Progressive External Ophthalmoplegia in Polish Patients—From Clinical Evaluation to Genetic Confirmation
Abstract
1. Introduction
2. Materials and Methods
2.1. Patients
2.2. Skeletal Muscle Biopsy
2.3. Genetic Studies
3. Results
3.1. Phenotype Classification
3.2. Skeletal Muscle Biopsy
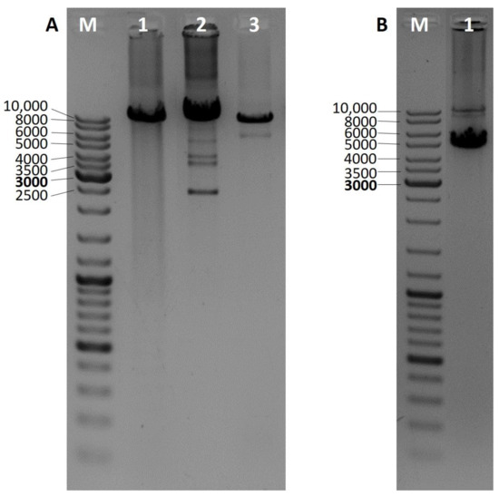
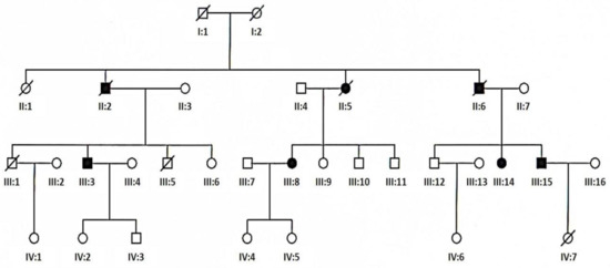
3.3. Genetic Results
4. Discussion
5. Conclusions
Supplementary Materials
Author Contributions
Funding
Institutional Review Board Statement
Informed Consent Statement
Data Availability Statement
Acknowledgments
Conflicts of Interest
References
- D’Erchia, A.M.; Atlante, A.; Gadaleta, G.; Pavesi, G.; Chiara, M.; De Virgilio, C.; Manzari, C.; Mastropasqua, F.; Prazzoli, G.M.; Picardi, E.; et al. Tissue-specific mtDNA abundance from exome data and its correlation with mitochondrial transcription, mass and respiratory activity. Mitochondrion 2015, 20, 13–21. [Google Scholar] [CrossRef] [PubMed]
- Satoh, M.; Kuroiwa, T. Organization of multiple nucleoids and DNA molecules in mitochondria of a human cell. Exp. Cell Res. 1991, 196, 137–140. [Google Scholar] [CrossRef]
- El-Hattab, A.W.; Craigen, W.J.; Scaglia, F. Mitochondrial DNA maintenance defects. Biochim. Biophys. Acta Mol. Basis Dis. 2017, 1863, 1539–1555. [Google Scholar] [CrossRef] [PubMed]
- Komulainen, T.; Hautakangas, M.-R.; Hinttala, R.; Pakanen, S.; Vähäsarja, V.; Lehenkari, P.; Olsén, P.; Vieira, P.; Saarenpää-Heikkilä, O.; Palmio, J.; et al. Mitochondrial DNA Depletion and Deletions in Paediatric Patients with Neuromuscular Diseases: Novel Phenotypes. JIMD Rep. 2015, 23, 91–100. [Google Scholar]
- Ahmed, N.; Ronchi, D.; Pietro, C.G. Genes and Pathways Involved in Adult Onset Disorders Featuring Muscle Mitochondrial DNA Instability. Int. J. Mol. Sci. 2015, 16, 18054–18076. [Google Scholar] [CrossRef]
- Bernier, F.; Boneh, A.; Dennett, X.; Chow, C.; Cleary, M.; Thorburn, D. Diagnostic criteria for respiratory chain disorders in adults and children. Neurology 2002, 59, 1406–1411. [Google Scholar] [CrossRef]
- Morava, E.; Heuvel, L.V.D.; Hol, F.; De Vries, M.C.; Hogeveen, M.; Rodenburg, R.J.; Smeitink, J.A.M. Mitochondrial disease criteria: Diagnostic applications in children. Neurology 2006, 67, 1823–1826. [Google Scholar] [CrossRef]
- Mancuso, M.; Orsucci, D.; Angelini, C.; Bertini, E.; Carelli, V.; Comi, G.P.; Donati, M.A.; Federico, A.; Minetti, C.; Moggio, M.; et al. Redefining phenotypes associated with mitochondrial DNA single deletion. J. Neurol. 2015, 262, 1301–1309. [Google Scholar] [CrossRef]
- Haas, R.H.; Parikh, S.; Falk, M.J.; Saneto, R.P.; Wolf, N.I.; Darin, N.; Cohen, B.H. Mitochondrial Disease: A Practical Approach for Primary Care Physicians. Pediatrics 2007, 120, 1326–1333. [Google Scholar] [CrossRef]
- Drachman, D.A. Ophthalmoplegia plus. The neurodegenerative disorders associated with progressive external ophthalmoplegia. Arch. Neurol. 1968, 18, 654–674. [Google Scholar] [CrossRef]
- Kierdaszuk, B.; Jamrozik, Z.; Tońska, K.; Bartnik, E.; Kaliszewska, M.; Kaminska, A.M.; Kwieciński, H. Mitochondrial cytopathies: Clinical, morphological and genetic characteristics. Neurol. Neurochir. Polska 2009, 43, 216–227. [Google Scholar]
- Soong, N.-W.; Arnheim, N. Detection and quantification of mitochondrial DNA deletions. Methods Enzymol. 1996, 264, 421–431. [Google Scholar] [PubMed]
- Gawel, M.; Kierdaszuk, B.; Tońska, K.; Kaliszewska, M.; Kubiszewska, J.; Jamrozik, Z.; Bartnik, E.; Kwiecinski, H.; Kaminska, A.M. Mitochondrial encephalomyopathy: Towards diagnosis. A case report. Neurol. Neurochir. Polska 2014, 48, 76–80. [Google Scholar] [CrossRef] [PubMed]
- Zhang, L.; Chan, S.S.; Wolff, D.J. Mitochondrial Disorders of DNA Polymerase γ Dysfunction. Arch. Pathol. Lab. Med. 2011, 135, 925–934. [Google Scholar] [PubMed]
- Kaliszewska, M.; Kruszewski, J.; Kierdaszuk, B.; Kostera-Pruszczyk, A.; Nojszewska, M.; Łusakowska, A.; Vizueta, J.; Sabat, D.; Lutyk, D.; Lower, M.; et al. Yeast model analysis of novel polymerase gamma variants found in patients with autosomal recessive mitochondrial disease. Qual. Life Res. 2015, 134, 951–966. [Google Scholar] [CrossRef]
- Płoski, R.; Pollak, A.; Müller, S.; Franaszczyk, M.; Michalak, E.; Kosinska, J.; Stawinski, P.; Spiewak, M.; Seggewiss, H.; Bilinska, Z.T. Does p.Q247X in TRIM63 Cause Human Hypertrophic Cardiomyopathy? Circ. Res. 2014, 114, e2–e5. [Google Scholar]
- Reyes, A.; Rusecka, J.; Kierdaszuk, B.; Rydzanicz, M.; Cardaioli, E.; Stabile, C.; Kaliszewska, M.; Boratyńska-Jasińska, A.; Pitceathly, R.; Dotti, M.T.; et al. Mutations in RNASEH1 impair both mtDNA replication and transcription causing adult-onset PEO with multiple mtDNA deletions. J. Med Genet. (manuscript in revision).
- Anteneová, N.; Kelifová, S.; Kolářová, H.; Vondráčková, A.; Tóthová, I.; Lišková, P.; Magner, M.; Zámečník, J.; Hansíková, H.; Zeman, J.; et al. The Phenotypic Spectrum of 47 Czech Patients with Single, Large-Scale Mitochondrial DNA Deletions. Brain Sci. 2020, 10, 766. [Google Scholar] [CrossRef]
- Bugiardini, E.; Poole, O.V.; Manole, A.; Pittman, A.L.; Horga, A.; Hargreaves, I.; Woodward, C.E.; Sweeney, M.G.; Holton, J.L.; Taanman, J.-W.; et al. Clinicopathologic and molecular spectrum of RNASEH1-related mitochondrial disease. Neurol. Genet. 2017, 3, e149. [Google Scholar] [CrossRef]
- Sciacco, M.; Prelle, A.; Pietro, C.G.; Napoli, L.; Battistel, A.; Bresolin, N.; Tancredi, L.; Lamperti, C.; Bordoni, A.; Fagiolari, G.; et al. Retrospective study of a large population of patients affected with mitochondrial disorders: Clinical, morphological and molecular genetic evaluation. J. Neurol. 2001, 248, 778–788. [Google Scholar] [CrossRef]
- Lee, S.-J.; Na, J.-H.; Han, J.; Lee, Y.-M. Ophthalmoplegia in Mitochondrial Disease. Yonsei Med. J. 2018, 59, 1190–1196. [Google Scholar] [CrossRef] [PubMed]
- Yu-Wai-Man, C.; Smith, F.E.; Firbank, M.J.; Guthrie, G.; Guthrie, S.; Gorman, G.S.; Taylor, R.W.; Turnbull, D.M.; Griffiths, P.G.; Blamire, A.M.; et al. Extraocular Muscle Atrophy and Central Nervous System Involvement in Chronic Progressive External Ophthalmoplegia. PLoS ONE 2013, 8, e75048. [Google Scholar] [CrossRef] [PubMed]
- Heighton, J.N.; Brady, L.; Newman, M.C.; Tarnopolsky, M. Clinical and demographic features of chronic progressive external ophthalmoplegia in a large adult-onset cohort. Mitochondrion 2019, 44, 15–19. [Google Scholar] [CrossRef] [PubMed]
- Grady, J.P.; Campbell, G.; Ratnaike, T.; Blakely, E.L.; Falkous, G.; Nesbitt, V.; Schaefer, A.M.; McNally, R.J.; Gorman, G.S.; Taylor, R.W.; et al. Disease progression in patients with single, large-scale mitochondrial DNA deletions. Brain 2014, 137, 323–334. [Google Scholar] [CrossRef]
- Aure, K.; Ogier de Baulny, H.; Laforêt, P.; Jardel, C.; Eymard, B.; Lombès, A. Chronic progressive ophthalmoplegia with large-scale mtDNA rearrangement: Can we predict progression? Brain 2007, 130, 1516–1524. [Google Scholar] [CrossRef]
- Galetta, F.; Franzoni, F.; Mancuso, M.; Orsucci, D.; Tocchini, L.; Papi, R.; Speziale, G.; Gaudio, C.; Siciliano, G.; Santoro, G. Cardiac involvement in chronic progressive external ophthalmoplegia. J. Neurol. Sci. 2014, 345, 189–192. [Google Scholar] [CrossRef]
- Parikh, S.; Goldstein, A.; Koenig, M.K.; Scaglia, F.; Enns, G.M.; Saneto, R.; Anselm, I.; Cohen, B.H.; Falk, M.J.; Greene, C.; et al. Diagnosis and management of mitochondrial disease: A consensus statement from the Mitochondrial Medicine Society. Genet. Med. 2015, 17, 689–701. [Google Scholar] [CrossRef]
- Rodríguez-López, C.; García-Cárdaba, L.M.; Blázquez, A.; Serrano-Lorenzo, P.; Gutiérrez-Gutiérrez, G.; Millán-Tejado, B.S.; Muelas, N.; Hernández-Laín, A.; Vílchez, J.J.; Gutiérrez-Rivas, E.; et al. Clinical, pathological and genetic spectrum in 89 cases of mitochondrial progressive external ophthalmoplegia. J. Med. Genet. 2020, 57, 643–646. [Google Scholar] [CrossRef]
- Seo, G.H.; Oh, A.; Na Kim, E.; Lee, Y.; Park, J.; Kim, T.; Lim, Y.-M.; Kim, G.-H.; Kim, C.J.; Yoo, H.-W.; et al. Identification of extremely rare mitochondrial disorders by whole exome sequencing. J. Hum. Genet. 2019, 64, 1117–1125. [Google Scholar] [CrossRef]
- Wortmann, S.B.; Koolen, D.A.; Smeitink, J.A.; Heuvel, L.V.D.; Rodenburg, R.J.T. Whole exome sequencing of suspected mitochondrial patients in clinical practice. J. Inherit. Metab. Dis. 2015, 38, 437–443. [Google Scholar] [CrossRef]
- Bannwarth, S.; Procaccio, V.; Lebre, A.S.; Jardel, C.; Chaussenot, A.; Hoarau, C.; Maoulida, H.; Charrier, N.; Gai, X.; Xie, H.M.; et al. Prevalence of rare mitochondrial DNA mutations in mitochondrial disorders. J. Med. Genet. 2013, 50, 704–714. [Google Scholar] [CrossRef]
- Stumpf, J.D.; Copeland, W.C. Mitochondrial DNA replication and disease: Insights from DNA polymerase γ mutations. Cell. Mol. Life Sci. 2010, 68, 219–233. [Google Scholar] [CrossRef] [PubMed]
- Chan, S.S.L.; Copeland, W.C. DNA polymerase γ and mitochondrial disease: Understanding the consequence of POLG mutations. Biochim. Biophys. Acta Bioenergy 2009, 1787, 312–319. [Google Scholar] [CrossRef] [PubMed]
- Jamali, F.; Ghaedi, H.; Tafakhori, A.; Alehabib, E.; Chapi, M.; Daftarian, N.; Darvish, H.; Jamshidi, J. Homozygous Mutation in TWNK Cases Ataxia, Sensorineural Hearing Loss and Optic Nerve Atrophy. Arch. Iran. Med. 2019, 22, 728–730. [Google Scholar] [PubMed]
- Kume, K.; Morino, H.; Miyamoto, R.; Matsuda, Y.; Ohsawa, R.; Kanaya, Y.; Tada, Y.; Kurashige, T.; Kawakami, H. Middle-age-onset cerebellar ataxia caused by a homozygous TWNK variant: A case report. BMC Med. Genet. 2020, 21, 1–4. [Google Scholar] [CrossRef] [PubMed]
- Peter, B.; Falkenberg, M. TWINKLE and Other Human Mitochondrial DNA Helicases: Structure, Function and Disease. Genes 2020, 11, 408. [Google Scholar] [CrossRef] [PubMed]
- Fekete, B.; Pentelényi, K.; Rudas, G.; Gál, A.; Grosz, Z.; Illés, A.; Idris, J.; Csukly, G.; Domonkos, A.; Molnar, M. Broadening the phenotype of the TWNK gene associated Perrault syndrome. BMC Med. Genet. 2019, 20, 1–8. [Google Scholar] [CrossRef]
- Morino, H.; Pierce, S.B.; Matsuda, Y.; Walsh, T.; Ohsawa, R.; Newby, M.; Hiraki-Kamon, K.; Kuramochi, M.; Lee, M.K.; Klevit, R.E.; et al. Mutations in Twinkle primase-helicase cause Perrault syndrome with neurologic features. Neurology 2014, 83, 2054–2061. [Google Scholar] [CrossRef]
- Ronchi, D.; Fassone, E.; Bordoni, A.; Sciacco, M.; Lucchini, V.; Di Fonzo, A.; Rizzuti, M.; Colombo, I.; Napoli, L.; Ciscato, P.; et al. Two novel mutations in PEO1 (Twinkle) gene associated with chronic external ophthalmoplegia. J. Neurol. Sci. 2011, 308, 173–176. [Google Scholar] [CrossRef][Green Version]
- Fratter, C.; Gorman, G.S.; Stewart, J.D.; Buddles, M.; Smith, C.; Evans, J.; Seller, A.; Poulton, J.; Roberts, M.; Hanna, M.G.; et al. The clinical, histochemical, and molecular spectrum of PEO1 (Twinkle)-linked adPEO. Neurology 2010, 74, 1619–1626. [Google Scholar] [CrossRef]






| CPEO | CPEO+ | ME | KSS | SANDO | |
|---|---|---|---|---|---|
| Number of patients | 27 | 24 | 26 | 6 | 1 |
| Males (M)/females (F) | 10/17 | 8/16 | 10/16 | 2/4 | -/1 |
| Age M/F | 31–78/12–71 | 33–61/30–76 | 11–61/18–66 | 14/15–36 | -/51 |
| Mean age of onset | 31 | 35 | 24 | 11 | 31 |
| Mean age of diagnosis | 42 | 50 | 43 | 21 | 51 |
| Positive family history | 4 | 2 | 4 | - | 1 |
| CK ranges (U/l) | 17–333 | 16–673 | 9–1096 | 13–41 | 115 |
| Total NCS | 24 | 22 | 26 | 4 | 1 |
| NCS—n | 19 | 18 | 19 | 4 | - |
| NCS—A-m | 1 | - | 1 | - | - |
| NCS—A-s | 2 | - | 4 | - | - |
| NCS—A-m + s | 2 | 2 | 1 | - | 1 |
| NCS—A-D-m + s | - | 1 | 1 | - | - |
| NCS—D-m + s | - | 1 | - | - | - |
| Total EMG studies | 23 | 22 | 26 | 4 | ND |
| EMG—n | 11 | 6 | 9 | 3 | ND |
| EMG—M | 8 | 13 | 9 | 1 | ND |
| EMG—N | 3 | 3 | 6 | - | ND |
| EMG—M+N | 1 | - | 2 | - | ND |
| RRF/number of biopsies | 18/23 | 17/21 | 20/24 | 4/5 | 1/1 |
| COX-negative/number of stainings | 2/6 | 7/7 | 8/10 | ND | ND |
| CPEO | CPEO+ | ME | KSS | SANDO | |
|---|---|---|---|---|---|
| Number of patients | 27 | 24 | 26 | 6 | 1 |
| m.3243A>G | - | - | 2 | - | - |
| 4977 bp deletion | 8 | 5 | 3 | 3 | - |
| Single mtDNA deletion * | 6 | 4 | 4 | 1 | - |
| 2 mtDNA deletions | 2 | 2 | 3 | 2 | - |
| multiple mtDNA deletions | 10 | 11 | 14 | - | 1 |
| POLG pathogenic variants | 2 | 2 | 2 | - | 1 |
| 2 multiple | 2 multiple | 2 multiple | - | 1 multiple | |
| TWNK pathogenic variants | 2 | 2 | 1 | - | - |
| 1 multiple 1 nd | 2 nd | 1 multiple | - | - | |
| RNASEH1 pathogenic variants | - | - | 2 | - | - |
| - | - | 1 multiple 1 2 del | - | - |
| Tissue | Blood | Muscle | Other (Urinary Epithelium, Hair) |
|---|---|---|---|
| all screened | 77 | 71 | 7 |
| Single, common | 12 | 17 | 1 |
| Single, non-common | 5 | 11 | 2 |
| 2 del | - | 9 | 0 |
| multiple | 1 | 34 | 3 |
| negative | 59 | - | 1 |
Publisher’s Note: MDPI stays neutral with regard to jurisdictional claims in published maps and institutional affiliations. |
© 2020 by the authors. Licensee MDPI, Basel, Switzerland. This article is an open access article distributed under the terms and conditions of the Creative Commons Attribution (CC BY) license (http://creativecommons.org/licenses/by/4.0/).
Share and Cite
Kierdaszuk, B.; Kaliszewska, M.; Rusecka, J.; Kosińska, J.; Bartnik, E.; Tońska, K.; Kamińska, A.M.; Kostera-Pruszczyk, A. Progressive External Ophthalmoplegia in Polish Patients—From Clinical Evaluation to Genetic Confirmation. Genes 2021, 12, 54. https://doi.org/10.3390/genes12010054
Kierdaszuk B, Kaliszewska M, Rusecka J, Kosińska J, Bartnik E, Tońska K, Kamińska AM, Kostera-Pruszczyk A. Progressive External Ophthalmoplegia in Polish Patients—From Clinical Evaluation to Genetic Confirmation. Genes. 2021; 12(1):54. https://doi.org/10.3390/genes12010054
Chicago/Turabian StyleKierdaszuk, Biruta, Magdalena Kaliszewska, Joanna Rusecka, Joanna Kosińska, Ewa Bartnik, Katarzyna Tońska, Anna M. Kamińska, and Anna Kostera-Pruszczyk. 2021. "Progressive External Ophthalmoplegia in Polish Patients—From Clinical Evaluation to Genetic Confirmation" Genes 12, no. 1: 54. https://doi.org/10.3390/genes12010054
APA StyleKierdaszuk, B., Kaliszewska, M., Rusecka, J., Kosińska, J., Bartnik, E., Tońska, K., Kamińska, A. M., & Kostera-Pruszczyk, A. (2021). Progressive External Ophthalmoplegia in Polish Patients—From Clinical Evaluation to Genetic Confirmation. Genes, 12(1), 54. https://doi.org/10.3390/genes12010054

