Integrative Histology-Genomic Analysis Predicts Hepatocellular Carcinoma Prognosis Using Deep Learning
Abstract
1. Introduction
2. Materials and Methods
2.1. Patient Cohorts
2.2. Data Analysis and Integration Workflow
2.3. Histopathology Image Processing
2.4. Loss Function for Deep Learning Training
2.5. Pathology Model Training
2.6. Gene Coexpression Analysis
2.7. Integrative Multi-Modality Prognosis Model
2.8. Statistical Analysis and Model Assessment
3. Results
3.1. Patient Characteristics
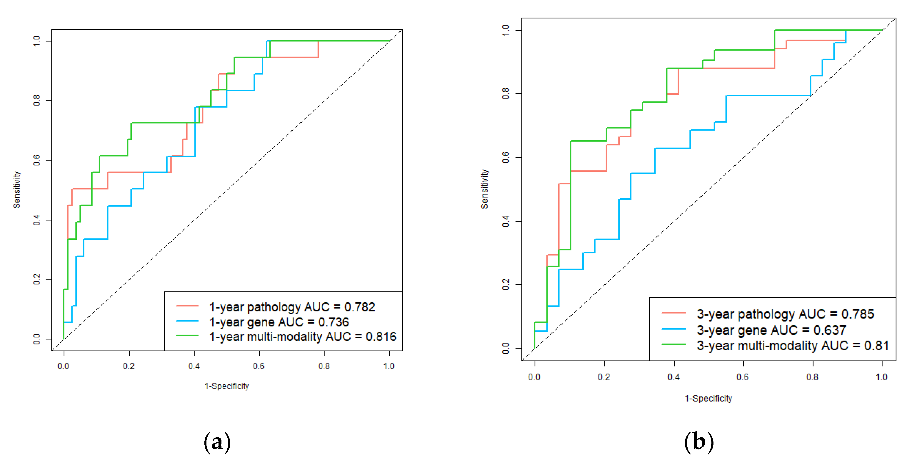
3.2. Multi-Modality Model Perfomance Evaluation
3.3. Survival Prediction by Multi-Modality Model
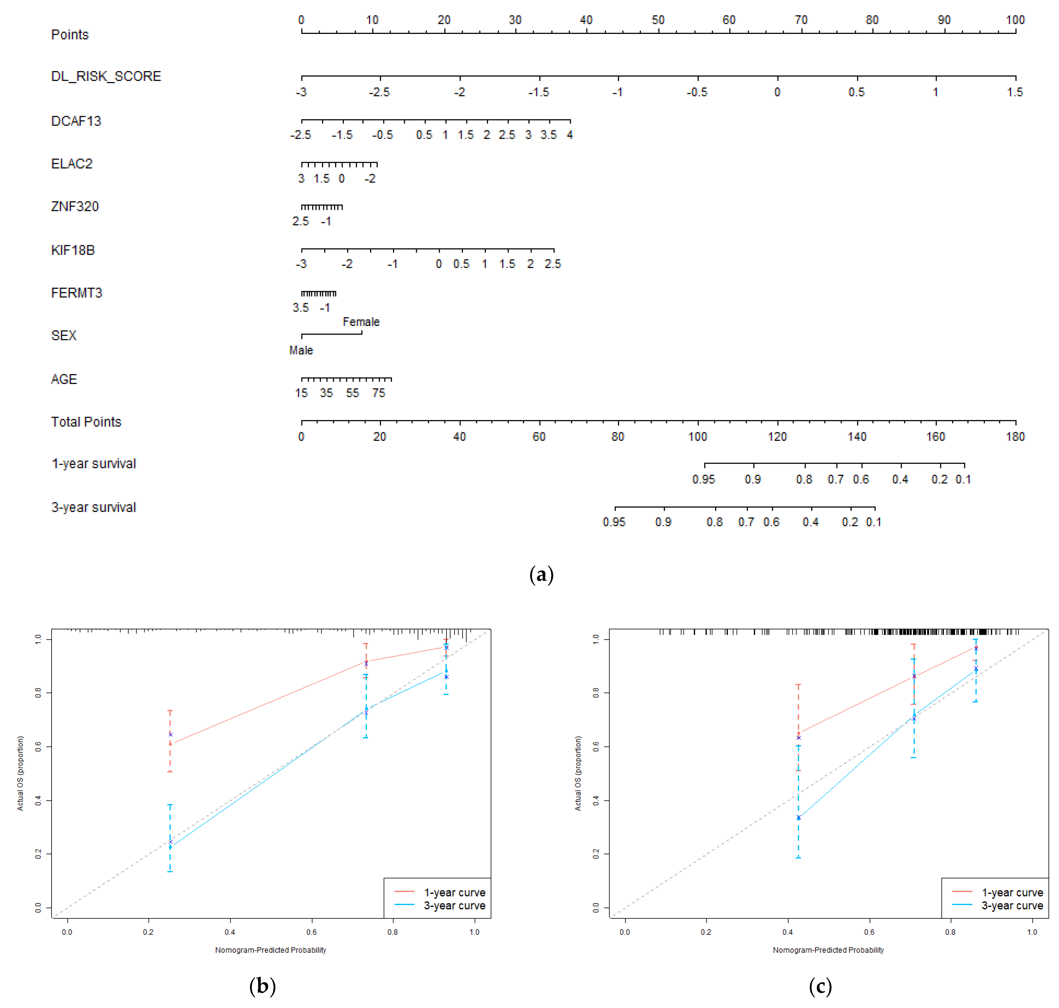
3.4. Nomogram and Clinical Benefit Evaluation
4. Discussion
5. Conclusions
Supplementary Materials
Author Contributions
Funding
Institutional Review Board Statement
Informed Consent Statement
Data Availability Statement
Conflicts of Interest
Abbreviations
| AUC | Area under the curve |
| C-index | Concordance index |
| CI | Confidence interval |
| DCA | Decision curve analysis |
| HCC | Hepatocellular carcinoma |
| HR | Hazard ratio |
| KM curve | Kaplan Meier curve |
| LASSO | The least absolute shrinkage and selection operator |
| LIHC | Liver hepatocellular carcinoma collection |
| MI-FCN | Multi-instance fully connection network |
| ROC | Receiver operating characteristic |
| TCGA | The Cancer Genome Atlas |
| WSI | Whole slide imaging |
| WGCNA | Weighted gene co-expression network analysis |
References
- Sung, H.; Ferlay, J.; Siegel, R.L.; Laversanne, M.; Soerjomataram, I.; Jemal, A.; Bray, F. Global Cancer Statistics 2020: GLOBOCAN Estimates of Incidence and Mortality Worldwide for 36 Cancers in 185 Countries. CA Cancer J. Clin. 2021, 71, 209–249. [Google Scholar] [CrossRef] [PubMed]
- Anwanwan, D.; Singh, S.K.; Singh, S.; Saikam, V.; Singh, R. Challenges in Liver Cancer and Possible Treatment Approaches. Biochim. Biophys. Acta-Rev. Cancer 2020, 1873, 188314. [Google Scholar] [CrossRef]
- Tran, K.A.; Kondrashova, O.; Bradley, A.; Williams, E.D.; Pearson, J.V.; Waddell, N. Deep Learning in Cancer Diagnosis, Prognosis and Treatment Selection. Genome Med. 2021, 13, 152. [Google Scholar] [CrossRef] [PubMed]
- Echle, A.; Rindtorff, N.T.; Brinker, T.J.; Luedde, T.; Pearson, A.T.; Kather, J.N. Deep Learning in Cancer Pathology: A New Generation of Clinical Biomarkers. Br. J. Cancer. 2021, 124, 686–696. [Google Scholar] [CrossRef]
- Campanella, G.; Hanna, M.G.; Geneslaw, L.; Miraflor, A.; Werneck Krauss Silva, V.; Busam, K.J.; Brogi, E.; Reuter, V.E.; Klimstra, D.S.; Fuchs, T.J. Clinical-Grade Computational Pathology Using Weakly Supervised Deep Learning on Whole Slide Images. Nat. Med. 2019, 25, 1301–1309. [Google Scholar] [CrossRef] [PubMed]
- Jain, M.S.; Massoud, T.F. Predicting Tumour Mutational Burden from Histopathological Images Using Multiscale Deep Learning. Nat. Mach. Intell. 2020, 2, 356–362. [Google Scholar] [CrossRef]
- Feng, R.; Liu, X.; Chen, J.; Chen, D.Z.; Gao, H.; Wu, J. A Deep Learning Approach for Colonoscopy Pathology WSI Analysis: Accurate Segmentation and Classification. IEEE J. Biomed. Heal. Inform. 2021, 25, 3700–3708. [Google Scholar] [CrossRef] [PubMed]
- Bhargava, H.K.; Leo, P.; Elliott, R.; Janowczyk, A.; Whitney, J.; Gupta, S.; Fu, P.; Yamoah, K.; Khani, F.; Robinson, B.D.; et al. Computationally Derived Image Signature of Stromal Morphology Is Prognostic of Prostate Cancer Recurrence Following Prostatectomy in African American Patients. Clin. Cancer Res. 2020, 26, 1915–1923. [Google Scholar] [CrossRef] [PubMed]
- Zhu, X.; Yao, J.; Huang, J. Deep Convolutional Neural Network for Survival Analysis with Pathological Images. In Proceedings of the 2016 IEEE International Conference on Bioinformatics and Biomedicine (BIBM), Shenzhen, China, 15–18 December 2016; Volume 2017, pp. 544–547. [Google Scholar] [CrossRef]
- Shao, W.; Wang, T.; Sun, L.; Dong, T.; Han, Z.; Huang, Z.; Zhang, J.; Zhang, D.; Huang, K. Multi-Task Multi-Modal Learning for Joint Diagnosis and Prognosis of Human Cancers. Med. Image Anal. 2020, 65, 101795. [Google Scholar] [CrossRef] [PubMed]
- Zeng, H.; Chen, L.; Huang, Y.; Luo, Y.; Ma, X. Integrative Models of Histopathological Image Features and Omics Data Predict Survival in Head and Neck Squamous Cell Carcinoma. Front. Cell Dev. Biol. 2020, 8, 553099. [Google Scholar] [CrossRef]
- Poirion, O.B.; Jing, Z.; Chaudhary, K.; Huang, S.; Garmire, L.X. DeepProg: An Ensemble of Deep-Learning and Machine-Learning Models for Prognosis Prediction Using Multi-Omics Data. Genome Med. 2021, 13, 112. [Google Scholar] [CrossRef] [PubMed]
- Ning, Z.; Ning, Z.; Pan, W.; Pan, W.; Chen, Y.; Xiao, Q.; Xiao, Q.; Zhang, X.; Zhang, X.; Luo, J.; et al. Integrative Analysis of Cross-Modal Features for the Prognosis Prediction of Clear Cell Renal Cell Carcinoma. Bioinformatics 2020, 36, 2888–2895. [Google Scholar] [CrossRef] [PubMed]
- Vale-Silva, L.A.; Rohr, K. MultiSurv: Long-Term Cancer Survival Prediction Using Multimodal Deep Learning. Sci. Rep. 2021, 11, 13505. [Google Scholar] [CrossRef] [PubMed]
- Fan, M.; Xia, P.; Clarke, R.; Wang, Y.; Li, L. Radiogenomic Signatures Reveal Multiscale Intratumour Heterogeneity Associated with Biological Functions and Survival in Breast Cancer. Nat. Commun. 2020, 11, 4861. [Google Scholar] [CrossRef]
- Cheng, J.; Zhang, J.; Han, Y.; Wang, X.; Ye, X.; Meng, Y.; Parwani, A.; Han, Z.; Feng, Q.; Huang, K. Integrative Analysis of Histopathological Images and Genomic Data Predicts Clear Cell Renal Cell Carcinoma Prognosis. Cancer Res. 2017, 77, e91–e100. [Google Scholar] [CrossRef]
- Erickson, B.J.; Kirk, S.; Lee, Y.; Bathe, O.; Kearns, M.; Gerdes, C.; Rieger-Christ, K.; Lemmerman, J. The Cancer Genome Atlas Liver Hepatocellular Carcinoma Collection (TCGA-LIHC) (Version 5) The Cancer Imaging Archive. Available online: https://wiki.cancerimagingarchive.net/pages/viewpage.action?pageId=6885436 (accessed on 13 June 2022).
- Yao, J.; Zhu, X.; Jonnagaddala, J.; Hawkins, N.; Huang, J. Whole Slide Images Based Cancer Survival Prediction Using Attention Guided Deep Multiple Instance Learning Networks. Med. Image Anal. 2020, 65, 101789. [Google Scholar] [CrossRef]
- Simonyan, K.; Zisserman, A. Very Deep Convolutional Networks for Large-Scale Image Recognition. In Proceedings of the 3rd International Conference on Learning Representations–ICLR 2015, San Diego, CA, USA, 7–9 May 2015; pp. 1–14. [Google Scholar]
- Langfelder, P.; Horvath, S. WGCNA: An R Package for Weighted Correlation Network Analysis. BMC Bioinform. 2008, 9, 559. [Google Scholar] [CrossRef]
- Iasonos, A.; Schrag, D.; Raj, G.V.; Panageas, K.S. How to Build and Interpret a Nomogram for Cancer Prognosis. J. Clin. Oncol. 2008, 26, 1364–1370. [Google Scholar] [CrossRef]
- Vickers, A.J.; Elkin, E.B. Decision Curve Analysis: A Novel Method for Evaluating Prediction Models. Med. Decis. Mak. 2006, 26, 565–574. [Google Scholar] [CrossRef]
- Kather, J.N.; Krisam, J.; Charoentong, P.; Luedde, T.; Herpel, E.; Weis, C.A.; Gaiser, T.; Marx, A.; Valous, N.A.; Ferber, D.; et al. Predicting Survival from Colorectal Cancer Histology Slides Using Deep Learning: A Retrospective Multicenter Study. PLoS Med. 2019, 16, e1002730. [Google Scholar] [CrossRef]
- Klimov, S.; Xue, Y.; Gertych, A.; Graham, R.P.; Jiang, Y.; Bhattarai, S.; Pandol, S.J.; Rakha, E.A.; Reid, M.D.; Aneja, R. Predicting Metastasis Risk in Pancreatic Neuroendocrine Tumors Using Deep Learning Image Analysis. Front. Oncol. 2021, 10, 593211. [Google Scholar] [CrossRef] [PubMed]
- Lu, C.; Bera, K.; Wang, X.; Prasanna, P.; Xu, J.; Janowczyk, A.; Beig, N.; Yang, M.; Fu, P.; Lewis, J.; et al. A Prognostic Model for Overall Survival of Patients with Early-Stage Non-Small Cell Lung Cancer: A Multicentre, Retrospective Study. Lancet Digit. Health 2020, 2, e594–e606. [Google Scholar] [CrossRef]
- Meier, A.; Nekolla, K.; Hewitt, L.C.; Earle, S.; Yoshikawa, T.; Oshima, T.; Miyagi, Y.; Huss, R.; Schmidt, G.; Grabsch, H.I. Hypothesis-Free Deep Survival Learning Applied to the Tumour Microenvironment in Gastric Cancer. J. Pathol. Clin. Res. 2020, 6, 273–282. [Google Scholar] [CrossRef] [PubMed]
- Li, R.; Yao, J.; Zhu, X.; Li, Y.; Huang, J. Graph CNN for Survival Analysis on Whole Slide Pathological Images; Springer International Publishing: Berlin/Heidelberg, Germany, 2018; Volume 2, ISBN 9783030009342. [Google Scholar]
- Zadeh Shirazi, A.; Fornaciari, E.; Bagherian, N.S.; Ebert, L.M.; Koszyca, B.; Gomez, G.A. DeepSurvNet: Deep Survival Convolutional Network for Brain Cancer Survival Rate Classification Based on Histopathological Images. Med. Biol. Eng. Comput. 2020, 58, 1031–1045. [Google Scholar] [CrossRef]
- Yamashita, R.; Long, J.; Saleem, A.; Rubin, D.L.; Shen, J. Deep Learning Predicts Postsurgical Recurrence of Hepatocellular Carcinoma from Digital Histopathologic Images. Sci. Rep. 2021, 11, 2047. [Google Scholar] [CrossRef]
- Wulczyn, E.; Steiner, D.F.; Xu, Z.; Sadhwani, A.; Wang, H.; Flament-Auvigne, I.; Mermel, C.H.; Chen, P.H.C.; Liu, Y.; Stumpe, M.C. Deep Learning-Based Survival Prediction for Multiple Cancer Types Using Histopathology Images. PLoS ONE 2020, 15, e0233678. [Google Scholar] [CrossRef]
- Mobadersany, P.; Yousefi, S.; Amgad, M.; Gutman, D.A.; Barnholtz-Sloan, J.S.; Velázquez Vega, J.E.; Brat, D.J.; Cooper, L.A.D. Predicting Cancer Outcomes from Histology and Genomics Using Convolutional Networks. Proc. Natl. Acad. Sci. USA 2018, 115, e2970–e2979. [Google Scholar] [CrossRef]
- Li, H.; Yang, F.; Xing, X.; Zhao, Y.; Zhang, J.; Liu, Y.; Han, M.; Huang, J.; Wang, L.; Yao, J. Multi-Modal Multi-Instance Learning Using Weakly Correlated Histopathological Images and Tabular Clinical Information BT. In Medical Image Computing and Computer Assisted Intervention—MICCAI 2021; de Bruijne, M., Cattin, P.C., Cotin, S., Padoy, N., Speidel, S., Zheng, Y., Essert, C., Eds.; Springer International Publishing: Cham, Switzerland, 2021; pp. 529–539. [Google Scholar]
- Chen, R.J.; Lu, M.Y.; Wang, J.; Williamson, D.F.K.; Rodig, S.J.; Lindeman, N.I.; Mahmood, F. Pathomic Fusion: An Integrated Framework for Fusing Histopathology and Genomic Features for Cancer Diagnosis and Prognosis. IEEE Trans. Med. Imaging 2022, 41, 757–770. [Google Scholar] [CrossRef]
- Wang, R.; Huang, Z.; Wang, H.; Wu, H. AMMASurv: Asymmetrical Multi-Modal Attention for Accurate Survival Analysis with Whole Slide Images and Gene Expression Data. In Proceedings of the 2021 IEEE International Conference on Bioinformatics and Biomedicine (BIBM), Virtual, 9–12 December 2021; pp. 757–760. [Google Scholar]
- Li, X.; Huang, W.; Huang, W.; Wei, T.; Zhu, W.; Chen, G.; Zhang, J. Kinesin Family Members KIF2C/4A/10/11/14/18B/ 20A/23 Predict Poor Prognosis and Promote Cell Proliferation in Hepatocellular Carcinoma. Am. J. Transl. Res. 2020, 12, 1614–1639. [Google Scholar]
- Qiu, M.-J.; Zhang, L.; Chen, Y.-B.; Zhu, L.-S.; Zhang, B.; Li, Q.-T.; Yang, S.-L.; Xiong, Z. KIF18B as a Regulator in Tumor Microenvironment Accelerates Tumor Progression and Triggers Poor Outcome in Hepatocellular Carcinoma. Int. J. Biochem. Cell Biol. 2021, 137, 106037. [Google Scholar] [CrossRef]
- Itzel, T.; Scholz, P.; Maass, T.; Krupp, M.; Marquardt, J.U.; Strand, S.; Becker, D.; Staib, F.; Binder, H.; Roessler, S.; et al. Translating Bioinformatics in Oncology: Guilt-by-Profiling Analysis and Identification of KIF18B and CDCA3 as Novel Driver Genes in Carcinogenesis. Bioinformatics 2015, 31, 216–224. [Google Scholar] [CrossRef]
- Cao, J.; Hou, P.; Chen, J.; Wang, P.; Wang, W.; Liu, W.; Liu, C.; He, X. The Overexpression and Prognostic Role of DCAF13 in Hepatocellular Carcinoma. Tumor Biol. 2017, 39, 1010428317705753. [Google Scholar] [CrossRef]
- Luo, Y.; Lin, J.; Zhang, Y.; Dai, G.; Li, A.; Liu, X. LncRNA PCAT6 Predicts Poor Prognosis in Hepatocellular Carcinoma and Promotes Proliferation through the Regulation of Cell Cycle Arrest and Apoptosis. Cell Biochem. Funct. 2020, 38, 895–904. [Google Scholar] [CrossRef] [PubMed]
- Wu, J.; Li, C.; Gensheimer, M.; Padda, S.; Kato, F.; Shirato, H.; Wei, Y.; Schönlieb, C.B.; Price, S.J.; Jaffray, D.; et al. Radiological Tumour Classification across Imaging Modality and Histology. Nat. Mach. Intell. 2021, 3, 787–798. [Google Scholar] [CrossRef]







| Characteristics | Total (N = 346) | Train (N = 231) | Test (N = 115) | p-Value |
|---|---|---|---|---|
| Age: median (range) | 61.0 (16–85) | 61.0 (17–85) | 61.0 (16–82) | 0.679 |
| Gender | 0.608 | |||
| Male | 232 (67.1%) | 157 (68.0%) | 75 (65.2%) | |
| Female | 114 (32.9%) | 74 (32.0%) | 40 (34.8%) | |
| T classification | 0.360 | |||
| T0-T1 | 169 (48.8%) | 114 (49.3%) | 55 (47.8%) | |
| T2 | 88 (25.4%) | 62 (26.8%) | 26 (22.6%) | |
| T3-T4 | 88 (25.4%) | 55 (23.8%) | 33 (28.7%) | |
| NA | 1 (0.3%) | 0 | 1 (0.9%) | |
| N classification | 0.703 | |||
| N0 | 241 (69.7%) | 165 (71.4%) | 76 (66.1%) | |
| N1 | 3 (0.9%) | 2 (0.9%) | 1 (0.9%) | |
| NX | 101 (29.2%) | 63 (27.2%) | 38 (33.0%) | |
| NA | 1 (0.3%) | 1 (0.4%) | 0 | |
| M classification | 0.177 | |||
| M0 | 252 (72.8%) | 173 (74.9%) | 79 (68.7%) | |
| M1 | 3 (0.9%) | 3 (1.3%) | 0 | |
| MX | 91 (26.3%) | 55 (23.8%) | 36 (31.3%) | |
| TNM stage | 0.487 | |||
| I–II | 242 (69.9%) | 166 (71.9%) | 76 (66.1%) | |
| III–IV | 85 (24.6%) | 54 (23.4%) | 31 (27.0%) | |
| NA | 19 (5.5%) | 11 (4.8%) | 8 (6.9%) | |
| OS (months): median | 19.56 | 19.56 | 19.53 | 0.903 |
| Event | 0.654 | |||
| Alive | 223 (64.5%) | 147 (63.6%) | 76 (66.1%) | |
| Dead | 123 (35.5%) | 84 (36.4%) | 39 (33.9%) |
| Modality | C-Index 1 (Training Set n = 231) | C-Index (Test Set n = 115) |
|---|---|---|
| Pathology | 0.776 (±0.054) | 0.714 (±0.088) |
| Hub gene | 0.692 (±0.061) | 0.666 (±0.081) |
| Multi-modality | 0.796 (±0.055) | 0.746 (±0.077) |
| Model | p-Value (Training Set) | p-Value (Test Set) |
|---|---|---|
| Pathology to Multi-modality | 2.582 × 10−2 | 1.946 × 10−2 |
| Hub gene to Multi-modality | 4.295 × 10−5 | 1.269 × 10−2 |
Publisher’s Note: MDPI stays neutral with regard to jurisdictional claims in published maps and institutional affiliations. |
© 2022 by the authors. Licensee MDPI, Basel, Switzerland. This article is an open access article distributed under the terms and conditions of the Creative Commons Attribution (CC BY) license (https://creativecommons.org/licenses/by/4.0/).
Share and Cite
Hou, J.; Jia, X.; Xie, Y.; Qin, W. Integrative Histology-Genomic Analysis Predicts Hepatocellular Carcinoma Prognosis Using Deep Learning. Genes 2022, 13, 1770. https://doi.org/10.3390/genes13101770
Hou J, Jia X, Xie Y, Qin W. Integrative Histology-Genomic Analysis Predicts Hepatocellular Carcinoma Prognosis Using Deep Learning. Genes. 2022; 13(10):1770. https://doi.org/10.3390/genes13101770
Chicago/Turabian StyleHou, Jiaxin, Xiaoqi Jia, Yaoqin Xie, and Wenjian Qin. 2022. "Integrative Histology-Genomic Analysis Predicts Hepatocellular Carcinoma Prognosis Using Deep Learning" Genes 13, no. 10: 1770. https://doi.org/10.3390/genes13101770
APA StyleHou, J., Jia, X., Xie, Y., & Qin, W. (2022). Integrative Histology-Genomic Analysis Predicts Hepatocellular Carcinoma Prognosis Using Deep Learning. Genes, 13(10), 1770. https://doi.org/10.3390/genes13101770

