Causal Association between Periodontal Diseases and Cardiovascular Diseases
Abstract
1. Introduction
2. Materials and Methods
2.1. Study Design
2.2. Data Sources
2.3. Mendelian Randomization Analyses
2.4. SNP and Gene Functional Annotation
2.5. Functional and Pathway Enrichment Analyses
2.6. Statistical Analyses
3. Results
3.1. Instrumental Variables
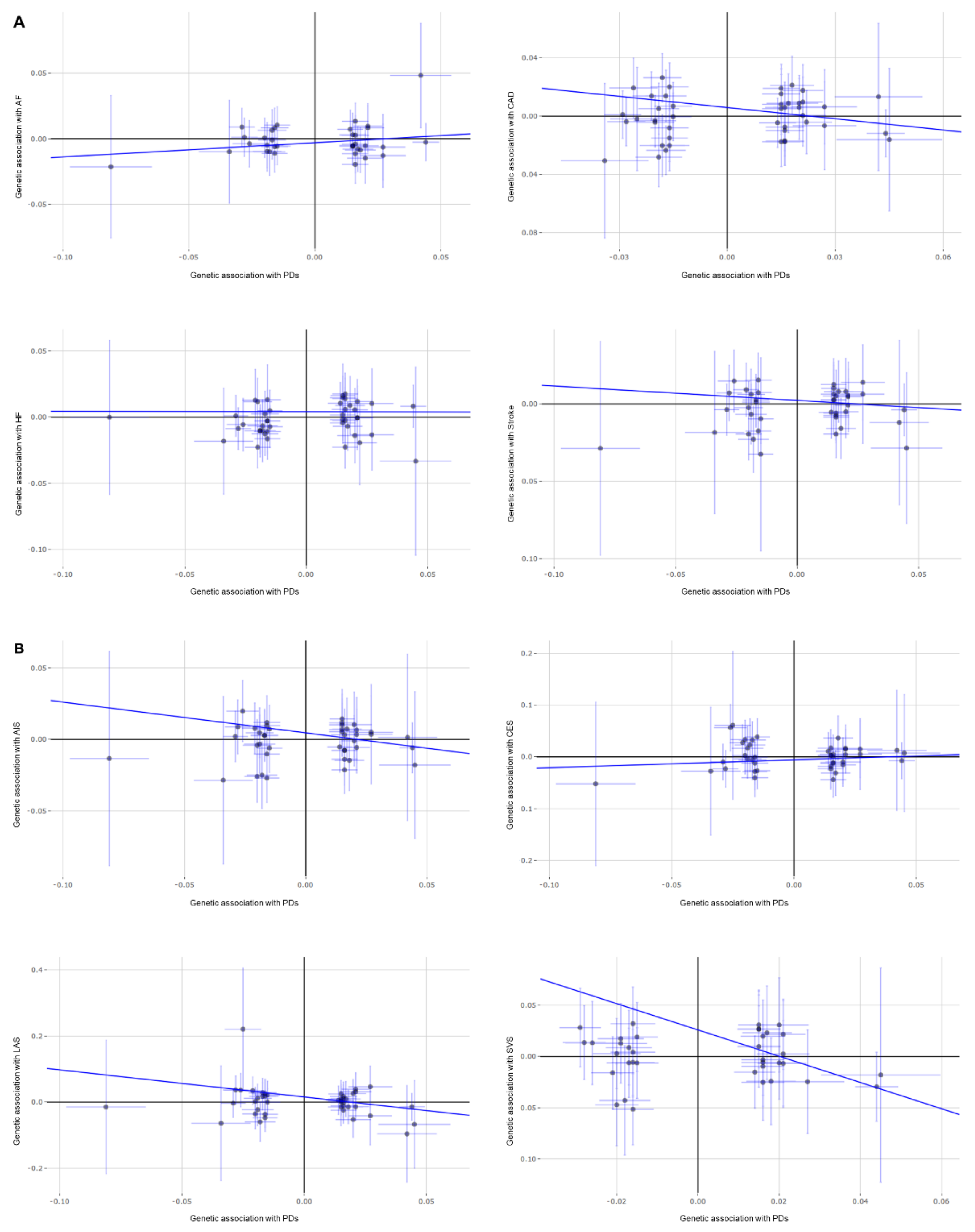
3.2. Causal Associations between Periodontal Disease and CVDs
3.3. Sensitivity Analyses
3.4. SNP and Gene Functional Annotation
3.5. Pathway and Functional Enrichment Analyses
4. Discussion
5. Conclusions
Author Contributions
Funding
Institutional Review Board Statement
Informed Consent Statement
Data Availability Statement
Acknowledgments
Conflicts of Interest
References
- Roth, G.A.; Johnson, C.; Abajobir, A.; Abd-Allah, F.; Abera, S.F.; Abyu, G.; Ahmed, M.; Aksut, B.; Alam, T.; Alam, K.; et al. Global, Regional, and National Burden of Cardiovascular Diseases for 10 Causes, 1990 to 2015. J. Am. Coll. Cardiol. 2017, 70, 1–25. [Google Scholar] [CrossRef] [PubMed]
- Kassebaum, N.J.; Bernabe, E.; Dahiya, M.; Bhandari, B.; Murray, C.J.; Marcenes, W. Global burden of severe periodontitis in 1990–2010: A systematic review and meta-regression. J. Dent. Res. 2014, 93, 1045–1053. [Google Scholar] [CrossRef] [PubMed]
- Kinane, D.F.; Stathopoulou, P.G.; Papapanou, P.N. Periodontal diseases. Nat. Rev. Dis. Primers 2017, 3, 17038. [Google Scholar] [CrossRef]
- Stewart, R.; West, M. Increasing Evidence for an Association Between Periodontitis and Cardiovascular Disease. Circulation 2016, 133, 549–551. [Google Scholar] [CrossRef]
- Sanz, M.; Del Castillo, A.M.; Jepsen, S.; Gonzalez-Juanatey, J.R.; D’Aiuto, F.; Bouchard, P.; Chapple, I.; Dietrich, T.; Gotsman, I.; Graziani, F.; et al. Periodontitis and Cardiovascular Diseases. Consensus Report. Glob. Heart 2020, 15, 1. [Google Scholar] [CrossRef]
- Sen, S.; Giamberardino, L.D.; Moss, K.; Morelli, T.; Rosamond, W.D.; Gottesman, R.F.; Beck, J.; Offenbacher, S. Periodontal Disease, Regular Dental Care Use, and Incident Ischemic Stroke. Stroke 2018, 49, 355–362. [Google Scholar] [CrossRef] [PubMed]
- Dietrich, T.; Sharma, P.; Walter, C.; Weston, P.; Beck, J. The epidemiological evidence behind the association between periodontitis and incident atherosclerotic cardiovascular disease. J. Clin. Periodontol. 2013, 40 (Suppl. 14), S70–S84. [Google Scholar] [CrossRef] [PubMed]
- Chen, D.Y.; Lin, C.H.; Chen, Y.M.; Chen, H.H. Risk of Atrial Fibrillation or Flutter Associated with Periodontitis: A Nationwide, Population-Based, Cohort Study. PLoS ONE 2016, 11, e0165601. [Google Scholar] [CrossRef]
- Sanz, M.; Marco Del Castillo, A.; Jepsen, S.; Gonzalez-Juanatey, J.R.; D’Aiuto, F.; Bouchard, P.; Chapple, I.; Dietrich, T.; Gotsman, I.; Graziani, F.; et al. Periodontitis and cardiovascular diseases: Consensus report. J. Clin. Periodontol. 2020, 47, 268–288. [Google Scholar] [CrossRef] [PubMed]
- Carter, A.R.; Sanderson, E.; Hammerton, G.; Richmond, R.C.; Davey Smith, G.; Heron, J.; Taylor, A.E.; Davies, N.M.; Howe, L.D. Mendelian randomisation for mediation analysis: Current methods and challenges for implementation. Eur. J. Epidemiol. 2021, 36, 465–478. [Google Scholar] [CrossRef] [PubMed]
- Shungin, D.; Haworth, S.; Divaris, K.; Agler, C.S.; Kamatani, Y.; Keun Lee, M.; Grinde, K.; Hindy, G.; Alaraudanjoki, V.; Pesonen, P.; et al. Genome-wide analysis of dental caries and periodontitis combining clinical and self-reported data. Nat. Commun. 2019, 10, 2773. [Google Scholar] [CrossRef]
- Nelson, C.P.; Goel, A.; Butterworth, A.S.; Kanoni, S.; Webb, T.R.; Marouli, E.; Zeng, L.; Ntalla, I.; Lai, F.Y.; Hopewell, J.C.; et al. Association analyses based on false discovery rate implicate new loci for coronary artery disease. Nat. Genet. 2017, 49, 1385–1391. [Google Scholar] [CrossRef] [PubMed]
- Shah, S.; Henry, A.; Roselli, C.; Lin, H.; Sveinbjornsson, G.; Fatemifar, G.; Hedman, A.K.; Wilk, J.B.; Morley, M.P.; Chaffin, M.D.; et al. Genome-wide association and Mendelian randomisation analysis provide insights into the pathogenesis of heart failure. Nat. Commun. 2020, 11, 163. [Google Scholar] [CrossRef]
- Roselli, C.; Chaffin, M.D.; Weng, L.C.; Aeschbacher, S.; Ahlberg, G.; Albert, C.M.; Almgren, P.; Alonso, A.; Anderson, C.D.; Aragam, K.G.; et al. Multi-ethnic genome-wide association study for atrial fibrillation. Nat. Genet. 2018, 50, 1225–1233. [Google Scholar] [CrossRef] [PubMed]
- Malik, R.; Chauhan, G.; Traylor, M.; Sargurupremraj, M.; Okada, Y.; Mishra, A.; Rutten-Jacobs, L.; Giese, A.K.; van der Laan, S.W.; Gretarsdottir, S.; et al. Multiancestry genome-wide association study of 520,000 subjects identifies 32 loci associated with stroke and stroke subtypes. Nat. Genet. 2018, 50, 524–537. [Google Scholar] [CrossRef]
- Park, S.Y.; Kim, S.H.; Kang, S.H.; Yoon, C.H.; Lee, H.J.; Yun, P.Y.; Youn, T.J.; Chae, I.H. Improved oral hygiene care attenuates the cardiovascular risk of oral health disease: A population-based study from Korea. Eur. Heart J. 2019, 40, 1138–1145. [Google Scholar] [CrossRef]
- Bell, S.; Gibson, J.T.; Harshfield, E.L.; Markus, H.S. Is periodontitis a risk factor for ischaemic stroke, coronary artery disease and subclinical atherosclerosis? A Mendelian randomization study. Atherosclerosis 2020, 313, 111–117. [Google Scholar] [CrossRef]
- Diaz, C.M.; Bullon, B.; Ruiz-Salmeron, R.J.; Fernandez-Riejos, P.; Fernandez-Palacin, A.; Battino, M.; Cordero, M.D.; Quiles, J.L.; Varela-Lopez, A.; Bullon, P. Molecular inflammation and oxidative stress are shared mechanisms involved in both myocardial infarction and periodontitis. J. Periodontal. Res. 2020, 55, 519–528. [Google Scholar] [CrossRef] [PubMed]
- Delange, N.; Lindsay, S.; Lemus, H.; Finlayson, T.L.; Kelley, S.T.; Gottlieb, R.A. Periodontal disease and its connection to systemic biomarkers of cardiovascular disease in young American Indian/Alaskan natives. J. Periodontol. 2018, 89, 219–227. [Google Scholar] [CrossRef] [PubMed]
- Koppolu, P.; Durvasula, S.; Palaparthy, R.; Rao, M.; Sagar, V.; Reddy, S.K.; Lingam, S. Estimate of CRP and TNF-α level before and after periodontal therapy in cardiovascular disease patients. Pan Afr. Med. J. 2013, 15, 92. [Google Scholar] [CrossRef]
- Mustapha, I.Z.; Debrey, S.; Oladubu, M.; Ugarte, R. Markers of systemic bacterial exposure in periodontal disease and cardiovascular disease risk: A systematic review and meta-analysis. J. Periodontol. 2007, 78, 2289–2302. [Google Scholar] [CrossRef]
- Fu, Y.W.; Li, X.X.; Xu, H.Z.; Gong, Y.Q.; Yang, Y. Effects of periodontal therapy on serum lipid profile and proinflammatory cytokines in patients with hyperlipidemia: A randomized controlled trial. Clin. Oral. Investig. 2016, 20, 1263–1269. [Google Scholar] [CrossRef]
- Demmer, R.T.; Trinquart, L.; Zuk, A.; Fu, B.C.; Blomkvist, J.; Michalowicz, B.S.; Ravaud, P.; Desvarieux, M. The influence of anti-infective periodontal treatment on C-reactive protein: A systematic review and meta-analysis of randomized controlled trials. PLoS ONE 2013, 8, e77441. [Google Scholar] [CrossRef]
- Pihlstrom, B.L.; Michalowicz, B.S.; Johnson, N.W. Periodontal diseases. Lancet 2005, 366, 1809–1820. [Google Scholar] [CrossRef]
- Schenkein, H.A.; Loos, B.G. Inflammatory mechanisms linking periodontal diseases to cardiovascular diseases. J. Periodontol. 2013, 84, S51–S69. [Google Scholar] [CrossRef]
- Subramanian, S.; Emami, H.; Vucic, E.; Singh, P.; Vijayakumar, J.; Fifer, K.M.; Alon, A.; Shankar, S.S.; Farkouh, M.; Rudd, J.H.F.; et al. High-dose atorvastatin reduces periodontal inflammation: A novel pleiotropic effect of statins. J. Am. Coll. Cardiol. 2013, 62, 2382–2391. [Google Scholar] [CrossRef]
- Norata, G.D.; Catapano, A.L. Statins and periodontal inflammation: A pleiotropic effect of statins or a pleiotropic effect of LDL-cholesterol lowering? Atherosclerosis 2014, 234, 381–382. [Google Scholar] [CrossRef]
- Saver, B.G.; Hujoel, P.P.; Cunha-Cruz, J.; Maupome, G. Are statins associated with decreased tooth loss in chronic periodontitis? J. Clin. Periodontol. 2007, 34, 214–219. [Google Scholar] [CrossRef] [PubMed]
- Ting, M.; Whitaker, E.J.; Albandar, J.M. Systematic review of the in vitro effects of statins on oral and perioral microorganisms. Eur. J. Oral. Sci. 2016, 124, 4–10. [Google Scholar] [CrossRef] [PubMed]
- Ernst, F.D.; Uhr, K.; Teumer, A.; Fanghanel, J.; Schulz, S.; Noack, B.; Gonzales, J.; Reichert, S.; Eickholz, P.; Holtfreter, B.; et al. Replication of the association of chromosomal region 9p21.3 with generalized aggressive periodontitis (gAgP) using an case-controlcohort. BMC Med. Genet. 2010, 11, 119. [Google Scholar] [CrossRef] [PubMed]
- Linden, G.J.; Linden, K.; Yarnell, J.; Evans, A.; Kee, F.; Patterson, C.C. All-cause mortality and periodontitis in 60–70-year-old men: A prospective cohort study. J. Clin. Periodontol. 2012, 39, 940–946. [Google Scholar] [CrossRef] [PubMed]
- de Oliveira, C.; Watt, R.; Hamer, M. Toothbrushing, inflammation, and risk of cardiovascular disease: Results from Scottish Health Survey. BMJ 2010, 340, c2451. [Google Scholar] [CrossRef] [PubMed]
- Lee, Y.L.; Hu, H.Y.; Chou, P.; Chu, D. Dental prophylaxis decreases the risk of acute myocardial infarction: A nationwide population-based study in Taiwan. Clin. Interv. Aging 2015, 10, 175–182. [Google Scholar] [CrossRef] [PubMed][Green Version]








| No | Gene | SNP | EA: EAF | β (SE) | p-Value |
|---|---|---|---|---|---|
| 1 | AMY1C | rs72694438 | a:0.21 | 0.021(0.0033) | 2.25 × 10−10 |
| 2 | KRTCAP2 | rs4971099 | a:0.55 | −0.021(0.0027) | 7.47 × 10−15 |
| 3 | SYT14 | rs2046850 | t:0.19 | −0.019(0.0033) | 1.77 × 10−8 |
| 4 | ITPKB | rs3820640 | t:0.84 | 0.020(0.0037) | 2.65 × 10−8 |
| 5 | KCNJ3 | rs2652452 | a:0.45 | −0.016(0.0027) | 3.27 × 10−9 |
| 6 | ZNF804A | rs263771 | a:0.23 | 0.018(0.0031) | 6.53 × 10−9 |
| 7 | WNT10A | rs121908120 | a:0.03 | −0.081(0.0083) | 2.03 × 10−22 |
| 8 | ADCY3 | rs11676272 | a:0.52 | −0.015(0.0026) | 1.07 × 10−8 |
| 9 | ALK | rs80270335 | t:0.09 | 0.027(0.0045) | 2.1 × 10−9 |
| 10 | FAM150B | rs62106258 | t:0.95 | 0.042(0.0062) | 8.6 × 10−12 |
| 11 | AAK1 | rs5831974 | d:0.45 | −0.016(0.0027) | 6.97 × 10−10 |
| 12 | STAG1 | rs61790808 | a:0.64 | −0.016(0.0028) | 9.1 × 10−9 |
| 13 | KCNH8 | rs9831002 | t:0.49 | −0.016(0.0026) | 8.79 × 10−10 |
| 14 | OPA1 | rs185566659 | a:0.032 | 0.045(0.0075) | 1.54 × 10−9 |
| 15 | RARB | rs7429279 | a:0.41 | 0.016(0.0027) | 1.28 × 10−9 |
| 16 | RBM5 | 3:50135699DI | d:0.48 | −0.018(0.0027) | 4.79 × 10−12 |
| 17 | EFNA5 | rs1352724 | a:0.22 | −0.018(0.0032) | 3.64 × 10−8 |
| 18 | C5orf66 | rs1122171 | t:0.59 | 0.044(0.0027) | 2.84 × 10−62 |
| 19 | CDH9 | rs55769264 | a:0.45 | 0.015(0.0027) | 2.84 × 10−8 |
| 20 | FGF10 | rs1482698 | c:0.38 | 0.020(0.0027) | 1.47 × 10−13 |
| 21 | HLA | rs9366651 | t:0.51 | −0.029(0.0026) | 2.66 × 10−28 |
| 22 | LOC157273 | rs898797 | t:0.59 | 0.015(0.0027) | 1.52 × 10−8 |
| 23 | PBX3 | rs10987008 | a:0.64 | 0.021(0.0028) | 7.47 × 10−14 |
| 24 | DMRTA1 | rs10811723 | a:0.30 | −0.019(0.0029) | 3.41 × 10−11 |
| 25 | PRUNE2 | rs7852129 | a:0.89 | −0.025(0.0038) | 7.91 × 10−11 |
| 26 | STFA1P | rs7918807 | t:0.52 | 0.015(0.0027) | 3.58 × 10−8 |
| 27 | P2RY2 | rs149467613 | a:0.05 | −0.034(0.0062) | 3.21 × 10−8 |
| 28 | KLRAP1 | rs10772314 | a:0.40 | −0.015(0.0027) | 3.16 × 10−8 |
| 29 | CA12 | rs72748935 | t:0.46 | −0.028(0.0027) | 1.31 × 10−26 |
| 30 | NEO1 | rs6495046 | c:0.36 | −0.017(0.0028) | 3.47 × 10−10 |
| 31 | CHRNA3 | rs10851907 | a:0.41 | 0.016(0.0027) | 1.03 × 10−9 |
| 32 | RHCG | rs2072693 | t:0.48 | 0.014(0.0026) | 4.92 × 10−8 |
| 33 | TMEM219 | rs8054556 | a:0.46 | 0.016(0.0027) | 2.23 × 10−9 |
| 34 | SALL1 | rs1108343 | t:0.36 | 0.016(0.0028) | 1.32 × 10−8 |
| 35 | FOXL1 | rs10048146 | a:0.81 | −0.026(0.0034) | 5.2 × 10−14 |
| 36 | NPEPPS | rs3865314 | a:0.51 | 0.015(0.0026) | 1.48 × 10−8 |
| 37 | HOXB-AS2 | rs9905793 | a:0.091 | 0.027(0.0046) | 6.51 × 10−9 |
| 38 | KCNJ2 | rs34559440 | t:0.68 | −0.016(0.0028) | 1.14 × 10−8 |
| 39 | LOC100499467 | rs7217268 | a:0.38 | 0.016(0.0027) | 1.48 × 10−9 |
| 40 | BAHCC1 | rs57067187 | t:0.63 | 0.015(0.0027) | 6.9 × 10−9 |
| 41 | MC4R | rs28822480 | a:0.29 | 0.021(0.0029) | 7.08 × 10−13 |
| 42 | CRLF1 | rs2238651 | t:0.24 | 0.017(0.0031) | 4.39 × 10−8 |
| 43 | MAMSTR | rs11672900 | a:0.47 | −0.020(0.0027) | 4.67 × 10−14 |
| 44 | HAO1 | rs4816017 | a:0.29 | −0.017(0.0029) | 7.08 × 10−9 |
| 45 | MTMR3 | rs140357883 | d:0.84 | 0.022(0.0036) | 2.33 × 10−9 |
| 46 | FAM118A | rs1569414 | t:0.73 | −0.020(0.0030) | 1.19 × 10−11 |
| 47 | HDX | rs5922945 | t:0.34 | −0.016(0.0028) | 1.55 × 10−8 |
Publisher’s Note: MDPI stays neutral with regard to jurisdictional claims in published maps and institutional affiliations. |
© 2021 by the authors. Licensee MDPI, Basel, Switzerland. This article is an open access article distributed under the terms and conditions of the Creative Commons Attribution (CC BY) license (https://creativecommons.org/licenses/by/4.0/).
Share and Cite
Zhou, M.; Dong, J.; Zha, L.; Liao, Y. Causal Association between Periodontal Diseases and Cardiovascular Diseases. Genes 2022, 13, 13. https://doi.org/10.3390/genes13010013
Zhou M, Dong J, Zha L, Liao Y. Causal Association between Periodontal Diseases and Cardiovascular Diseases. Genes. 2022; 13(1):13. https://doi.org/10.3390/genes13010013
Chicago/Turabian StyleZhou, Mengchen, Jiangtao Dong, Lingfeng Zha, and Yuhua Liao. 2022. "Causal Association between Periodontal Diseases and Cardiovascular Diseases" Genes 13, no. 1: 13. https://doi.org/10.3390/genes13010013
APA StyleZhou, M., Dong, J., Zha, L., & Liao, Y. (2022). Causal Association between Periodontal Diseases and Cardiovascular Diseases. Genes, 13(1), 13. https://doi.org/10.3390/genes13010013
