender (F) | 2.43 | −2.77–7.63 | 0.359 |
| 5-HTTLPR (SS) × Gender (F) | 12.0 | 5.16–18.9 | 0.001 |
| σ2 | 74.08 | ||
| τ00 | 0.54 | ||
| ICC | 0.01 | ||
| N | 8 | ||
| Observations | 225 | ||
| Marginal R2/Conditional R2 | 0.331/0.336 | ||
Publisher’s Note: MDPI stays neutral with regard to jurisdictional claims in published maps and institutional affiliations. |
© 2022 by the authors. Licensee MDPI, Basel, Switzerland. This article is an open access article distributed under the terms and conditions of the Creative Commons Attribution (CC BY) license (https://creativecommons.org/licenses/by/4.0/).
Share and Cite
Boscutti, A.; Pigoni, A.; Delvecchio, G.; Lazzaretti, M.; Mandolini, G.M.; Girardi, P.; Ferro, A.; Sala, M.; Abbiati, V.; Cappucciati, M.; et al. The Influence of 5-HTTLPR, BDNF Rs6265 and COMT Rs4680 Polymorphisms on Impulsivity in Bipolar Disorder: The Role of Gender. Genes 2022, 13, 482. https://doi.org/10.3390/genes13030482
Boscutti A, Pigoni A, Delvecchio G, Lazzaretti M, Mandolini GM, Girardi P, Ferro A, Sala M, Abbiati V, Cappucciati M, et al. The Influence of 5-HTTLPR, BDNF Rs6265 and COMT Rs4680 Polymorphisms on Impulsivity in Bipolar Disorder: The Role of Gender. Genes. 2022; 13(3):482. https://doi.org/10.3390/genes13030482
Chicago/Turabian StyleBoscutti, Andrea, Alessandro Pigoni, Giuseppe Delvecchio, Matteo Lazzaretti, Gian Mario Mandolini, Paolo Girardi, Adele Ferro, Michela Sala, Vera Abbiati, Marco Cappucciati, and et al. 2022. "The Influence of 5-HTTLPR, BDNF Rs6265 and COMT Rs4680 Polymorphisms on Impulsivity in Bipolar Disorder: The Role of Gender" Genes 13, no. 3: 482. https://doi.org/10.3390/genes13030482
APA StyleBoscutti, A., Pigoni, A., Delvecchio, G., Lazzaretti, M., Mandolini, G. M., Girardi, P., Ferro, A., Sala, M., Abbiati, V., Cappucciati, M., Bellani, M., Perlini, C., Rossetti, M. G., Balestrieri, M., Damante, G., Bonivento, C., Rossi, R., Finos, L., Serretti, A., ... the GECOBIP Group. (2022). The Influence of 5-HTTLPR, BDNF Rs6265 and COMT Rs4680 Polymorphisms on Impulsivity in Bipolar Disorder: The Role of Gender. Genes, 13(3), 482. https://doi.org/10.3390/genes13030482

