The Alteration of Circulating Invariant Natural Killer T, γδT, and Natural Killer Cells after Ischemic Stroke in Relation to Clinical Outcomes: A Prospective Case–Control Study
Abstract
1. Introduction
2. Materials and Methods
2.1. Study Participants
2.1.1. Inclusion/Exclusion Criteria
2.1.2. Stroke Patients
2.1.3. The Clinical Assessment and Laboratory Investigations
2.1.4. The Disease Controls
2.2. Flow Cytometry
2.3. Statistical Analysis
3. Results
3.1. Characteristics of Study Participants
3.2. Quantitative Assessment of iNKT, γδT, and NK Cells in Various Phases of Stroke
3.2.1. iNKT Cells
3.2.2. γδT Cells
3.2.3. NK Cells
3.3. Association of iNKT, γδT, and NK Cells with Clinical Status and Infarct Volume
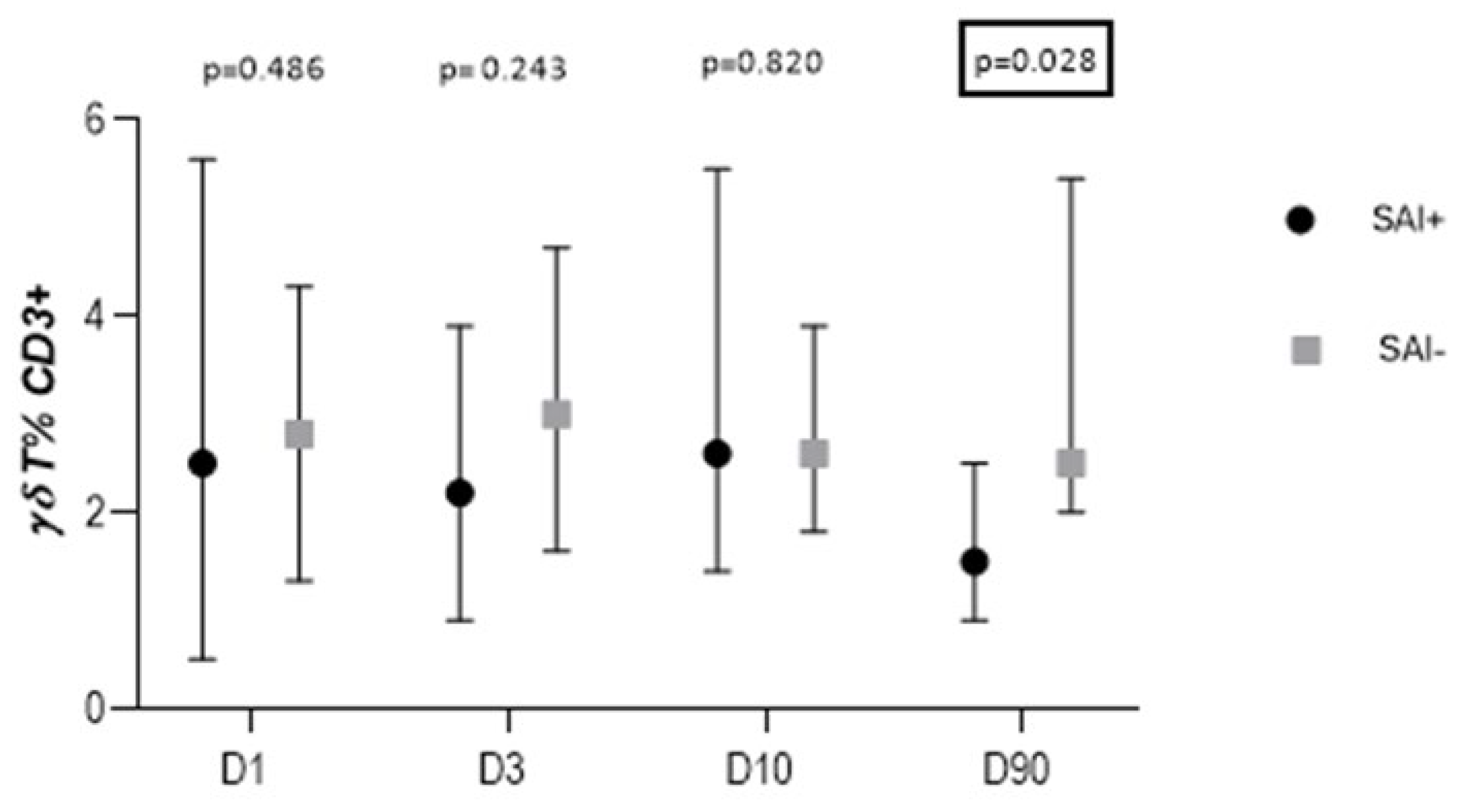
3.4. Stroke-Associated Infection
3.5. Quantitative Assessment of iNKT, Tγδ, and NK Cells in Relation to the Risk Factors of Ischemic Stroke
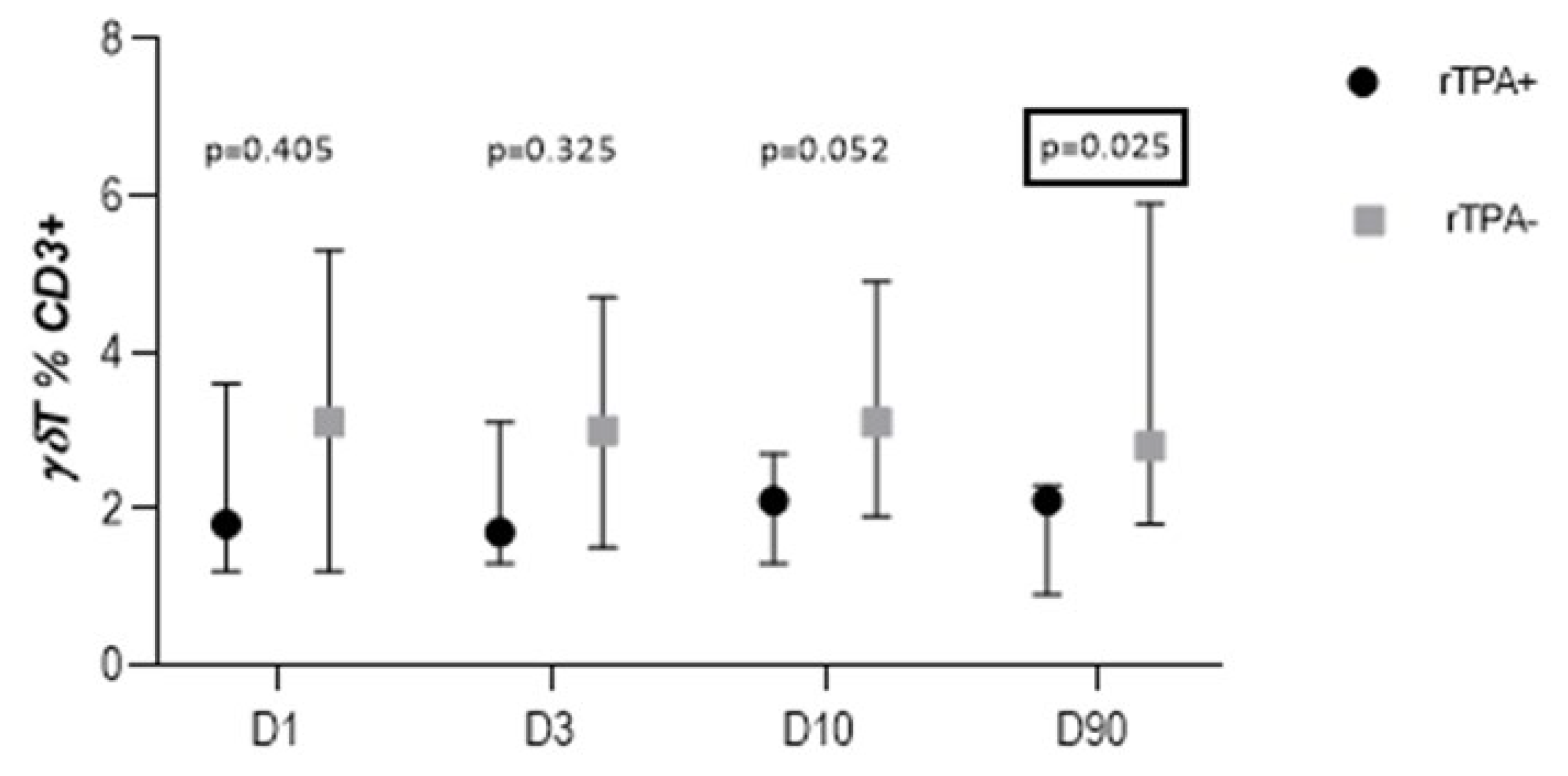
3.6. Quantitative Assessment of iNKT, Tγδ, and NK Cells in Relation to the Thrombolytic Treatment
4. Discussion
5. Conclusions
Supplementary Materials
Author Contributions
Funding
Institutional Review Board Statement
Informed Consent Statement
Data Availability Statement
Acknowledgments
Conflicts of Interest
References
- Westendorp, W.F.; Dames, C.; Nederkoorn, P.J.; Meisel, A. Immunodepression, Infections, and Functional Outcome in Ischemic Stroke. Stroke 2022, 53, 1438–1448. [Google Scholar] [CrossRef]
- Wong, C.H.Y.; Jenne, C.N.; Tam, P.P.; Léger, C.; Venegas, A.; Ryckborst, K.; Hill, M.D.; Kubes, P. Prolonged activation of invariant Natural Killer T cells and TH2-skewed immunity in stroke patients. Front. Neurol. 2017, 8, 6. [Google Scholar] [CrossRef] [PubMed]
- Ransohoff, R.M.; Engelhardt, B. The anatomical and cellular basis of immune surveillance in the central nervous system. Nat. Rev. Immunol. 2012, 12, 623–635. [Google Scholar] [CrossRef]
- Carson, M.J.; Doose, J.M.; Melchior, B.; Schmid, C.D.; Ploix, C.C. CNS immune privilege: Hiding in plain sight. Immunol. Rev. 2006, 213, 48–65. [Google Scholar] [CrossRef]
- Cui, Y.; Wan, Q. NKT cells in neurological diseases. Front. Cell. Neurosci. 2019, 13, 245. [Google Scholar] [CrossRef] [PubMed]
- Gelderblom, M.; Weymar, A.; Bernreuther, C.; Velden, J.; Arunachalam, P.; Steinbach, K.; Orthey, E.; Arumugam, T.V.; Leypoldt, F.; Simova, O.; et al. Neutralization of the IL-17 axis diminishes neutrophil invasion and protects from ischemic stroke. Blood 2012, 120, 3793–3802. [Google Scholar] [CrossRef] [PubMed]
- Hersh, J.; Yang, S.H. Glia–immune interactions post-ischemic stroke and potential therapies. Exp. Biol. Med. 2018, 243, 1302–1312. [Google Scholar] [CrossRef] [PubMed]
- Chen, C.; Ai, Q.D.; Chu, S.F.; Zhang, Z.; Chen, N.H. NK cells in cerebral ischemia. Biomed. Pharmacother. 2019, 109, 547–554. [Google Scholar] [CrossRef] [PubMed]
- Łukasik, M. Immunologiczne Aspekty Udaru Mózgu, W: Neuroimmunologia Kliniczna. wyd 2, pod Redakcją Jacka Losego; Wydawnistwo Czelej: Lublin, Poland, 2015; pp. 159–179. [Google Scholar]
- Li, P.; Gan, Y.; Mao, L.; Leak, R.; Chen, J.; Hu, X. The critical roles of immune cells in acute brain injuries. In Immunological Mechanisms and Therapies in Brain Injuries and Stroke; Springer Science Business Media: New York, NY, USA, 2014; pp. 9–25. [Google Scholar]
- Iadecola, C.; Buckwalter, M.S.; Anrather, J. Immune responses to stroke: Mechanisms, modulation, and therapeutic potential. J. Clin. Investig. 2020, 130, 2777–2788. [Google Scholar] [CrossRef]
- Gelderblom, M.; Leypoldt, F.; Steinbach, K.; Behrens, D.; Choe, C.U.; Siler, D.A.; Arumugam, T.V.; Orthey, E.; Gerloff, C.; Tolosa, E.; et al. Temporal and spatial dynamics of cerebral immune cell accumulation in stroke. Stroke 2009, 40, 1849–1857. [Google Scholar] [CrossRef]
- Spada, F.M.; Grant, E.P.; Peters, P.J.; Sugita, M.; Melián, A.; Leslie, D.S.; Lee, H.K.; van Donselaar, E.; Hanson, D.A.; Krensky, A.M.; et al. Self-recognition of CD1 by gamma/delta T cells: Implications for innate immunity. J. Exp. Med. 2000, 191, 937–948. [Google Scholar] [CrossRef]
- De Meyer, S.F.; Langhauser, F.; Haupeltshofer, S.; Kleinschnitz, C.; Casas, A.I. Thromboinflammation in Brain Ischemia: Recent Updates and Future Perspectives. Stroke 2022, 53, 1487–1499. [Google Scholar] [CrossRef]
- Gelderblom, M.; Arunachalam, P.; Magnus, T. γδ T cells as early sensors of tissue damage and mediators of secondary neurodegeneration. Front. Cell Neurosci. 2014, 8, 368. [Google Scholar] [CrossRef]
- Yilmaz, G.; Arumugam, T.V.; Stokes, K.Y.; Granger, D.N. Role of T lymphocytes and interferon-gamma in ischemic stroke. Circulation 2006, 113, 2105–2112. [Google Scholar] [CrossRef]
- Gill, D.; Veltkamp, R. Dynamics of T cell responses after stroke. Curr. Opin. Pharmacol. 2016, 26, 26–32. [Google Scholar] [CrossRef]
- Brea, D.; Poon, C.; Murphy, M.; Lubitz, G.; Iadecola, C.; Anrather, J. Ablation of nasalassociated lymphoid tissue does not affect focal ischemic brain injury in mice. PLoS ONE 2018, 13, e0205470. [Google Scholar] [CrossRef]
- Gelderblom, M.; Gallizioli, M.; Ludewig, P.; Thom, V.; Arunachalam, P.; Rissiek, B.; Bernreuther, C.; Glatzel, M.; Korn, T.; Arumugam, T.V.; et al. IL23 (Interleukin-23)-producing conventional dendritic cells control the detrimental IL-17 (interleukin-17) response in stroke. Stroke 2018, 49, 155–164. [Google Scholar] [CrossRef] [PubMed]
- Shichita, T.; Sugiyama, Y.; Ooboshi, H.; Sugimori, H.; Nakagawa, R.; Takada, I.; Iwaki, T.; Okada, Y.; Iida, M.; Cua, D.J.; et al. Pivotal role of cerebral interleukin-17–producing γδT cells in the delayed phase of ischemic brain injury. Nat. Med. 2009, 15, 946–950. [Google Scholar] [CrossRef] [PubMed]
- Wong, C.H.Y.; Jenne, C.N.; Lee, W.Y.; Leger, C.; Kubes, P. Functional innervation of hepatic iNKT cells is immunosuppressive following stroke. Science 2011, 334, 101–105. [Google Scholar] [CrossRef] [PubMed]
- Lehmann, J.; Härtig, W.; Seidel, A.; Füldner, C.; Hobohm, C.; Grosche, J.; Krueger, M.; Michalski, D. Inflammatory cell recruitment after experimental thromboembolic stroke in rats. Neuroscience 2014, 279, 139–154. [Google Scholar] [CrossRef] [PubMed]
- Wang, Z.K.; Xue, L.; Wang, T.; Wang, X.J.; Su, Z.Q. Infiltration of invariant natural killer T cells occur and accelerate brain infarction in permanent ischemic stroke in mice. Neurosci. Lett. 2016, 633, 62–68. [Google Scholar] [CrossRef] [PubMed]
- O’Connell, G.C.; Chang, J.H.C. Analysis of early stroke-induced changes in circulating leukocyte counts using transcriptomic deconvolution. Transl. Neurosci. 2018, 9, 161–166. [Google Scholar] [CrossRef] [PubMed]
- Jiang, C.; Kong, W.; Wang, Y.; Ziai, W.; Yang, Q.; Zuo, F.; Li, F.; Wang, Y.; Xu, H.; Li, Q.; et al. Changes in the cellular immune system and circulating inflammatory markers of stroke patients. Oncotarget 2017, 8, 3553–3567. [Google Scholar] [CrossRef] [PubMed]
- De Raedt, S.; De Vos, A.; Van Binst, A.M.; De Waele, M.; Coomans, D.; Buyl, R.; De Keyser, J. High natural killer cell number might identify stroke patients at risk of developing infections. Neurol. Neuroimmunol. Neuroinflam. 2015, 2, e71. [Google Scholar] [CrossRef]
- Lukasik, M.; Telec, M.; Kazmierski, R.; Wojtasz, I.; Andrzejewska-Gorczyńska, N.; Kociemba, W.; Dworacki, G.; Kozubski, W.P.; Frydrychowicz, M. Temporal changes in regulatory T cell subsets defined by the transcription factor Helios in stroke and their potential role in stroke-associated infection: A prospective case-control study. J. Neuroiimunol. 2023, 20, 275. [Google Scholar] [CrossRef]
- Adams, H.P., Jr.; Bendixen, B.H.; Kappelle, L.J.; Biller, J.; Love, B.B.; Gordon, D.L.; Marsh, E.E., 3rd. Classification of subtype of acute ischaemic stroke Definitions for use in a multicenter clinical trial. Stroke 1993, 24, 35–41. [Google Scholar] [CrossRef]
- Zhou, C.; Rao, W.; Zhou, X.; He, D.; Li, Z.; Dashtsoodol, N.; Ren, Y. Alteration of circulating unconventional T cells in cerebral ischemia: An observational study. Sci. Rep. 2022, 12, 10078. [Google Scholar] [CrossRef]
- Banerjee, A.; McCullough, L.D. Sex-Specific Immune Responses in Stroke. Stroke 2022, 53, 1449–1459. [Google Scholar] [CrossRef]
- Benakis, C.; Brea, D.; Caballero, S.; Faraco, G.; Moore, J.; Murphy, M.; Sita, G.; Racchumi, G.; Ling, L.; Pamer, E.G.; et al. Commensal microbiota affects ischemic stroke outcome by regulating intestinal γδ T cells. Nat. Med. 2016, 22, 516–523. [Google Scholar] [CrossRef] [PubMed]
- Adamski, M.G.; Li, Y.; Wagner, E.; Yu, H.; Seales-Bailey, C.; Durkin, H.; Hao, Q.; Soper, S.A.; Murphy, M.; Baird, A.E. Pre-existing hypertension dominates γδT cell reduction in human ischemic stroke. PLoS ONE 2014, 9, e97755. [Google Scholar] [CrossRef] [PubMed]
- Zhang, Y.; Gao, Z.; Wang, D.; Zhang, T.; Sun, B.; Mu, L.; Wang, J.; Liu, Y.; Kong, Q.; Liu, X.; et al. Accumulation of natural killer cells in ischemic brain tissues and the chemotactic effect of IP-10. Neuroinflammation 2014, 11, 79. [Google Scholar] [CrossRef] [PubMed]
- Drummond, G.R.; Vinh, A.; Guzik, T.J.; Sobey, C.G. Immune mechanisms of hypertension. Nat. Rev. Immunol. 2019, 19, 517–532. [Google Scholar] [CrossRef] [PubMed]
- Rattik, S.; Engelbertsen, D.; Wigren, M.; Ljungcrantz, I.; Östling, G.; Persson, M.; Fredrikson, G.N.; Bengtsson, E.; Nilsson, J.; Björkbacka, H. Elevated circulating effector memory T cells but similar levels of regulatory T cells in patients with type 2 diabetes mellitus and cardiovascular disease. Diab. Vasc. Dis. Res. 2018, 16, 270–280. [Google Scholar] [CrossRef]
- Goto, H.; Fujisawa, H.; Oka, F.; Nomura, S.; Kajiwara, K.; Kato, S.; Fujii, M.; Maekawa, T.; Suzuki, M. Neurotoxic effects of exogenous recombinan tissue-type plasminogen activator on the normal rat brain. J. Neurotrauma 2007, 24, 745–752. [Google Scholar] [CrossRef] [PubMed]
- Dashtsoodol, N.; Bortoluzzi, S.; Schmidt-Supprian, M. T cell receptor expression timing and signal strength in the functional differentiation of invariant natural killer T cells. Front. Immunol. 2019, 10, 841. [Google Scholar] [CrossRef]
- Gan, Y.; Liu, Q.; Wu, W.; Yin, J.-X.; Bai, X.-F.; Shen, R.; Wang, Y.; Chen, J.; La Cava, A.; Poursine-Laurent, J.; et al. Ischemic neurons recruit natural killer cells that accelerate brain infarction. Proc. Natl. Acad. Sci. USA 2014, 111, 2704–2709. [Google Scholar] [CrossRef] [PubMed]
- Vogelgesang, A.; Witt, C.; Heuer, C.; Schulze, J.; Gellrich, J.; von Sarnowski, B.; Langner, S.; Dressel, A.; Ruhnau, J. Clinical improvement following stroke promptly reverses post-stroke cellular immune alterations. Front. Neurol. 2019, 10, 414. [Google Scholar] [CrossRef]
- Haeusler, K.G.; Schmidt, W.U.H.; Föhring, F.; Meisel, C.; Helms, T.; Jan Jungehulsing, G.; Nolte, C.H.; Schmolke, K.; Wegner, B.; Meisel, A.; et al. Cellular immunodepression preceding infectious complications after acute ischemic stroke in humans. Cerebrovasc. Dis. 2008, 25, 50–58. [Google Scholar] [CrossRef]
- Urra, X.; Cervera, Á.; Villamor, N.; Planas, A.M.; Chamorro, Á. Harms and benefits of lymphocyte subpopulations in patients with acute stroke. Neuroscience 2009, 158, 1174–1183. [Google Scholar] [CrossRef] [PubMed]
- Yan, J.; Greer, J.M.; Etherington, K.; Cadigan, G.P.; Cavanagh, H.; Henderson, R.D.; O’Sullivan, J.D.; Pandian, J.D.; Read, S.J.; McCombe, P.A. Immune activation in the peripheral blood of patients with acute ischemic stroke. J. Neuroimmunol. 2009, 206, 112–117. [Google Scholar] [CrossRef] [PubMed]
- Xiao, J.; Qiu, Q.; Qin, C.; Tao, R.; Qiao, S.; Chen, M.; Pan, D.; Tian, D. Dynamic changes of peripheral blood lymphocyte subsets in acute ischemic stroke and prognostic value. Brain Behav. 2020, 11, e01919. [Google Scholar] [CrossRef] [PubMed]
- Kossmann, S.; Schwenk, M.; Hausding, M.; Karbach, S.H.; Schmidgen, M.I.; Brandt, M.; Knorr, M.; Hu, H.; Kröller-Schön, S.; Schönfelder, T.; et al. Angiotensin II- induced vascular dysfunction depends on interferon- gamma-driven immune cell recruitment and mutual activation of monocytes and NK-cells. Arterioscler. Thromb. Vasc. Biol. 2013, 33, 1313–1319. [Google Scholar] [CrossRef] [PubMed]








| Stroke Patients D1 N = 52 | Disease Controls N = 34 | p-Value | |
|---|---|---|---|
| Age, years | 69 (±12) | 68 (±13) | 0.66 |
| BMI (kg/m2) | 25.4 (23.6–28.4) | 27.0 (25.1–31.1) | 0.37 |
| Females, n (%) | 25 (48) | 13 (38) | 0.39 |
| Hypertension, n (%) | 42 (81) | 30 (88) | 0.56 |
| Diabetes, n (%) | 10 (19) | 6 (18) | 0.99 |
| Ischemic heart disease, n (%) | 19 (37) | 14 (41) | 0.82 |
| Atrial fibrillation, n (%) | 20 (39) | 3 (9) | <0.01 |
| Hyperlipidemia (%) | 16 (31) | 12 (35) | 0.81 |
| Smoking, n (%) | 18 (35) | 7 (21) | 0.23 |
| Treatment, n (%) | |||
| Thrombolysis | 16 (31) | - | |
| Mechanical thrombectomy | 0 | - | |
| Antiplatelet drugs | 45 (87) | 34 (100) | 0.72 |
| Anticoagulant | 7 (14) | 0 | 0.04 |
| ACEI | 20 (39) | 17 (50) | 0.37 |
| Diuretics | 23 (44) | 12 (35) | 0.51 |
| CCB | 22 (42) | 17 (50) | 0.51 |
| β-blockers | 9 (17) | 8 (24) | 0.58 |
| ARB | 7 (14) | 1 (3) | 0.14 |
| Statins | 14 (27) | 15 (44) | 0.11 |
| Hypoglycemics | 8 (15) | 4 (13) | 0.78 |
| Insulin | 3 (6) | 3 (9) | 0.68 |
| Stroke etiology (TOAST classification), n (%) | |||
| LVD | 13 (25) | - | - |
| SVD | 12 (23) | - | - |
| CE | 22 (42) | - | - |
| OE | 5 (10) | - | - |
| UE | 0 | - | - |
| Stroke location, n (%) | |||
| TACI | 6 (12) | - | - |
| PAC | 22 (42) | - | - |
| POCI | 13 (27) | - | - |
| LACI | 10 (8) | - | - |
| Stroke lesion volume, mL | |||
| Day 1 | 2.1 (0.3–11.2) | - | - |
| Day 90 | 1.0 (0.4–4.7) | - | - |
| Stroke D1 N = 52 | Stroke D3 N = 52 | Stroke D10 N = 51 | Stroke D90 N = 33 | Disease Control Group N = 34 | pD1 vs. DC | pD3 vs. DC | pD10 vs. DC | pD90 vs. DC | |
|---|---|---|---|---|---|---|---|---|---|
| WBCs × 103/µl | 7.4 (5.8–10.6) | 7.6 (5.7–10.2) | 7.2 (5.9–8.1) | 6.8 (5.6–7.7) | 6.8 (5.7–8.4) | 0.12 | 0.28 | 0.82 | 0.45 |
| Lymphocytes × 103/µL | 1.7 ± 0.9 | 2.0 ± 0.9 | 1.8 ± 0.7 | 1.9 ± 0.7 | 2.3 ± 1.2 | 0.008 | 0.014 | 0.024 | 0.07 |
| Lymphocytes % | 21.5 ± 11.6 | 25.3 ± 10.9 | 25.8 ± 10.2 | 28 ± 7.5 | 31.3 ± 10 | <0.0001 | 0.018 | 0.029 | 0.16 |
| NK (cells/μL) | 183 (106–262) | 188 (122–288) | 182 (97.3–273) | 181 (114–317) | 171 (103–293) | 0.884 | 0.682 | 0.923 | 0.504 |
| iNKT (cells/μL) | 7.7 (4.4–13.1) | 10.1 (6.3–16.6) | 8.0 (5.3–12.8) | 7.3 (4.5–14.2) | 7.0 (3.3–11.9) | 0.534 | 0.045 | 0.380 | 0.769 |
| γδT (cells/µL) | 311 (224–476) | 382 (140–611) | 306 (135–462) | 390 (211–480) | 457 (200–724) | 0.026 | 0.102 | 0.015 | 0.208 |
| γδT Vδ1 (cells/µL) | 4.0 (1.6–10.3) | 5.1 (1.3–10.7) | 5.6 (1.8–9.1) | 4.9 (2.9–12.1) | 3.8 (2.2–9.1) | 0.631 | 0.772 | 0.733 | 0.572 |
| γδT Vδ2 (cells/µL) | 8.2 (3.9–16.8) | 10.5 (4.1–26.0) | 7.4 (2.9–16.9) | 18.9 (3.7–32.1) | 12.5 (4.9–22.5) | 0.316 | 0.932 | 0.126 | 0.415 |
| SAI+ N = 25 | SAI− N = 27 | p Value | |
|---|---|---|---|
| Age, years | 73 ± 13 | 66 ± 12 | 0.24 |
| Sex, M/F, n | 12/13 | 14/12 | 0.76/0.83 |
| Time from stroke onset to blood sampling on D1, hours | 18.5 (12−22) | 17 (12−21) | 0.57 |
| CRP D1, mg/L | 7.5 (6.1−27.5) | 3.6 (1.3−6.4) | 0.004 |
| CRP D3 | 17.3 (7.9−69.5) | 3.5 (1.2−6.5) | <0.001 |
| CRP D10 | 20.7 (2.8−45.1) | 2.5 (1.3−5.1) | 0.002 |
| CRP D90 | 3.5 (1.4−5.3) | 2.3 (1.1−3.8) | 0.21 |
| WBCs D1, ×103/µL | 10.6 ± 3.6 | 7.6 ± 2.5 | <0.0001 |
| WBCs D3 | 10.7 ± 5.3 | 6.8 ± 1.6 | <0.00001 |
| WBCs D10 | 9.1 ± 3.9 | 6.7 ± 1.5 | 0.002 |
| WBCs D90 | 7.1 ± 2.0 | 7.0 ± 0.9 | 0.63 |
| Lymphocytes D1, % | 17.0 ± 10.2 | 25.4 ± 8.6 | <0.001 |
| Lymphocytes D3 | 16.8 ± 6.9 | 27.7 ± 8.7 | <0.0001 |
| Lymphocytes D10 | 19.1 ± 10.4 | 27.4 ± 8.7 | 0.006 |
| Lymphocytes D90 | 27.1 ±7.3 | 28.9 ± 8.4 | 0.91 |
| NK% CD3 D1, % | 14.4 (10.2−20.2) | 13.6 (9.9−17.5) | 0.68 |
| NK% CD3 D3 | 14.6 (11.6−20.1) | 13.9 (8.1−17.0) | 0.49 |
| NK% CD3 D10 | 12.4 (9.4−17.3) | 11.4 (7.8−18.6) | 0.55 |
| NK% CD3 D90 | 17.0 (13.5−21.4) | 13.8 (8.1−20.9) | 0.57 |
| iNKT % D1, % | 0.8 (0.5−1.9) | 1.0 (0.6−1.8) | 0.33 |
| iNKT % D3 | 0.9 (0.7−1.8) | 1.1 (0.7−1.7) | 0.81 |
| iNKT % D10 | 1.2 (1.0−1.7) | 1.0 (0.5−1.6) | 0.12 |
| iNKT % D90 | 1.0 (0.7−1.4) | 0.8 (0.6−1.8) | 0.85 |
| γδT % D1, % | 2.5 (0.5−5.6) | 2.8 (1.3−4.3) | 0.48 |
| γδT % D3 | 2.2 (0.9−3.9) | 3.0 (1.6−4.7) | 0.24 |
| γδT % D10 | 2.6 (1.4−5.5) | 2.6 (1.8−3.9) | 0.82 |
| γδT % D90 | 1.5 (0.9−2.5) | 2.5 (2.0−5.4) | 0.02 |
| NIHSS D1, pts | 9 (5−19) | 3 (1−6) | 0.001 |
| NIHSS D3 | 13 (5−25) | 2 (1−4) | <0.001 |
| NIHSS D10 | 13 (2−20) | 1 (0−2) | <0.001 |
| NIHSS D90 | 4 (2−6) | 1 (0−3) | 0.15 |
| Stroke volume D1, mL | 5.6 (0.2−25) | 2.8 (0.5−9.5) | 0.45 |
| Stroke volume D90 | 1 (1−25) | 1 (0.1−2.7) | 0.76 |
Disclaimer/Publisher’s Note: The statements, opinions and data contained in all publications are solely those of the individual author(s) and contributor(s) and not of MDPI and/or the editor(s). MDPI and/or the editor(s) disclaim responsibility for any injury to people or property resulting from any ideas, methods, instructions or products referred to in the content. |
© 2024 by the authors. Licensee MDPI, Basel, Switzerland. This article is an open access article distributed under the terms and conditions of the Creative Commons Attribution (CC BY) license (https://creativecommons.org/licenses/by/4.0/).
Share and Cite
Frydrychowicz, M.; Telec, M.; Anioła, J.; Kazmierski, R.; Chowaniec, H.; Dworacki, G.; Wojtasz, I.; Kozubski, W.; Łukasik, M. The Alteration of Circulating Invariant Natural Killer T, γδT, and Natural Killer Cells after Ischemic Stroke in Relation to Clinical Outcomes: A Prospective Case–Control Study. Cells 2024, 13, 1401. https://doi.org/10.3390/cells13161401
Frydrychowicz M, Telec M, Anioła J, Kazmierski R, Chowaniec H, Dworacki G, Wojtasz I, Kozubski W, Łukasik M. The Alteration of Circulating Invariant Natural Killer T, γδT, and Natural Killer Cells after Ischemic Stroke in Relation to Clinical Outcomes: A Prospective Case–Control Study. Cells. 2024; 13(16):1401. https://doi.org/10.3390/cells13161401
Chicago/Turabian StyleFrydrychowicz, Magdalena, Magdalena Telec, Jacek Anioła, Radosław Kazmierski, Hanna Chowaniec, Grzegorz Dworacki, Izabela Wojtasz, Wojciech Kozubski, and Maria Łukasik. 2024. "The Alteration of Circulating Invariant Natural Killer T, γδT, and Natural Killer Cells after Ischemic Stroke in Relation to Clinical Outcomes: A Prospective Case–Control Study" Cells 13, no. 16: 1401. https://doi.org/10.3390/cells13161401
APA StyleFrydrychowicz, M., Telec, M., Anioła, J., Kazmierski, R., Chowaniec, H., Dworacki, G., Wojtasz, I., Kozubski, W., & Łukasik, M. (2024). The Alteration of Circulating Invariant Natural Killer T, γδT, and Natural Killer Cells after Ischemic Stroke in Relation to Clinical Outcomes: A Prospective Case–Control Study. Cells, 13(16), 1401. https://doi.org/10.3390/cells13161401

