Diagnostic and Prognostic Risk Assessment of Heat Shock Protein HSPA1B rs2763979 Gene Variant in Asthma
Abstract
1. Introduction
2. Materials and Methods
2.1. Study Design and Population
2.2. Pulmonary Function Tests
2.3. Methacholine Challenge Test (MCT)
2.4. Laboratory Investigations
2.5. HSPA1B rs2763979 Allelic Discrimination Analysis
2.6. Statistical Analysis
3. Results
3.1. Baseline Characteristics of the Study Population
3.2. Genotype and Allele Frequencies of HSPA1B rs2763979 T>C Polymorphism
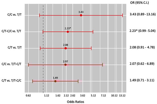
3.3. Association of HSPA1B rs2763979 Polymorphism with Asthma Risk
3.4. Association of HSPA1A rs2763979 Genotypes with Demographic and Clinicolaboratory Data in Patients with Asthma
3.5. Association of HSPA1A rs2763979 Genotypes with Disease Control, Treatment Response, and Spirometric Parameters in Patients with Asthma
4. Discussion
5. Conclusions
Supplementary Materials
Author Contributions
Funding
Institutional Review Board Statement
Informed Consent Statement
Data Availability Statement
Acknowledgments
Conflicts of Interest
References
- Serebrisky, D.; Wiznia, A. Pediatric Asthma: A Global Epidemic. Ann. Glob. Health 2019, 85, 6. [Google Scholar] [CrossRef]
- Toraih, E.A.; Hussein, M.H.; Ibrahim, A.; AbdAllah, N.B.; Mohammed, E.A.; Kishk, A.M.; Fawzy, M.S. Beta2-adrenergic receptor variants in children and adolescents with bronchial asthma. Front. Biosci. (Elite Ed.) 2019, 11, 61–78. (In English) [Google Scholar]
- Shevchenko, M.; Servuli, E.; Albakova, Z.; Kanevskiy, L.; Sapozhnikov, A. The Role of Heat Shock Protein 70 kDa in Asthma. J. Asthma Allergy 2021, 13, 757–772. [Google Scholar] [CrossRef]
- Liu, Q.; Liang, C.; Zhou, L. Structural and functional analysis of the Hsp70/Hsp40 chaperone system. Protein Sci. 2019, 29, 378–390. [Google Scholar] [CrossRef]
- Radons, J. The human HSP70 family of chaperones: Where do we stand? Cell Stress Chaperones 2016, 21, 379–404. [Google Scholar] [CrossRef]
- Qu, B.; Jia, Y.; Liu, Y.; Wang, H.; Ren, G.; Wang, H. The detection and role of heat shock protein 70 in various nondisease conditions and disease conditions: A literature review. Cell Stress Chaperones 2015, 20, 885–892. [Google Scholar] [CrossRef]
- Zininga, T.; Ramatsui, L.; Shonhai, A. Heat Shock Proteins as Immunomodulants. Molecules 2018, 23, 2846. [Google Scholar] [CrossRef]
- Hou, C.; Zhao, H.; Li, W.; Liang, Z.; Zhang, D.; Liu, L.; Tong, W.; Cai, S.-X.; Zou, F. Increased heat shock protein 70 levels in induced sputum and plasma correlate with severity of asthma patients. Cell Stress Chaperones 2011, 16, 663–671. [Google Scholar] [CrossRef]
- Yombo, D.J.; Mentink-Kane, M.M.; Wilson, M.S.; Wynn, T.A.; Madala, S.K. Heat shock protein 70 is a positive regulator of airway inflammation and goblet cell hyperplasia in a mouse model of allergic airway inflammation. J. Biol. Chem. 2019, 294, 15082–15094. [Google Scholar] [CrossRef]
- Shevchenko, M.; Troyanova, N.; Servuli, E.A.; Bolkhovitina, E.L.; Fedorina, A.S.; Sapozhnikov, A.M. Study of immunomodulatory effects of extracellular HSP70 in a mouse model of allergic airway inflammation. Biochemistry 2016, 81, 1384–1395. [Google Scholar] [CrossRef]
- Bogunia-Kubik, K.; Koscinska, K.; Suchnicki, K.; Lange, A. HSP70-hom gene single nucleotide (+2763 G/A and +2437 C/T) polymorphisms in sarcoidosis. Int. J. Immunogenet. 2006, 33, 135–140. [Google Scholar] [CrossRef]
- Nam, S.Y.; Kim, N.; Kim, J.S.; Lim, S.H.; Jung, H.C.; Song, I.S. Heat shock protein gene 70-2 polymorphism is differentially associated with the clinical phenotypes of ulcerative colitis and Crohn’s disease. J. Gastroenterol. Hepatol. 2007, 22, 1032–1038. [Google Scholar] [CrossRef] [PubMed]
- Fürnrohr, B.G.; Wach, S.; Kelly, J.; Haslbeck, M.; Weber, C.K.; Stach, C.M.; Hueber, A.; Graef, D.; Spriewald, B.M.; Manger, K.; et al. Polymorphisms in the Hsp70 gene locus are genetically associated with systemic lupus erythematosus. Ann. Rheum. Dis. 2010, 69, 1983–1989. [Google Scholar] [CrossRef] [PubMed]
- Dhamodharan, U.; Ezhilarasi, K.; Ponjayanthi, B.; Sireesh, D.; Ramkumar, K.M.; Viswanathan, V. Association of A1538G and C2437T single nucleotide polymorphisms in heat shock protein-70 genes with diabetic nephropathy among South Indian population. Biosci. Rep. 2017, 37, BSR20160605. [Google Scholar] [CrossRef] [PubMed]
- Gu, H.F. Genetic and Epigenetic Studies in Diabetic Kidney Disease. Front. Genet. 2019, 10, 507. [Google Scholar] [CrossRef] [PubMed]
- Ambrocio-Ortiz, E.; Pérez-Rubio, G.; Ramírez-Venegas, A.; Hernández-Zenteno, R.; Del Angel-Pablo, A.D.; Pérez-Rodríguez, M.E.; Salazar, A.M.; Abarca-Rojano, E.; Falfán-Valencia, R. Effect of SNPs in HSP Family Genes, Variation in the mRNA and Intracellular Hsp Levels in COPD Secondary to Tobacco Smoking and Biomass-Burning Smoke. Front. Genet. 2020, 10, 1307. [Google Scholar] [CrossRef] [PubMed]
- Guo, H.; Deng, Q.; Wu, C.; Hu, L.; Wei, S.; Xu, P.; Kuang, D.; Liu, L.; Hu, Z.; Miao, X.; et al. Variations in HSPA1B at 6p21.3 Are Associated with Lung Cancer Risk and Prognosis in Chinese Populations. Cancer Res 2011, 71, 7576–7586. [Google Scholar] [CrossRef]
- El-Qutob, D.; Maillo, M. New GINA Guidelines: Controversy Still Exists. Clin. Pulm. Med. 2020, 27, 61–63. [Google Scholar] [CrossRef]
- Cole, T.J.; Bellizzi, M.C.; Flegal, K.M.; Dietz, W.H. Establishing a standard definition for child overweight and obesity worldwide: International survey. BMJ 2000, 320, 1240–1243. [Google Scholar] [CrossRef]
- Marshall, W.A.; Tanner, J.M. Variations in pattern of pubertal changes in girls. Arch. Dis. Child. 1969, 44, 291–303. [Google Scholar] [CrossRef]
- Graham, B.L.; Steenbruggen, I.; Miller, M.R.; Barjaktarevic, I.Z.; Cooper, B.G.; Hall, G.L.; Hallstrand, T.S.; Kaminsky, D.A.; McCarthy, K.; McCormack, M.C.; et al. Standardization of Spirometry 2019 Update. An Official American Thoracic Society and European Respiratory Society Technical Statement. Am. J. Respir. Crit. Care Med. 2019, 200, e70–e88. [Google Scholar] [CrossRef] [PubMed]
- Hussein, M.H.; Sobhy, K.E.; Sabry, I.M.; El-Serafi, A.; Toraih, E.A. Beta 2-adrenergic receptor gene haplotypes and bronchodilator response in Egyptian patients with chronic obstructive pulmonary disease. Adv. Med. Sci. 2017, 62, 193–201. [Google Scholar] [CrossRef] [PubMed]
- American Association for Respiratory Care. AARC Clinical Practice Guideline: Methacholine challenge testing: 2001 revision & update. Respir. Care 2001, 46, 523–530. [Google Scholar]
- Pellegrino, R.; Viegi, G.; Brusasco, V.; Crapo, R.O.; Burgos, F.; Casaburi, R.; Coates, A.; Van Der Grinten, C.P.M.; Gustafsson, P.; Hankinson, J.; et al. Interpretative strategies for lung function tests. Eur. Respir. J. 2005, 26, 948–968. [Google Scholar] [CrossRef]
- Price, D.B.; Rigazio, A.; Campbell, J.D.; Bleecker, E.R.; Corrigan, C.J.; Thomas, M.; Wenzel, S.E.; Wilson, A.M.; Small, M.B.; Gopalan, G.; et al. Blood eosinophil count and prospective annual asthma disease burden: A UK cohort study. Lancet Respir. Med. 2015, 3, 849–858. [Google Scholar] [CrossRef]
- Naqvi, M.; Choudhry, S.; Tsai, H.-J.; Thyne, S.; Navarro, D.; Nazario, S.; Rodriguez-Santana, J.R.; Casal, J.; Torres, A.; Chapela, R.; et al. Association between IgE levels and asthma severity among African American, Mexican, and Puerto Rican patients with asthma. J. Allergy Clin. Immunol. 2007, 120, 137–143. [Google Scholar] [CrossRef]
- Toraih, E.A.; Fawz, M.S.; Elgazzaz, M.G.; Hussein, M.H.; Shehata, R.H.; Daoud, H.G. Combined Genotype Analyses of Precursor miRNA196a2 and 499a Variants with Hepatic and Renal Cancer Susceptibility a Preliminary Study. Asian Pac. J. Cancer Prev. 2016, 17, 3369–3375. [Google Scholar]
- Fawzy, M.S.; Toraih, E.A.; Hamed, E.O.; Hussein, M.H.; Ismail, H. Association of MIR-499a expression and seed region variant (rs3746444) with cardiovascular disease in Egyptian patients. Acta Cardiol. 2017, 73, 131–140. [Google Scholar] [CrossRef]
- Fawzy, M.S.; Hussein, M.H.; Abdelaziz, E.Z.; Yamany, H.A.; Ismail, H.; Toraih, E.A. Association of MicroRNA-196a2 Variant with Response to Short-Acting β2-Agonist in COPD: An Egyptian Pilot Study. PLoS ONE 2016, 11, e0152834. [Google Scholar] [CrossRef]
- Toraih, E.A.; Fawzy, M.S.; Mohammed, E.A.; Hussein, M.H.; El-Labban, M.M. MicroRNA-196a2 Biomarker and Targetome Network Analysis in Solid Tumors. Mol. Diagn. Ther. 2016, 20, 559–577. [Google Scholar] [CrossRef]
- Willis-Owen, S.A.; Cookson, W.O.; Moffatt, M.F. The Genetics and Genomics of Asthma. Annu. Rev. Genom. Hum. Genet. 2018, 19, 223–246. [Google Scholar] [CrossRef] [PubMed]
- Slager, R.E.; Hawkins, G.A.; Li, X.; Postma, D.S.; Meyers, D.A.; Bleecker, E.R. Genetics of Asthma Susceptibility and Severity. Clin. Chest Med. 2012, 33, 431–443. [Google Scholar] [CrossRef] [PubMed]
- Fawzy, M.S.; Elgazzaz, M.G.; Ibrahim, A.; Hussein, M.H.; Khashana, M.S.; Toraih, E.A. Association of Group-specific Component Exon 11 Polymorphisms with Bronchial Asthma in Children and Adolescents. Scand. J. Immunol. 2018, 89, e12740. [Google Scholar] [CrossRef] [PubMed]
- Raby, B.A. Asthma severity, nature or nurture. Curr. Opin. Pediatr. 2019, 31, 340–348. [Google Scholar] [CrossRef]
- Adikusuma, W.; Chou, W.-H.; Lin, M.-R.; Ting, J.; Irham, L.M.; Perwitasari, D.A.; Chang, W.-P.; Chang, W.-C. Identification of Druggable Genes for Asthma by Integrated Genomic Network Analysis. Biomedicines 2022, 10, 113. [Google Scholar] [CrossRef]
- Aron, Y.; Busson, M.; Polla, B.S.; Dusser, D.; Lockhart, A.; Swierczewski, E.; Favatier, F. Analysis of hsp70 gene polymorphism in allergic asthma. Allergy 1999, 54, 165–170. [Google Scholar] [CrossRef]
- Kurosawa, M.; Yukawa, T.; Hozawa, S.; Mochizuki, H. Recent advance in investigation of gene polymorphisms in Japanese patients with aspirin-exacerbated respiratory disease. Allergol. Immunopathol. 2015, 43, 92–100. [Google Scholar] [CrossRef]
- Liu, Y.; Zhang, H. Association of heat shock 70 protein 1B gene polymorphisms and the susceptibility to asthma in pediatric patients. Int. J. Clin. Exp. Med. 2017, 10, 8243–8252. [Google Scholar]
- Boiocchi, C.; Monti, M.C.; Osera, C.; Mallucci, G.; Pistono, C.; Ferraro, O.E.; Nosari, G.; Romani, A.; Cuccia, M.; Govoni, S.; et al. Heat shock protein 70-hom gene polymorphism and protein expression in multiple sclerosis. J. Neuroimmunol. 2016, 298, 189–193. [Google Scholar] [CrossRef]
- Ege, M.J.; Strachan, D.P.; Cookson, W.O.; Moffatt, M.F.; Gut, I.; Lathrop, M.; Kabesch, M.; Genuneit, J.; Büchele, G.; Sozanska, B.; et al. Gene-environment interaction for childhood asthma and exposure to farming in Central Europe. J. Allergy Clin. Immunol. 2011, 127, 138–144.e4. [Google Scholar] [CrossRef]
- Li, Y.; Yu, S.; Gu, G.; Chen, G.; Zheng, Y.; Jiao, J.; Zhou, W.; Wu, H.; Zhang, Z.; Zhang, H.; et al. Polymorphisms of heat shock protein 70 genes (HSPA1A, HSPA1B and HSPA1L) and susceptibility of noise-induced hearing loss in a Chinese population: A case-control study. PLoS ONE 2017, 12, e0171722. [Google Scholar] [CrossRef] [PubMed][Green Version]
- Zong, S.; Zeng, X.; Liu, T.; Wan, F.; Luo, P.; Xiao, H. Association of polymorphisms in heat shock protein 70 genes with the susceptibility to noise-induced hearing loss: A meta-analysis. PLoS ONE 2017, 12, e0188195. [Google Scholar] [CrossRef] [PubMed]
- Wang, H.; Ba, Y.; Han, W.; Zhang, H.; Zhu, L.; Jiang, P. Association of heat shock protein polymorphisms with patient susceptibility to coronary artery disease comorbid depression and anxiety in a Chinese population. PeerJ 2021, 9, e11636. [Google Scholar] [CrossRef] [PubMed]
- Dimas, A.S.; Deutsch, S.; Stranger, B.E.; Montgomery, S.B.; Borel, C.; Attar-Cohen, H.; Ingle, C.; Beazley, C.; Arcelus, M.G.; Sekowska, M.; et al. Common Regulatory Variation Impacts Gene Expression in a Cell Type–Dependent Manner. Science 2009, 325, 1246–1250. [Google Scholar] [CrossRef]
- Ding, J.; Orozco, G. Identification of rheumatoid arthritis causal genes using functional genomics. Scand. J. Immunol. 2019, 89, e12753. [Google Scholar] [CrossRef]
- Chang, N.-C.; Yang, H.-L.; Dai, C.-Y.; Lin, W.-Y.; Hsieh, M.-H.; Chien, C.-Y.; Ho, K.-Y. The association of heat shock protein genetic polymorphisms with age-related hearing impairment in Taiwan. J. Otolaryngol. Head Neck Surg. 2021, 50, 1–7. [Google Scholar] [CrossRef]
- Kowalczyk, M.; Kucia, K.; Owczarek, A.; Suchanek-Raif, R.; Merk, W.; Fila-Danilow, A.; Paul-Samojedny, M.; Choreza, P.; Kowalski, J. Association of HSPA1B Polymorphisms with Paranoid Schizophrenia in a Polish Population. NeuroMol. Med. 2019, 22, 159–169. [Google Scholar] [CrossRef]
- Chang, N.-C.; Ho, C.-K.; Lin, H.-Y.; Yu, M.-L.; Chien, C.-Y.; Ho, K.-Y. Association of Polymorphisms of Heat Shock Protein 70 with Susceptibility to Noise-Induced Hearing Loss in the Taiwanese Population. Audiol. Neurotol. 2010, 16, 168–174. [Google Scholar] [CrossRef]
- Ucisik-Akkaya, E.; Davis, C.F.; Gorodezky, C.; Alaez, C.; Dorak, M.T. HLA complex-linked heat shock protein genes and childhood acute lymphoblastic leukemia susceptibility. Cell Stress Chaperones 2009, 15, 475–485. [Google Scholar] [CrossRef]
- Tong, W.; Luo, W. Heat shock proteins mRNA expressions by peripheral blood mononuclear cells in asthma and chronic bronchitis. Chin. Med. J. 2000, 113, 175–177. (In English) [Google Scholar]
- Tamási, L.; Bohács, A.; Tamási, V.; Stenczer, B.; Prohászka, Z.; Rigó, J.; Losonczy, G.; Molvarec, A. Increased circulating heat shock protein 70 levels in pregnant asthmatics. Cell Stress Chaperones 2009, 15, 295–300. [Google Scholar] [CrossRef] [PubMed]
- Huang, X.; Tan, X.; Liang, Y.; Hou, C.; Qu, D.; Li, M.; Huang, Q. Differential DAMP release was observed in the sputum of COPD, asthma and asthma-COPD overlap (ACO) patients. Sci. Rep. 2019, 9, 19241. [Google Scholar] [CrossRef] [PubMed]
- Hulina-Tomašković, A.; Rajković, M.G.; Jelić, D.; Bosnar, M.; Sladoljev, L.; Grubišić, T.; Rumora, L. Pro-inflammatory effects of extracellular Hsp70 on NCI-H292 human bronchial epithelial cell line. Int. J. Exp. Pathol. 2019, 100, 320–329. [Google Scholar] [CrossRef] [PubMed]
- Fong, J.J.; Sreedhara, K.; Deng, L.; Varki, N.M.; Angata, T.; Liu, Q.; Nizet, V.; Varki, A. Immunomodulatory activity of extracellular Hsp70 mediated via paired receptors Siglec-5 and Siglec-14. EMBO J. 2015, 34, 2775–2788. [Google Scholar] [CrossRef] [PubMed]
- Pockley, A.G.; Henderson, B. Extracellular cell stress (heat shock) proteins-immune responses and disease: An overview. Philos. Trans. R. Soc. Lond. Ser. B Biol. Sci. 2018, 373, 1738. [Google Scholar] [CrossRef]
- Basu, S.; Binder, R.J.; Suto, R.; Anderson, K.M.; Srivastava, P.K. Necrotic but not apoptotic cell death releases heat shock proteins, which deliver a partial maturation signal to dendritic cells and activate the NF-κB pathway. Int. Immunol. 2000, 12, 1539–1546. [Google Scholar] [CrossRef]
- Patel, D.F.; Peiró, T.; Bruno, N.; Vuononvirta, J.; Akthar, S.; Puttur, F.; Pyle, C.J.; Suveizdytė, K.; Walker, S.A.; Singanayagam, A.; et al. Neutrophils restrain allergic airway inflammation by limiting ILC2 function and monocyte–dendritic cell antigen presentation. Sci. Immunol. 2019, 4, eaax7006. [Google Scholar] [CrossRef]
- Yan, L.; Xiao-Ling, S.; Zheng-Yan, C.; Guo-Ping, L.; Sen, Z.; Zhuang, C. Experimental research HSP70/CD80 DNA vaccine inhibits airway remodeling by regulating the transcription factors T-bet and GATA-3 in a murine model of chronic asthma. Arch. Med. Sci. 2013, 5, 906–915. [Google Scholar] [CrossRef]
- Payne, D.N.R.; Balfour-Lynn, I.M. Children with Difficult Asthma: A Practical Approach. J. Asthma 2001, 38, 189–203. [Google Scholar] [CrossRef]
- Andersson, A.; Rasool, O.; Schmidt, M.; Kodzius, R.; Fluckiger, S.; Zargari, A.; Crameri, R.; Scheynius, A. Cloning, expression and characterization of two new IgE-binding proteins from the yeast Malassezia sympodialis with sequence similarities to heat shock proteins and manganese superoxide dismutase. JBIC J. Biol. Inorg. Chem. 2004, 271, 1885–1894. [Google Scholar] [CrossRef]
- Hlapčić, I.; Hulina-Tomašković, A.; Rajković, M.G.; Popović-Grle, S.; Dugac, A.V.; Rumora, L. Association of Plasma Heat Shock Protein 70 with Disease Severity, Smoking and Lung Function of Patients with Chronic Obstructive Pulmonary Disease. J. Clin. Med. 2020, 9, 3097. [Google Scholar] [CrossRef] [PubMed]
- Sellares, J.; Veraldi, K.L.; Thiel, K.J.; Cárdenes, N.; Alvarez, D.; Schneider, F.; Pilewski, J.M.; Rojas, M.; Feghali-Bostwick, C.A. Intracellular Heat Shock Protein 70 Deficiency in Pulmonary Fibrosis. Am. J. Respir. Cell Mol. Biol. 2019, 60, 629–636. [Google Scholar] [CrossRef] [PubMed]
- Radice, R.; Ramsahai, R.; Grieve, R.; Kreif, N.; Sadique, Z.; Sekhon, J.S. Evaluating treatment effectiveness in patient subgroups: A comparison of propensity score methods with an automated matching approach. Int. J. Biostat. 2012, 8, 25. [Google Scholar] [CrossRef]
- Zhao, H.; Rebbeck, T.R.; Mitra, N. Analyzing Genetic Association Studies with an Extended Propensity Score Approach. Stat. Appl. Genet. Mol. Biol. 2012, 11, 1–24. [Google Scholar] [CrossRef] [PubMed][Green Version]
- Weymann, D.; Laskin, J.; Jones, S.J.; Lim, H.; Renouf, D.J.; Roscoe, R.; Schrader, K.A.; Sun, S.; Yip, S.; Marra, M.A.; et al. Matching methods in precision oncology: An introduction and illustrative example. Mol. Genet. Genom. Med. 2020, 9, e1554. [Google Scholar] [CrossRef]



| Demographic Data | Unmatched Cohorts | Matched Cohorts | |||||
|---|---|---|---|---|---|---|---|
| Controls | Asthma | p-Values | Controls | Asthma | p-Values | ||
| Total Number | 218 | 90 | 71 | 71 | |||
| Mean age, years | Mean ± SD | 9.2 ± 3.05 | 9.76 ± 2.9 | 0.17 | 9.76 ± 3.2 | 9.6 ± 3.03 | 0.81 |
| Age categories, % | 6–11 | 174 (79.8) | 68 (75.6) | 0.44 | 51 (71.8) | 52 (73.2) | 0.85 |
| 12–18 | 44 (20.2) | 22 (24.4) | 20 (28.2) | 19 (26.8) | |||
| Sex | Female | 102 (46.8) | 45 (50) | 0.62 | 32 (45.1) | 33 (46.5) | 0.86 |
| Male | 116 (53.2) | 45 (50) | 39 (54.9) | 38 (53.5) | |||
| Residence | Urban | 107 (49.1) | 59 (65.6) | 0.009 | 46 (64.8) | 44 (62) | 0.86 |
| Rural | 111 (50.9) | 31 (34.4) | 25 (35.2) | 27 (38) | |||
| BMI percentile | <85th | 136 (62.4) | 45 (50) | 0.09 | 31 (43.7) | 36 (50.7) | 0.33 |
| <95th | 81 (37.2) | 45 (50) | 27 (38) | 28 (39.4) | |||
| ≥95th | 1 (0.5) | 0 (0) | 13 (18.3) | 7 (9.9) | |||
| Pubertal status | Negative | 136 (62.4) | 45 (50) | 0.045 | 39 (54.9) | 37 (52.1) | 0.86 |
| Positive | 82 (37.6) | 45 (50) | 32 (45.1) | 34 (47.9) | |||
| Tanner stage | Stage 1 | 138 (63.3) | 47 (52.2) | 0.091 | 40 (56.3) | 38 (53.5) | 0.53 |
| Stage 2 | 23 (10.6) | 19 (21.1) | 7 (9.9) | 14 (19.7) | |||
| Stage 3 | 32 (14.7) | 10 (11.1) | 10 (14.1) | 8 (11.3) | |||
| Stage 4 | 15 (6.9) | 9 (10) | 10 (14.1) | 7 (9.9) | |||
| Stage 5 | 10 (4.6) | 5 (5.6) | 4 (5.6) | 4 (5.6) | |||
| FH of asthma | Negative | 202 (92.7) | 65 (72.2) | <0.001 | 60 (84.5) | 60 (84.5) | 1.0 |
| Positive | 16 (7.3) | 25 (27.8) | 11 (15.5) | 11 (15.5) | |||
| Characteristic | Levels | Total | Controls | Patients | p-Values |
|---|---|---|---|---|---|
| Genotypes | |||||
| T/T | 113 (37) | 92 (42) | 21 (23) | 0.008 | |
| C/T | 169 (55) | 109 (50) | 60 (67) | ||
| C/C | 26 (8) | 17 (8) | 9 (10) | ||
| Allele | |||||
| T allele | 395 (64) | 293 (67) | 102 (57) | 0.006 | |
| C allele | 221 (36) | 143 (33) | 78 (43) |
| Model | Genotype | Controls (N = 218) | Patients (N = 90) | OR (95%CI) | p-Values |
|---|---|---|---|---|---|
| Codominant | T/T | 92 (42.2%) | 21 (23.3%) | 1 | |
| C/T | 109 (50%) | 60 (66.7%) | 2.75 (1.46–5.18) | 0.003 | |
| C/C | 17 (7.8%) | 9 (10%) | 3.35 (1.19–9.39) | 0.008 | |
| Dominant | T/T | 92 (42.2%) | 21 (23.3%) | 1 | |
| C/T–C/C | 126 (57.8%) | 69 (76.7%) | 2.83 (1.52–5.25) | <0.000 | |
| Recessive | T/T–C/T | 201 (92.2%) | 81 (90%) | 1 | |
| C/C | 17 (7.8%) | 9 (10%) | 1.77 (0.70–4.48) | 0.240 | |
| Overdominant | T/T–C/C | 109 (50%) | 30 (33.3%) | 1 | |
| C/T | 109 (50%) | 60 (66.7%) | 2.12 (1.20–3.74) | 0.008 | |
| Log-additive | --- | --- | --- | 2.09 (1.32–3.30) | 0.001 |
| Characteristics | Total | C/C (N = 9) | C/T (N = 48) | T/T (N = 14) | p-Value | |
|---|---|---|---|---|---|---|
| Demographics | ||||||
| Age, years | Mean ± SD | 10.6 ± 3.2 | 11 ± 3.6 | 10.6 ± 3.3 | 10.3 ± 3 | 0.72 |
| 6–11 years | 52 (73.2) | 6 (66.7) | 35 (72.9) | 11 (78.6) | 0.82 | |
| 12–18 years | 19 (26.8) | 3 (33.3) | 13 (27.1) | 3 (21.4) | ||
| Sex | Female | 33 (46.5) | 3 (33.3) | 24 (50) | 6 (42.9) | 0.63 |
| Male | 38 (53.5) | 6 (66.7) | 24 (50) | 8 (57.1) | ||
| Residency | Rural | 44 (62) | 6 (66.7) | 30 (62.5) | 8 (57.1) | 0.89 |
| Urban | 27 (38) | 3 (33.3) | 18 (37.5) | 6 (42.9) | ||
| Family history | Negative | 60 (84.5) | 7 (77.8) | 40 (83.3) | 13 (92.9) | 0.58 |
| Positive | 11 (15.5) | 2 (22.2) | 8 (16.7) | 1 (7.1) | ||
| Body mass index, % | <85th percentile | 36 (50.7) | 2 (22.2) | 27 (56.3) | 7 (50) | 0.20 |
| <95th percentile | 28 (39.4) | 5 (55.6) | 16 (33.3) | 7 (50) | ||
| ≥95th percentile | 7 (9.9) | 2 (22.2) | 5 (10.4) | 0 (0) | ||
| Pubertal status | Negative | 37 (52.1) | 4 (44.4) | 27 (56.3) | 6 (42.9) | 0.60 |
| Positive | 34 (47.9) | 5 (55.6) | 21 (43.8) | 8 (57.1) | ||
| Clinical presentation | ||||||
| Age at onset, years | Mean ± SD | 3.5 ± 2 | 5.7 ± 2.1 | 3.4 ± 2 | 3.1 ± 1.6 | 0.89 |
| <3 years | 37 (52.1) | 4 (44.4) | 25 (52.1) | 8 (57.1) | 0.84 | |
| >3 years | 34 (47.9) | 5 (55.6) | 23 (47.9) | 6 (42.9) | ||
| Duration, years | Mean ± SD | 7.1 ± 2.9 | 5.3 ± 2.1 | 7.2 ± 2.9 | 7.2 ± 3.1 | 0.76 |
| Asthma phenotype | Atopic asthma | 55 (77.5) | 5 (55.6) | 39 (81.3) | 11 (78.6) | 0.11 |
| Non-atopic | 6 (8.5) | 1 (11.1) | 3 (6.3) | 2 (14.3) | ||
| Exercise-induced | 9 (12.7) | 3 (33.3) | 6 (12.5) | 0 (0) | ||
| Aspirin-sensitive | 1 (1.4) | 0 (0) | 0 (0) | 1 (7.1) | ||
| Symptoms | Cough | 69 (97.2) | 9 (100) | 47 (97.9) | 13 (92.9) | 0.52 |
| Dyspnea | 40 (56.3) | 5 (55.6) | 27 (56.3) | 8 (57.1) | 1.00 | |
| Sputum | 40 (56.3) | 3 (33.3) | 29 (60.4) | 8 (57.1) | 0.32 | |
| Tightness | 46 (64.8) | 5 (55.6) | 30 (62.5) | 11 (78.6) | 0.45 | |
| Wheezes | 59 (83.1) | 5 (55.6) | 42 (87.5) | 12 (85.7) | 0.06 | |
| Triggering factors | Allergen sensitization | 44 (62) | 4 (44.4) | 31 (64.6) | 9 (64.3) | 0.51 |
| Animal | 17 (23.9) | 1 (11.1) | 13 (27.1) | 3 (21.4) | 0.57 | |
| Food allergy | 23 (32.4) | 0 (0) | 20 (41.7) | 3 (21.4) | 0.031 | |
| Dust | 20 (28.2) | 1 (11.1) | 15 (31.3) | 4 (28.6) | 0.47 | |
| Pollen | 16 (22.5) | 3 (33.3) | 9 (18.8) | 4 (28.6) | 0.53 | |
| Exercise | 47 (66.2) | 5 (55.6) | 33 (68.8) | 9 (64.3) | 0.73 | |
| Cold air | 36 (50.7) | 4 (44.4) | 25 (52.1) | 7 (50) | 0.91 | |
| Aspirin | 15 (21.1) | 0 (0) | 11 (22.9) | 4 (28.6) | 0.23 | |
| Conjunctivitis | 23 (32.4) | 4 (44.4) | 16 (33.3) | 3 (21.4) | 0.50 | |
| Sinus–ear infection | 31 (43.7) | 5 (55.6) | 22 (45.8) | 4 (28.6) | 0.39 | |
| Perfume | 27 (38) | 3 (33.3) | 20 (41.7) | 4 (28.6) | 0.64 | |
| Risk factors | RTI | 44 (62) | 6 (66.7) | 28 (58.3) | 10 (71.4) | 0.64 |
| Seasonal | 4 (5.6) | 1 (11.1) | 3 (6.3) | 0 (0) | 1.00 | |
| Emotion stress | 23 (32.4) | 2 (22.2) | 17 (35.4) | 4 (28.6) | 0.70 | |
| Smoking | 46 (64.8) | 6 (66.7) | 33 (68.8) | 7 (50) | 0.43 | |
| Rhinitis | 26 (36.6) | 3 (33.3) | 19 (39.6) | 4 (28.6) | 0.74 | |
| Hives | 22 (31) | 4 (44.4) | 17 (35.4) | 1 (7.1) | 0.09 | |
| Eczema | 19 (26.8) | 4 (44.4) | 13 (27.1) | 2 (14.3) | 0.28 | |
| Anaphylaxis | 15 (21.1) | 3 (33.3) | 11 (22.9) | 1 (7.1) | 0.28 | |
| Comorbidities | Negative | 36 (50.7) | 3 (33.3) | 24 (50) | 9 (64.3) | 0.35 |
| Positive | 35 (49.3) | 6 (66.7) | 24 (50) | 5 (35.7) | ||
| Disease severity | ||||||
| Daytime symptoms (>2 weeks) | Negative | 37 (52.1) | 5 (55.6) | 26 (54.2) | 6 (42.9) | 0.74 |
| Positive | 34 (47.9) | 4 (44.4) | 22 (45.8) | 8 (57.1) | ||
| Night awakening | Negative | 63 (88.7) | 9 (100) | 43 (89.6) | 11 (78.6) | 0.27 |
| Positive | 8 (11.3) | 0 (0) | 5 (10.4) | 3 (21.4) | ||
| Activity limitations | Negative | 52 (73.2) | 7 (77.8) | 35 (72.9) | 10 (71.4) | 0.94 |
| Positive | 19 (26.8) | 2 (22.2) | 13 (27.1) | 4 (28.6) | ||
| Asthma severity | Mild | 33 (46.5) | 5 (55.6) | 19 (39.6) | 9 (64.3) | 0.24 |
| Moderate | 28 (39.4) | 3 (33.3) | 23 (47.9) | 2 (14.3) | ||
| Severe | 10 (14.1) | 1 (11.1) | 6 (12.5) | 3 (21.4) | ||
| Airway hyper-responsiveness | Normal | 32 (45.1) | 6 (66.7) | 23 (47.9) | 3 (21.4) | 0.38 |
| Borderline | 22 (31) | 1 (11.1) | 15 (31.3) | 6 (42.9) | ||
| Mild/moderate | 16 (22.5) | 2 (22.2) | 9 (18.8) | 5 (35.7) | ||
| Severe | 1 (1.4) | 0 (0) | 1 (2.1) | 0 (0) | ||
| Laboratory data | ||||||
| High IgE level | Positive | 26 (36.6) | 2 (22.2) | 17 (35.4) | 7 (50) | 0.38 |
| Eosinophilia | Positive | 9 (12.7) | 2 (22.2) | 5 (10.4) | 2 (14.3) | 0.71 |
| Total IgE (IU/mL) | Median (IQR) | 80 (24–126) | 75 (40–162.5) | 80 (25–126) | 100 (20–123) | 0.94 |
| Eosinophil Count (×106/L) | Median (IQR) | 125 (32–245) | 32 (22–506) | 145 (50–245) | 120 (30–235) | 0.90 |
| Characteristics | Total | C/C (N = 9) | C/T (N = 48) | T/T (N = 14) | p-Value | |
|---|---|---|---|---|---|---|
| Management | ||||||
| Reliever use | Negative | 47 (66.2) | 7 (77.8) | 29 (60.4) | 11 (78.6) | 0.33 |
| (>2 weeks) | Positive | 24 (33.8) | 2 (22.2) | 19 (39.6) | 3 (21.4) | |
| Asthma Control | Well controlled | 26 (38.2) | 5 (55.6) | 18 (40) | 3 (21.4) | 0.40 |
| Partly controlled | 34 (50) | 3 (33.3) | 21 (46.7) | 10 (71.4) | ||
| Uncontrolled | 8 (11.8) | 1 (11.1) | 6 (13.3) | 1 (7.1) | ||
| Therapy Level | Step 1 | 18 (25.4) | 4 (44.4) | 10 (20.8) | 4 (28.6) | 0.60 |
| Step 2 | 15 (21.1) | 1 (11.1) | 9 (18.8) | 5 (35.7) | ||
| Step 3 | 11 (15.5) | 1 (11.1) | 9 (18.8) | 1 (7.1) | ||
| Step 4 | 22 (31) | 2 (22.2) | 16 (33.3) | 4 (28.6) | ||
| Step 5 | 5 (7) | 1 (11.1) | 4 (8.3) | 0 (0) | ||
| Pulmonary function test | ||||||
| FVC (% predicted) | Mean ± SD | 77.8 ± 6.9 | 86.3 ± 7.4 | 77.7 ± 6.1 | 75.7 ± 7.2 | 0.021 |
| Pre-FEV1 (% predicted) | Mean ± SD | 55.7 ± 7.9 | 60.7 ± 12.9 | 54.9 ± 7.6 | 56.1 ± 7.5 | 0.021 |
| Post-FEV1 (% predicted) | Mean ± SD | 76.9 ± 7.8 | 81 ± 13 | 76.1 ± 7.6 | 77.5 ± 7.2 | 0.052 |
| Post-PEFR (% predicted) | Mean ± SD | 75.3 ± 12.6 | 77.7 ± 27.4 | 74.3 ± 11.7 | 77.1 ± 10.9 | 0.044 |
| BDRBASE (% predicted) | Mean ± SD | 39 ± 6.8 | 34.7 ± 8.2 | 39.4 ± 6.4 | 39.1 ± 7.5 | 0.17 |
Publisher’s Note: MDPI stays neutral with regard to jurisdictional claims in published maps and institutional affiliations. |
© 2022 by the authors. Licensee MDPI, Basel, Switzerland. This article is an open access article distributed under the terms and conditions of the Creative Commons Attribution (CC BY) license (https://creativecommons.org/licenses/by/4.0/).
Share and Cite
Faisal, S.; Abdelaal, S.; Jeraiby, M.A.; Toaimah, F.H.S.; Kattan, S.W.; Abdel-Gawad, A.R.; Riad, E.; Toraih, E.A.; Fawzy, M.S.; Ibrahim, A. Diagnostic and Prognostic Risk Assessment of Heat Shock Protein HSPA1B rs2763979 Gene Variant in Asthma. Genes 2022, 13, 2391. https://doi.org/10.3390/genes13122391
Faisal S, Abdelaal S, Jeraiby MA, Toaimah FHS, Kattan SW, Abdel-Gawad AR, Riad E, Toraih EA, Fawzy MS, Ibrahim A. Diagnostic and Prognostic Risk Assessment of Heat Shock Protein HSPA1B rs2763979 Gene Variant in Asthma. Genes. 2022; 13(12):2391. https://doi.org/10.3390/genes13122391
Chicago/Turabian StyleFaisal, Salwa, Sherouk Abdelaal, Mohammed A. Jeraiby, Fatihi Hassan Soliman Toaimah, Shahad W. Kattan, Abdelhady Ragab Abdel-Gawad, Eman Riad, Eman A. Toraih, Manal S. Fawzy, and Ahmed Ibrahim. 2022. "Diagnostic and Prognostic Risk Assessment of Heat Shock Protein HSPA1B rs2763979 Gene Variant in Asthma" Genes 13, no. 12: 2391. https://doi.org/10.3390/genes13122391
APA StyleFaisal, S., Abdelaal, S., Jeraiby, M. A., Toaimah, F. H. S., Kattan, S. W., Abdel-Gawad, A. R., Riad, E., Toraih, E. A., Fawzy, M. S., & Ibrahim, A. (2022). Diagnostic and Prognostic Risk Assessment of Heat Shock Protein HSPA1B rs2763979 Gene Variant in Asthma. Genes, 13(12), 2391. https://doi.org/10.3390/genes13122391

