Meta-Analysis of Transcriptome-Wide Association Studies across 13 Brain Tissues Identified Novel Clusters of Genes Associated with Nicotine Addiction
Abstract
:1. Introduction
2. Materials and Methods
2.1. Study Cohorts
- (1)
- UK Biobank (UKBB): a large prospective study that recruited ~500,000 participants aged between 40–69 years in 2006–2010 in 22 assessment centers throughout the UK and collected abundant phenotypic and genomic data [28]. For this study, we included number of participants (N) = 142,202 individuals with white ethnicity backgrounds (British, Irish, and any other white background) that had both genotype- and nicotine-dependence-related smoking phenotypic data available.
- (2)
- GWAS & Sequencing Consortium of Alcohol and Nicotine use (GSCAN): a meta-analysis of up to 35 GWAS cohorts of European ancestry including around 1.2 million individuals (depending on traits) [29]. Smoking-related phenotypes in the GSCAN were self-reported responses gathered by multiple teleconferences [29]. We used the GSCAN data excluding UKBB and 23andMe (“Minus23andMeUKBB” with N = 143,210) as a validation cohort [https://conservancy.umn.edu/handle/11299/201564, accessed on 16 November 2021]. For GSCAN, only meta-analyzed GWAS summary data were available.
2.2. Nicotine Dependence Related Smoking Phenotype
2.3. Reference Panel
2.4. TWAS Analysis
2.4.1. Tissue-Specific TWAS
2.4.2. Meta-Analysis of TS-TWAS over 13 Brain Tissues and Downstream Analysis
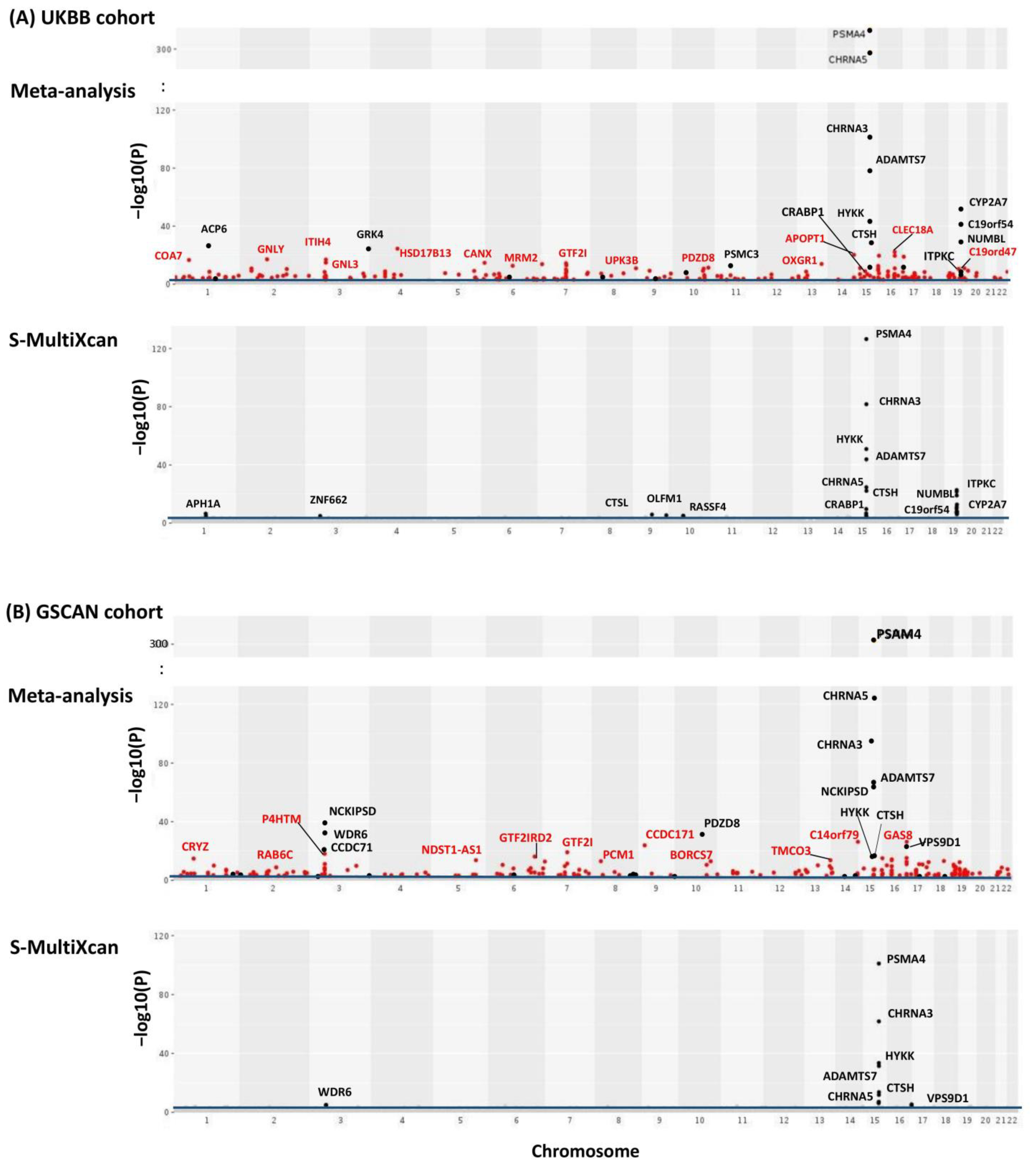
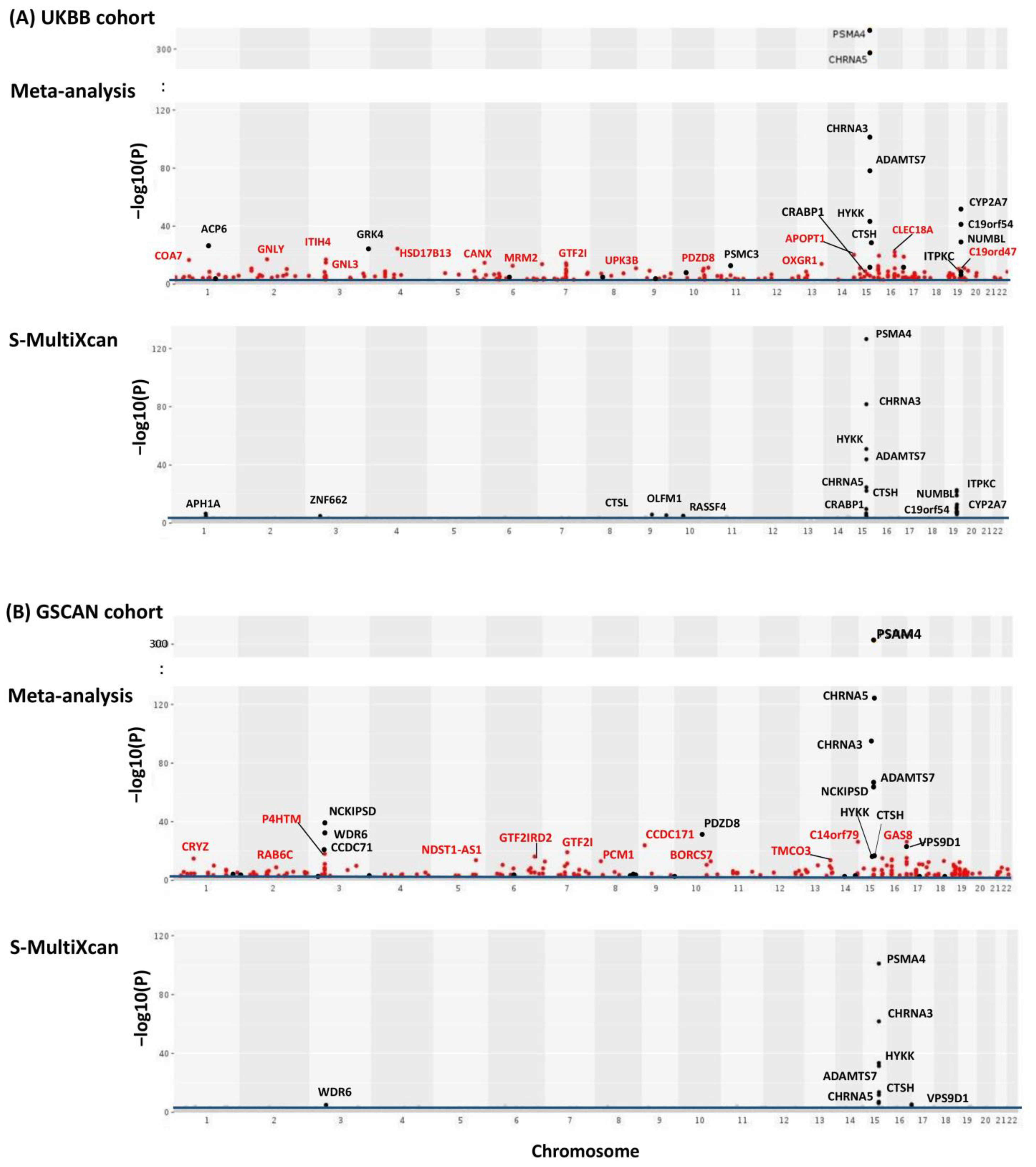
3. Results
4. Discussion
Supplementary Materials
Author Contributions
Funding
Institutional Review Board Statement
Informed Consent Statement
Data Availability Statement
Acknowledgments
Conflicts of Interest
References
- Mills, M.C.; Rahal, C. A scientometric review of genome-wide association studies. Commun. Biol. 2019, 2, 9. [Google Scholar] [CrossRef] [Green Version]
- Tam, V.; Patel, N.; Turcotte, M.; Bossé, Y.; Paré, G.; Meyre, D. Benefits and limitations of genome-wide association studies. Nat. Rev. Genet. 2019, 20, 467–484. [Google Scholar] [CrossRef]
- Visscher, P.M.; Wray, N.R.; Zhang, Q.; Sklar, P.; McCarthy, M.I.; Brown, M.A.; Yang, J. 10 Years of GWAS discovery: Biology, function, and translation. Am. J. Hum. Genet. 2017, 101, 5–22. [Google Scholar] [CrossRef] [Green Version]
- Visscher, P.M.; Brown, M.A.; McCarthy, M.I.; Yang, J. Five years of GWAS discovery. Am. J. Hum. Genet. 2012, 90, 7–24. [Google Scholar] [CrossRef] [Green Version]
- Altshuler, D.; Daly, M.J.; Lander, E.S. Genetic mapping in human disease. Science 2008, 322, 881–888. [Google Scholar] [CrossRef] [PubMed] [Green Version]
- Lonsdale, J.; Thomas, J.; Salvatore, M.; Phillips, R.; Lo, E.; Shad, S.; Hasz, R.; Walters, G.; Garcia, F.; Young, N. The genotype-tissue expression (GTEx) project. Nat. Genet. 2013, 45, 580–585. [Google Scholar] [CrossRef] [PubMed]
- Wainberg, M.; Sinnott-Armstrong, N.; Mancuso, N.; Barbeira, A.N.; Knowles, D.A.; Golan, D.; Ermel, R.; Ruusalepp, A.; Quertermous, T.; Hao, K. Opportunities and challenges for transcriptome-wide association studies. Nat. Genet. 2019, 51, 592–599. [Google Scholar] [CrossRef]
- Gamazon, E.R.; Wheeler, H.E.; Shah, K.P.; Mozaffari, S.V.; Aquino-Michaels, K.; Carroll, R.J.; Eyler, A.E.; Denny, J.C.; Nicolae, D.L.; Cox, N.J. A gene-based association method for mapping traits using reference transcriptome data. Nat. Genet. 2015, 47, 1091–1098. [Google Scholar] [CrossRef] [PubMed] [Green Version]
- Xie, Y.; Shan, N.; Zhao, H.; Hou, L. Transcriptome wide association studies: General framework and methods. Quant. Biol. 2021, 9, 141–150. [Google Scholar] [CrossRef]
- Zhu, H.; Zhou, X. Transcriptome-wide association studies: A view from Mendelian randomization. Quant. Biol. 2020, 9, 107–121. [Google Scholar] [CrossRef]
- Barbeira, A.N.; Dickinson, S.P.; Bonazzola, R.; Zheng, J.; Wheeler, H.E.; Torres, J.M.; Torstenson, E.S.; Shah, K.P.; Garcia, T.; Edwards, T.L. Exploring the phenotypic consequences of tissue specific gene expression variation inferred from GWAS summary statistics. Nat. Commun. 2018, 9, 1825. [Google Scholar] [CrossRef]
- Barbeira, A.N.; Pividori, M.; Zheng, J.; Wheeler, H.E.; Nicolae, D.L.; Im, H.K. Integrating predicted transcriptome from multiple tissues improves association detection. PLoS Genet. 2019, 15, e1007889. [Google Scholar] [CrossRef] [Green Version]
- Hu, Y.; Li, M.; Lu, Q.; Weng, H.; Wang, J.; Zekavat, S.M.; Yu, Z.; Li, B.; Gu, J.; Muchnik, S. A statistical framework for cross-tissue transcriptome-wide association analysis. Nat. Genet. 2019, 51, 568–576. [Google Scholar] [CrossRef] [PubMed]
- Kendler, K.S.; Neale, M.; Sullivan, P.; Corey, L.; Gardner, C.; Prescott, C. A population-based twin study in women of smoking initiation and nicotine dependence. Psychol. Med. 1999, 29, 299–308. [Google Scholar] [CrossRef] [PubMed] [Green Version]
- Vink, J.M.; Willemsen, G.; Boomsma, D.I. Heritability of smoking initiation and nicotine dependence. Behav. Genet. 2005, 35, 397–406. [Google Scholar] [CrossRef]
- Lassi, G.; Taylor, A.E.; Timpson, N.J.; Kenny, P.J.; Mather, R.J.; Eisen, T.; Munafò, M.R. The CHRNA5–A3–B4 gene cluster and smoking: From discovery to therapeutics. Trends Neurosci. 2016, 39, 851–861. [Google Scholar] [CrossRef] [PubMed] [Green Version]
- Buchwald, J.; Chenoweth, M.J.; Palviainen, T.; Zhu, G.; Benner, C.; Gordon, S.; Korhonen, T.; Ripatti, S.; Madden, P.A.; Lehtimäki, T. Genome-wide association meta-analysis of nicotine metabolism and cigarette consumption measures in smokers of European descent. Mol. Psychiatry 2021, 26, 2212–2223. [Google Scholar] [CrossRef]
- Quach, B.C.; Bray, M.J.; Gaddis, N.C.; Liu, M.; Palviainen, T.; Minica, C.C.; Zellers, S.; Sherva, R.; Aliev, F.; Nothnagel, M. Expanding the genetic architecture of nicotine dependence and its shared genetics with multiple traits. Nat. Commun. 2020, 11, 5562. [Google Scholar] [CrossRef]
- Palmer, R.H.; Benca-Bachman, C.E.; Huggett, S.B.; Bubier, J.A.; McGeary, J.E.; Ramgiri, N.; Srijeyanthan, J.; Yang, J.; Visscher, P.M.; Yang, J. Multi-omic and multi-species meta-analyses of nicotine consumption. Transl. Psychiatry 2021, 11, 98. [Google Scholar] [CrossRef]
- Nariai, N.; Greenwald, W.W.; DeBoever, C.; Li, H.; Frazer, K.A. Efficient prioritization of multiple causal eQTL variants via sparse polygenic modeling. Genetics 2017, 207, 1301–1312. [Google Scholar] [CrossRef] [Green Version]
- Begum, F.; Ghosh, D.; Tseng, G.C.; Feingold, E. Comprehensive literature review and statistical considerations for GWAS meta-analysis. Nucleic Acids Res. 2012, 40, 3777–3784. [Google Scholar] [CrossRef] [Green Version]
- Tseng, G.C.; Ghosh, D.; Feingold, E. Comprehensive literature review and statistical considerations for microarray meta-analysis. Nucleic Acids Res. 2012, 40, 3785–3799. [Google Scholar] [CrossRef] [Green Version]
- Fisher, R.A. Statistical methods for research workers. In Breakthroughs in Statistics; Springer: Berlin, Germany, 1992; pp. 66–70. [Google Scholar]
- Stouffer, S.A.; Suchman, E.A.; DeVinney, L.C.; Star, S.A.; Williams, R.M., Jr. The American Soldier: Adjustment during Army Life. (Studies in Social Psychology in World War II), Volume 1; Princeton University Press: Princeton, NJ, USA, 1949. [Google Scholar]
- Li, J.; Tseng, G.C. An adaptively weighted statistic for detecting differential gene expression when combining multiple transcriptomic studies. Ann. Appl. Stat. 2011, 5, 994–1019. [Google Scholar] [CrossRef]
- Ma, T.; Liang, F.; Tseng, G. Biomarker detection and categorization in ribonucleic acid sequencing meta-analysis using bayesian hierarchical models. J. R. Stat. Soc. Ser. C Appl. Stat. 2017, 66, 847. [Google Scholar] [CrossRef]
- Ye, Z.; Ke, H.; Chen, S.; Cruz-Cano, R.; He, X.; Zhang, J.; Dorgan, J.; Milton, D.K.; Ma, T. Biomarker categorization in transcriptomic meta-analysis by concordant patterns with application to Pan-cancer studies. Front. Genet. 2021, 12, 651546. [Google Scholar] [CrossRef]
- Sudlow, C.; Gallacher, J.; Allen, N.; Beral, V.; Burton, P.; Danesh, J.; Downey, P.; Elliott, P.; Green, J.; Landray, M. UK biobank: An open access resource for identifying the causes of a wide range of complex diseases of middle and old age. PLoS Med. 2015, 12, e1001779. [Google Scholar] [CrossRef] [Green Version]
- Liu, M.; Jiang, Y.; Wedow, R.; Li, Y.; Brazel, D.M.; Chen, F.; Datta, G.; Davila-Velderrain, J.; McGuire, D.; Tian, C. Association studies of up to 1.2 million individuals yield new insights into the genetic etiology of tobacco and alcohol use. Nat. Genet. 2019, 51, 237–244. [Google Scholar] [CrossRef]
- Xu, K.; Li, B.; McGinnis, K.A.; Vickers-Smith, R.; Dao, C.; Sun, N.; Kember, R.L.; Zhou, H.; Becker, W.C.; Gelernter, J. Genome-wide association study of smoking trajectory and meta-analysis of smoking status in 842,000 individuals. Nat. Commun. 2020, 11, 5302. [Google Scholar] [CrossRef]
- Erzurumluoglu, A.M.; Liu, M.; Jackson, V.E.; Barnes, D.R.; Datta, G.; Melbourne, C.A.; Young, R.; Batini, C.; Surendran, P.; Jiang, T. Meta-analysis of up to 622,409 individuals identifies 40 novel smoking behaviour associated genetic loci. Mol. Psychiatry 2020, 25, 2392–2409. [Google Scholar] [CrossRef] [Green Version]
- Chang, C.C.; Chow, C.C.; Tellier, L.C.; Vattikuti, S.; Purcell, S.M.; Lee, J.J. Second-generation PLINK: Rising to the challenge of larger and richer datasets. Gigascience 2015, 4, s13742-015-0047-8. [Google Scholar] [CrossRef]
- Ashburner, M.; Ball, C.A.; Blake, J.A.; Botstein, B.D.; Butler, H.; Cherry, J.M.; Davis, A.P.; Dolinski, D.K.; Dwight, S.S.; Eppig, J.T. Gene ontology: Tool for the unification of biology. Nat. Genet. 2000, 25, 25–29. [Google Scholar] [CrossRef] [Green Version]
- Kanehisa, M.; Furumichi, M.; Tanabe, M.; Sato, Y.; Morishima, K. KEGG: New perspectives on genomes, pathways, diseases and drugs. Nucleic Acids Res. 2017, 45, D353–D361. [Google Scholar] [CrossRef] [Green Version]
- Fabregat, A.; Sidiropoulos, K.; Garapati, P.; Gillespie, M.; Hausmann, K.; Haw, R.; Jassal, B.; Jupe, S.; Korninger, F.; McKay, S. The reactome pathway knowledgebase. Nucleic Acids Res. 2016, 44, D481–D487. [Google Scholar] [CrossRef] [Green Version]
- Hassa, P.O.; Haenni, S.S.; Elser, M.; Hottiger, M.O. Nuclear ADP-ribosylation reactions in mammalian cells: Where are we today and where are we going? Microbiol. Mol. Biol. Rev. 2006, 70, 789–829. [Google Scholar] [CrossRef] [Green Version]
- Shen, J.-x.; Yakel, J.L. Nicotinic acetylcholine receptor-mediated calcium signaling in the nervous system. Acta Pharmacol. Sin. 2009, 30, 673–680. [Google Scholar] [CrossRef] [Green Version]
- Exley, R.; Cragg, S. Presynaptic nicotinic receptors: A dynamic and diverse cholinergic filter of striatal dopamine neurotransmission. Br. J. Pharmacol. 2008, 153, S283–S297. [Google Scholar] [CrossRef] [Green Version]
- Pereira, C.S.; de Vozzi, M.S.J.; Dos Santos, S.A.; Vasconcelos, M.A.C.; de Paz, C.C.; Squire, J.A.; Martelli, L. Smoking-induced chromosomal segregation anomalies identified by FISH analysis of sperm. Mol. Cytogenet. 2014, 7, 58. [Google Scholar] [CrossRef] [Green Version]
- Rezvani, K.; Teng, Y.; Shim, D.; De Biasi, M. Nicotine regulates multiple synaptic proteins by inhibiting proteasomal activity. J. Neurosci. 2007, 27, 10508–10519. [Google Scholar] [CrossRef] [Green Version]
- Nechifor, M. Magnesium and zinc involvement in tobacco addiction. J. Addict. Res. Ther. 2012, S2, 1–5. [Google Scholar] [CrossRef] [Green Version]
- Wills, L.; Kenny, P.J. Addiction-related neuroadaptations following chronic nicotine exposure. J. Neurochem. 2021, 157, 1652–1673. [Google Scholar] [CrossRef]
- Tai, H.-C. Characterization of the Brain Proteasome and Its Interacting Proteins and Their Regulation by Neuronal Activity; California Institute of Technology: Pasadena, CA, USA, 2010. [Google Scholar]
- Salokangas, R.K.; Vilkman, H.; Ilonen, T.; Taiminen, T.; Bergman, J.n.; Haaparanta, M.; Solin, O.; Alanen, A.; Syvã«¡hti, E.; Hietala, J. High levels of dopamine activity in the basal ganglia of cigarette smokers. Am. J. Psychiatry 2000, 157, 632–634. [Google Scholar] [CrossRef] [Green Version]
- Lee, S.-H.; Ahn, W.-Y.; Seweryn, M.; Sadee, W. Combined genetic influence of the nicotinic receptor gene cluster CHRNA5/A3/B4 on nicotine dependence. BMC Genom. 2018, 19, 826. [Google Scholar] [CrossRef]
- Farris, S.P.; Arasappan, D.; Hunicke-Smith, S.; Harris, R.A.; Mayfield, R.D. Transcriptome organization for chronic alcohol abuse in human brain. Mol. Psychiatry 2015, 20, 1438–1447. [Google Scholar] [CrossRef] [Green Version]
- Johnson, E.C.; Demontis, D.; Thorgeirsson, T.E.; Walters, R.K.; Polimanti, R.; Hatoum, A.S.; Sanchez-Roige, S.; Paul, S.E.; Wendt, F.R.; Clarke, T.-K. A large-scale genome-wide association study meta-analysis of cannabis use disorder. Lancet Psychiatry 2020, 7, 1032–1045. [Google Scholar] [CrossRef]
- Li, B.; Veturi, Y.; Verma, A.; Bradford, Y.; Daar, E.S.; Gulick, R.M.; Riddler, S.A.; Robbins, G.K.; Lennox, J.L.; Haas, D.W. Tissue specificity-aware TWAS (TSA-TWAS) framework identifies novel associations with metabolic, immunologic, and virologic traits in HIV-positive adults. PLoS Genet. 2021, 17, e1009464. [Google Scholar] [CrossRef]
- Bossé, Y.; Li, Z.; Xia, J.; Manem, V.; Carreras-Torres, R.; Gabriel, A.; Gaudreault, N.; Albanes, D.; Aldrich, M.C.; Andrew, A. Transcriptome-wide association study reveals candidate causal genes for lung cancer. Int. J. Cancer 2020, 146, 1862–1878. [Google Scholar] [CrossRef]
- Xue, H.; Pan, W.; Alzheimer’s Disease Neuroimaging Initiative. Some statistical consideration in transcriptome-wide association studies. Genet. Epidemiol. 2020, 44, 221–232. [Google Scholar] [CrossRef]
- Zhu, Z.; Zhang, F.; Hu, H.; Bakshi, A.; Robinson, M.R.; Powell, J.E.; Montgomery, G.W.; Goddard, M.E.; Wray, N.R.; Visscher, P.M. Integration of summary data from GWAS and eQTL studies predicts complex trait gene targets. Nat. Genet. 2016, 48, 481–487. [Google Scholar] [CrossRef]
- Mancuso, N.; Freund, M.K.; Johnson, R.; Shi, H.; Kichaev, G.; Gusev, A.; Pasaniuc, B. Probabilistic fine-mapping of transcriptome-wide association studies. Nat. Genet. 2019, 51, 675–682. [Google Scholar] [CrossRef]
- Fry, A.; Littlejohns, T.J.; Sudlow, C.; Doherty, N.; Adamska, L.; Sprosen, T.; Collins, R.; Allen, N.E. Comparison of sociodemographic and health-related characteristics of UK Biobank participants with those of the general population. Am. J. Epidemiol. 2017, 186, 1026–1034. [Google Scholar] [CrossRef] [Green Version]
- Allen, N.; Sudlow, C.; Downey, P.; Peakman, T.; Danesh, J.; Elliott, P.; Gallacher, J.; Green, J.; Matthews, P.; Pell, J. UK Biobank: Current status and what it means for epidemiology. Health Policy Technol. 2012, 1, 123–126. [Google Scholar] [CrossRef]
- Collins, R. What makes UK Biobank special? Lancet 2012, 379, 1173–1174. [Google Scholar] [CrossRef]
- Ganguli, M.; Lee, C.-W.; Hughes, T.; Snitz, B.E.; Jakubcak, J.; Duara, R.; Chang, C.-C.H. Who wants a free brain scan? Assessing and correcting for recruitment biases in a population-based sMRI pilot study. Brain Imaging Behav. 2015, 9, 204–212. [Google Scholar] [CrossRef] [PubMed] [Green Version]
- Cole, S.R.; Stuart, E.A. Generalizing evidence from randomized clinical trials to target populations: The ACTG 320 trial. Am. J. Epidemiol. 2010, 172, 107–115. [Google Scholar] [CrossRef] [PubMed] [Green Version]




| Cohort | UKBB | GSCAN | Intersection | |
|---|---|---|---|---|
| S-MultiXcan (FDR < 0.05) | 60 | 13 | 8 | |
| Meta-analysis by AW-Fisher’s method (FDR < 0.05) | 245 | 217 | 48 | |
| Meta-pattern categorization (48 genes in intersection at FDR < 0.05) | Cluster 1 (homogeneous genes) | 24 | 22 | 20 |
| Cluster 2 (partially homogeneous genes) | 12 | 12 | 8 | |
| Cluster 3 (tissue-specific or heterogeneous genes) | 12 | 14 | 10 | |
Publisher’s Note: MDPI stays neutral with regard to jurisdictional claims in published maps and institutional affiliations. |
© 2021 by the authors. Licensee MDPI, Basel, Switzerland. This article is an open access article distributed under the terms and conditions of the Creative Commons Attribution (CC BY) license (https://creativecommons.org/licenses/by/4.0/).
Share and Cite
Ye, Z.; Mo, C.; Ke, H.; Yan, Q.; Chen, C.; Kochunov, P.; Hong, L.E.; Mitchell, B.D.; Chen, S.; Ma, T. Meta-Analysis of Transcriptome-Wide Association Studies across 13 Brain Tissues Identified Novel Clusters of Genes Associated with Nicotine Addiction. Genes 2022, 13, 37. https://doi.org/10.3390/genes13010037
Ye Z, Mo C, Ke H, Yan Q, Chen C, Kochunov P, Hong LE, Mitchell BD, Chen S, Ma T. Meta-Analysis of Transcriptome-Wide Association Studies across 13 Brain Tissues Identified Novel Clusters of Genes Associated with Nicotine Addiction. Genes. 2022; 13(1):37. https://doi.org/10.3390/genes13010037
Chicago/Turabian StyleYe, Zhenyao, Chen Mo, Hongjie Ke, Qi Yan, Chixiang Chen, Peter Kochunov, L. Elliot Hong, Braxton D. Mitchell, Shuo Chen, and Tianzhou Ma. 2022. "Meta-Analysis of Transcriptome-Wide Association Studies across 13 Brain Tissues Identified Novel Clusters of Genes Associated with Nicotine Addiction" Genes 13, no. 1: 37. https://doi.org/10.3390/genes13010037
APA StyleYe, Z., Mo, C., Ke, H., Yan, Q., Chen, C., Kochunov, P., Hong, L. E., Mitchell, B. D., Chen, S., & Ma, T. (2022). Meta-Analysis of Transcriptome-Wide Association Studies across 13 Brain Tissues Identified Novel Clusters of Genes Associated with Nicotine Addiction. Genes, 13(1), 37. https://doi.org/10.3390/genes13010037

