An Emergent Nexus between Striae and Thoracic Aortic Dissection
Abstract
:1. Introduction
2. Materials and Methods
2.1. Selection and Description of Participants
2.2. Data Collection and Outcome Measures
2.3. Statistics
3. Results
3.1. Cohort Description
3.2. Connective Tissue Abnormalities in Patients with TAA or TAD
3.3. Characteristics Associated with TAD
3.4. Characteristics Associated with TAD in Patients without a Syndromic Diagnosis
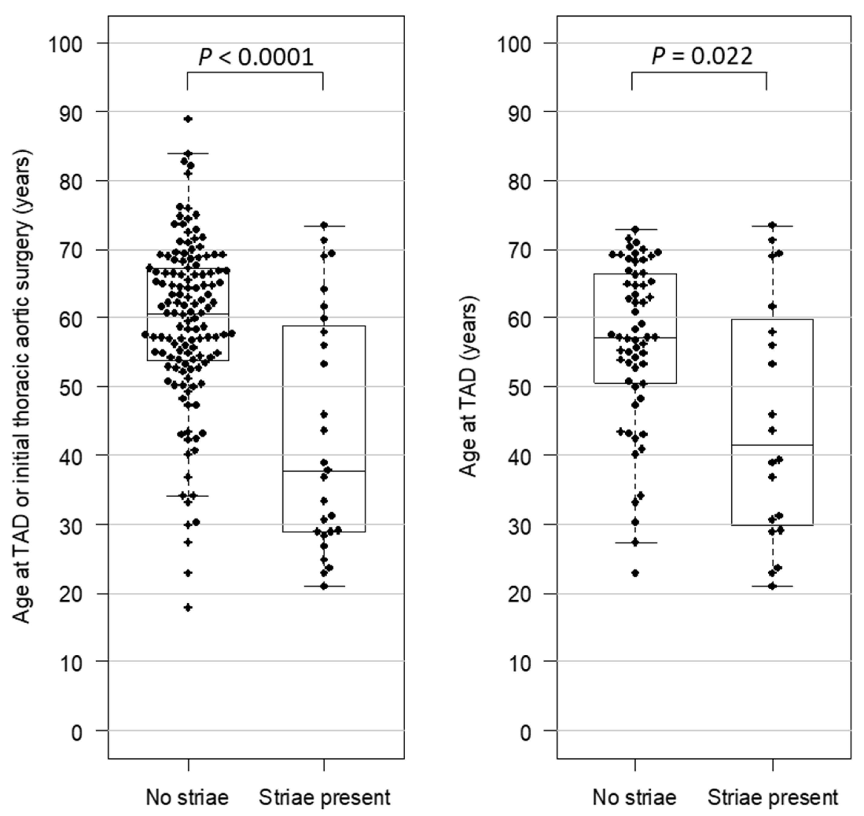
3.5. Striae and Age at Clinical Endpoint
3.6. Systemic Features of MFS or LDS in Patients with Striae
4. Discussion
4.1. Connective Tissue Findings Point to Common Systemic Derangement in TAA
4.2. Association between Striae and TAA Severity
4.3. Clinical Rationale for Utilizing Striae as a Predictor of TAA Progression to TAD
4.4. Hypertension, Family History and TAD
5. Conclusions
Supplementary Materials
Author Contributions
Funding
Institutional Review Board Statement
Informed Consent Statement
Data Availability Statement
Acknowledgments
Conflicts of Interest
References
- Roth, G.A.; Dwyer-Lindgren, L.; Bertozzi-Villa, A.; Stubbs, R.W.; Morozoff, C.; Naghavi, M.; Mokdad, A.H.; Murray, C.J. Trends and Patterns of Geographic Variation in Cardiovascular Mortality Among US Counties, 1980–2014. JAMA 2017, 317, 1976–1992. [Google Scholar] [CrossRef]
- Milewicz, D.M.; Regalado, E.S. Use of genetics for personalized management of heritable thoracic aortic disease: How do we get there? J. Thorac. Cardiovasc. Surg. 2015, 149 (Suppl. S2), S3–S5. [Google Scholar] [CrossRef] [Green Version]
- Hiratzka, L.F.; Bakris, G.L.; Beckman, J.A.; Bersin, R.M.; Carr, V.F.; Casey, D.E., Jr.; Eagle, K.A.; Hermann, L.K.; Isselbacher, E.M.; Kazerooni, E.A.; et al. 2010 ACCF/AHA/AATS/ACR/ASA/SCA/SCAI/SIR/STS/SVM guidelines for the diagnosis and management of patients with Thoracic Aortic Disease: A report of the American College of Cardiology Foundation/American Heart Association Task Force on Practice Guidelines, American Association for Thoracic Surgery, American College of Radiology, American Stroke Association, Society of Cardiovascular Anesthesiologists, Society for Cardiovascular Angiography and Interventions, Society of Interventional Radiology, Society of Thoracic Surgeons, and Society for Vascular Medicine. Circulation 2010, 121, e266–e369. [Google Scholar]
- Landis, B.J.; Ware, S.M.; James, J.; Shikany, A.R.; Martin, L.J.; Hinton, R.B. Clinical Stratification of Pediatric Patients with Idiopathic Thoracic Aortic Aneurysm. J. Pediatr. 2015, 167, 131–137.e5. [Google Scholar] [CrossRef] [PubMed]
- Vujakovich, C.V.; Landis, B.J. A novel human biospecimen repository for clinical and molecular investigation of thoracic aortopathy. Cardiogenetics 2021, 11, 17. [Google Scholar] [CrossRef]
- Loeys, B.L.; Dietz, H.C.; Braverman, A.C.; Callewaert, B.L.; De Backer, J.; Devereux, R.B.; Hilhorst-Hofstee, Y.; Jondeau, G.; Faivre, L.; Milewicz, D.M.; et al. The revised Ghent nosology for the Marfan syndrome. J. Med. Genet. 2010, 47, 476–485. [Google Scholar] [CrossRef] [PubMed] [Green Version]
- Ledoux, M.; Beauchet, A.; Fermanian, C.; Boileau, C.; Jondeau, G.; Saiag, P. A case-control study of cutaneous signs in adult patients with Marfan disease: Diagnostic value of striae. J. Am. Acad. Dermatol. 2011, 64, 290–295. [Google Scholar] [CrossRef] [PubMed]
- Muzaffar, F.; Hussain, I.; Haroon, T.S. Physiologic skin changes during pregnancy: A study of 140 cases. Int. J. Dermatol. 1998, 37, 429–431. [Google Scholar] [CrossRef] [PubMed]
- Harris, P.A.; Taylor, R.; Minor, B.L.; Elliott, V.; Fernandez, M.; O’Neal, L.; McLeod, L.; Delacqua, G.; Delacqua, F.; Kirby, J.; et al. The REDCap consortium: Building an international community of software platform partners. J. Biomed. Inform. 2019, 95, 103208. [Google Scholar] [CrossRef]
- Roman, M.J.; Devereux, R.B.; Preiss, L.R.; Asch, F.M.; Eagle, K.A.; Holmes, K.W.; LeMaire, S.A.; Maslen, C.L.; Milewicz, D.M.; Morris, S.A.; et al. Associations of Age and Sex with Marfan Phenotype: The National Heart, Lung, and Blood Institute GenTAC (Genetically Triggered Thoracic Aortic Aneurysms and Cardiovascular Conditions) Registry. Circ. Cardiovasc. Genet. 2017, 10, e001647. [Google Scholar] [CrossRef] [Green Version]
- Loeys, B.L.; Schwarze, U.; Holm, T.; Callewaert, B.L.; Thomas, G.H.; Pannu, H.; De Backer, J.F.; Oswald, G.L.; Symoens, S.; Manouvrier, S.; et al. Aneurysm syndromes caused by mutations in the TGF-β receptor. N. Engl. J. Med. 2006, 355, 788–798. [Google Scholar] [CrossRef] [PubMed]
- Schepers, D.; Tortora, G.; Morisaki, H.; MacCarrick, G.; Lindsay, M.; Liang, D.; Mehta, S.G.; Hague, J.; Verhagen, J.; van de Laar, I.; et al. A mutation update on the LDS-associated genes TGFB2/3 and SMAD2/3. Hum. Mutat. 2018, 39, 621–634. [Google Scholar] [CrossRef] [PubMed] [Green Version]
- Meester, J.A.N.; Verstraeten, A.; Schepers, D.; Alaerts, M.; Van Laer, L.; Loeys, B.L. Differences in manifestations of Marfan syndrome, Ehlers-Danlos syndrome, and Loeys-Dietz syndrome. Ann. Cardiothorac. Surg. 2017, 6, 582–594. [Google Scholar] [CrossRef] [PubMed] [Green Version]
- Brizola, E.; Gnoli, M.; Tremosini, M.; Nucci, P.; Bargiacchi, S.; La Barbera, A.; Giglio, S.; Sangiorgi, L. Variable clinical expression of Stickler Syndrome: A case report of a novel COL11A1 mutation. Mol. Genet. Genom. Med. 2020, 8, e1353. [Google Scholar] [CrossRef]
- Ziganshin, B.A.; Elefteriades, J.A. Guilt by association: A paradigm for detection of silent aortic disease. Ann. Cardiothorac. Surg. 2016, 5, 174–187. [Google Scholar] [CrossRef] [Green Version]
- Blumel, R.; Patel, K.; Rizzo, J.A.; Mok, S.; Barrett, A.; Wu, J.; Zafar, M.A.; Ziganshin, B.A.; Elefteriades, J.A. Accuracy of the “Thumb-Palm Test” for Detection of Ascending Aortic Aneurysm. Am. J. Cardiol. 2021, 150, 114–116. [Google Scholar] [CrossRef]
- Ágg, B.; Benke, K.; Szilveszter, B.; Pólos, M.; Daróczi, L.; Odler, B.; Nagy, Z.B.; Tarr, F.; Merkely, B.; Szabolcs, Z. Possible extracardiac predictors of aortic dissection in Marfan syndrome. BMC Cardiovasc. Disord. 2014, 14, 47. [Google Scholar] [CrossRef] [Green Version]
- Watson, R.E.; Parry, E.J.; Humphries, J.D.; Jones, C.J.; Polson, D.W.; Kielty, C.M.; Griffiths, C.E. Fibrillin microfibrils are reduced in skin exhibiting striae distensae. Br. J. Dermatol. 1998, 138, 931–937. [Google Scholar] [CrossRef] [PubMed]
- Wang, F.; Calderone, K.; Smith, N.; Do, T.; Helfrich, Y.; Johnson, T.; Kang, S.; Voorhees, J.; Fisher, G. Marked disruption and aberrant regulation of elastic fibres in early striae gravidarum. Br. J. Dermatol. 2015, 173, 1420–1430. [Google Scholar] [CrossRef]
- Wang, F.; Calderone, K.; Do, T.T.; Smith, N.R.; Helfrich, Y.R.; Johnson, T.R.B.; Kang, S.; Voorhees, J.J.; Fisher, G.J. Severe disruption and disorganization of dermal collagen fibrils in early striae gravidarum. Br. J. Dermatol. 2018, 178, 749–760. [Google Scholar] [CrossRef]
- Waters, K.M.; Rooper, L.M.; Guajardo, A.; Halushka, M.K. Histopathologic differences partially distinguish syndromic aortic diseases. Cardiovasc. Pathol. 2017, 30, 6–11. [Google Scholar] [CrossRef]
- Milewicz, D.M.; Trybus, K.M.; Guo, D.C.; Sweeney, H.L.; Regalado, E.; Kamm, K.; Stull, J.T. Altered Smooth Muscle Cell Force Generation as a Driver of Thoracic Aortic Aneurysms and Dissections. Arterioscler. Thromb. Vasc. Biol. 2017, 37, 26–34. [Google Scholar] [CrossRef] [PubMed] [Green Version]
- Viennet, C.; Bride, J.; Armbruster, V.; Aubin, F.; Gabiot, A.C.; Gharbi, T.; Humbert, P. Contractile forces generated by striae distensae fibroblasts embedded in collagen lattices. Arch. Dermatol. Res. 2005, 297, 10–17. [Google Scholar] [CrossRef] [PubMed]
- Pape, L.A.; Tsai, T.T.; Isselbacher, E.M.; Oh, J.K.; O’Gara, P.T.; Evangelista, A.; Fattori, R.; Meinhardt, G.; Trimarchi, S.; Bossone, E.; et al. Aortic diameter > or = 5.5 cm is not a good predictor of type A aortic dissection: Observations from the International Registry of Acute Aortic Dissection (IRAD). Circulation 2007, 116, 1120–1127. [Google Scholar] [CrossRef] [PubMed] [Green Version]
- Hagan, P.G.; Nienaber, C.A.; Isselbacher, E.M.; Bruckman, D.; Karavite, D.J.; Russman, P.L.; Evangelista, A.; Fattori, R.; Suzuki, T.; Oh, J.K.; et al. The International Registry of Acute Aortic Dissection (IRAD): New insights into an old disease. JAMA 2000, 283, 897–903. [Google Scholar] [CrossRef]
- Albornoz, G.; Coady, M.A.; Roberts, M.; Davies, R.R.; Tranquilli, M.; Rizzo, J.A.; Elefteriades, J.A. Familial thoracic aortic aneurysms and dissections—Incidence, modes of inheritance, and phenotypic patterns. Ann. Thorac. Surg. 2006, 82, 1400–1405. [Google Scholar] [CrossRef]



| Characteristic | Value |
|---|---|
| Enrollment age (year), mean ± SD | 61 ± 13 |
| Sex, n (%) | |
| Male | 175 (73) |
| Female | 66 (27) |
| Race, n (%) | |
| White | 226 (94) |
| Black or African American | 13 (5) |
| Asian | 2 (0.8) |
| Ethnicity, n (%) | |
| Non-Hispanic | 239 (99) |
| Hispanic | 2 (1) |
| Genetic syndrome associated with TAA/TAD, n (%) | 18 (7) |
| Marfan, n | 14 |
| Loeys-Dietz, n | 2 |
| Vascular Ehlers-Danlos, n | 1 |
| Turner, n | 1 |
| Family history of TAA/TAD, excluding syndrome cases, n (%) |
| Location | Number of Cases (% of Total Cases) |
|---|---|
| Abdomen * | 14 (6) |
| Shoulder | 9 (4) |
| Arm | 6 (2) |
| Back | 6 (2) |
| Chest * | 5 (2) |
| Axilla | 2 (1) |
| Flank | 1 (0.4) |
| Diffuse | 3 (1) |
| Characteristic | TAD, N (%) | No TAD, N (%) | OR (95% CI) | p-Value |
|---|---|---|---|---|
| Sex male | 58 (73) | 117 (73) | 1 (0.5–1.8) | 0.98 |
| Race Black or African American | 8 (10) | 5 (3) | 3.5 (1.1–11.0) | 0.026 |
| Family history of TAA or TAD | 28 (35) | 33 (21) | 2.1 (1.1–3.8) | 0.015 |
| Syndromic diagnosis | 10 (13) | 8 (5) | 2.7 (1.0–7.2) | 0.036 |
| Hypertension | 68 (86) | 118 (74) | 2.2 (1.1–4.6) | 0.031 |
| Dyslipidemia | 37 (47) | 85 (53) | 0.8 (0.5–1.4) | 0.44 |
| Obesity, BMI > 30 | 33 (42) | 66 (41) | 1.0 (0.6–1.8) | 0.88 |
| Type 2 diabetes mellitus | 10 (13) | 20 (13) | 1.0 (0.5–2.3) | 1.0 |
| Coronary artery disease | 22 (28) | 46 (29) | 0.9 (0.5–1.7) | 0.86 |
| Stroke | 12 (15) | 15 (9) | 1.7 (0.8–3.9) | 0.19 |
| History of cigarette smoking | 48 (60) | 86 (54) | 1.3 (0.7–2.2) | 0.36 |
| Heavy weightlifting for exercise | 13 (17) | 10 (6) | 3.0 (1.2–7.1) | 0.011 |
| Heavy lifting for other activities | 18 (23) | 30 (19) | 1.3 (0.7–2.5) | 0.45 |
| Mitral valve prolapse | 4 (5) | 9 (6) | 0.9 (0.3–3.0) | 0.86 |
| Abdominal hernia | 12 (15) | 35 (22) | 0.6 (0.3–1.3) | 0.21 |
| Inguinal | 5 (6) | 24 (15) | NA | NA |
| Umbilical | 7 (9) | 12 (7) | NA | NA |
| Femoral | 1 (1) | 2 (1) | NA | NA |
| Skin striae | 20 (25) | 11 (7) | 4.5 (2.0–10.0) | <0.0001 |
| Hyperextensible skin | 8 (10) | 17 (11) | 1.0 (0.4–2.3) | 0.93 |
| Hyperflexibility | 11 (14) | 13 (8) | 1.8 (0.8–4.3) | 0.17 |
| Scoliosis | 7 (9) | 17 (11) | 0.8 (0.3–2.0) | 0.66 |
| Wide atrophic scars | 10 (13) | 9 (6) | 2.4 (0.9–6.2) | 0.063 |
| Pectus carinatum | 6 (8) | 6 (4) | 2.2 (0.7–7.0) | 0.18 |
| Pectus excavatum | 3 (4) | 7 (4) | 0.9 (0.2–3.5) | 0.86 |
| Striae Included in Calculation of Points | Striae Not Included in Calculation of Points | |||||
|---|---|---|---|---|---|---|
| Number of Revised Ghent Systemic Points | TAD, n (%) | No TAD, n (%) | p Value | TAD, n (%) | No TAD, n (%) | p Value |
| 0 | 47 (67) | 127 (83) | 0.16 | 58 (83) | 131 (86) | 0.89 |
| 1 | 17 (24) | 15 (10) | 8 (11) | 12 (8) | ||
| 2 | 4 (6) | 7 (5) | 4 (6) | 6 (4) | ||
| 3 | 2 (3) | 2 (1) | 0 | 3 (2) | ||
| 4 | 0 | 1 (0.7) | 0 | 1 (0.7) | ||
| 5 | 0 | 1 (0.7) | 0 | 0 | ||
Publisher’s Note: MDPI stays neutral with regard to jurisdictional claims in published maps and institutional affiliations. |
© 2021 by the authors. Licensee MDPI, Basel, Switzerland. This article is an open access article distributed under the terms and conditions of the Creative Commons Attribution (CC BY) license (https://creativecommons.org/licenses/by/4.0/).
Share and Cite
Landis, B.J.; Vujakovich, C.E.; Elmore, L.R.; Pillai, S.T.; Lee, L.S.; Everett, J.E.; Markham, L.W.; Brown, J.W.; Hess, P.J.; Corvera, J.S. An Emergent Nexus between Striae and Thoracic Aortic Dissection. Genes 2022, 13, 23. https://doi.org/10.3390/genes13010023
Landis BJ, Vujakovich CE, Elmore LR, Pillai ST, Lee LS, Everett JE, Markham LW, Brown JW, Hess PJ, Corvera JS. An Emergent Nexus between Striae and Thoracic Aortic Dissection. Genes. 2022; 13(1):23. https://doi.org/10.3390/genes13010023
Chicago/Turabian StyleLandis, Benjamin J., Courtney E. Vujakovich, Lindsey R. Elmore, Saila T. Pillai, Lawrence S. Lee, Jeffrey E. Everett, Larry W. Markham, John W. Brown, Phillip J. Hess, and Joel S. Corvera. 2022. "An Emergent Nexus between Striae and Thoracic Aortic Dissection" Genes 13, no. 1: 23. https://doi.org/10.3390/genes13010023
APA StyleLandis, B. J., Vujakovich, C. E., Elmore, L. R., Pillai, S. T., Lee, L. S., Everett, J. E., Markham, L. W., Brown, J. W., Hess, P. J., & Corvera, J. S. (2022). An Emergent Nexus between Striae and Thoracic Aortic Dissection. Genes, 13(1), 23. https://doi.org/10.3390/genes13010023
