Evolution and Expression Patterns of the Fructose 1,6-Bisphosptase Gene Family in a Miracle Tree (Neolamarckia cadamba)
Abstract
1. Introduction
2. Materials and Methods
2.1. Identification and Cloning of FBP Genes in N. cadamba and Identification in 22 Other Species
2.2. Analysis of Cis-Acting Elements of Promoter
2.3. Multiple Sequence Alignment and Phylogenetic Analyses of FBP Family
2.4. Preparation of Plant Materials
2.5. Quantitative Reverse Transcription-Polymerase Chain Reaction (qRT-PCR)
3. Results
3.1. Identification and Physicochemical Properties of NcFBP Family in N. cadamba
3.2. Bioinformatics Analysis of FBP Family in N. cadamba
3.3. Analysis of Cis-Acting Elements of FBP Gene Family Promoter in N. cadamba
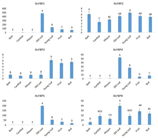
3.4. Analysis of Tissue Expression Pattern of NcFBPs Gene Family in N. cadamba
3.5. Phylogenetic Analysis of FBP
4. Discussion
5. Conclusions
Author Contributions
Funding
Institutional Review Board Statement
Informed Consent Statement
Data Availability Statement
Conflicts of Interest
Appendix A
| Gene Symbol | Complete CDS |
|---|---|
| NcFBP1 | ATGGAAACTGGGATTGCTTACTGTGCTGGCGGAGCACTGCTGCCAAATGTTTCTTCTCAGCATTCGACTGCATTAGTTTCTCCACGTTTAATTTCTCCTTCATTCAGCTCCAGAAGTCTAAAATCAAGCTCATTATTCGGTGAATCCTTGCGCATCATGCCTCCAAGTTCGTCACTTAAGTTTTCCAGGCCGAAGAACTCATCGCTCGTGACTAAATGTGAGATTGGTGATAGCCTGGAGGAGTTTCTTACAAAAGCAACCCCGGATAAGGGCCTGATTAGGCTGCTCATGTGCATGGGAGAAGCTTTGCGAACAATTTCTTTCAAGGTAAGAACAGCTTCTTGTGGAGGAACGGCTTGTGTCAACTCTTTTGGGGATGAGCAGCTTGCTGTTGATTTGCTTGCCAACAAACTTCTATTTGAGGCCTTGAAGTACTCTCACTTCTGCAAGTATGCTTGCTCTGAGGAAGTCCCTGAGCTCCAAGACATGGAAGGCCCTGTTGAAGGGGGATTCAGTGTTGCTTTCGACCCACTCGATGGTTCCAGTATTGTCGACACAAACTTTACTGTAGGCACCATTTTTGGAGTATGGCCTGGAGATAAGCTAACTGGGGTAACTGGAAGAGACCAAGTTGCTGCAGCCATGGGGATCTATGGACCTCGAACAACATACATTCTTTCCCTTAAGGACATTCCAGGAACCCATGAATTTCTACTCCTTGATGAAGGCAAATGGCAACACGTCAAAGATACAACTGAAATTGGAGAAGGAAAAATGTTCTCCCCTGGAAACTTGAGAGCCACATCTGACAACCCTGACTATGCCAAGCTGATTGACTTCTATGTCAGAGAGAAATACACCTTGCGATACACAGGAGGAATGGTGCCTGATGTCAACCAGATAATTGTGAAGGAAAAGGGCATATTTACAAATGTGGCATCCCCATCTGCCAAAGCCAAGCTGAGATTGCTATTTGAAGTAGCTCCACTGGGGTTCTTGATCGAGAAAGCTGGTGGGTACAGCAGTGATGGAACCAAGTCAGTGCTAGACAGGGTTATCAATAATCTTGATGACAGAACTCAAGTGGCTTATGGTTCTAAGAACGAGATCATTCGATTCGAGGAATTTCTATATGGCTCCTCTAGGCTCAAGGCTCCTGAACCAGTTGGAGCTGCTGCCTGA |
| NcFBP2 | ATGGCCTCTGTTTCATCTTTTCTTGGTGGATTGAACTTGAGGAAGGTCAGTGCAAAAGTGGGTGGTGATGCTTCTTCTTCTGTTAGTAGTTCTGATGATGATCAGAATAGTGGGTTTTGTACATTGATGGATTATATAGGTAAAGAGGGACTTGATGTTGGTGATGAATTGGTGGTTTTGTTTGGTCATTTGACCTACGCTTGCAAGAAAATTGCTGCTCTTGTGGCTTCCCCTTTCAACTCTAGCCTTGGCAAAAATGTCAGCAGCATTGCCAGTGGCTCTTACGCCTCTGATAGAGATAAGCCTAAGCCTCTTGATGTTGTCTCGAATGAGATTATTTTGTCTTCTCTGCGGAGTTCTGGTAAAGTTGCAGTTATGGCCTCAGAAGAAGATGATTTGCCAGTTTGGATAAATGATGATGGCCCGTATGTGGTGGTCACAGACCCTCTAGATGGATCCCGAAATATTGATGCCTGTATTCCCACCGGAACGATCTTTGGCATCTACAAACGTCTTGTGGAGCTTGATCATCTGCCAGTGGAGGAAAAGGCAATCCTGAATTCCCTGCAAAGTGGAACAAAGCTTGTTGCTGCTGGCTATGTTCTCTACTCATCAGCTACAATTCTCTGCACCAGCTTCGGTTCAGGAACACATGCATTCACTCTCGATCACTCAACAGGGGACTTCATTCTCACCCATCCAAATATTAAAATTCCCCCTAGAGGGCAAATTTATTCTGTCAATGATGCACGGTATTTTGACTGGCCTGAAGGTTTAAGGCAATATATTGACACTGTGAGACAAGGCAAGGGAAAATATCCTAAGAAATATTCAGCCCGTTATGTATGTTCTCTTGTTGCTGATTTTCATCGTACTATCTTATATGGGGGTGTGGCAATGAATCCCAGGGATCATCTCCGTCTTGTTTATGAAGCAAATCCATTAAGTTTTGTGGTGGAGCAGGCTGGAGGTAGAGGTAGCGATGGTAAAATTAGGATTTTGTCTCTGCAGCCAGTCAAGCTACACCAAAGACTTCCCTTGTTTTTGGGGAGTCCAGATGATATAGATGAATTAGTGAGTTATGGCAATGTTCAACAGAAAGTTAATCCTGGTTATGAAGTCTAA |
| NcFBP3 | ATGGCTGAAGCAATTCCAAGTCTGTATCGGAGCATCAGCTTCTCAAGCTCACCTTCGATCTCTCGCTTCTCCCCTTTCCATGTCCCCTCAACGCAAAGCAAAAGAAGGCATGTTATCAAAGGCAGTTTTGGTCCGAAAATCCGCTGTAAAGCAGTCGGATTAGAAGCAAACCCAGCTGCAGGAGAGGCCAGAAGAAAGAAAAACAGATACGAGATGGAAAATCTGACAACGTGGTTATTAAGGCAAGAACAGTCGGGTAAGATTGACGCTGAGCTTACCGTTGTTCTCTCAAGCATATCATTAGCTTGCAAACAGATCGCTTCGCTGCTTCAGAGATCAAACATTATCAACCTTACTGGAGGTCAGGGGACGATTAATGTCCAGGGGGAAGATCAGAAGAAACTTGATGTCATATCTAATGAGTTATTCTGTAACTGCTTAAGATCGAGCGGACGAACAGGCATTATTGCATCAGAAGAAGAAAGTACACCTATAGCTGTAGAAGAAACCAATTCTGGAAACTACATTGTTGTGTTTGACCCTATTGACGGATCTGCCAACATTGATACCTCTTTAACCACAGGATCAATCTTCGGGATATATGGGCCTGACGAACAATGCCTTGTAGACTTAGATGATGAATCGATGCTAGATGAAGCAAAACAGAAGTGCATAGTCAGCGTTTGCCAGCCGGGCAGCAATTTGCTTGCTGCAGGATACTGCCTGTATTCAAGTTCAGTGGTCTTTACAGTATCAGTTGGGAAGGGAGTTTTCGCATTCACACTTGACCCAGCATATGGAGAATTTGTTTTGACACATGAAAATATCAAGATACCAAAGTCTGGCAAGATCTACTCTTTCAATGAAGGAAACTATGATTTATGGGATGACGACCTGAAGCAATATCTTGACCACTTGAGGAAACCTGGTCCTAATGGTAAACCATATTCCGGCCGTTACATAGGCTGCCTTGTTGGTGAAATACACCGAATGTTGTTATATGGCGGCATTTATGGAAACCCCAAGAACAAGAACAACAAGAAAGGTAATTTAAGGCTTTTGTATGAATGTGCACCAATGAGCTATTTAGTAGAACAAGCTGGAGGAAAAGCAATAGATGGTTGCCAAAGAATACTTGAAATCATGCCTGAGCAGGTAAATCTTTCATTTATTCTTTAA |
| NcFBP4 | ATGGCCGCGGCTACAACAGCACAACATGTATTCTCCAGCTCTCACTCATTCTCTCGCCTCTCCCCCTTCCAACTCCGGGCTTTGGGCTCCAAGTCCTTCCTCTCATGTTCCAACAAACACTGCATCAGAAGGAGGCAAGGGCTTGGAGTACGGTGCATGGCTGTAGAAACTGCTTCTGAAGCCAAGACAAAGAAGGGCGGTTTCGAGATTCAGACCTTAACTGGCTGGCTGTTGAAGCAAGAACAAGCTGGAGTTATTGATGCTGAGCTTACCATTGTTATTTCCAGCATTTCCATGGCATGCAAGCAGATTGCTGCCCTGGTTCAGAGGGCTAGCATCTCCAATCTTACTGGAGTCCAGGGAGCTGTTAACGTTCAAGGAGAAGATCAGAAGAAACTAGATGTTGTCTCCAACGAGGTATTCTCTAATTGTTTGAGATCGAGCGGAAGAACAGGGATCATAGCATCAGAGGAGGAGGATGTGCCAGTGGCGGTGGAGGAGAGTTACTCTGGCAACTACATTGTGGTATTCGACCCTCTTGATGGATCATCCAACATTGATGCCGCTGTTTCCACTGGTTCCATTTTTGGGATATATAGCCCCAATGATGAGTGCCTTGCAGATGTTGAGGATGGTGATTCCACGGTAATTATTGCCAAACAATGTTTATATGCTACTACTCAATAGATGAACAATTCTTCTACGTGGTGCATTGGATTGCAGTTAGACCAAGTGAAACAGAGGTGTGTTGTGAACGTATGTCAGCCAGGAAATAATCTTCTTGCTGCAGGCTATTGCATGTACTCAAGCTCCGTGATCTTTGTGCTGACATTGGGAAATGGTGTCTTTGCCTTCACCTTAGATCCCACGTACGGAGAATTCGTACTTGCTCAAGAAAACATTCAAATACCAAAGGCAGGGAAGATTTATGCATTCAATGAAGGAAACTACCAGCTTTGGGATGATAAGTTGAAGAAGTACATTGATGATCTCAAGGACCCTGGTCCTAGCTTCAAGCCCTATTCTGCTCGTTACATTGGTAGTTTGGTTGGCGATTTCCACAGGACACTGTTGTATGGTGGCATTTACGGTTACCCCCGAGACAAGAAGAGCAAGAATGGCAAACTGAGGCTGCTGTATGAATGCGCGCCAATGAGCTTTATTGTGGAACAAGCTGGTGGTAAAGGATCAGATGGAAATCAGAGGATTCTTGATATCGAACCAACGGAGATTCATCAAAGAGTTCCACTTTACATTGGAAGTGTGGAGGAAGTAGAGAAATTAGAAAAGTATTTGTCATAG |
| NcFBP5 | ATGGCCACAGCAACAACAGCACACCACATCCTCTCCACTTCTCATTCGATCTCCCGTATATCTTCCTTTCAATTATGTGTTTTGGACCCCAAGTTGTTCCTCTCGTGTTCCAACACCAGGAGGAGGCAAGGGGTGGTGAATGGCGGCAGAGGAGGAGTACGGTGCATGGCTGTGGAGACTTCTTCAGAAGCCAAGACAAAGAAGGCTAGCTACGAGATTCAAACCTTAACTGGCTGGCTGTTGAAGCAAGAACAAGCTGGAGTTATTGATGCTGAGCTTACCATTGTGATTTCCAGTATTTCAATGGCATGCAAGCAGATTGCTGCCTTGGTTCAGAGGGCTAGCATTTCTAACCTTACTGGGGTCCAGGGTGCTGTTAACGTTCAAGGAGAAGATCAGAAGAAACTTGATGTTGTCTCCAACGAGGTTTTCTCTAATTGCTTGAAATCGAGCGGAAGGACAGGTATCATTGCATCAGAGGAGGAGGATGTGCCGGTGGCAGTGGAAGAGAGTTACTCTGGCAACTACATCGTGGTATTTGATCCTCTTGATGGATCATCCAACATTGACGCTGCGGTCTCTACTGGATCTATCTTCGGGATATACAGCCCCAATGATGAATGCCTAGCAGATATTGGTGATGATGCCACGCTAGACCAAGTGGAACAGAGGTGTGTTGTGAACGTATGCCAGCCAGGAAACAATCTCCTTGCTGCAGGCTATTGCATGTACTCGAGCTCAGTAATCTTCGTGCTAACCTTGGGAAGTGGCGTCTTTGCATTCACCTTGGATCCCATGTATGGAGAATTTGTACTCACTCAAGAAAAAATTCAAATACCAAAGGCAGGGAAGATTTATGCATTTAATGAAGGTAACTACCAGTTGTGGGATGATAAGTTGAAGAAGTACATTGATGATCTCAAGGACCCTGGCCCTAGTGGCAAGCCCTATTCTGCTCGATACATTGGTAGTTTGGTTGGTGATTTCCATAGGACTCTGTTGTATGGTGGCATTTACGGGTATCCCCGAGACAAGAAGAGCAAGAATGGCAAATTGAGGCTCTTGTATGAATGCGCGCCAATGAGCTTTATTGTGGAACAAGCTGGTGGTAAAGGATCAGATGGATCTGGGAGGATTCTTGATATCGAACCAACAGAGATACATCAACGAGTTCCGCTGTACATTGGAAGCTTGGAGGAAGTAGAGAAATTAGAAAAATATCTGTCTTAA |
| NcFBP6 | ATGGATCACAGCGCTGATGCACACCGGACGGATTTGATGACCATAACAAGGTATGTCTTGAACGAGCAGTCCAAGCATCCAGAATCTCGCGGGGATTTCACTATCTTGCTCAGTCACATTGTTTTGGGCTGCAAGTTCGTTTGCTCTGCTGTCAGCAAGGCAGGCTTGGCCAAGCTCATTGGGCTTGCGGGTGAGACAAATGTGCAGGGTGAAGAGCAAAAGAAACTAGATGTACTATCAAATGAAGTTTTCATCAAAGCTTTGGTCAGCAGTGGTCGAACTTGCATCCTTGTCTCTGAAGAAGATGAACAGGCAACTTTTGTTGAGCCATCCATGCAGGGAAGGTATTGTGTGGTGTTTGATCCCTTGGATGGATCCTCCAACATTGACTGTGGTGTCTCAATTGGAACTATCTTTGGGATTTACATGATCAAAGATGGTGGTGATCCGAAATTGGAAGATGTGTTGCAGCCTGGGAAAAACATGGTAGCTGCTGGCTACTGCATGTATGGTAGCTCTTGCATGCTTGTGTTGAGCACTGGAAATGGTGTTAACGGATTTACTCTTGATCCATCTCTTGGAGAGTTCATATTGACTCATCCAGATATTAAGATTCCTAAGAAAGGAAAGATTTACTCGGTCAATGAGGGGAATGCCAAGAATTGGGATGCTCCGACAGCTAAATATGTGGAAAAGTGCAAGTTCCCAAAAGATGGTTCATCAGCTAAATCATTACGATACATTGGAAGCATGGTAGCTGATGTCCACCGGACATTGCTTTATGGAGGTATCTTTATGTATCCAGCTGATAAGAAAAGCCCTAATGGGAAATTGCGAGTTCTATATGAGGTCTTCCCCATGTCATTCTTGATGGAACAAGCTGGAGGACAAGCATTCACCGGGAAGGAACGGGCACTTGACCTAGTTCCAAAGAAGATTCATGAACGATCACCAATATTTCTCGGTAGCTATGATGATGTTGAGGAGGTCAAAACACTTTATGCTGAAGAGCAGAAAGCATAA |
References
- Krisnawati, H.; Kallio, M.H.; Kanninen, M. Anthocephalus cadamba Miq.: Ecology, Silviculture and Productivity; Center for International Forestry Research: Bogor Barat, Indonesia, 2011. [Google Scholar]
- Mojiol, A.R.; Lintangah, W.; Maid, M.; Julius, K. Neolamarckia cadamba (Roxb.) Bosser 1984. In Enzyklopädie der Holzgewächse: Handbuch und Atlas der Dendrologie; Roloff, A., Ed.; Wiley-VCH Verlag GmbH & Co. KGaA.: Weinheim, Germany, 2014; pp. 1–12. ISBN 9783527321414. [Google Scholar]
- Ismaill, J.; Jusoh, M.Z.; Sahri, M.H. Anatomical variation in planted kelempayan (Neolamarckia cadamaba, Rubiaceae). IAWA J. 1995, 16, 277–287. [Google Scholar] [CrossRef]
- Pang, S.L.; Ho, W.S.; Mat-Isa, M.N.; Abdullah, J. Gene discovery in the developing xylem tissue of a tropical timber tree species: Neolamarckia cadamba (Roxb.) Bosser (kelampayan). Tree Genet. Genomes 2015, 11, 47. [Google Scholar] [CrossRef]
- Pandey, A.; Negi, P.S. Traditional uses, phytochemistry and pharmacological properties of Neolamarckia cadamba: A review. J. Ethnopharmacol. 2016, 181, 118–135. [Google Scholar] [CrossRef] [PubMed]
- Gomori, G. HEXOSEDIPHOSPHATASE. J. Biol. Chem. 1943, 148, 139–149. [Google Scholar] [CrossRef]
- Chueca, A.; Sahrawy, M.; Pagano, E.A.; Lopez, G.J. Chloroplast fructose-1,6-bisphosphatase: Structure and function. Photosynth. Res. 2002, 74, 235–249. [Google Scholar] [CrossRef]
- Gibson, J.L.; Chen, J.H.; Tower, P.A.; Tabita, F.R. The form II fructose 1,6-bisphosphatase and phosphoribulokinase genes form part of a large operon in Rhodobacter sphaeroides: Primary structure and insertional mutagenesis analysis. Biochemistry 1990, 29, 8085–8093. [Google Scholar] [CrossRef]
- Crawford, N.A.; Sutton, C.W.; Yee, B.C.; Johnson, T.C.; Carlson, D.C.; Buchanan, B.B. Contrasting modes of photosynthetic enzyme regulation in oxygenic and anoxygenic prokaryotes. Arch. Microbiol. 1984, 139, 124–129. [Google Scholar] [CrossRef]
- Grotjohann, N. Fructose 1,6-bisphosphatase in Chlorella kessleri grown in red or blue light. Z. Naturforsch. 1993, 48, 707–712. [Google Scholar] [CrossRef]
- Brown, D.; Kershaw, K.A. Seasonal Changes in the Kinetic Parameters of a Photosynthetic Fructose-1,6-Bisphosphatase Isolated from Peltigera rufescens. Plant Physiol. 1986, 82, 457–461. [Google Scholar] [CrossRef]
- Rojas-González, J.A.; Soto-Súarez, M.; García-Díaz, Á.; Romero-Puertas, M.C.; Sandalio, L.M.; Mérida, Á.; Thormählen, I.; Geigenberger, P.; Serrato, A.J.; Sahrawy, M. Disruption of both chloroplastic and cytosolic FBPase genes results in a dwarf phenotype and important starch and metabolite changes in Arabidopsis thaliana. J. Exp. Bot. 2015, 66, 2673–2689. [Google Scholar] [CrossRef]
- Schnarrenberger, C.; Martin, W. The Calvin cycle—A historical perspective. Photosynthetica 1997, 33, 331–345. [Google Scholar]
- Ye, B.-Y.; Huang, J.-C.; Shao, W.-H.; Chen, Y.-Q.; Chen, R.-K. Cloning and Sequence Analysis of Fructose-1,6-bisphosphatase cDNA from Sugarcane Stalk. Sugar Crops China 2009, 3, 1–4. [Google Scholar]
- Miyagawa, Y.; Tamoi, M.; Shigeoka, S. Overexpression of a cyanobacterial fructose-1,6-/sedoheptulose-1,7-bisphosphatase in tobacco enhances photosynthesis and growth. Nat. Biotechnol. 2001, 19, 965–969. [Google Scholar] [CrossRef] [PubMed]
- Thorbjornsen, T.; Asp, T.; Jorgensen, K.; Nielsen, T.H. Starch biosynthesis from triose-phosphate in transgenic potato tubers expressing plastidic fructose-1,6-bisphosphatase. Planta 2002, 214, 616–624. [Google Scholar] [CrossRef]
- Xiao, H.; Chen, C.; Xu, Y.; Ji, D.; Xie, C. Cloning and expression analysis of the chloroplast fructose-1,6-bisphosphatase gene from Pyropia haitanensis. Acta Oceanol. Sin. 2014, 33, 92–100. [Google Scholar] [CrossRef]
- Chen, H.; Tan, J.-H.; Yan, P.-D.; Wu, D.-S.; Luo, Q.-F.; Yang, Z.-Q. Cloning and Expression Analysis of PmFBP Gene in Pinus massoniana. Guangxi For. Sci. 2016, 45, 12–18. [Google Scholar] [CrossRef]
- Zhao, X.; Hu, X.; Ouyang, K.; Yang, J.; Que, Q.; Long, J.; Zhang, J.; Zhang, T.; Wang, X.; Gao, J.; et al. Chromosome—Level assembly of the Neolamarckia cadamba genome provides insights into the evolution of cadambine biosynthesis. Plant J. 2022, 109, 891–908. [Google Scholar] [CrossRef]
- Chen, C.; Chen, H.; Zhang, Y.; Thomas, H.R.; Frank, M.H.; He, Y.; Xia, R. TBtools: An Integrative Toolkit Developed for Interactive Analyses of Big Biological Data. Mol. Plant 2020, 13, 1194–1202. [Google Scholar] [CrossRef]
- Ouyang, K.; Li, J.; Huang, H.; Que, Q.; Li, P.; Chen, X. A simple method for RNA isolation from various tissues of the tree Neolamarckia cadamba. Biotechnol. Biotechnol. Eq. 2014, 28, 1008–1013. [Google Scholar] [CrossRef]
- Bailey, T.L.; Boden, M.; Buske, F.A.; Frith, M.; Grant, C.E.; Clementi, L.; Ren, J.; Li, W.W.; Noble, W.S. MEME SUITE: Tools for motif discovery and searching. Nucleic Acids Res. 2009, 37, W202–W208. [Google Scholar] [CrossRef]
- Finn, R.D.; Coggill, P.; Eberhardt, R.Y.; Eddy, S.R.; Mistry, J.; Mitchell, A.L.; Potter, S.C.; Punta, M.; Qureshi, M.; Sangrador-Vegas, A.; et al. The Pfam protein families database: Towards a more sustainable future. Nucleic Acids Res. 2016, 44, D279–D285. [Google Scholar] [CrossRef] [PubMed]
- Kumar, S.; Stecher, G.; Li, M.; Knyaz, C.; Tamura, K.; Battistuzzi, F.U. MEGA X: Molecular Evolutionary Genetics Analysis across Computing Platforms. Mol. Biol. Evol. 2018, 35, 1547–1549. [Google Scholar] [CrossRef] [PubMed]
- Felsenstein, J. Confidence limits on phylogenies: An approach using the bootstrap. Evolution 1985, 39, 783–791. [Google Scholar] [CrossRef] [PubMed]
- Zhang, D.; Li, J.; Li, B.; Li, C.; Chen, X.; Ouyang, K. Internal Reference Gene Selection under Different Hormone Stresses in Multipurpose Timber Yielding Tree Neolamarckia cadamba. Forests 2020, 11, 1014. [Google Scholar] [CrossRef]
- Livak, K.J.; Schmittgen, T.D. Analysis of Relative Gene Expression Data Using Real-Time Quantitative PCR and the 2−ΔΔCT Method. Methods 2001, 25, 402–408. [Google Scholar] [CrossRef]
- Li, Y.; Ye, Q.; He, D.; Bai, H.; Wen, J. The ubiquity and coexistence of two FBPases in chloroplasts of photosynthetic eukaryotes and its evolutionary and functional implications. Plant Divers. 2020, 42, 120–125. [Google Scholar] [CrossRef]
- Gutle, D.D.; Roret, T.; Muller, S.J.; Couturier, J.; Lemaire, S.D.; Hecker, A.; Dhalleine, T.; Buchanan, B.B.; Reski, R.; Einsle, O.; et al. Chloroplast FBPase and SBPase are thioredoxin-linked enzymes with similar architecture but different evolutionary histories. Proc. Natl. Acad. Sci. USA 2016, 113, 6779–6784. [Google Scholar] [CrossRef]
- Kossmann, J.; Muller-Rober, B.; Dyer, T.A.; Raines, C.A.; Sonnewald, U.; Willmitzer, L. Cloning and expression analysis of the plastidic fructose-1,6-bisphosphatase coding sequence from potato: Circumstantial evidence for the import of hexoses into chloroplasts. Planta 1992, 188, 7–12. [Google Scholar] [CrossRef]
- Kobmann, J.; Sonnewald, U.; Willmitzer, L. Reduction of the chloroplastic fructose-16-bisphosphatase in transgenic potato plants impairs photosynthesis and plant growth. Plant J. 1994, 6, 637–650. [Google Scholar]
- Miles, A.J.; Potts, S.C.; Willingham, N.M.; Raines, C.A.; Lloyd, J.C. A light- and developmentally-regulated DNA-binding interaction is common to the upstream sequences of the wheat Calvin cycle bisphosphatase genes. Plant Mol. Biol. 1993, 22, 507–516. [Google Scholar] [CrossRef]
- Ma, W.; Shi, D.; Wang, Q.; Wei, L.; Chen, H. Exogenous expression of the wheat chloroplastic fructose-1,6-bisphosphatase gene enhances photosynthesis in the transgenic cyanobacterium, Anabaena PCC7120. J. Appl. Phycol. 2005, 17, 273–280. [Google Scholar] [CrossRef]
- Dong, S.M.; Rhim, J.H.; Hahn, T.R. Nucleotide sequence analysis of a cDNA encoding chloroplastic fructose-1,6-bisphosphatase from pea (Pisum sativum L.). Plant Physiol. 1995, 107, 313–314. [Google Scholar] [CrossRef] [PubMed][Green Version]
- Lee, S.W.; Hahn, T.R. Two light-responsive elements of pea chloroplastic fructose-1,6-bisphosphatase gene involved in the red-light-specific gene expression in transgenic tobaccos. Biochim. Biophys. Acta 2002, 1579, 8–17. [Google Scholar] [CrossRef] [PubMed]
- Serrato, A.J.; Romero-Puertas, M.C.; Lazaro-Payo, A.; Sahrawy, M. Regulation by S-nitrosylation of the Calvin-Benson cycle fructose-1,6-bisphosphatase in Pisum sativum. Redox. Biol. 2018, 14, 409–416. [Google Scholar] [CrossRef] [PubMed]
- Fonolla, J.; Hermoso, R.; Carrasco, J.L.; Chueca, A.; Lazaro, J.J.; Prado, F.E.; Lopez-Gorge, J. Antigenic relationships between chloroplast and cytosolic fructose-1,6-bisphosphatases. Plant Physiol. 1994, 104, 381–386. [Google Scholar] [CrossRef] [PubMed]
- Obiadalla-Ali, H.; Fernie, A.R.; Lytovchenko, A.; Kossmann, J.; Lloyd, J.R. Inhibition of chloroplastic fructose 1,6-bisphosphatase in tomato fruits leads to decreased fruit size, but only small changes in carbohydrate metabolism. Planta 2004, 219, 533–540. [Google Scholar] [CrossRef]
- Sahrawy, M.; Avila, C.; Chueca, A.; Canovas, F.M.; Lopez-Gorge, J. Increased sucrose level and altered nitrogen metabolism in Arabidopsis thaliana transgenic plants expressing antisense chloroplastic fructose-1,6-bisphosphatase. J. Exp. Bot. 2004, 55, 2495–2503. [Google Scholar] [CrossRef] [PubMed]
- Chatterjee, J.; Patra, B.; Mukherjee, R.; Basak, P.; Mukherjee, S.; Ray, S.; Bhattacharyya, S.; Maitra, S.; GhoshDastidar, K.; Ghosh, S.; et al. Cloning, characterization and expression of a chloroplastic fructose-1,6-bisphosphatase from Porteresia coarctata conferring salt-tolerance in transgenic tobacco. Plant Cell Tiss. Org. 2013, 114, 395–409. [Google Scholar] [CrossRef]
- Ogawa, T.; Kimura, A.; Sakuyama, H.; Tamoi, M.; Ishikawa, T.; Shigeoka, S. Characterization and physiological role of two types of chloroplastic fructose-1,6-bisphosphatases in Euglena gracilis. Arch. Biochem. Biophys. 2015, 575, 61–68. [Google Scholar] [CrossRef]
- Ge, Q.; Cui, Y.; Li, J.; Gong, J.; Lu, Q.; Li, P.; Shi, Y.; Shang, H.; Liu, A.; Deng, X.; et al. Disequilibrium evolution of the Fructose-1,6-bisphosphatase gene family leads to their functional biodiversity in Gossypium species. BMC Genom. 2020, 21, 379. [Google Scholar] [CrossRef]
- Blair, M.W.; Cortes, A.J.; This, D. Identification of an ERECTA gene and its drought adaptation associations with wild and cultivated common bean. Plant Sci. 2016, 242, 250–259. [Google Scholar] [CrossRef] [PubMed]
- Cortes, A.J.; This, D.; Chavarro, C.; Madrinan, S.; Blair, M.W. Nucleotide diversity patterns at the drought-related DREB2 encoding genes in wild and cultivated common bean (Phaseolus vulgaris L.). Theor. Appl. Genet. 2012, 125, 1069–1085. [Google Scholar] [CrossRef] [PubMed]
- He, B.; Zhu, J.; Long, X.; Qin, Y.; Tang, C. Cloning and Expression Analysis of a Chloroplast Fructose-1,6-Bisphosphatase Gene in Hevea brasiliensis. Chin. J. Trop. Crops 2015, 36, 448–455. [Google Scholar]
- Wang, X.; Yu, X.; Zi-Han, H.; Ling-Ling, L.; Yan-Wen, L.; Xin-Sheng, H. Evolutionary Divergence between Toona ciliata and Toona sinensis Assayed with Their Whole Genome Sequences. Genes 2022, 13, 1799. [Google Scholar] [CrossRef] [PubMed]
- Cortes, A.J.; Lopez-Hernandez, F.; Blair, M.W. Genome-Environment Associations, an Innovative Tool for Studying Heritable Evolutionary Adaptation in Orphan Crops and Wild Relatives. Front. Genet. 2022, 13, 910386. [Google Scholar] [CrossRef] [PubMed]
- Buitrago-Bitar, M.A.; Cortés, A.J.; López-Hernández, F.; Londoño-Caicedo, J.M.; Muñoz-Florez, J.E.; Muñoz, L.C.; Blair, M.W. Allelic Diversity at Abiotic Stress Responsive Genes in Relationship to Ecological Drought Indices for Cultivated Tepary Bean, Phaseolus acutifolius A. Gray, and Its Wild Relatives. Genes 2021, 12, 556. [Google Scholar] [CrossRef]
- Lopez-Hernandez, F.; Cortes, A.J. Last-Generation Genome-Environment Associations Reveal the Genetic Basis of Heat Tolerance in Common Bean (Phaseolus vulgaris L.). Front. Genet. 2019, 10, 954. [Google Scholar] [CrossRef]
- Guevara-Escudero, M.; Osorio, A.N.; Cortés, A.J. Integrative Pre-Breeding for Biotic Resistance in Forest Trees. Plants 2021, 10, 2022. [Google Scholar] [CrossRef]
- Cortés, A.J.; López-Hernández, F.; Osorio-Rodriguez, D. Predicting Thermal Adaptation by Looking into Populations’ Genomic Past. Front. Genet. 2020, 11, 564515. [Google Scholar] [CrossRef]
- Cortes, A.J.; Restrepo-Montoya, M.; Bedoya-Canas, L.E. Modern Strategies to Assess and Breed Forest Tree Adaptation to Changing Climate. Front. Plant Sci. 2020, 11, 583323. [Google Scholar] [CrossRef]





| Classification | Species Name | Common Name | Genome Size (Mb) | Org Code | FBP (PF00316) |
|---|---|---|---|---|---|
| Algae | Chlamydomonas reinhardtii | Green algae | 111.1 | Cre | 3 |
| Mosses | Physcomitrella patens | Moss | 473.0 | Ppa | 12 |
| Ferns | Selaginella moellendorffii | Spikemoss | 212.5 | Smo | 5 |
| Monocots | Setaria italica | Foxtail millet | 405.7 | Sit | 5 |
| Monocots | Oryza sativa | Rice | 372.0 | Osa | 5 |
| Monocots | Zea mays PH207 | Maize | 2450.0 | Zma | 5 |
| Monocots | Brachypodium hybridum | 509.0 | Bhy | 10 | |
| Monocots | Miscanthus sinensis | Chinese silver grass | 2000.0 | Msi | 9 |
| Monocots | Sorghum bicolor | Cereal grass | 732.2 | Sbi | 5 |
| Dicots | Citrus sinensis | Sweet orange | 319.0 | Csi | 6 |
| Dicots | A. thaliana | Thale cress | 135.0 | Ath | 4 |
| Dicots | Populus trichocarpa | Western poplar | 422.9 | Ptr | 11 |
| Dicots | Amborella trichopoda | Amborella | 706.0 | Atr | 4 |
| Dicots | Eucalyptus grandis | Eucalyptus | 691.0 | Egr | 5 |
| Dicots | Aquilegia coerulea | Colorado blue columbine | 306.5 | Aco | 5 |
| Dicots | Solanum tuberosum | Potato | 723.0 | Stu | 7 |
| Dicots | Olea europaea | Olive | 1140.0 | Oeu | 10 |
| Dicots | Coffea arabica | Coffee | 1192.6 | Car | 10 |
| Dicots | Vitis vinifera | Grape vine | 487.0 | Vvi | 5 |
| Dicots | Solanum lycopersicum | Tomato | 900.0 | Sly | 7 |
| Dicots | Gossypium hirsutum | Upland cotton | 2305.2 | Ghi | 14 |
| Dicots | Cinnamomum kanehirae | Stout camphor tree | 730.4 | Cka | 5 |
| Dicots | N. cadamba | Kadan | 724.5 | Nca | 6 |
| Gene Symbol | Gene ID | pI | MW (kDa) | aa-num | Instability Index | Aliphatic Index | Grand Average of Hydropathicity |
|---|---|---|---|---|---|---|---|
| NcFBP1 | evm.model.Contig96.207 | 5.76 | 42.5726 | 393 | 35.88 | 86.11 | −0.092 |
| NcFBP2 | evm.model.Contig54.150 | 5.77 | 40.4778 | 374 | 37.52 | 94.04 | −0.108 |
| NcFBP3 | evm.model.Contig462.135 | 6.27 | 43.0109 | 392 | 44.59 | 89.29 | −0.223 |
| NcFBP4 | evm.model.Contig462.133_evm.modle.Contig462.134 | 5.45 | 44.3803 | 407 | 42.64 | 88.38 | −0.156 |
| NcFBP5 | evm.model.Contig296.294 | 5.25 | 44.3753 | 409 | 37.70 | 91.27 | −0.120 |
| NcFBP6 | evm.model.Contig172.7 | 5.87 | 37.1957 | 340 | 36.53 | 84.56 | −0.168 |
Publisher’s Note: MDPI stays neutral with regard to jurisdictional claims in published maps and institutional affiliations. |
© 2022 by the authors. Licensee MDPI, Basel, Switzerland. This article is an open access article distributed under the terms and conditions of the Creative Commons Attribution (CC BY) license (https://creativecommons.org/licenses/by/4.0/).
Share and Cite
Que, Q.; Liang, X.; Song, H.; Li, C.; Li, P.; Pian, R.; Chen, X.; Zhou, W.; Ouyang, K. Evolution and Expression Patterns of the Fructose 1,6-Bisphosptase Gene Family in a Miracle Tree (Neolamarckia cadamba). Genes 2022, 13, 2349. https://doi.org/10.3390/genes13122349
Que Q, Liang X, Song H, Li C, Li P, Pian R, Chen X, Zhou W, Ouyang K. Evolution and Expression Patterns of the Fructose 1,6-Bisphosptase Gene Family in a Miracle Tree (Neolamarckia cadamba). Genes. 2022; 13(12):2349. https://doi.org/10.3390/genes13122349
Chicago/Turabian StyleQue, Qingmin, Xiaohan Liang, Huiyun Song, Chunmei Li, Pei Li, Ruiqi Pian, Xiaoyang Chen, Wei Zhou, and Kunxi Ouyang. 2022. "Evolution and Expression Patterns of the Fructose 1,6-Bisphosptase Gene Family in a Miracle Tree (Neolamarckia cadamba)" Genes 13, no. 12: 2349. https://doi.org/10.3390/genes13122349
APA StyleQue, Q., Liang, X., Song, H., Li, C., Li, P., Pian, R., Chen, X., Zhou, W., & Ouyang, K. (2022). Evolution and Expression Patterns of the Fructose 1,6-Bisphosptase Gene Family in a Miracle Tree (Neolamarckia cadamba). Genes, 13(12), 2349. https://doi.org/10.3390/genes13122349

