Calcium Signalling in Medulloblastoma: An In Silico Analysis of the Expression of Calcium Regulating Genes in Patient Samples
Abstract
1. Introduction
2. Materials and Methods
2.1. Analysis Platforms and Patient Datasets
2.2. Expression Analysis in MB and Normal Brain Tissues
2.3. Expression Analysis in GTML Mouse Model
2.4. Expression Analysis in Brain Sections
2.5. Correlation of Gene Expression Levels with Tumour Metastasis
2.6. Stratification of MB Patient Survival Rate by Gene Expression
2.7. Statistical Analysis
3. Results
3.1. Expression of Ca2+ Transporters in Normal Brain and MB Tissues
3.2. Expression of Ca2+ Transporters in MB Molecular Subgroups
3.3. Assessment of the Expression of Ca2+ Transporters in MB Metastasis
3.4. Stratification of MB Patient Survival by Expression of Ca2+ Regulators
3.5. Expression of the Ca2+ Regulating Genes in a Spontaneous MB Mice Model
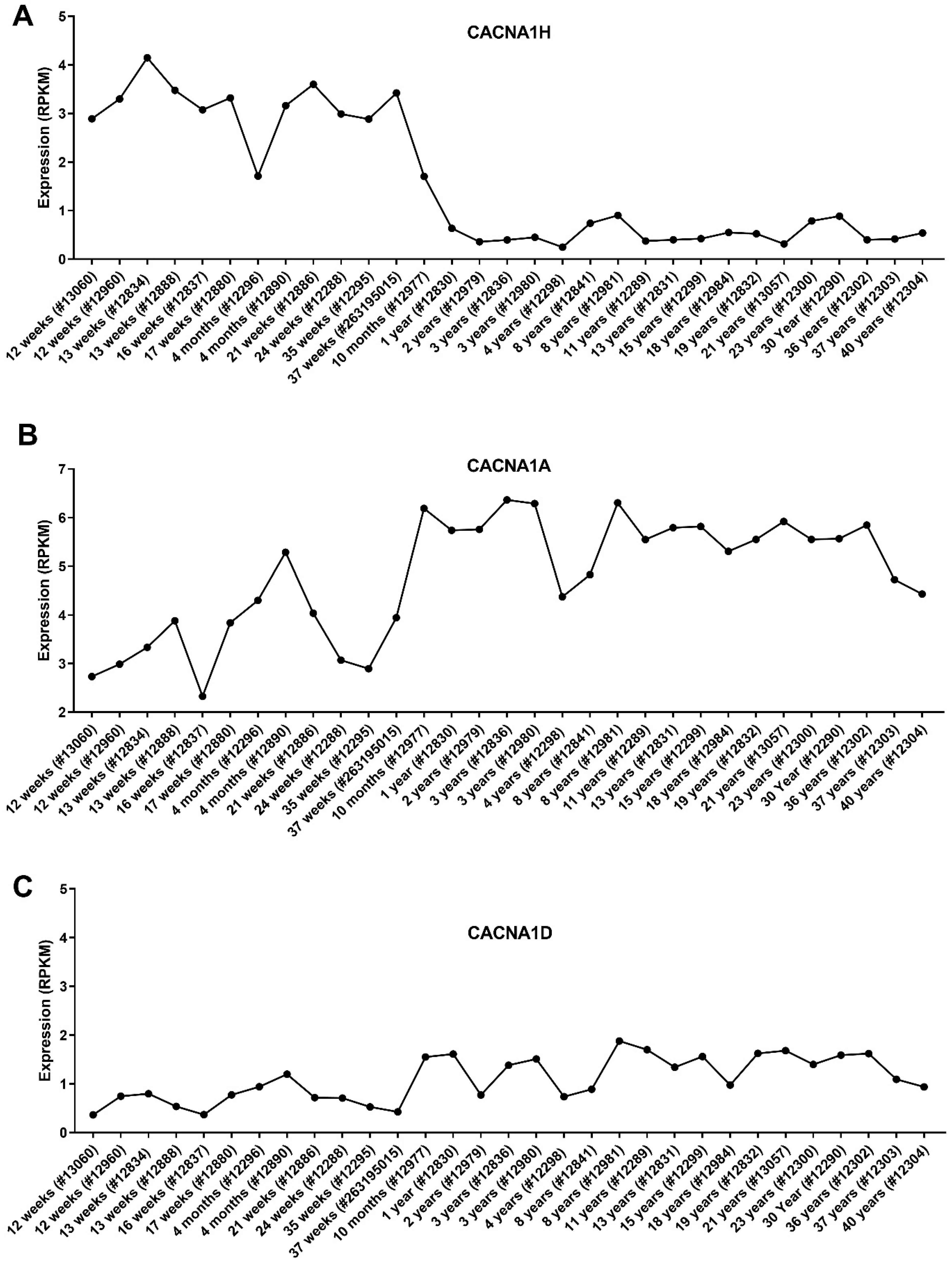
3.6. Expression of the CACNA1 Genes in Different Brain Sections
4. Discussion
5. Conclusions
Supplementary Materials
Author Contributions
Funding
Institutional Review Board Statement
Informed Consent Statement
Data Availability Statement
Conflicts of Interest
References
- Roderick, H.L.; Cook, S.J. Ca2+ signalling checkpoints in cancer: Remodelling Ca2+ for cancer cell proliferation and survival. Nat. Rev. Cancer 2008, 8, 361–375. [Google Scholar] [CrossRef]
- Muhammad, N.; Bhattacharya, S.; Steele, R.; Phillips, N.; Ray, R.B. Involvement of c-Fos in the Promotion of Cancer Stem-like Cell Properties in Head and Neck Squamous Cell Carcinoma. Clin. Cancer Res. 2017, 23, 3120. [Google Scholar] [CrossRef] [PubMed]
- Hu, J.-W.; Ding, G.-Y.; Fu, P.-Y.; Tang, W.-G.; Sun, Q.-M.; Zhu, X.-D.; Shen, Y.-H.; Zhou, J.; Fan, J.; Sun, H.-C.; et al. Identification of FOS as a Candidate Risk Gene for Liver Cancer by Integrated Bioinformatic Analysis. BioMed Res. Int. 2020, 2020, 6784138. [Google Scholar] [CrossRef]
- Liao, D.J.; Dickson, R.B. c-Myc in breast cancer. Endocr. Relat. Cancer 2000, 7, 143–164. [Google Scholar] [CrossRef] [PubMed]
- Prevarskaya, N.; Skryma, R.; Shuba, Y. Calcium in tumour metastasis: New roles for known actors. Nat. Rev. Cancer 2011, 11, 609–618. [Google Scholar] [CrossRef] [PubMed]
- Morgan, M.P.; Cooke, M.M.; Christopherson, P.A.; Westfall, P.R.; McCarthy, G.M. Calcium hydroxyapatite promotes mitogenesis and matrix metalloproteinase expression in human breast cancer cell lines. Mol. Carcinog. 2001, 32, 111–117. [Google Scholar] [CrossRef]
- Chen, Y.-F.; Chen, Y.-T.; Chiu, W.-T.; Shen, M.-R. Remodeling of calcium signaling in tumor progression. J. Biomed. Sci. 2013, 20, 23. [Google Scholar] [CrossRef]
- Yang, S.; Zhang, J.J.; Huang, X.-Y. Orai1 and STIM1 Are Critical for Breast Tumor Cell Migration and Metastasis. Cancer Cell 2009, 15, 124–134. [Google Scholar] [CrossRef]
- Chen, J.-P.; Luan, Y.; You, C.-X.; Chen, X.-H.; Luo, R.-C.; Li, R. TRPM7 regulates the migration of human nasopharyngeal carcinoma cell by mediating Ca2+ influx. Cell Calcium 2010, 47, 425–432. [Google Scholar] [CrossRef]
- Middelbeek, J.; Kuipers, A.J.; Henneman, L.; Visser, D.; Eidhof, I.; van Horssen, R.; Wieringa, B.; Canisius, S.V.; Zwart, W.; Wessels, L.F.; et al. TRPM7 Is Required for Breast Tumor Cell Metastasis. Cancer Res. 2012, 72, 4250. [Google Scholar] [CrossRef] [PubMed]
- Shapovalov, G.; Ritaine, A.; Skryma, R.; Prevarskaya, N. Role of TRP ion channels in cancer and tumorigenesis. Semin. Immunopathol. 2016, 38, 357–369. [Google Scholar] [CrossRef]
- Ramaswamy, V.; Remke, M.; Bouffet, E.; Bailey, S.; Clifford, S.C.; Doz, F.; Kool, M.; Dufour, C.; Vassal, G.; Milde, T.; et al. Risk stratification of childhood medulloblastoma in the molecular era: The current consensus. Acta Neuropathol. 2016, 131, 821–831. [Google Scholar] [CrossRef] [PubMed]
- Kool, M.; Korshunov, A.; Remke, M.; Jones, D.T.W.; Schlanstein, M.; Northcott, P.A.; Cho, Y.-J.; Koster, J.; Schouten-van Meeteren, A.; van Vuurden, D.; et al. Molecular subgroups of medulloblastoma: An international meta-analysis of transcriptome, genetic aberrations, and clinical data of WNT, SHH, Group 3, and Group 4 medulloblastomas. Acta Neuropathol. 2012, 123, 473–484. [Google Scholar] [CrossRef]
- Maddrey, A.M.; Bergeron, J.A.; Lombardo, E.R.; McDonald, N.K.; Mulne, A.F.; Barenberg, P.D.; Bowers, D.C. Neuropsychological performance and quality of life of 10-year survivors of childhood medulloblastoma. J. Neuro-Oncol. 2005, 72, 245–253. [Google Scholar] [CrossRef]
- Wei, W.-C.; Huang, W.-C.; Lin, Y.-P.; Becker, E.B.E.; Ansorge, O.; Flockerzi, V.; Conti, D.; Cenacchi, G.; Glitsch, M.D. Functional expression of calcium-permeable canonical transient receptor potential 4-containing channels promotes migration of medulloblastoma cells. J. Physiol. 2017, 595, 5525–5544. [Google Scholar] [CrossRef]
- Bowman, R.L.; Wang, Q.; Carro, A.; Verhaak, R.G.W.; Squatrito, M. GlioVis data portal for visualization and analysis of brain tumor expression datasets. Neuro. Oncol. 2017, 19, 139–141. [Google Scholar] [CrossRef]
- Cho, Y.-J.; Tsherniak, A.; Tamayo, P.; Santagata, S.; Ligon, A.; Greulich, H.; Berhoukim, R.; Amani, V.; Goumnerova, L.; Eberhart, C.G.; et al. Integrative genomic analysis of medulloblastoma identifies a molecular subgroup that drives poor clinical outcome. J. Clin. Oncol. 2011, 29, 1424–1430. [Google Scholar] [CrossRef]
- Griesinger, A.M.; Birks, D.K.; Donson, A.M.; Amani, V.; Hoffman, L.M.; Waziri, A.; Wang, M.; Handler, M.H.; Foreman, N.K. Characterization of distinct immunophenotypes across pediatric brain tumor types. J. Immunol. 2013, 191, 4880–4888. [Google Scholar] [CrossRef]
- Zhao, X.; Liu, Z.; Yu, L.; Zhang, Y.; Baxter, P.; Voicu, H.; Gurusiddappa, S.; Luan, J.; Su, J.M.; Leung, H.-C.E.; et al. Global gene expression profiling confirms the molecular fidelity of primary tumor-based orthotopic xenograft mouse models of medulloblastoma. Neuro. Oncol. 2012, 14, 574–583. [Google Scholar] [CrossRef]
- Cavalli, F.M.G.; Remke, M.; Rampasek, L.; Peacock, J.; Shih, D.J.H.; Luu, B.; Garzia, L.; Torchia, J.; Nor, C.; Morrissy, A.S.; et al. Intertumoral Heterogeneity within Medulloblastoma Subgroups. Cancer Cell 2017, 31, 737–754.e736. [Google Scholar] [CrossRef]
- Swartling, F.J.; Savov, V.; Persson, A.I.; Chen, J.; Hackett, C.S.; Northcott, P.A.; Grimmer, M.R.; Lau, J.; Chesler, L.; Perry, A.; et al. Distinct neural stem cell populations give rise to disparate brain tumors in response to N-MYC. Cancer Cell 2012, 21, 601–613. [Google Scholar] [CrossRef]
- Swartling, F.J.; Grimmer, M.R.; Hackett, C.S.; Northcott, P.A.; Fan, Q.W.; Goldenberg, D.D.; Lau, J.; Masic, S.; Nguyen, K.; Yakovenko, S.; et al. Pleiotropic role for MYCN in medulloblastoma. Genes Dev. 2010, 24, 1059–1072. [Google Scholar] [CrossRef]
- Hutter, S.; Bolin, S.; Weishaupt, H.; Swartling, F.J. Modeling and Targeting MYC Genes in Childhood Brain Tumors. Genes 2017, 8, 107. [Google Scholar] [CrossRef]
- Federico, S.; Brennan, R.; Dyer, M.A. Childhood cancer and developmental biology a crucial partnership. Curr. Top. Dev. Biol. 2011, 94, 1–13. [Google Scholar] [CrossRef]
- Monteith, G.R.; Prevarskaya, N.; Roberts-Thomson, S.J. The calcium–cancer signalling nexus. Nat. Rev. Cancer 2017, 17, 373–380. [Google Scholar] [CrossRef]
- Prevarskaya, N.; Ouadid-Ahidouch, H.; Skryma, R.; Shuba, Y. Remodelling of Ca2+ transport in cancer: How it contributes to cancer hallmarks? Philos. Trans. R. Soc. Lond. B Biol. Sci. 2014, 369, 20130097. [Google Scholar] [CrossRef] [PubMed]
- Maklad, A.; Sharma, A.; Azimi, I. Calcium Signaling in Brain Cancers: Roles and Therapeutic Targeting. Cancers 2019, 11, 145. [Google Scholar] [CrossRef] [PubMed]
- Azimi, I.; Roberts-Thomson, S.J.; Monteith, G.R. Calcium influx pathways in breast cancer: Opportunities for pharmacological intervention. Br. J. Pharmacol. 2014, 171, 945–960. [Google Scholar] [CrossRef]
- Bong, A.H.L.; Monteith, G.R. Calcium signaling and the therapeutic targeting of cancer cells. Biochim. Biophys. Acta (BBA)—Mol. Cell Res. 2018, 1865, 1786–1794. [Google Scholar] [CrossRef]
- Leclerc, C.; Haeich, J.; Aulestia, F.J.; Kilhoffer, M.-C.; Miller, A.L.; Néant, I.; Webb, S.E.; Schaeffer, E.; Junier, M.-P.; Chneiweiss, H.; et al. Calcium signaling orchestrates glioblastoma development: Facts and conjunctures. Biochim. Biophys. Acta (BBA)—Mol. Cell Res. 2016, 1863, 1447–1459. [Google Scholar] [CrossRef]
- Azimi, I.; Milevskiy, M.J.G.; Chalmers, S.B.; Yapa, K.T.D.S.; Robitaille, M.; Henry, C.; Baillie, G.J.; Thompson, E.W.; Roberts-Thomson, S.J.; Monteith, G.R. ORAI1 and ORAI3 in Breast Cancer Molecular Subtypes and the Identification of ORAI3 as a Hypoxia Sensitive Gene and a Regulator of Hypoxia Responses. Cancers 2019, 11, 208. [Google Scholar] [CrossRef]
- Dubois, C.; Vanden Abeele, F.; Lehen’kyi, V.; Gkika, D.; Guarmit, B.; Lepage, G.; Slomianny, C.; Borowiec, A.S.; Bidaux, G.; Benahmed, M.; et al. Remodeling of channel-forming ORAI proteins determines an oncogenic switch in prostate cancer. Cancer Cell 2014, 26, 19–32. [Google Scholar] [CrossRef]
- Rossier, M.F. T-Type Calcium Channel: A Privileged Gate for Calcium Entry and Control of Adrenal Steroidogenesis. Front. Endocrinol. 2016, 7, 43. [Google Scholar] [CrossRef]
- Weaver, A.K.; Liu, X.; Sontheimer, H. Role for calcium-activated potassium channels (BK) in growth control of human malignant glioma cells. J. Neurosci. Res. 2004, 78, 224–234. [Google Scholar] [CrossRef]
- Brandalise, F.; Ratto, D.; Leone, R.; Olivero, F.; Roda, E.; Locatelli, C.A.; Grazia Bottone, M.; Rossi, P. Deeper and Deeper on the Role of BK and Kir4.1 Channels in Glioblastoma Invasiveness: A Novel Summative Mechanism? Front. Neurosci. 2020, 14, 1237. [Google Scholar] [CrossRef]
- Huang, X.; Dubuc, A.M.; Hashizume, R.; Berg, J.; He, Y.; Wang, J.; Chiang, C.; Cooper, M.K.; Northcott, P.A.; Taylor, M.D.; et al. Voltage-gated potassium channel EAG2 controls mitotic entry and tumor growth in medulloblastoma via regulating cell volume dynamics. Genes Dev. 2012, 26, 1780–1796. [Google Scholar] [CrossRef]
- Francisco, M.A.; Wanggou, S.; Fan, J.J.; Dong, W.; Chen, X.; Momin, A.; Abeysundara, N.; Min, H.K.; Chan, J.; McAdam, R.; et al. Chloride intracellular channel 1 cooperates with potassium channel EAG2 to promote medulloblastoma growth. J. Exp. Med. 2020, 217, e20190971. [Google Scholar] [CrossRef]
- Ernest, N.J.; Logsdon, N.J.; McFerrin, M.B.; Sontheimer, H.; Spiller, S.E. Biophysical Properties of Human Medulloblastoma Cells. J. Membr. Biol. 2010, 237, 59–69. [Google Scholar] [CrossRef]
- Roussel, M.F.; Stripay, J.L. Modeling pediatric medulloblastoma. Brain Pathol. 2020, 30, 703–712. [Google Scholar] [CrossRef]
- Northcott, P.A.; Korshunov, A.; Witt, H.; Hielscher, T.; Eberhart, C.G.; Mack, S.; Bouffet, E.; Clifford, S.C.; Hawkins, C.E.; French, P.; et al. Medulloblastoma comprises four distinct molecular variants. J. Clin. Oncol. 2011, 29, 1408–1414. [Google Scholar] [CrossRef]
- Yang, W.Q.; Senger, D.; Muzik, H.; Shi, Z.Q.; Johnson, D.; Brasher, P.M.A.; Rewcastle, N.B.; Hamilton, M.; Rutka, J.; Wolff, J.; et al. Reovirus Prolongs Survival and Reduces the Frequency of Spinal and Leptomeningeal Metastases from Medulloblastoma. Cancer Res. 2003, 63, 3162. [Google Scholar]
- Daniel, W.F.; Michael, D.T.; Livia, G. Leptomeningeal dissemination: A sinister pattern of medulloblastoma growth. J. Neurosurg. Pediatrics PED 2019, 23, 613–621. [Google Scholar] [CrossRef]
- Sedeeq, M.; Maklad, A.; Gueven, N.; Azimi, I. Development of a High-throughput Agar Colony Formation Assay to Identify Drug Candidates against Medulloblastoma. Pharmaceuticals 2020, 13, 368. [Google Scholar] [CrossRef]
- Zhang, Y.; Cruickshanks, N.; Yuan, F.; Wang, B.; Pahuski, M.; Wulfkuhle, J.; Gallagher, I.; Koeppel, A.F.; Hatef, S.; Papanicolas, C.; et al. Targetable T-type Calcium Channels Drive Glioblastoma. Cancer Res. 2017, 77, 3479–3490. [Google Scholar] [CrossRef]
- Holdhoff, M.; Ye, X.; Supko, J.G.; Nabors, L.B.; Desai, A.S.; Walbert, T.; Lesser, G.J.; Read, W.L.; Lieberman, F.S.; Lodge, M.A.; et al. Timed sequential therapy of the selective T-type calcium channel blocker mibefradil and temozolomide in patients with recurrent high-grade gliomas. Neuro. Oncol. 2017, 19, 845–852. [Google Scholar] [CrossRef]
- Marino, S. Medulloblastoma: Developmental mechanisms out of control. Trends Mol. Med. 2005, 11, 17–22. [Google Scholar] [CrossRef]
- Rosenberg, S.S.; Spitzer, N.C. Calcium signaling in neuronal development. Cold Spring Harb. Perspect. Biol. 2011, 3, a004259. [Google Scholar] [CrossRef]
- Eckle, V.-S.; Shcheglovitov, A.; Vitko, I.; Dey, D.; Yap, C.C.; Winckler, B.; Perez-Reyes, E. Mechanisms by which a CACNA1H mutation in epilepsy patients increases seizure susceptibility. J. Physiol. 2014, 592, 795–809. [Google Scholar] [CrossRef]
- Azimi, I.; Monteith, G.R. Plasma membrane ion channels and epithelial to mesenchymal transition in cancer cells. Endocr. Relat. Cancer 2016, 23, R517–R525. [Google Scholar] [CrossRef]
- Weishaupt, H.; Mainwaring, O.; Hutter, S.; Kalushkova, A.; Jernberg-Wiklund, H.; Rosén, G.; Swartling, F.J. MBRS-42. GMYC: A NOVEL INDUCIBLE TRANSGENIC MODEL OF GROUP 3 MEDULLOBLASTOMA. Neuro. Oncol. 2018, 20, i137. [Google Scholar] [CrossRef][Green Version]








| Author | No. of Samples | No. of MB Samples | No. of Normal Samples | Platform | Ref. |
|---|---|---|---|---|---|
| Pomeroy | 204 | 188 | 11 | u133a | [17] |
| Donson | 130 | 22 | 13 | u133p2 | [18] |
| Zhao | 92 | 18 | 12 | ilmnhwg6v2 | [19] |
| Cavalli | 763 | 763 | 0 | hugene11t | [20] |
| Gene | Average of mRNA Expression (Log 2) and p Values | ||||||||
|---|---|---|---|---|---|---|---|---|---|
| Pomeroy | Donson | Zhao | |||||||
| N | MB | p-Values | N | MB | p-Values | N | MB | p-Values | |
| Orai1 | - 1 | - | - | 5.891 | 5.860 | 0.5495 | 3.992 | 4.881 | 0.0575 |
| Orai2 | 6.429 | 6.092 | 0.2284 | 8.434 | 8.686 | 0.2459 | 5.258 | 4.933 | 0.5451 |
| Orai3 | 4.643 | 3.942 | 0.0054 | 6.806 | 5.871 | 0.0005 | 5.344 | 2.779 | <0.0001 |
| STIM1 | 5.124 | 3.852 | <0.0001 | 6.255 | 5.578 | 0.0012 | 8.080 | 6.803 | <0.0001 |
| STIM2 | - | - | - | 6.919 | 7.245 | 0.1414 | 7.809 | 7.502 | 0.1887 |
| TRPC1 | 6.085 | 6.267 | 0.2886 | 7.774 | 7.636 | 0.6432 | 8.674 | 7.953 | 0.0016 |
| TRPC3 | 6.165 | 3.519 | <0.0001 | 5.234 | 3.971 | 0.0067 | 7.597 | 4.322 | <0.0001 |
| TRPC4 | 2.154 | 2.208 | 0.9947 | 2.704 | 1.151 | 0.0048 | 4.529 | 4.456 | 0.5948 |
| TRPC5 | 3.479 | 3.389 | 0.8723 | 2.724 | 2.444 | 0.5158 | 4.813 | 4.502 | 0.1014 |
| TRPC6 | 1.727 | 1.940 | 0.7644 | 2.545 | 3.040 | 0.5159 | 1.810 | 0.468 | 0.0007 |
| TRPV1 | 5.540 | 5.202 | 0.3499 | 5.845 | 5.667 | 0.7941 | 6.410 | 5.942 | 0.0491 |
| TRPV2 | 1.555 | 2.326 | 0.1314 | 5.445 | 4.360 | 0.0003 | 5.123 | 4.248 | 0.0664 |
| TRPV3 | - | - | - | 2.992 | 3.578 | 0.1460 | 3.705 | 2.973 | 0.0098 |
| TRPV4 | 3.641 | 2.812 | 0.0221 | 2.998 | 2.503 | 0.1885 | 5.405 | 6.802 | 0.1817 |
| TRPV5 | 1.815 | 1.516 | 0.4167 | 3.135 | 3.694 | 0.2530 | 3.219 | 1.609 | 0.0022 |
| TRPV6 | 2.715 | 2.925 | 0.2729 | 2.789 | 2.239 | 0.4527 | 3.330 | 1.549 | 0.0146 |
| TRPA1 | 1.948 | 2.375 | 0.2922 | 1.818 | 1.464 | 0.5659 | 1.798 | 1.976 | 0.9253 |
| TRPP2 | 6.658 | 6.628 | 0.8891 | 7.562 | 7.832 | 0.4946 | 7.395 | 6.807 | 0.0033 |
| TRPP3 | 0.979 | 1.746 | 0.0365 | 5.542 | 3.798 | <0.0001 | 0 | 2.199 | 0.0109 |
| TRPP5 | 3.391 | 2.236 | 0.0066 | 1.632 | 2.112 | 0.2456 | 0 | 0 | >0.9999 |
| TRPML1 | 4.897 | 4.866 | 0.7630 | 7.228 | 6.965 | 0.1414 | 8.533 | 8.167 | 0.0016 |
| TRPML2 | - | - | - | 2.176 | 3.328 | 0.0098 | 2.494 | 2.741 | 0.5176 |
| TRPML3 | 1.123 | 1.629 | 0.2707 | 1.014 | 1.895 | 0.0541 | 0 | 0 | >0.9999 |
| TRPM1 | 0.999 | 1.022 | 0.9252 | 1.082 | 1.116 | 0.8989 | 0 | 0.114 | 0.5034 |
| TRPM2 | 4.847 | 3.328 | <0.0001 | 6.599 | 4.440 | <0.0001 | 1.729 | 0.808 | 0.0201 |
| TRPM3 | 9.098 | 7.089 | 0.0095 | 8.692 | 7.268 | 0.0410 | 6.649 | 5.436 | 0.0201 |
| TRPM4 | 3.100 | 2.528 | 0.2973 | 3.847 | 2.052 | 0.0074 | 6.593 | 6.304 | 0.2900 |
| TRPM5 | - | - | - | 0.669 | 0.532 | 0.3219 | 0.068 | 0.736 | 0.4860 |
| TRPM6 | 1.084 | 1.170 | 0.9880 | 4.412 | 3.082 | 0.0014 | 4.974 | 4.147 | 0.0004 |
| TRPM7 | - | - | - | 5.531 | 6.345 | 0.0002 | 5.434 | 5.248 | 0.2711 |
| TRPM8 | 2.263 | 1.629 | 0.1311 | 2.715 | 3.418 | 0.2460 | 0 | 0.368 | 0.5034 |
| ITPR1 | 10.088 | 4.475 | <0.0001 | 9.773 | 4.813 | <0.0001 | 10.483 | 5.481 | <0.0001 |
| ITPR2 | 4.973 | 4.323 | 0.0126 | 6.757 | 4.872 | <0.0001 | 6.697 | 3.508 | <0.0001 |
| ITPR3 | 1.125 | 2.138 | 0.0677 | 3.227 | 4.622 | 0.0222 | 6.458 | 6.997 | 0.8268 |
| RYR1 | 5.688 | 2.687 | <0.0001 | 6.311 | 2.906 | <0.0001 | 6.291 | 3.974 | <0.0001 |
| RYR2 | 7.446 | 2.840 | <0.0001 | 7.293 | 2.959 | <0.0001 | 7.862 | 3.736 | <0.0001 |
| RYR3 | 4.855 | 4.635 | 0.4665 | 7.978 | 5.471 | <0.0001 | 2.499 | 1.959 | 0.1019 |
| TMCO1 | 7.305 | 8.483 | <0.0001 | 8.950 | 9.700 | 0.0075 | 9.836 | 10.666 | <0.0001 |
| TMCO2 | - | - | - | 2.098 | 2.537 | 0.4128 | 0.142 | 0.325 | 0.9717 |
| TMCO3 | 4.555 | 3.731 | 0.0029 | 8.432 | 9.124 | 0.0042 | 10.508 | 9.555 | <0.0001 |
| TMCO4 | - | - | - | 2.968 | 1.423 | 0.0016 | 4.207 | 3.737 | 0.0128 |
| TMCO5 | - | - | - | 3.860 | 3.738 | 0.7944 | 2.914 | 3.571 | 0.0375 |
| TMCO6 | 4.864 | 5.253 | 0.0388 | 5.317 | 6.123 | <0.0001 | - | - | - |
| CACNA1A | 11.316 | 8.204 | <0.0001 | 9.878 | 8.134 | 0.0006 | 10.158 | 5.498 | <0.0001 |
| CACNA1B | 0.590 | 1.988 | 0.0025 | 8.740 | 7.680 | <0.0001 | 4.025 | 4.234 | 0.6389 |
| CACNA1C | 3.626 | 2.975 | 0.1255 | 7.329 | 5.360 | <0.0001 | 6.936 | 6.233 | 0.0223 |
| CACNA1D | 5.434 | 3.875 | <0.0001 | 6.145 | 3.693 | <0.0001 | 4.263 | 3.163 | <0.0001 |
| CACNA1E | 1.128 | 1.506 | 0.4616 | 7.416 | 6.044 | 0.0005 | 7.714 | 6.206 | 0.0199 |
| CACNA1F | 0.311 | 1.492 | 0.0102 | 2.662 | 2.357 | 0.2825 | 6.287 | 7.099 | 0.0101 |
| CACNA1G | 6.602 | 5.525 | 0.1339 | 5.832 | 4.881 | 0.0863 | 8.976 | 8.502 | 0.2037 |
| CACNA1H | 0.185 | 1.830 | 0.0004 | 1.812 | 3.948 | 0.0022 | 3.872 | 7.055 | 0.0001 |
| CACNA1I | 4.920 | 2.993 | 0.0003 | 7.012 | 4.645 | <0.0001 | 1.181 | 1.483 | 0.4301 |
| CACNA1S | 0.996 | 1.736 | 0.3773 | 4.037 | 3.457 | 0.1885 | 0.866 | 4.521 | 0.0001 |
| CATSPER1 | - | - | - | 2.975 | 3.842 | 0.1071 | 4.679 | 4.072 | 0.0003 |
| CATSPER2 | 8.142 | 5.279 | <0.0001 | 6.176 | 5.670 | 0.0929 | 7.983 | 3.176 | <0.0001 |
| CATSPER3 | - | - | - | 3.500 | 4.048 | 0.1036 | 2.987 | 3.284 | 0.2665 |
| CATSPERB | 2.241 | 1.898 | 0.4435 | 2.775 | 2.501 | 0.3146 | 0 | 0.100 | >0.9999 |
| CATSPERG | 2.407 | 1.512 | 0.0326 | 2.092 | 2.047 | 0.5159 | 5.938 | 3.143 | 0.0005 |
| P2RX1 | 2.469 | 2.011 | 0.2438 | 1.888 | 2.208 | 0.6790 | 4.128 | 4.091 | 0.6691 |
| P2RX2 | 2.195 | 1.181 | 0.0036 | 3.202 | 3.872 | 0.0832 | 4.905 | 4.412 | 0.0016 |
| P2RX3 | 0.148 | 0.689 | 0.0505 | 1.039 | 1.803 | 0.0978 | 4.506 | 4.634 | 0.5659 |
| P2RX4 | 6.854 | 3.966 | <0.0001 | 6.215 | 5.942 | 0.5495 | 9.206 | 6.718 | <0.0001 |
| P2RX5 | 5.106 | 2.694 | <0.0001 | 6.760 | 3.673 | <0.0001 | 0.116 | 0.308 | 0.7732 |
| P2RX6 | 2.010 | 2.081 | 0.8929 | 4.548 | 4.318 | 0.4130 | 1.023 | 0.492 | 0.0933 |
| P2RX7 | 4.039 | 1.556 | <0.0001 | 7.652 | 4.099 | <0.0001 | 7.597 | 2.043 | <0.0001 |
| ATP2A1 | 1.569 | 1.632 | 0.9713 | 2.984 | 3.801 | 0.1111 | 0 | 0.099 | >0.9999 |
| ATP2A2 | 10.370 | 9.189 | <0.0001 | 9.996 | 9.949 | 0.9530 | 11.784 | 10.651 | <0.0001 |
| ATP2A3 | 6.050 | 2.523 | <0.0001 | 3.310 | 3.878 | 0.3528 | 5.238 | 3.776 | <0.0001 |
| ATP2B1 | 8.523 | 8.777 | 0.1404 | 9.221 | 9.142 | 0.5328 | 8.284 | 5.096 | <0.0001 |
| ATP2B2 | 10.429 | 6.519 | <0.0001 | 10.955 | 7.360 | <0.0001 | 10.793 | 6.598 | <0.0001 |
| ATP2B3 | 5.496 | 2.222 | <0.0001 | 8.174 | 4.797 | <0.0001 | 8.779 | 5.280 | <0.0001 |
| ATP2B4 | 7.422 | 6.530 | 0.0098 | 8.474 | 7.562 | 0.0056 | 9.558 | 8.600 | 0.0005 |
| ATP2C1 | 6.804 | 7.494 | 0.0002 | 8.287 | 8.332 | 0.7045 | 8.242 | 8.489 | 0.0969 |
| ATP2C2 | 1.095 | 1.613 | 0.3845 | 3.802 | 3.765 | 0.9798 | - | - | - |
| SLC24A6 | - | - | - | 5.572 | 5.610 | 0.7047 | 7.965 | 7.487 | 0.4210 |
| CCDC109A | - | - | - | 7.481 | 6.717 | 0.0002 | 8.759 | 6.366 | <0.0001 |
| ASIC1 | 6.197 | 6.868 | 0.0151 | 7.455 | 8.106 | 0.1194 | 9.507 | 9.987 | 0.2529 |
| ASIC2 | 5.476 | 2.543 | <0.0001 | 7.282 | 4.012 | <0.0001 | 9.817 | 6.913 | <0.0001 |
| ASIC3 | 4.229 | 4.092 | 0.4391 | 4.997 | 4.613 | 0.7428 | 7.203 | 6.012 | 0.0001 |
| ASIC4 | 2.518 | 2.367 | 0.6637 | 4.605 | 2.245 | 0.0003 | 7.748 | 7.373 | 0.0022 |
| ASIC5 | - | - | - | 1.801 | 2.275 | 0.2389 | 3.408 | 3.221 | 0.9584 |
| Piezo1 | 5.620 | 4.539 | 0.0140 | 6.792 | 6.139 | 0.1915 | 8.530 | 7.569 | 0.4089 |
| Piezo2 | 2.396 | 3.588 | 0.0345 | 5.902 | 4.990 | 0.0401 | 5.458 | 4.846 | 0.1556 |
| SARAF | 10.925 | 10.505 | 0.0012 | 11.404 | 10.498 | <0.0001 | 12.233 | 11.775 | <0.0001 |
| P2Y1 | 1.956 | 2.719 | 0.0994 | 3.035 | 3.355 | 0.4893 | 1.853 | 2.733 | 0.4084 |
| P2Y2 | 1.492 | 1.284 | 0.7624 | 2.147 | 1.518 | 0.1602 | 2.805 | 2.211 | 0.0490 |
| P2Y4 | 3.316 | 3.043 | 0.2647 | 2.777 | 4.020 | 0.0149 | 4.695 | 4.343 | 0.0970 |
| P2Y6 | 2.172 | 1.493 | 0.1263 | 4.528 | 3.079 | 0.0024 | 4.580 | 3.803 | 0.0007 |
| P2Y11 | - | - | - | - | - | - | 6.918 | 7.406 | 0.0028 |
| P2Y12 | - | - | - | 6.978 | 3.526 | <0.0001 | 3.803 | 0.624 | <0.0001 |
| P2Y13 | 2.453 | 2.649 | 0.7427 | 4.838 | 2.925 | <0.0001 | 6.407 | 3.644 | <0.0001 |
| P2Y14 | 4.203 | 4.774 | 0.0643 | 5.665 | 5.616 | >0.9999 | 0 | 0 | - |
| Genes | Expression Level in MB | Subgroups Specific | Metastasis | Overall Survival | |||
|---|---|---|---|---|---|---|---|
| WNT | SHH | G3 | G4 | Patients with ↑ Gene Expression | |||
| TMCO1 | High (↑) | √ | √ | √ | √ | - | - |
| CACNA1H | - | - | √ | √ | ↑ | ↓ | |
| ORAI3 | Low (↓) | - | - | √ | - | ↓ | - |
| STIM1 | - | √ | √ | √ | - | - | |
| TRPC3 | √ | √ | √ | √ | - | - | |
| ITPR1 | √ | √ | √ | √ | ↓ | - | |
| RYR1 | √ | √ | √ | √ | - | - | |
| RYR2 | √ | √ | √ | √ | - | - | |
| CACNA1A | - | √ | √ | √ | - | ↑ | |
| CACNA1D | - | - | √ | √ | ↓ | ↑ | |
| P2RX7 | √ | √ | √ | √ | ↓ | - | |
| ATP2B2 | √ | √ | √ | √ | - | - | |
| ATP2B3 | √ | √ | √ | √ | ↓ | - | |
| ATP2B4 | √ | - | - | √ | ↓ | - | |
| ASIC2 | - | √ | √ | √ | ↓ | - | |
| SARAF | - | √ | √ | - | ↓ | - | |
Publisher’s Note: MDPI stays neutral with regard to jurisdictional claims in published maps and institutional affiliations. |
© 2021 by the authors. Licensee MDPI, Basel, Switzerland. This article is an open access article distributed under the terms and conditions of the Creative Commons Attribution (CC BY) license (https://creativecommons.org/licenses/by/4.0/).
Share and Cite
Maklad, A.; Sedeeq, M.; Milevskiy, M.J.G.; Azimi, I. Calcium Signalling in Medulloblastoma: An In Silico Analysis of the Expression of Calcium Regulating Genes in Patient Samples. Genes 2021, 12, 1329. https://doi.org/10.3390/genes12091329
Maklad A, Sedeeq M, Milevskiy MJG, Azimi I. Calcium Signalling in Medulloblastoma: An In Silico Analysis of the Expression of Calcium Regulating Genes in Patient Samples. Genes. 2021; 12(9):1329. https://doi.org/10.3390/genes12091329
Chicago/Turabian StyleMaklad, Ahmed, Mohammed Sedeeq, Michael J. G. Milevskiy, and Iman Azimi. 2021. "Calcium Signalling in Medulloblastoma: An In Silico Analysis of the Expression of Calcium Regulating Genes in Patient Samples" Genes 12, no. 9: 1329. https://doi.org/10.3390/genes12091329
APA StyleMaklad, A., Sedeeq, M., Milevskiy, M. J. G., & Azimi, I. (2021). Calcium Signalling in Medulloblastoma: An In Silico Analysis of the Expression of Calcium Regulating Genes in Patient Samples. Genes, 12(9), 1329. https://doi.org/10.3390/genes12091329

