Clinical Relevance of +936 C>T VEGFA and c.233C>T bFGF Polymorphisms in Chronic Lymphocytic Leukemia
Abstract
1. Introduction
2. Materials and Methods
2.1. Study Participants
2.2. Selection of SNPs for Study
2.3. DNA Extraction and Genotyping
2.4. Statistical Analysis
3. Results
3.1. Association between VEGFA, VEGFR1 and bFGF Genotypes and B-CLL Risk
3.2. Correlation of VEGFA, VEGFR1 and bFGF Genotypes with Clinical/Pathological Factors of B-CLL Patients
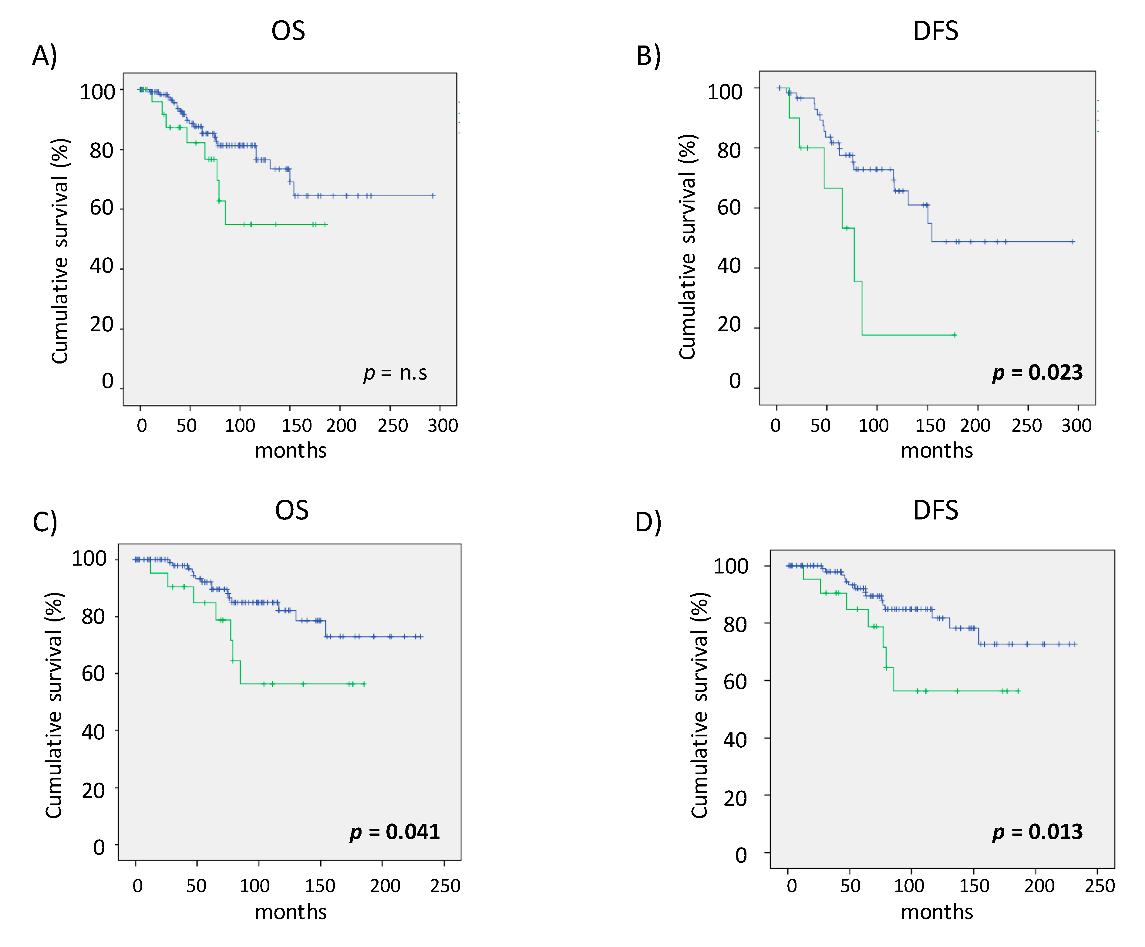
3.3. Correlation of VEGFA, VEGFR1 and bFGF SNPs with Prognosis of B-CLL Patients
4. Discussion
5. Conclusions
Supplementary Materials
Author Contributions
Funding
Acknowledgments
Conflicts of Interest
Compliance with Ethical Standards
References
- Keating, M.J.; Chiorazzi, N.; Messmer, B.; Damle, R.N.; Allen, S.L.; Rai, K.R.; Ferrarini, M.; Kipps, T.J. Biology and Treatment of Chronic Lymphocytic Leukemia. Hematol. Am. Soc. Hematol. Educ. Program. 2003, 2003, 153–175. [Google Scholar] [CrossRef] [PubMed]
- Molica, S.; Vacca, A.; Ribatti, D.; Cuneo, A.; Cavazzini, F.; Levato, D.; Vitelli, G.; Tucci, L.; Roccaro, A.M.; Dammacco, F. Prognostic value of enhanced bone marrow angiogenesis in early B-cell chronic lymphocytic leukemia. Blood 2002, 100, 3344–3351. [Google Scholar] [CrossRef]
- Kipps, T.J.; Stevenson, F.K.; Wu, C.J.; Croce, C.M.; Packham, G.; Wierda, W.G.; O’Brien, S.; Gribben, J.; Rai, K. Chronic lymphocytic leukaemia. Nat. Rev. Dis. Primers. 2017, 3, 16096. [Google Scholar] [CrossRef]
- Xia, Y.; Lu, R.-N.; Li, J. Angiogenic factors in chronic lymphocytic leukemia. Leuk. Res. 2012, 36, 1211–1217. [Google Scholar] [CrossRef] [PubMed]
- Sherwood, L.M.; Parris, E.E.; Folkman, J. Tumor Angiogenesis: Therapeutic Implications. N. Engl. J. Med. 1971, 285, 1182–1186. [Google Scholar] [CrossRef]
- Lyu, C.J.; Rha, S.Y.; Won, S.C. Clinical role of bone marrow angiogenesis in childhood acute lymphocytic leukemia. Yonsei Med J. 2007, 48, 171–175. [Google Scholar] [CrossRef][Green Version]
- Murakami, M.; Nguyen, L.T.; Hatanaka, K.; Schachterle, W.; Chen, P.-Y.; Zhuang, Z.W.; Black, B.L.; Simons, M. FGF-dependent regulation of VEGF receptor 2 expression in mice. J. Clin. Investig. 2011, 121, 2668–2678. [Google Scholar] [CrossRef]
- Shibuya, M.; Claesson-Welsh, L. Signal transduction by VEGF receptors in regulation of angiogenesis and lymphangiogenesis. Exp. Cell Res. 2006, 312, 549–560. [Google Scholar] [CrossRef] [PubMed]
- Kay, N.; Bone, N.; Tschumper, R.; Howell, K.; Geyer, S.; Dewald, G.; Hanson, C.; Jelinek, D. B-CLL cells are capable of synthesis and secretion of both pro- and anti-angiogenic molecules. Leukemia 2002, 16, 911–919. [Google Scholar] [CrossRef] [PubMed]
- Aguayo, A.; Kantarjian, H.; Manshouri, T.; Gidel, C.; Estey, E.; Thomas, D.; Koller, C.; Estrov, Z.; O’Brien, S.; Keating, M.; et al. Angiogenesis in acute and chronic leukemias and myelodysplastic syndromes. Blood 2000, 96, 2240–2245. [Google Scholar] [CrossRef]
- Molica, S.; Vitelli, G.; Levato, D.; Ricciotti, A.; Digiesi, G. Clinicoprognostic implications of increased serum levels of vascular endothelial growth factor and basic fibroblastic growth factor in early B-cell chronic lymphocytic leukaemia. Br. J. Cancer 2002, 86, 31–35. [Google Scholar] [CrossRef] [PubMed]
- Smolej, L.; Andrys, C.; Pekov??, S.; Schwarz, J.; Belada, D.; Žák, P. Plasma levels of basic fibroblast growth factor and vascular endothelial growth factor and their association with IgVH mutation status in patients with B-cell chronic lymphocytic leukemia. Haematologica 2006, 91, 1432–1433. [Google Scholar]
- Bairey, O.; Boycov, O.; Kaganovsky, E.; Zimra, Y.; Shaklai, M.; Rabizadeh, E. All three receptors for vascular endothelial growth factor (VEGF) are expressed on B-chronic lymphocytic leukemia (CLL) cells. Leuk. Res. 2004, 28, 243–248. [Google Scholar] [CrossRef]
- Huang, D.; Ovcharenko, I. Epigenetic and genetic alterations and their influence on gene regulation in chronic lymphocytic leukemia. BMC Genom. 2017, 18, 236. [Google Scholar] [CrossRef]
- Grimm, C.; Watrowski, R.; Polterauer, S.; Baumühlner, K.; Natter, C.; Rahhal, J.; Heinze, G.; Schuster, E.; Hefler, L.; Reinthaller, A. Vascular Endothelial Growth Factor Gene Polymorphisms and Risk of Cervical Intraepithelial Neoplasia. Int. J. Gynecol. Cancer 2011, 21, 597–601. [Google Scholar] [CrossRef]
- Hou, Q.; Li, M.-Y.; Huang, W.-T.; Wei, F.-F.; Peng, J.-P.; Lou, M.; Qiu, J.-G. Association between three VEGF polymorphisms and renal cell carcinoma susceptibility: A meta-analysis. Oncotarget 2017, 8, 50061–50070. [Google Scholar] [CrossRef]
- Kim, D.H.; Lee, N.Y.; Lee, M.-H.; Sohn, S.K.; Do, Y.R.; Park, J.Y. Vascular endothelial growth factor (VEGF) gene (VEGFA) polymorphism can predict the prognosis in acute myeloid leukaemia patients. Br. J. Haematol. 2007, 140, 71. [Google Scholar] [CrossRef]
- Mandal, R.K.; Yadav, S.S.; Panda, A.K.; Khattri, S. Vascular endothelial growth factor 936 c>T polymorphism increased oral cancer risk: Evidence from a meta-analysis. Genet. Test Mol. Biomarkers 2013, 17, 543–547. [Google Scholar] [CrossRef]
- Rodrigues, P.; Furriol, J.; Tormo, E.; Ballester, S.; Lluch, A.; Eroles, P. The single-nucleotide polymorphisms +936 C/T VEGF and −710 C/T VEGFR1 are associated with breast cancer protection in a Spanish population. Breast Cancer Res. Treat. 2012, 133, 769–778. [Google Scholar] [CrossRef]
- Wrobel, T.; Mazur, G.; Dzietczenia, J.; Gębura, K.; Kuliczkowski, K.; Bogunia-Kubik, K. VEGF and bFGF gene polymorphisms in Polish patients with B-CLL. Med. Oncol. 2013, 30, 456. [Google Scholar] [CrossRef]
- Zhang, J.; Yang, J.; Chen, Y.; Mao, Q.; Li, S.; Xiong, W.; Lin, Y.; Chen, J.; Ge, J. Genetic Variants of VEGF (rs201963 and rs3025039) and KDR (rs7667298, rs2305948, and rs1870377) Are Associated with Glioma Risk in a Han Chinese Population: A Case-Control Study. Mol. Neurobiol. 2015, 53, 2610–2618. [Google Scholar] [CrossRef] [PubMed]
- Góra-Tybor, J.; Szemraj, J.; Robak, T.; Jamroziak, K. Clinical relevance of vascular endothelial growth factor type A (VEGFA) and VEGF receptor type 2 (VEGFR2) gene polymorphism in chronic lymphocytic leukemia. Blood Cells, Mol. Dis. 2015, 54, 139–143. [Google Scholar] [CrossRef] [PubMed]
- Lozano-Santos, C.; Martínez-Velasquez, J.; Fernandez-Cuevas, B.; Polo, N.; Navarro, B.; Millán, I.; García, J.M.; Collado, R.; Sanchez-Godoy, P.; Carbonell, F.; et al. Vascular Endothelial Growth Factor A (VEGFA) Gene Polymorphisms Have an Impact on Survival in a Subgroup of Indolent Patients with Chronic Lymphocytic Leukemia. PLoS ONE 2014, 9, e101063. [Google Scholar] [CrossRef] [PubMed]
- Schulz, S.; Köhler, K.; Schagdarsurengin, U.; Greiser, P.; Birkenmeier, G.; Müller-Werdan, U.; Werdan, K.; Gläser, C. The human FGF2 level is influenced by genetic predisposition. Int. J. Cardiol. 2005, 101, 265–271. [Google Scholar] [CrossRef]
- Stoimenov, T.J.; Cvetković, T.; Despotovic, M.; Bašić, J.; Cvetkovic, J.; Marjanović, G.; Pavlovic, D. The influence of TNF alpha -308 G/A polymorphism on oxidative stress in patients with chronic lymphocytic leukemia. Leuk. Res. 2017, 54, 66–72. [Google Scholar] [CrossRef] [PubMed]
- Haferlach, C.; Dicker, F.; Schnittger, S.; Kern, W.; Haferlach, T. Comprehensive genetic characterization of CLL: A study on 506 cases analysed with chromosome banding analysis, interphase FISH, IgV(H) status and immunophenotyping. Leukemia 2007, 21, 2442–2451. [Google Scholar] [CrossRef]
- Ghia, P.; Stamatopoulos, K.; Belessi, C.; Moreno, C.; Stilgenbauer, S.; Stevenson, F.; Davi, F.; Rosenquist, R. European Research Initiative on CLL: ERIC recommendations on IGHV gene mutational status analysis in chronic lymphocytic leukemia. Leukemia 2007, 21, 1–3. [Google Scholar] [CrossRef]
- Bradbury, P.A.; Zhai, R.; Ma, C.; Xu, W.; Hopkins, J.; Kulke, M.J.; Asomaning, K.; Wang, Z.; Su, L.; Heist, R.S.; et al. Vascular endothelial growth factor polymorphisms and esophageal cancer prognosis. Clin. Cancer Res. 2009, 15, 4680–4685. [Google Scholar] [CrossRef]
- Renner, W.; Kotschan, S.; Hoffmann, C.; Obermayer-Pietsch, B.; Pilger, E. A common 936 C/T mutation in the gene for vascular endothelial growth factor is associated with vascular endothelial growth factor plasma levels. J. Vasc. Res. 2000, 37, 443–448. [Google Scholar] [CrossRef]
- Zhai, R.; Liu, G.; Asomaning, K.; Su, L.; Kulke, M.H.; Heist, R.S.; Nishioka, N.S.; Lynch, T.J.; Wain, J.C.; Lin, X.; et al. Genetic polymorphisms of VEGF, interactions with cigarette smoking exposure and esophageal adenocarcinoma risk. Carcinogenesis 2008, 29, 2330–2334. [Google Scholar] [CrossRef]
- Heist, R.S.; Zhai, R.; Liu, G.; Zhou, W.; Lin, X.; Su, L.; Asomaning, K.; Lynch, T.J.; Wain, J.C.; Christiani, D.C. VEGF polymorphisms and survival in early-stage non-small-cell lung cancer. J. Clin. Oncol. 2008, 26, 856–862. [Google Scholar] [CrossRef] [PubMed]
- Sole, X.; Guinó, E.; Valls, J.; Iniesta, R.; Moreno, V. SNPStats: A web tool for the analysis of association studies. Bioinformatics 2006, 22, 1928–1929. [Google Scholar] [CrossRef] [PubMed]
- Carpini, J.D.; Karam, A.; Montgomery, L. Vascular endothelial growth factor and its relationship to the prognosis and treatment of breast, ovarian, and cervical cancer. Angiogenesis 2010, 13, 43–58. [Google Scholar] [CrossRef] [PubMed]
- Yoshiji, H.; Gomez, D.E.; Shibuya, M.; Thorgeirsson, U.P. Expression of vascular endothelial growth factor, its receptor, and other angiogenic factors in human breast cancer. Cancer Res. 1996, 56, 2013–2016. [Google Scholar]
- Hu, K.; Zhang, Y.; Wang, R.; Li, G.; Li, G.; Zhang, D. Current Evidence on VEGF+405G/C Polymorphism and Malignancy Susceptibility: A Meta-Analysis Involving 30 Studies. Twin Res. Hum. Genet. 2012, 15, 496–502. [Google Scholar] [CrossRef]
- Jain, L.; Vargo, C.A.; Danesi, R.; Sissung, T.M.; Price, U.K.; Venzon, D.; Venitz, J.; Figg, W.D. The role of vascular endothelial growth factor SNPs as predictive and prognostic markers for major solid tumors. Mol. Cancer Ther. 2009, 8, 2496–2508. [Google Scholar] [CrossRef]
- Kim, M.K.; Suh, C.; Chi, H.S.; Cho, H.S.; Bae, Y.K.; Lee, K.H.; Lee, G.-W.; Kim, I.-S.; Eom, H.-S.; Kong, S.-Y.; et al. VEGFA and VEGFR2 genetic polymorphisms and survival in patients with diffuse large B cell lymphoma. Cancer Sci. 2012, 103, 497–503. [Google Scholar] [CrossRef]
- Basabaeen, A.A.; Abdelgader, E.A.; Babekir, E.A.; Abdelrahim, S.O.; Eltayeb, N.H.; Altayeb, O.A.; Fadul, E.A.; Sabo, A.; Ibrahim, I.K. TP53 Gene 72 Arg/Pro (rs1042522) Single Nucleotide Polymorphism Contribute to Increase the Risk of B-Chronic Lymphocytic Leukemia in the Sudanese Population. Asian Pac. J. Cancer Prev. 2019, 20, 1579–1585. [Google Scholar] [CrossRef][Green Version]
- Reis, A.A.D.S.; De Alcântara, K.C.; De Farias, D.L.C.; Dos Anjos, L.R.B.; Rodrigues, D.A.; Pedrino, G.R.; Santos, R.D.S. The influence of MTHFR C677T polymorphism in chronic lymphocytic leukemia. Electrophoresis 2019, 40, 1715–1718. [Google Scholar] [CrossRef]
- Ioannidou, A.; Zachaki, S.; Daraki, A.; Margariti, I.M.; Pantelia, D.; Diamantopoulou, P.; Sambani, C.; Roussou, P.; Manola, K.N. Paraoxonase 1 (PON1) Q192R and L55M Polymorphisms as Potential Predisposition Factors for Chronic Lymphocytic Leukemia. Anticancer. Res. 2019, 39, 2861–2869. [Google Scholar] [CrossRef]
- Sullivan, I.G.; Riera, P.; Andrés, M.; Altés, A.; Majem, M.; Blanco, R.; Capdevila, L.; Barba, A.; Barnadas, A.; Salazar, J. Prognostic effect of VEGF gene variants in metastatic non-small-cell lung cancer patients. Angiogenesis 2019, 22, 433–440. [Google Scholar] [CrossRef] [PubMed]
- Brogan, I.J.; Khan, N.; Isaac, K.; Hutchinson, J.A.; Pravica, V.; Hutchinson, I.V. Novel polymorphisms in the promoter and 5’ UTR regions of the human vascular endothelial growth factor gene. Hum. Immunol. 1999, 60, 1245–1249. [Google Scholar] [CrossRef]
- Krippl, P.; Langsenlehner, U.; Renner, W.; Yazdani-Biuki, B.; Wolf, G.; Wascher, T.C.; Paulweber, B.; Haas, J.; Samonigg, H. A common 936 C/T gene polymorphism of vascular endothelial growth factor is associated with decreased breast cancer risk. Int. J. Cancer 2003, 106, 468–471. [Google Scholar] [CrossRef] [PubMed]
- Wang, X.-H.; Long, Z.-W. Correlations of EGF G1380A, bFGF C754G and VEGF T460C polymorphisms with malignant melanoma susceptibility and prognosis: A case-control study. Gene 2017, 617, 44–53. [Google Scholar] [CrossRef] [PubMed]
- Wrobel, T.; Mazur, G.; Dzietczenia, J.; Gebura, K.; Kuliczkowski, K.; Bogunia-Kubik, K. VEGF and bFGF gene polymorphisms in patients with non-Hodgkin’s lymphoma. Biomed. Res. Int. 2013, 2013, 159813. [Google Scholar] [CrossRef]
- Vagner, S.; Gensac, M.C.; Maret, A.; Bayard, F.; Amalric, F.; Prats, H.; Prats, A.-C. Alternative translation of human fibroblast growth factor 2 mRNA occurs by internal entry of ribosomes. Mol. Cell. Boil. 1995, 15, 35–44. [Google Scholar] [CrossRef]
- Wołowiec, D.; Dybko, J.; Wrobel, T.; Urbaniak-Kujda, D.; Jaźwiec, B.; Tomaszewska-Toporska, B.; Kapelko-Słowik, K.; Potoczek, S.; Kuliczkowski, K. Circulating sCD138 and Some Angiogenesis-Involved Cytokines Help to Anticipate the Disease Progression of Early-Stage B-Cell Chronic Lymphocytic Leukemia. Mediat. Inflamm. 2006, 2006, 1–6. [Google Scholar] [CrossRef]
- Duensing, S.; Atzpodien, J. Increased intracellular and plasma levels of basic fibroblast growth factor in B-cell chronic lymphocytic leukemia. Blood 1995, 85, 1978–1980. [Google Scholar] [CrossRef]
- Menzel, T.; Rahman, Z.; Calleja, E.; White, K.; Wilson, E.; Wieder, R.; Gabrilove, J. Elevated intracellular level of basic fibroblast growth factor correlates with stage of chronic lymphocytic leukemia and is associated with resistance to fludarabine. Blood 1996, 87, 1056–1063. [Google Scholar] [CrossRef]

| B-CLL Patients (n = 204) | Number (%) | |
|---|---|---|
| Gender | female | 81 (39.7) |
| male | 123 (60.3) | |
| Age a, years | 67 (40–93 ± 11) | |
| <65 | 78 (38.2) | |
| >65 | 112 (54.9) | |
| n.d | 14 (6.9) | |
| Stage of the disease (RAI) | 0 | 117 (57.3) |
| I | 48 (23.5) | |
| II | 14 (6.9) | |
| III | 2(1.0) | |
| IV | 5 (2.5) | |
| n.d | 18 (8.8) | |
| Binet stage | A | 163 (79.9) |
| B | 16 (7.8) | |
| C | 7 (3.5) | |
| n.d | 18 (8.8) | |
| Adenopathy | Yes | 65 (31.9) |
| No | 123 (60.3) | |
| n.d | 16 (7.8) | |
| Treatment | Yes | 85 (41.7) |
| No | 74 (36.3) | |
| n.d | 45 (22.0) | |
| Transplant | Yes | 15 (7.4) |
| No | 83 (40.7) | |
| n.d | 106 (51.9) | |
| Morphology | Typical | 118 (57.8) |
| Atypical | 61 (29.9) | |
| n.d | 25 (12.3) | |
| Status | Dead | 77 (37.7) |
| Alive | 40 (19.6) | |
| n.d | 87 (42.7) | |
| Cause of dead | Disease | 34 (44.2) |
| Other | 43 (55.8) | |
| Genetic lesions | Very low and low risk (del13q, NC, +12) | 136 (66.7) |
| Intermediated and high risk (del11q, del17p) | 18 (8.8) | |
| n.d | 50 (24.5) | |
| LDH a level, UI/L | 188 (100–1292 ± 158.032) | |
| Hb level a, g/dl | 187 (5.2–132 ± 8.86) | |
| Platelet count a, ×109/L | 183 (21–382 ± 66.85) | |
| Serumβ2microglobulin a, g/L | 181 (0.50–8.20 ± 1.28) | |
| Peripheral blood lymphocytosis count a, ×109/L | 186 (1.30–380.40 ± 45.09) | |
| WBC count a, ×109/L | 185 (4.30–42450 ± 52.16) | |
| CD38 expression | Negative (<20%) | 98 (48.0) |
| Positive (≥20%) | 74 (36.3) | |
| n.d | 32 (15.7) | |
| Zap-70 expression | Negative (<20%) | 49 (24.0) |
| Positive (≥20%) | 80 (39.3) | |
| n.d | 75 (36.7) | |
| IgVH genes | M | 43 (21.1) |
| UM | 7 (3.4) | |
| n.d | 154 (75.5) | |
| Gene | Chr | Chr Position | Ref SNP Number | Substitution | Minor Allele | Location | Taqman Assay |
|---|---|---|---|---|---|---|---|
| VEGFA | 6 | 43860514 | rs3025039 | C/T | T | 3′UTR | C_16198794_10 |
| VEGFA | 6 | 43837733 | rs1109324 | G/T | T | Promoter | C_8311589_10 |
| VEGFA | 6 | 43838622 | rs1547651 | A/T | T | Promoter | C_8311590_10 |
| VEGFA | 6 | 43831313 | rs833052 | A/C | A | Promoter | C_8311590_10 |
| VEGFR1 | 13 | - | - | C/T | T | Promoter | C_27837581_10 |
| bFGF | 4 | 123967536 | rs1449683 | C/T | T | Cds-syn | C_8837641_10 |
| Polymorphisms | Best Model 1 | Genotype | Controls (n = 476) | Cases (n = 224) | OR (95% CI) a | p-Value |
|---|---|---|---|---|---|---|
| rs3025039 VEGFA | A | C/C C/T T/T | 355 (75.4%) 106 (22.5%) 10 (2.1%) | 188 (83.9%) 34 (15.2%) 2 (0.9%) | 0.61 (0.42–0.89) | 0.0075 |
| rs1109324 VEGFA | A | G/G G/T T/T | 334 (70.9%) 127 (27.0%) 10 (2.1%) | 162 (75.4%) 51 (23.7%) 2 (0.9%) | 0.79 (0.56–1.10) | 0.1600 |
| rs1547651 VEGFA | A | A/A A/T T/T | 325 (69.8%) 138 (29.6%) 3 (0.6%) | 165 (73.7%) 54 (24.1%) 5 (2.2%) | 1.35 (0.98–1.88) | 0.0660 |
| rs833052 VEGFA | O | C/C-A/A C/A | 330 (72.1%) 128 (27.9%) | 141 (77.9%) 40 (22.1%) | 0.73 (0.49–1.10) | 0.1300 |
| rs1449683 bFGF | D | C/C C/T-T/T | 374 (90.1%) 41 (9.9%) | 175 (85.0%) 31 (15.0%) | 1.62 (0.98–-2.66) | 0.0630 |
| hcv 27837581 VEGFR1 | CC CT | 451 (94.7%) 25 (5.3%) | 217 (96.9%) 7 (3.1%) | 0.57 (0.24–1.35) | 0.1800 |
| Haplotype Association with B-CLL Risk (n = 670) | |||||||||
|---|---|---|---|---|---|---|---|---|---|
| rs3025039 | rs1109324 | rs1547651 | rs833052 | Group Control | Group B-CLL | Freq | OR (95% CI) | p-Value | |
| 1 | C | G | A | C | 0.5992 | 0.7333 | 0.6359 | 1.00 | |
| 2 | T | G | A | C | 0.113 | 0.0754 | 0.106 | 0.49 (0.31–0.79) | 0.0036 |
| 3 | C | T | T | C | 0.1229 | 0.0295 | 0.0946 | 0.17 (0.08–0.36) | <0.0001 |
| 4 | C | G | A | A | 0.1106 | 0.0342 | 0.0895 | 0.21 (0.10–0.41) | <0.0001 |
| 5 | C | T | T | A | 0.0228 | 0.0615 | 0.0354 | 1.93 (0.92–4.02) | 0.082 |
| Variant | Genotypes | Variable | OR (95% CI) | p-Value |
|---|---|---|---|---|
| rs3025039 | C/T-T/T | Hb level (a) | 3.91 (0.51–7.30) | 0.0200 |
| rs1449683 | C/T-T/T | Genetic risk | 4.46 (1.31–15.23) | 0.0250 |
| rs1547651 | A/A | Hb level (a) | 4.90 (2.24–7.57) | 4.00 × 10−4 |
| A/T | ||||
| T/T | ||||
| rs1547651 | A/A | Adenopathy (a) | 0.44 (0.21–0.92) | 0.0210 |
| A/T | ||||
| T/T | ||||
| rs1547651 | A/A | Binet stage | 0.13 (0.02–0.97) | 0.0059 |
| A/T | ||||
| T/T | ||||
| rs1547651 | A/A | RAI stage | 0.38 (0.18–0.79) | 0.0058 |
| A/T | ||||
| T/T | ||||
| rs1547651 | A/A | Genetic risk | 0.16 (0.02–1.22) | 0.0200 |
| A/T | ||||
| T/T | ||||
| rs1109324 | G/G | Genetic risk | 0.16 (0.02–1.21) | 0.0210 |
| G/T | ||||
| T/T |
© 2020 by the authors. Licensee MDPI, Basel, Switzerland. This article is an open access article distributed under the terms and conditions of the Creative Commons Attribution (CC BY) license (http://creativecommons.org/licenses/by/4.0/).
Share and Cite
Ballester, S.; Pineda, B.; Rodrigues, P.; Tormo, E.; Terol, M.J.; Eroles, P. Clinical Relevance of +936 C>T VEGFA and c.233C>T bFGF Polymorphisms in Chronic Lymphocytic Leukemia. Genes 2020, 11, 686. https://doi.org/10.3390/genes11060686
Ballester S, Pineda B, Rodrigues P, Tormo E, Terol MJ, Eroles P. Clinical Relevance of +936 C>T VEGFA and c.233C>T bFGF Polymorphisms in Chronic Lymphocytic Leukemia. Genes. 2020; 11(6):686. https://doi.org/10.3390/genes11060686
Chicago/Turabian StyleBallester, Sandra, Begoña Pineda, Patricia Rodrigues, Eduardo Tormo, María José Terol, and Pilar Eroles. 2020. "Clinical Relevance of +936 C>T VEGFA and c.233C>T bFGF Polymorphisms in Chronic Lymphocytic Leukemia" Genes 11, no. 6: 686. https://doi.org/10.3390/genes11060686
APA StyleBallester, S., Pineda, B., Rodrigues, P., Tormo, E., Terol, M. J., & Eroles, P. (2020). Clinical Relevance of +936 C>T VEGFA and c.233C>T bFGF Polymorphisms in Chronic Lymphocytic Leukemia. Genes, 11(6), 686. https://doi.org/10.3390/genes11060686

