GSK-3β at the Crossroads in Regulating Protein Synthesis and Lipid Deposition in Zebrafish
Abstract
1. Introduction
2. Materials and Methods
2.1. Animals and Experimental Conditions
2.2. Construction of the pEGFP-N1-GSK-3β Vector
2.3. Injection of the pEGFP-N1-GSK-3β Vector
2.4. RNA Extraction and Real-Time Quantitative Polymerase Chain Reaction
2.5. Western Blot Analysis
2.6. Assay the Content of Biochemical Index Related to Lipid Deposition in the Muscle
2.7. Detection the Content of Free Amino Acid in the Muscle of Zebrafish
2.8. Statistical Analysis
3. Results
3.1. Effect of the pEGFP-N1-GSK-3β Vector on the mRNA Expression of GSK-3β, β-Catenin, C/EBPα, and PPARγ in the Muscle of Zebrafish
3.2. Effect of the pEGFP-N1-GSK-3β Vector on the mRNA Expression of FAS, ACC, ACL, and HMGCR in the Muscle of Zebrafish
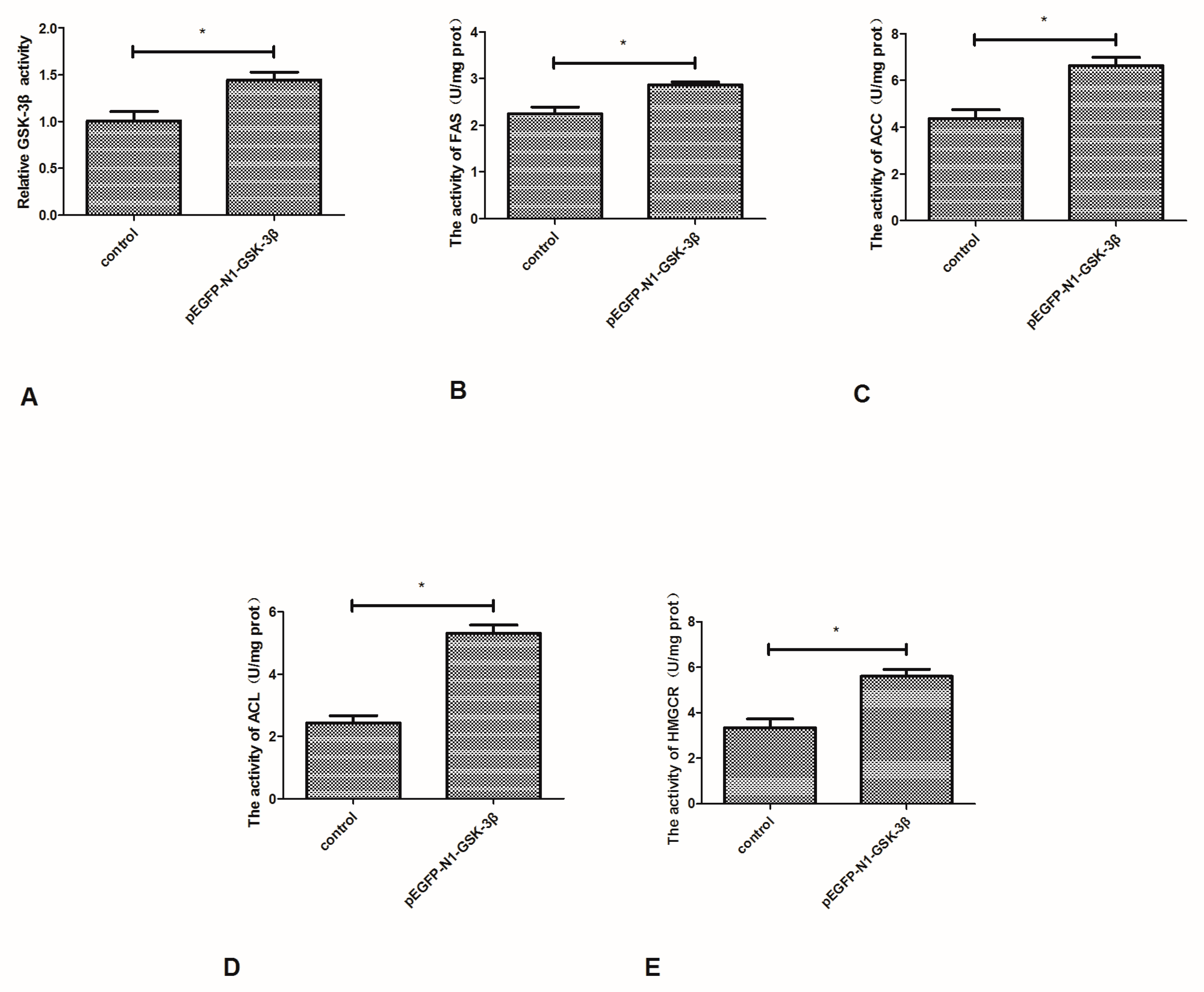
3.3. Effect of the pEGFP-N1-GSK-3β Vector on the Activity of GSK-3β, FAS, ACC, ACL, and HMGCR in the Muscle of Zebrafish
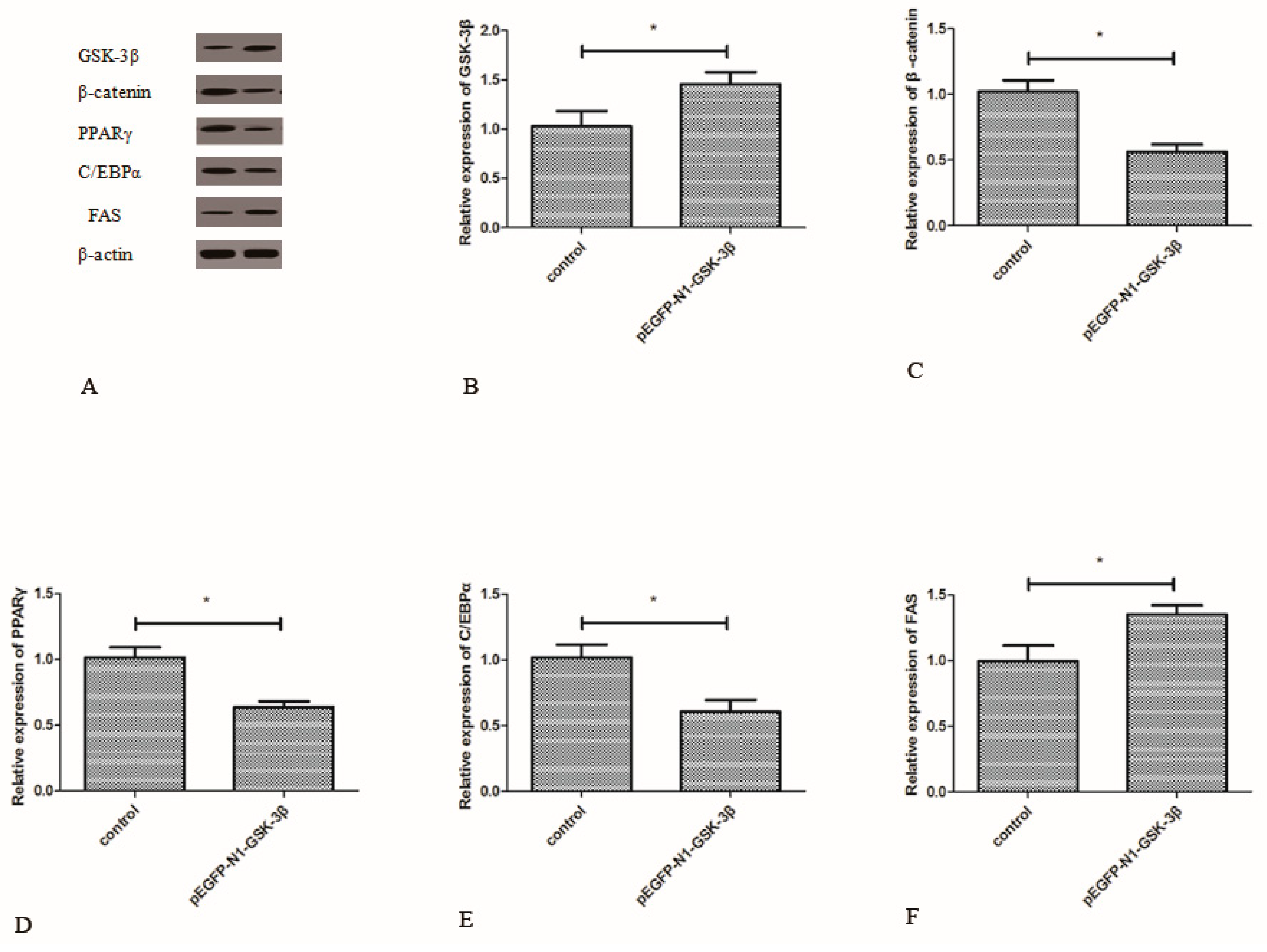
3.4. Effect of the pEGFP-N1-GSK-3β Vector on the Protein Expression of GSK-3β, β-Catenin, PPARγ, C/EBPα, and FAS in the Muscle of Zebrafish
3.5. Effect of the pEGFP-N1-GSK-3β Vector on the mRNA Expression of TSC2, mTOR, S6K1 and 4EBP1 in the Muscle of Zebrafish
3.6. Effect of the pEGFP-N1-GSK-3β Vector on the Protein Expression of TSC2, mTOR, S6K1, and 4EBP1 in the Muscle of Zebrafish
3.7. Effect of the pEGFP-N1-GSK-3β Vector on the Levels of TG, TC, and NEFA in the Muscle of Zebrafish
3.8. Effect of the pEGFP-N1-GSK-3β Vector on the Content of Free Amino Acids in the Muscle of Zebrafish
4. Discussion
5. Conclusions
Author Contributions
Funding
Conflicts of Interest
References
- Doble, B.W.; Woodgett, J.R. GSK-3: Tricks of the trade for a multitasking kinase. J. Cell. Sci. 2003, 116, 1175–1186. [Google Scholar] [CrossRef] [PubMed]
- Frame, S.; Cohen, P. GSK3 takes centre stage more than 20 years after its discovery. Biochem. J. 2001, 359, 1–16. [Google Scholar] [CrossRef] [PubMed]
- Salahshor, S.; Woodgett, J.R. The links between axin and carcinogenesis. J. Clin. Pathol. 2005, 58, 225–236. [Google Scholar] [CrossRef] [PubMed]
- Amit, S.; Hatzubai, A.; Birman, Y.; Andersen, J.S.; Ben-Shushan, E.; Mann, M.; Ben-Neriah, Y.; Alkalay, I. Axin-mediated CKI phosphorylation of β-catenin at Ser 45: A molecular switch for the Wnt pathway. Genes Dev. 2002, 16, 1066–1076. [Google Scholar] [CrossRef] [PubMed]
- Liu, C.; Li, Y.; Semenov, M.; Han, C.; Baeg, G.H.; Tan, Y.; Zhang, Z.; Lin, X.; He, X. Control of b-catenin phosphorylation/degradation by a dual-kinase mechanism. Cell 2002, 108, 837–847. [Google Scholar] [CrossRef]
- Zeng, X.; Tamai, K.; Doble, B.; Li, S.; Huang, H.; Habas, R.; Okamura, H.; Woodgett, J.; He, X. A dual-kinase mechanism for Wnt co-receptor phosphorylation and activation. Nature 2005, 438, 873–877. [Google Scholar] [CrossRef] [PubMed]
- van Noort, M.; Clevers, H. TCF transcription factors, mediators of Wnt-signaling in development and cancer. Dev. Biol. 2002, 244, 1–8. [Google Scholar] [CrossRef] [PubMed]
- Cutler, N.S.; Heitman, J.; Cardenas, M.E. TOR kinase homologs function in a signal transduction pathway that is conserved from yeast to mammals. Mol. Cell. Endocrinol. 1999, 155, 135–142. [Google Scholar] [CrossRef]
- Martin, K.A.; Blenis, J. Coordinate regulation of translation by the PI 3-kinase and mTOR pathways. Adv. Cancer Res. 2002, 86, 1–39. [Google Scholar] [PubMed]
- Ma, X.M.; Blenis, J. Molecular mechanisms of mTOR-mediated translational control. Nat. Rev. Mol. Cell Biol. 2009, 10, 307–318. [Google Scholar] [CrossRef] [PubMed]
- Hay, N.; Sonenberg, N. Upstream and downstream of mTOR. Genes Dev. 2004, 18, 1926–1945. [Google Scholar] [CrossRef] [PubMed]
- McDaniel, M.L.; Marshall, C.A.; Pappan, K.L.; Kwon, G. Metabolic and autocrine regulation of the mammalian target of rapamycin by pancreatic beta-cells. Diabetes 2002, 51, 2877–2885. [Google Scholar] [CrossRef] [PubMed]
- Bhaskar, P.T.; Hay, N. The two TORCs and Akt. Dev. Cell 2007, 12, 487–502. [Google Scholar] [CrossRef] [PubMed]
- Laplante, M.; Sabatini, D.M. mTOR signaling at a glance. J. Cell. Sci. 2009, 122, 3589–3594. [Google Scholar] [CrossRef] [PubMed]
- Alessi, D.R.; Pearce, L.R.; García-Martínez, J.M. New insights into mTOR signaling: mTORC2 and beyond. Sci. Signal 2009, 2, pe27. [Google Scholar] [CrossRef] [PubMed]
- Luo, J. Glycogen synthase kinase 3beta (GSK3beta) in tumorigenesis and cancer chemotherapy. Cancer Lett. 2009, 273, 194–200. [Google Scholar] [CrossRef] [PubMed]
- Dugo, L.; Collin, M.; Thiemermann, C. Glycogen synthase kinase 3β as a target for the therapy of shock and inflammation. Shock 2007, 27, 113–123. [Google Scholar] [CrossRef] [PubMed]
- Inoki, K.; Ouyang, H.; Zhu, T.; Lindvall, C.; Wang, Y.; Zhang, X.; Yang, Q.; Bennett, C.; Harada, Y.; Stankunas, K.; et al. TSC2 integrates Wnt and energy signals via a coordinated phosphorylation by AMPK and GSK3 to regulate cell growth. Cell 2006, 126, 955–968. [Google Scholar] [CrossRef] [PubMed]
- Buller, C.L.; Loberg, R.D.; Fan, M.H.; Zhu, Q.; Park, J.L.; Vesely, E.; Inoki, K.; Guan, K.L.; Brosius, F.C. 3rd. A GSK-3/TSC2/mTOR pathway regulates glucose uptake and GLUT1 glucose transporter expression. Am. J. Physiol. Cell Physiol. 2008, 295, C836–C843. [Google Scholar] [CrossRef] [PubMed]
- Hansen, E.; Fernandes, K.; Goldspink, G.; Butterworth, P.; Umeda, P.K.; Chang, K.C. Strong expression of foreign genes following direct injection into fish muscle. FEBS Lett. 1991, 290, 73–76. [Google Scholar] [CrossRef]
- Livak, K.J.; Schmittgen, T.D. Analysis of relative gene expression data using real time quantitative PCR and the 2−ΔΔCT method. Methods 2001, 25, 402–408. [Google Scholar] [CrossRef] [PubMed]
- Tian, J.; Wang, K.; Wang, X.; Wen, H.; Zhou, H.; Liu, C.; Mai, K.; He, G. Soybean saponin modulates nutrient sensing pathways and metabolism in zebrafish. Gen. Comp. Endocrinol. 2018, 257, 246–254. [Google Scholar] [CrossRef] [PubMed]
- Dambergs, N.; Odense, P.; Guilbault, R. Changes in free amino acids in skeletal muscle of cod (Gadus morhua) under conditions simulating gillnet fishing. J. Fish. Res. Board Can. 2011, 25, 935–942. [Google Scholar] [CrossRef]
- Li, Y.; Corradetti, M.N.; Inoki, K.; Guan, K.L. TSC2: Filling the GAP in the mTOR signaling pathway. Trends Biochem. Sci. 2004, 29, 32–38. [Google Scholar] [CrossRef] [PubMed]
- Terstappen, G.C.; Gaviraghi, G.; Caricasole, A. The Wnt signaling pathway as a target for the treatment of neurodegenerative disorders. IDrugs 2006, 9, 35–38. [Google Scholar] [PubMed]
- Fingar, D.C.; Salama, S.; Tsou, C.; Harlow, E.; Blenis, J. Mammalian cell size is controlled by mTOR and its downstream targets S6K1 and 4EBP1/eIF4E. Genes Dev. 2002, 16, 1472–1487. [Google Scholar] [CrossRef] [PubMed]
- Suryawan, A.; Torrazza, R.M.; Gazzaneo, M.C.; Orellana, R.A.; Fiorotto, M.L.; El-Kadi, S.W.; Srivastava, N.; Nguyen, H.V.; Davis, T.A. Enteral leucine supplementation increases protein synthesis in skeletal and cardiac muscles and visceral tissues of neonatal pigs through mTORC1-dependent pathways. Pediatr. Res. 2012, 71, 324–331. [Google Scholar] [CrossRef]
- Fern, E.B.; Garlick, P.J. The specific radioactivity of the tissue free amino acid pool as a basis for measuring the rate of protein synthesis in the rat in vivo. Biochem. J. 1974, 142, 413–419. [Google Scholar] [CrossRef] [PubMed]
- Martini, W.Z.; Chinkes, D.L.; Wolfe, R.R. The intracellular free amino acid pool represents tracer precursor enrichment for calculation of protein synthesis in cultured fibroblasts and myocytes. J. Nutr. 2004, 134, 1546–1550. [Google Scholar] [CrossRef] [PubMed]
- Davis, T.A.; Fiorotto, M.L. Regulation of muscle growth in neonates. Curr. Opin. Clin. Nutr. Metab. Care. 2009, 12, 78–85. [Google Scholar] [CrossRef] [PubMed]
- Wu, G.Y. Functional amino acids in nutrition and health. Amino Acids. 2013, 45, 407–411. [Google Scholar] [CrossRef] [PubMed]
- Davis, T.A.; Fiorotto, M.L.; Burrin, D.G.; Reeds, P.J.; Nguyen, H.V.; Beckett, P.R.; Vann, R.C.; O’Connor, P.M. Stimulation of protein synthesis by both insulin and amino acids is unique to skeletal muscle in neonatal pigs. Am. J. Physiol. Endocrinol. Metab. 2002, 282, E880–E890. [Google Scholar] [CrossRef] [PubMed]
- Escobar, J.; Frank, J.W.; Suryawan, A.; Nguyen, H.V.; Davis, T.A. Amino acid availability and age affect the leucine stimulation of protein synthesis and eIF4F formation in muscle. Am. J. Physiol. Endocrinol. Metab. 2007, 293, E1615–E1621. [Google Scholar] [CrossRef]
- Valenta, T.; Hausmann, G.; Basler, K. The many faces and functions of β-catenin. EMBO J. 2012, 31, 2714–2736. [Google Scholar] [CrossRef] [PubMed]
- Taelman, V.F.; Dobrowolski, R.; Plouhinec, J.L.; Fuentealba, L.C.; Vorwald, P.P.; Gumper, I.; Sabatini, D.D.; De Robertis, E.M. Wnt signaling requires sequestration of glycogen synthase kinase 3 inside multivesicular endosomes. Cell 2010, 143, 1136–1148. [Google Scholar] [CrossRef] [PubMed]
- Robinson, J.S.; Mead, J.F. Lipid absorption and deposition in rainbow trout (Salmo gairdnerii). Can. J. Biochem. 1973, 51, 1050–1058. [Google Scholar] [CrossRef] [PubMed]
- Sheridan, M.A. Lipid dynamics in fish: Aspects of absorption, transportation, deposition and mobilization. Comp. Biochem. Physiol. B Biochem. Mol. Biol. 1988, 90, 679–690. [Google Scholar] [CrossRef]
- Richard, N.; Kaushik, S.; Larroquet, L.; Panserat, S.; Corraze, G. Replacing dietary fish oil by vegetable oils has little effect on lipogenesis, lipid transport and tissue lipid uptake in rainbow trout (Oncorhynchus mykiss). Br. J. Nutr. 2006, 96, 299–309. [Google Scholar] [CrossRef] [PubMed]
- Davis, R.A.; Engelhorn, S.C.; Pangburn, S.H.; Weinstein, D.B.; Steinberg, D. Very low density lipoprotein synthesis and secretion by cultured rat hepatocytes. J. Biol. Chem. 1979, 254, 2010–2016. [Google Scholar] [PubMed]
- Prestwich, T.C.; Macdougald, O.A. Wnt/beta-catenin signaling in adipogenesis and metabolism. Curr. Opin. Cell Biol. 2007, 19, 612–617. [Google Scholar] [CrossRef] [PubMed]
- Behari, J.; Li, H.; Liu, S.; Stefanovic-Racic, M.; Alonso, L.; O’Donnell, C.P.; Shiva, S.; Singamsetty, S.; Watanabe, Y.; Singh, V.P.; et al. β-catenin links hepatic metabolic zonation with lipid metabolism and diet-induced obesity in mice. Am. J. Pathol. 2014, 184, 3284–3298. [Google Scholar] [CrossRef] [PubMed]
- Farmer, S.R. Transcriptional control of adipocyte formation. Cell Metab. 2006, 4, 263–273. [Google Scholar] [CrossRef] [PubMed]
- Shao, D.; Lazar, M.A. Peroxisome proliferator activated receptor gamma, CCAAT/enhancer-binding protein alpha, and cell cycle status regulate the commitment to adipocyte differentiation. J. Chem. Biol. 1997, 272, 21473–21478. [Google Scholar] [CrossRef]
- Gregoire, F.M.; Smas, C.M.; Sul, H.S. Understanding adipocyte differentiation. Physiol. Rev. 1998, 78, 783–809. [Google Scholar] [CrossRef] [PubMed]
- MacDougald, O.A.; Mandrup, S. Adipogenesis: Forces that tip the scales. Trends Endocrinol. Metab. 2002, 13, 5–11. [Google Scholar] [CrossRef]
- Kawai, M.; Mushiake, S.; Bessho, K.; Murakami, M.; Namba, N.; Kokubu, C.; Michigami, T.; Ozono, K. Wnt/Lrp/beta-catenin signaling suppresses adipogenesis by inhibiting mutual activation of PPARgamma and C/EBPalpha. Biochem. Biophys. Res. Commun. 2007, 363, 276–282. [Google Scholar] [CrossRef] [PubMed]









| Primer | Sequence (5′-3′) | Direction |
|---|---|---|
| GSK-3β-F1 | CTGGTGAGCAGTAGGGTG | Forward |
| GSK-3β-R1 | CGGATTCGTTCAAGACAA | Reverse |
| GSK-3β-F2 | CCGGAATTCGCCACCATGTCCGGTCGGCCCAGAACC | Forward |
| GSK-3β-R2 | CGGGGTACCCCGGTTGAGGTGTTAGCGGCGGAG | Reverse |
| Target Gene | Forward (5′-3′) | Reverse (5′-3′) | GenBank |
|---|---|---|---|
| GSK-3β | TCTGCTCACCGTTTCCTTTC | CTCCGACCCACTTAACTCCA | NM_131381.1 |
| TSC2 | TGGCCTCTCTCAGCTCTCTC | CAGGTGAAACAGACGCCATA | NM_001328401.1 |
| mTOR | TTGAATTTGAAGGCCACTCC | TAAGCAGACGTGAGCAGGTG | NM_001077211.2 |
| S6K1 | CATTTAGGTTTGCAGCACCA | AGTTGGCAGCTCTTCCAGTC | EF373681.1 |
| 4EBP1 | AACGGACAAGGTGCAAAGAC | GTGGTTGGAATTGCCTGACT | NM_199645.1 |
| β-catenin | GGAGCTCACCAGCTCTCTGT | TAGCTTGGGTCGTCCTGTCT | NM_001001889.1 |
| CEBP/α | CACAACAGCTCCAAGCAAGA | AATCCATGTAGCCGTTCAGG | BC063934.1 |
| PPARγ | CTGGACATCAAGCCCTTCTC | AGCTGTACATGTGCGTCAGG | NM_131467.1 |
| FAS | ACAATGCTGGTGACAGTGGA | TACGTGTGGGCAGTCTCAAG | XM_009306806.2 |
| ACC | AGGTGGTACGGATGGCTGCTC | GACGGTGCTGGACGCTGTTG | NM_001271308.1 |
| ACL | AGACCTGATCTCCAGCCTCACATC | ATGCCACTGTCGAATGCCTTACTG | BC076484.1 |
| HMGCR | ACGTCATCGGTTACATGCCAGTTC | GCCTTCAGTTGTCGCCATCGG | NM_001079977.2 |
| β-actin | CCGTGACATCAAGGAGAAGC | TACCGCAAGATTCCATACCC | AF057040.1 |
| Essential Amino Acids | Control (μg/g Wet Weight) | pEGFP-N1-GSK-3β Vector (μg/g Wet Weight) |
|---|---|---|
| Arg | 26.71 ± 0.46 | 24.22 ± 0.67 * |
| Lys | 133.92 ± 1.38 | 130.43 ± 0.97 * |
| His | 147.04 ± 2.36 | 139.47 ± 0.75 * |
| Phe | 12.21 ± 0.57 | 10.77 ± 0.55 * |
| Tyr | 38.77 ± 0.61 | 37.07 ± 0.81 * |
| Leu | 27.57 ± 1.17 | 24.32 ± 0.37 * |
| Ile | 12.70 ± 0.27 | 11.67 ± 0.57 * |
| Met | 9.12 ± 0.43 | 8.02 ± 0.38 * |
| Val | 38.38 ± 1.06 | 36.13 ± 0.31 * |
| Thr | 146.92 ± 2.10 | 140.12 ± 3.62 * |
© 2019 by the authors. Licensee MDPI, Basel, Switzerland. This article is an open access article distributed under the terms and conditions of the Creative Commons Attribution (CC BY) license (http://creativecommons.org/licenses/by/4.0/).
Share and Cite
Gu, Y.; Gao, L.; Han, Q.; Li, A.; Yu, H.; Liu, D.; Pang, Q. GSK-3β at the Crossroads in Regulating Protein Synthesis and Lipid Deposition in Zebrafish. Cells 2019, 8, 205. https://doi.org/10.3390/cells8030205
Gu Y, Gao L, Han Q, Li A, Yu H, Liu D, Pang Q. GSK-3β at the Crossroads in Regulating Protein Synthesis and Lipid Deposition in Zebrafish. Cells. 2019; 8(3):205. https://doi.org/10.3390/cells8030205
Chicago/Turabian StyleGu, Yaqi, Lili Gao, Qiang Han, Ao Li, Hairui Yu, Dongwu Liu, and Qiuxiang Pang. 2019. "GSK-3β at the Crossroads in Regulating Protein Synthesis and Lipid Deposition in Zebrafish" Cells 8, no. 3: 205. https://doi.org/10.3390/cells8030205
APA StyleGu, Y., Gao, L., Han, Q., Li, A., Yu, H., Liu, D., & Pang, Q. (2019). GSK-3β at the Crossroads in Regulating Protein Synthesis and Lipid Deposition in Zebrafish. Cells, 8(3), 205. https://doi.org/10.3390/cells8030205
