Lacking Immunotherapy Biomarkers for Biliary Tract Cancer: A Comprehensive Systematic Literature Review and Meta-Analysis
Abstract
:1. Introduction
2. Methods
2.1. Objectives
2.2. Search Strategies
2.3. Study Eligibility
2.4. Quality Assessment and Evaluation of the Risk of Bias
2.5. Statistical Analysis
3. Results
Selection of the Studies
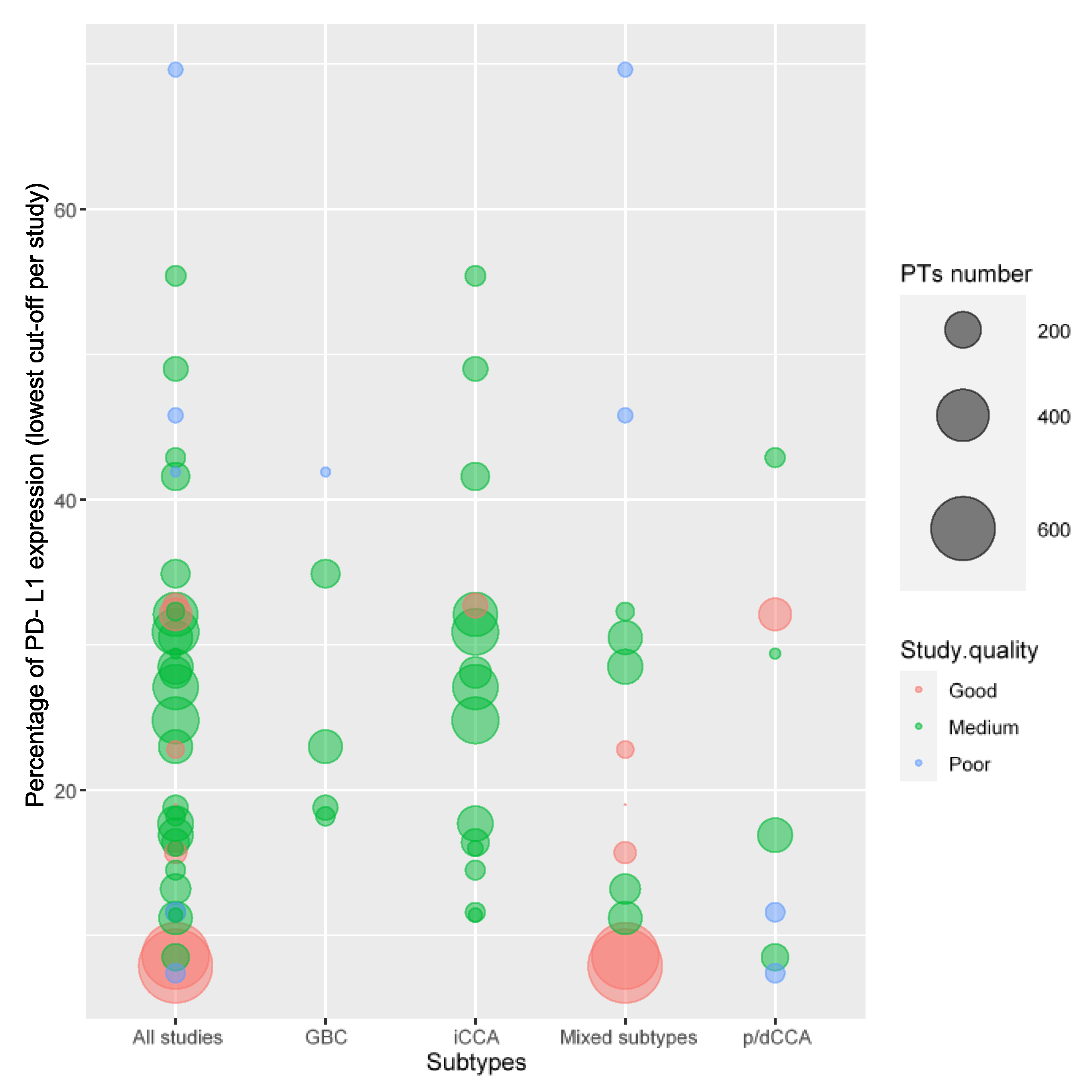
4. PD-L1
5. TMB
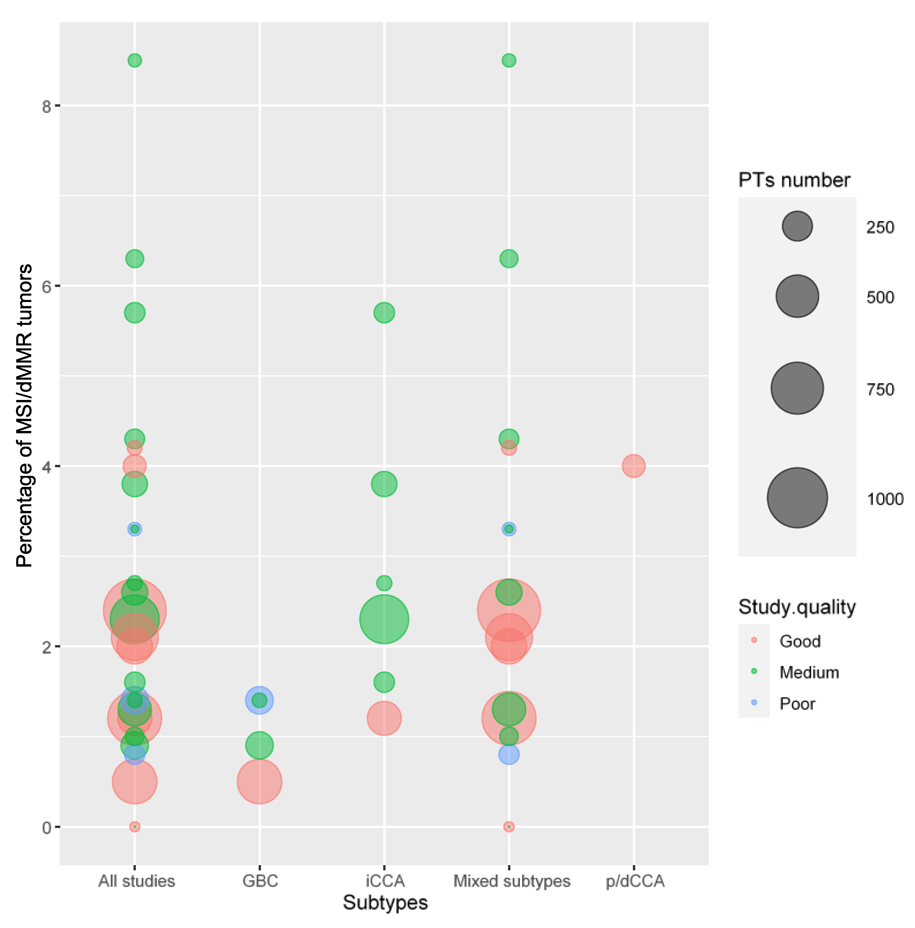
6. MSI/dMMR
7. Discussion
Supplementary Materials
Author Contributions
Funding
Acknowledgments
Conflicts of Interest
Abbreviations
| AVC | ampulla of Vater cancer |
| BTC | biliary tract cancer |
| CCA | cholangiocarcinoma |
| dCCA | distal cholangiocarcinoma |
| GBC | gallbladder cancer |
| IHC | immunohistochemistry |
| iCCA | intrahepatic cholangiocarcinoma |
| MSI | microsatellite instability |
| OS | overall survival |
| pCCA | perihilar cholangiocarcinoma |
| p/dCCA | perihilar–distal cholangiocarcinoma |
| PFS | progression-free survival |
| TILs | tumor-infiltrating lymphocytes |
| TMB-H | tumor mutation burden—high |
References
- Razumilava, N.; Gores, G.J. Cholangiocarcinoma. Lancet 2014, 383, 2168–2179. [Google Scholar] [CrossRef] [PubMed]
- Altekruse, S.F.; Petrick, J.L.; Rolin, A.I.; Cuccinelli, J.E.; Zou, Z.; Tatalovich, Z.; McGlynn, K.A. Geographic Variation of Intrahepatic Cholangiocarcinoma, Extrahepatic Cholangiocarcinoma, and Hepatocellular Carcinoma in the United States. PLoS ONE 2015, 10, e0120574. [Google Scholar] [CrossRef] [PubMed]
- Khan, S.A.; Tavolari, S.; Brandi, G. Cholangiocarcinoma: Epidemiology and Risk Factors. Liver Int. 2019, 39, 19–31. [Google Scholar] [CrossRef] [PubMed]
- Center for Drug Evaluation and Research; FDA D.I.S.C.O. Burst Edition: FDA Approval of Imfinzi (Durvalumab) for Adult Patients with Locally Advanced or Metastatic Biliary Tract Cancer; FDA: Silver Spring, MD, USA, 2022. [Google Scholar]
- Oh, D.-Y.; Ruth, H.A.; Qin, S.; Chen, L.-T.; Okusaka, T.; Vogel, A.; Kim, J.W.; Suksombooncharoen, T.; Ah, L.M.; Kitano, M.; et al. Durvalumab plus Gemcitabine and Cisplatin in Advanced Biliary Tract Cancer. NEJM Evid. 2022, 1, EVIDoa2200015. [Google Scholar] [CrossRef]
- Kelley, R.K.; Ueno, M.; Yoo, C.; Finn, R.S.; Furuse, J.; Ren, Z.; Yau, T.; Klümpen, H.-J.; Chan, S.L.; Ozaka, M.; et al. Pembrolizumab in Combination with Gemcitabine and Cisplatin Compared with Gemcitabine and Cisplatin Alone for Patients with Advanced Biliary Tract Cancer (KEYNOTE-966): A Randomised, Double-Blind, Placebo-Controlled, Phase 3 Trial. Lancet 2023, 401, 1853–1865. [Google Scholar] [CrossRef]
- Yao, W.-Y.; Gong, W. Immunotherapy in Cholangiocarcinoma: From Concept to Clinical Trials. Surg. Pract. Sci. 2021, 5, 100028. [Google Scholar] [CrossRef]
- Sharma, P.; Hu-Lieskovan, S.; Wargo, J.A.; Ribas, A. Primary, Adaptive, and Acquired Resistance to Cancer Immunotherapy. Cell 2017, 168, 707–723. [Google Scholar] [CrossRef]
- Gopalakrishnan, V.; Helmink, B.A.; Spencer, C.N.; Reuben, A.; Wargo, J.A. The Influence of the Gut Microbiome on Cancer, Immunity, and Cancer Immunotherapy. Cancer Cell 2018, 33, 570–580. [Google Scholar] [CrossRef]
- Liu, X.; Guo, C.-Y.; Tou, F.-F.; Wen, X.-M.; Kuang, Y.-K.; Zhu, Q.; Hu, H. Association of PD-L1 Expression Status with the Efficacy of PD-1/PD-L1 Inhibitors and Overall Survival in Solid Tumours: A Systematic Review and Meta-Analysis. Int. J. Cancer 2020, 147, 116–127. [Google Scholar] [CrossRef]
- Akhtar, M.; Rashid, S.; Al-Bozom, I.A. PD−L1 Immunostaining: What Pathologists Need to Know. Diagn. Pathol. 2021, 16, 94. [Google Scholar] [CrossRef]
- Ahn, S.; Lee, Y.; Kim, J.-W.; Lee, J.-C.; Hwang, J.-H.; Yoon, Y.-S.; Cho, J.Y.; Han, H.-S.; Choi, Y.; Kim, H. Programmed Cell Death Ligand-1 (PD-L1) Expression in Extrahepatic Biliary Tract Cancers: A Comparative Study Using 22C3, SP263 and E1L3N Anti-PD-L1 Antibodies. Histopathology 2019, 75, 526–536. [Google Scholar] [CrossRef] [PubMed]
- Ma, K.; Wei, X.; Dong, D.; Wu, Y.; Geng, Q.; Li, E. PD-L1 and PD-1 Expression Correlate with Prognosis in Extrahepatic Cholangiocarcinoma. Oncol. Lett. 2017, 14, 250–256. [Google Scholar] [CrossRef] [PubMed]
- Xie, Q.; Wang, L.; Zheng, S. Prognostic and Clinicopathological Significance of PD-L1 in Patients with Cholangiocarcinoma: A Meta-Analysis. Dis. Markers 2020, 2020, e1817931. [Google Scholar] [CrossRef] [PubMed]
- Lei, C.; Peng, X.; Gong, X.; Fan, Y.; Wu, S.; Liu, N.; Li, L.; Huang, J.; Zheng, G.; Long, Z. Prognostic Role of Programmed Death-Ligand 1 Expression in Patients with Biliary Tract Cancer: A Meta-Analysis. Aging 2019, 11, 12568–12580. [Google Scholar] [CrossRef] [PubMed]
- Mocan, L.P.; Craciun, R.; Grapa, C.; Melincovici, C.S.; Rusu, I.; Al Hajjar, N.; Sparchez, Z.; Leucuta, D.; Ilies, M.; Sparchez, M.; et al. PD-L1 Expression on Immune Cells, but Not on Tumor Cells, Is a Favorable Prognostic Factor for Patients with Intrahepatic Cholangiocarcinoma. Cancer Immunol. Immunother. 2023, 72, 1003–1014. [Google Scholar] [CrossRef] [PubMed]
- Palmeri, M.; Mehnert, J.; Silk, A.W.; Jabbour, S.K.; Ganesan, S.; Popli, P.; Riedlinger, G.; Stephenson, R.; de Meritens, A.B.; Leiser, A.; et al. Real-World Application of Tumor Mutational Burden-High (TMB-High) and Microsatellite Instability (MSI) Confirms Their Utility as Immunotherapy Biomarkers. ESMO Open 2022, 7, 100336. [Google Scholar] [CrossRef]
- Kroemer, G.; Galassi, C.; Zitvogel, L.; Galluzzi, L. Immunogenic Cell Stress and Death. Nat. Immunol. 2022, 23, 487–500. [Google Scholar] [CrossRef]
- Wang, P.; Chen, Y.; Wang, C. Beyond Tumor Mutation Burden: Tumor Neoantigen Burden as a Biomarker for Immunotherapy and Other Types of Therapy. Front. Oncol. 2021, 11, 672677. [Google Scholar] [CrossRef]
- Valero, C.; Lee, M.; Hoen, D.; Zehir, A.; Berger, M.F.; Seshan, V.E.; Chan, T.A.; Morris, L.G.T. Response Rates to Anti–PD-1 Immunotherapy in Microsatellite-Stable Solid Tumors With 10 or More Mutations per Megabase. JAMA Oncology 2021, 7, 739–743. [Google Scholar] [CrossRef]
- Center for Drug Evaluation and Research; FDA. Approves Pembrolizumab for Adults and Children with TMB-H Solid Tumors; FDA: Silver Spring, MD, USA, 2020. [Google Scholar]
- Gandara, D.R.; Agarwal, N.; Gupta, S.; Klempner, S.J.; Andrews, M.C.; Mahipal, A.; Subbiah, V.; Eskander, R.N.; Carbone, D.P.; Snider, J.; et al. Tumor Mutational Burden (TMB) Measurement from an FDA-Approved Assay and Real-World Overall Survival (RwOS) on Single-Agent Immune Checkpoint Inhibitors (ICI) in over 8000 Patients across 24 Cancer Types. JCO 2023, 41, 2503. [Google Scholar] [CrossRef]
- Ju, J.Y.; Dibbern, M.E.; Mahadevan, M.S.; Fan, J.; Kunk, P.R.; Stelow, E.B. Mismatch Repair Protein Deficiency/Microsatellite Instability Is Rare in Cholangiocarcinomas and Associated With Distinctive Morphologies. Am. J. Clin. Pathol. 2020, 153, 598–604. [Google Scholar] [CrossRef]
- Kai, Y.; Ikezawa, K.; Takada, R.; Daiku, K.; Maeda, S.; Abe, Y.; Yamai, T.; Fukutake, N.; Nakabori, T.; Uehara, H.; et al. Success Rate of Microsatellite Instability Examination and Complete Response with Pembrolizumab in Biliary Tract Cancer. JGH Open 2021, 5, 712–716. [Google Scholar] [CrossRef]
- Silva, V.W.K.; Askan, G.; Daniel, T.D.; Lowery, M.; Klimstra, D.S.; Abou-Alfa, G.K.; Shia, J. Biliary Carcinomas: Pathology and the Role of DNA Mismatch Repair Deficiency. Chin. Clin. Oncol. 2016, 5, 62. [Google Scholar] [CrossRef]
- Maio, M.; Ascierto, P.A.; Manzyuk, L.; Motola-Kuba, D.; Penel, N.; Cassier, P.A.; Bariani, G.M.; Acosta, A.D.J.; Doi, T.; Longo, F.; et al. Pembrolizumab in Microsatellite Instability High or Mismatch Repair Deficient Cancers: Updated Analysis from the Phase II KEYNOTE-158 Study. Ann. Oncol. 2022, 33, 929–938. [Google Scholar] [CrossRef] [PubMed]
- Yu, H.; Boyle, T.A.; Zhou, C.; Rimm, D.L.; Hirsch, F.R. PD-L1 Expression in Lung Cancer. J. Thorac. Oncol. 2016, 11, 964–975. [Google Scholar] [CrossRef] [PubMed]
- Theelen, W.S.M.E.; Baas, P. Pembrolizumab Monotherapy for PD-L1 ≥50% Non-Small Cell Lung Cancer, Undisputed First Choice? Ann. Transl. Med. 2019, 7, S140. [Google Scholar] [CrossRef]
- Kang, J.; Jeong, J.H.; Hwang, H.-S.; Lee, S.S.; Park, D.H.; Oh, D.W.; Song, T.J.; Kim, K.-H.; Hwang, S.; Hwang, D.W.; et al. Efficacy and Safety of Pembrolizumab in Patients with Refractory Advanced Biliary Tract Cancer: Tumor Proportion Score as a Potential Biomarker for Response. Cancer Res. Treat. 2020, 52, 594–603. [Google Scholar] [CrossRef] [PubMed]
- Cristescu, R.; Mogg, R.; Ayers, M.; Albright, A.; Murphy, E.; Yearley, J.; Sher, X.; Liu, X.Q.; Lu, H.; Nebozhyn, M.; et al. Pan-Tumor Genomic Biomarkers for PD-1 Checkpoint Blockade-Based Immunotherapy. Science 2018, 362, eaar3593. [Google Scholar] [CrossRef] [PubMed]
- Marabelle, A.; Fakih, M.; Lopez, J.; Shah, M.; Shapira-Frommer, R.; Nakagawa, K.; Chung, H.C.; Kindler, H.L.; Lopez-Martin, J.A.; Miller, W.H.; et al. Association of Tumour Mutational Burden with Outcomes in Patients with Advanced Solid Tumours Treated with Pembrolizumab: Prospective Biomarker Analysis of the Multicohort, Open-Label, Phase 2 KEYNOTE-158 Study. Lancet Oncol. 2020, 21, 1353–1365. [Google Scholar] [CrossRef] [PubMed]
- Lemery, S.; Keegan, P.; Pazdur, R. First FDA Approval Agnostic of Cancer Site—When a Biomarker Defines the Indication. N. Engl. J. Med. 2017, 377, 1409–1412. [Google Scholar] [CrossRef] [PubMed]
- Marabelle, A.; Le, D.T.; Ascierto, P.A.; Di Giacomo, A.M.; De Jesus-Acosta, A.; Delord, J.-P.; Geva, R.; Gottfried, M.; Penel, N.; Hansen, A.R.; et al. Efficacy of Pembrolizumab in Patients With Noncolorectal High Microsatellite Instability/Mismatch Repair–Deficient Cancer: Results From the Phase II KEYNOTE-158 Study. J. Clin. Oncol. 2020, 38, 1–10. [Google Scholar] [CrossRef] [PubMed]
- Jung, J.; Heo, Y.J.; Park, S. High Tumor Mutational Burden Predicts Favorable Response to Anti-PD-(L)1 Therapy in Patients with Solid Tumor: A Real-World Pan-Tumor Analysis. J. Immunother. Cancer 2023, 11, e006454. [Google Scholar] [CrossRef]
- Kang, S.; El-Rayes, B.F.; Akce, M. Evolving Role of Immunotherapy in Advanced Biliary Tract Cancers. Cancers 2022, 14, 1748. [Google Scholar] [CrossRef] [PubMed]
- Junior, P.L.S.U.; Araujo, R.L. Immunotherapy in Biliary Tract Cancers: Current Evidence and Future Perspectives. World J. Gastrointest. Oncol. 2022, 14, 1446–1455. [Google Scholar] [CrossRef] [PubMed]
- Kirilovsky, A.; Marliot, F.; El Sissy, C.; Haicheur, N.; Galon, J.; Pagès, F. Rational Bases for the Use of the Immunoscore in Routine Clinical Settings as a Prognostic and Predictive Biomarker in Cancer Patients. Int. Immunol. 2016, 28, 373–382. [Google Scholar] [CrossRef]
- Carapeto, F.; Bozorgui, B.; Shroff, R.T.; Chagani, S.; Solis Soto, L.; Foo, W.C.; Wistuba, I.; Meric-Bernstam, F.; Shalaby, A.; Javle, M.; et al. The Immunogenomic Landscape of Resected Intrahepatic Cholangiocarcinoma. Hepatology 2022, 75, 297–308. [Google Scholar] [CrossRef]
- Ahn, S.; Lee, J.-C.; Shin, D.W.; Kim, J.; Hwang, J.-H. High PD-L1 Expression Is Associated with Therapeutic Response to Pembrolizumab in Patients with Advanced Biliary Tract Cancer. Sci. Rep. 2020, 10, 12348. [Google Scholar] [CrossRef]
- Luchini, C.; Bibeau, F.; Ligtenberg, M.J.L.; Singh, N.; Nottegar, A.; Bosse, T.; Miller, R.; Riaz, N.; Douillard, J.-Y.; Andre, F.; et al. ESMO Recommendations on Microsatellite Instability Testing for Immunotherapy in Cancer, and Its Relationship with PD-1/PD-L1 Expression and Tumour Mutational Burden: A Systematic Review-Based Approach. Ann. Oncol. 2019, 30, 1232–1243. [Google Scholar] [CrossRef]
- Zuo, B.; Yang, X.; Yang, X.; Bian, J.; Long, J.; Wang, D.; Ning, C.; Wang, Y.; Xun, Z.; Wang, Y.; et al. A Real-World Study of the Efficacy and Safety of Anti-PD-1 Antibodies plus Lenvatinib in Patients with Advanced Gallbladder Cancer. Cancer Immunol. Immunother. 2022, 71, 1889–1896. [Google Scholar] [CrossRef]
- Yoon, J.G.; Kim, M.H.; Jang, M.; Kim, H.; Hwang, H.K.; Kang, C.M.; Lee, W.J.; Kang, B.; Lee, C.-K.; Lee, M.G.; et al. Molecular Characterization of Biliary Tract Cancer Predicts Chemotherapy and Programmed Death 1/Programmed Death-Ligand 1 Blockade Responses. Hepatology 2021, 74, 1914–1931. [Google Scholar] [CrossRef]
- Guo, X.-J.; Lu, J.-C.; Zeng, H.-Y.; Zhou, R.; Sun, Q.-M.; Yang, G.-H.; Pei, Y.-Z.; Meng, X.-L.; Shen, Y.-H.; Zhang, P.-F.; et al. CTLA-4 Synergizes With PD1/PD-L1 in the Inhibitory Tumor Microenvironment of Intrahepatic Cholangiocarcinoma. Front. Immunol. 2021, 12, 705378. [Google Scholar] [CrossRef] [PubMed]
- Deng, M.; Li, S.-H.; Fu, X.; Yan, X.-P.; Chen, J.; Qiu, Y.-D.; Guo, R.-P. Relationship between PD-L1 Expression, CD8+ T-Cell Infiltration and Prognosis in Intrahepatic Cholangiocarcinoma Patients. Cancer Cell Int. 2021, 21, 371. [Google Scholar] [CrossRef] [PubMed]
- Wang, D.; Yang, X.; Long, J.; Lin, J.; Mao, J.; Xie, F.; Wang, Y.; Wang, Y.; Xun, Z.; Bai, Y.; et al. The Efficacy and Safety of Apatinib Plus Camrelizumab in Patients With Previously Treated Advanced Biliary Tract Cancer: A Prospective Clinical Study. Front. Oncol. 2021, 11, 646979. [Google Scholar] [CrossRef] [PubMed]
- Albrecht, T.; Brinkmann, F.; Albrecht, M.; Lonsdorf, A.S.; Mehrabi, A.; Hoffmann, K.; Kulu, Y.; Charbel, A.; Vogel, M.N.; Rupp, C.; et al. Programmed Death Ligand-1 (PD-L1) Is an Independent Negative Prognosticator in Western-World Gallbladder Cancer. Cancers 2021, 13, 1682. [Google Scholar] [CrossRef]
- Huang, Y.-H.; Zhang, C.Z.-Y.; Huang, Q.-S.; Yeong, J.; Wang, F.; Yang, X.; He, Y.-F.; Zhang, X.-L.; Zhang, H.; Chen, S.-L.; et al. Clinicopathologic Features, Tumor Immune Microenvironment and Genomic Landscape of Epstein-Barr Virus-Associated Intrahepatic Cholangiocarcinoma. J. Hepatol. 2021, 74, 838–849. [Google Scholar] [CrossRef]
- Yugawa, K.; Itoh, S.; Yoshizumi, T.; Iseda, N.; Tomiyama, T.; Toshima, T.; Harada, N.; Kohashi, K.; Oda, Y.; Mori, M. Prognostic Impact of Tumor Microvessels in Intrahepatic Cholangiocarcinoma: Association with Tumor-Infiltrating Lymphocytes. Mod. Pathol. 2021, 34, 798–807. [Google Scholar] [CrossRef]
- Yugawa, K.; Itoh, S.; Iseda, N.; Kurihara, T.; Kitamura, Y.; Toshima, T.; Harada, N.; Kohashi, K.; Baba, S.; Ishigami, K.; et al. Obesity Is a Risk Factor for Intrahepatic Cholangiocarcinoma Progression Associated with Alterations of Metabolic Activity and Immune Status. Sci. Rep. 2021, 11, 5845. [Google Scholar] [CrossRef] [PubMed]
- Wu, H.; Wei, Y.; Jian, M.; Lu, H.; Song, Q.; Hao, L.; Yue, Y. Clinicopathological and Prognostic Significance of Immunoscore and PD-L1 in Intrahepatic Cholangiocarcinoma. Onco Targets Ther. 2021, 14, 39–51. [Google Scholar] [CrossRef]
- Kim, H.; Kim, J.; Byeon, S.; Jang, K.-T.; Hong, J.Y.; Lee, J.; Park, S.H.; Park, J.O.; Park, Y.S.; Lim, H.Y.; et al. Programmed Death Ligand 1 Expression as a Prognostic Marker in Patients with Advanced Biliary Tract Cancer. Oncology 2021, 99, 365–372. [Google Scholar] [CrossRef] [PubMed]
- Abdel-Wahab, R.; Yap, T.A.; Madison, R.; Pant, S.; Cooke, M.; Wang, K.; Zhao, H.; Bekaii-Saab, T.; Karatas, E.; Kwong, L.N.; et al. Genomic Profiling Reveals High Frequency of DNA Repair Genetic Aberrations in Gallbladder Cancer. Sci. Rep. 2020, 10, 22087. [Google Scholar] [CrossRef]
- Tian, L.; Ma, J.; Ma, L.; Zheng, B.; Liu, L.; Song, D.; Wang, Y.; Zhang, Z.; Gao, Q.; Song, K.; et al. PD-1/PD-L1 Expression Profiles within Intrahepatic Cholangiocarcinoma Predict Clinical Outcome. World J. Surg. Oncol. 2020, 18, 303. [Google Scholar] [CrossRef] [PubMed]
- Zhang, J.; Wu, Z.; Zhang, X.; Liu, S.; Zhao, J.; Yuan, F.; Shi, Y.; Song, B. Machine Learning: An Approach to Preoperatively Predict PD-1/PD-L1 Expression and Outcome in Intrahepatic Cholangiocarcinoma Using MRI Biomarkers. ESMO Open 2020, 5, e000910. [Google Scholar] [CrossRef]
- Xu, S.-F.; Guo, Y.; Zhang, X.; Zhu, X.-D.; Fan, N.; Zhang, Z.-L.; Ren, G.-B.; Rao, W.; Zang, Y.-J. Somatic Mutation Profiling of Intrahepatic Cholangiocarcinoma: Comparison between Primary and Metastasis Tumor Tissues. J. Oncol. 2020, 2020, 5675020. [Google Scholar] [CrossRef] [PubMed]
- Montal, R.; Sia, D.; Montironi, C.; Leow, W.Q.; Esteban-Fabró, R.; Pinyol, R.; Torres-Martin, M.; Bassaganyas, L.; Moeini, A.; Peix, J.; et al. Molecular Classification and Therapeutic Targets in Extrahepatic Cholangiocarcinoma. J. Hepatol. 2020, 73, 315–327. [Google Scholar] [CrossRef] [PubMed]
- Asahi, Y.; Hatanaka, K.C.; Hatanaka, Y.; Kamiyama, T.; Orimo, T.; Shimada, S.; Nagatsu, A.; Sakamoto, Y.; Kamachi, H.; Kobayashi, N.; et al. Prognostic Impact of CD8+ T Cell Distribution and Its Association with the HLA Class I Expression in Intrahepatic Cholangiocarcinoma. Surg. Today 2020, 50, 931–940. [Google Scholar] [CrossRef] [PubMed]
- Wang, L.; Zhu, H.; Zhao, Y.; Pan, Q.; Mao, A.; Zhu, W.; Zhang, N.; Lin, Z.; Zhou, J.; Wang, Y.; et al. Comprehensive Molecular Profiling of Intrahepatic Cholangiocarcinoma in the Chinese Population and Therapeutic Experience. J. Transl. Med. 2020, 18, 273. [Google Scholar] [CrossRef]
- Kim, J.H.; Kim, K.; Kim, M.; Kim, Y.M.; Suh, J.H.; Cha, H.J.; Choi, H.J. Programmed Death-Ligand 1 Expression and Its Correlation with Clinicopathological Parameters in Gallbladder Cancer. J. Pathol. Transl. Med. 2020, 54, 154–164. [Google Scholar] [CrossRef]
- Dong, Z.; Liao, B.; Shen, W.; Sui, C.; Yang, J. Expression of Programmed Death Ligand 1 Is Associated with the Prognosis of Intrahepatic Cholangiocarcinoma. Dig. Dis. Sci. 2020, 65, 480–488. [Google Scholar] [CrossRef]
- Kitano, Y.; Yamashita, Y.-I.; Nakao, Y.; Itoyama, R.; Yusa, T.; Umezaki, N.; Tsukamoto, M.; Yamao, T.; Miyata, T.; Nakagawa, S.; et al. Clinical Significance of PD-L1 Expression in Both Cancer and Stroma Cells of Cholangiocarcinoma Patients. Ann. Surg. Oncol. 2020, 27, 599–607. [Google Scholar] [CrossRef]
- Mody, K.; Starr, J.; Saul, M.; Poorman, K.; Weinberg, B.A.; Salem, M.E.; VanderWalde, A.; Shields, A.F. Patterns and Genomic Correlates of PD-L1 Expression in Patients with Biliary Tract Cancers. J. Gastrointest. Oncol. 2019, 10, 1099–1109. [Google Scholar] [CrossRef]
- Weinberg, B.A.; Xiu, J.; Lindberg, M.R.; Shields, A.F.; Hwang, J.J.; Poorman, K.; Salem, M.E.; Pishvaian, M.J.; Holcombe, R.F.; Marshall, J.L.; et al. Molecular Profiling of Biliary Cancers Reveals Distinct Molecular Alterations and Potential Therapeutic Targets. J. Gastrointest. Oncol. 2019, 10, 652–662. [Google Scholar] [CrossRef] [PubMed]
- Ueno, M.; Ikeda, M.; Morizane, C.; Kobayashi, S.; Ohno, I.; Kondo, S.; Okano, N.; Kimura, K.; Asada, S.; Namba, Y.; et al. Nivolumab Alone or in Combination with Cisplatin plus Gemcitabine in Japanese Patients with Unresectable or Recurrent Biliary Tract Cancer: A Non-Randomised, Multicentre, Open-Label, Phase 1 Study. Lancet Gastroenterol. Hepatol. 2019, 4, 611–621. [Google Scholar] [CrossRef] [PubMed]
- Lu, J.-C.; Zeng, H.-Y.; Sun, Q.-M.; Meng, Q.-N.; Huang, X.-Y.; Zhang, P.-F.; Yang, X.; Peng, R.; Gao, C.; Wei, C.-Y.; et al. Distinct PD-L1/PD1 Profiles and Clinical Implications in Intrahepatic Cholangiocarcinoma Patients with Different Risk Factors. Theranostics 2019, 9, 4678–4687. [Google Scholar] [CrossRef]
- Jing, C.-Y.; Fu, Y.-P.; Yi, Y.; Zhang, M.-X.; Zheng, S.-S.; Huang, J.-L.; Gan, W.; Xu, X.; Lin, J.-J.; Zhang, J.; et al. HHLA2 in Intrahepatic Cholangiocarcinoma: An Immune Checkpoint with Prognostic Significance and Wider Expression Compared with PD-L1. J. Immunother. Cancer 2019, 7, 77. [Google Scholar] [CrossRef]
- Yu, F.; Gong, L.; Mo, Z.; Wang, W.; Wu, M.; Yang, J.; Zhang, Q.; Li, L.; Yao, J.; Dong, J. Programmed Death Ligand-1, Tumor Infiltrating Lymphocytes and HLA Expression in Chinese Extrahepatic Cholangiocarcinoma Patients: Possible Immunotherapy Implications. Biosci. Trends 2019, 13, 58–69. [Google Scholar] [CrossRef] [PubMed]
- Kriegsmann, M.; Roessler, S.; Kriegsmann, K.; Renner, M.; Longuespée, R.; Albrecht, T.; Loeffler, M.; Singer, S.; Mehrabi, A.; Vogel, M.N.; et al. Programmed Cell Death Ligand 1 (PD-L1, CD274) in Cholangiocarcinoma—Correlation with Clinicopathological Data and Comparison of Antibodies. BMC Cancer 2019, 19, 72. [Google Scholar] [CrossRef]
- Goeppert, B.; Roessler, S.; Renner, M.; Singer, S.; Mehrabi, A.; Vogel, M.N.; Pathil, A.; Czink, E.; Köhler, B.; Springfeld, C.; et al. Mismatch Repair Deficiency Is a Rare but Putative Therapeutically Relevant Finding in Non-Liver Fluke Associated Cholangiocarcinoma. Br. J. Cancer 2019, 120, 109–114. [Google Scholar] [CrossRef]
- Zhu, Y.; Wang, X.-Y.; Zhang, Y.; Xu, D.; Dong, J.; Zhang, Z.; Yi, C.-H.; Jia, H.-L.; Yang, X. Programmed Death Ligand 1 Expression in Human Intrahepatic Cholangiocarcinoma and Its Association with Prognosis and CD8+ T-Cell Immune Responses. Cancer Manag. Res. 2018, 10, 4113–4123. [Google Scholar] [CrossRef]
- Neyaz, A.; Husain, N.; Kumari, S.; Gupta, S.; Shukla, S.; Arshad, S.; Anand, N.; Chaturvedi, A. Clinical Relevance of PD-L1 Expression in Gallbladder Cancer: A Potential Target for Therapy. Histopathology 2018, 73, 622–633. [Google Scholar] [CrossRef]
- Lin, J.; Long, J.; Wan, X.; Chen, J.; Bai, Y.; Wang, A.; Yang, X.; Wu, Y.; Robson, S.C.; Sang, X.; et al. Classification of Gallbladder Cancer by Assessment of CD8+ TIL and PD-L1 Expression. BMC Cancer 2018, 18, 766. [Google Scholar] [CrossRef]
- Kim, R.; Coppola, D.; Wang, E.; Chang, Y.D.; Kim, Y.; Anaya, D.; Kim, D.W. Prognostic Value of CD8CD45RO Tumor Infiltrating Lymphocytes in Patients with Extrahepatic Cholangiocarcinoma. Oncotarget 2018, 9, 23366–23372. [Google Scholar] [CrossRef] [PubMed]
- Ueno, T.; Tsuchikawa, T.; Hatanaka, K.C.; Hatanaka, Y.; Mitsuhashi, T.; Nakanishi, Y.; Noji, T.; Nakamura, T.; Okamura, K.; Matsuno, Y.; et al. Prognostic Impact of Programmed Cell Death Ligand 1 (PD-L1) Expression and Its Association with Epithelial-Mesenchymal Transition in Extrahepatic Cholangiocarcinoma. Oncotarget 2018, 9, 20034–20047. [Google Scholar] [CrossRef] [PubMed]
- Walter, D.; Herrmann, E.; Schnitzbauer, A.A.; Zeuzem, S.; Hansmann, M.L.; Peveling-Oberhag, J.; Hartmann, S. PD-L1 Expression in Extrahepatic Cholangiocarcinoma. Histopathology 2017, 71, 383–392. [Google Scholar] [CrossRef]
- Sangkhamanon, S.; Jongpairat, P.; Sookprasert, A.; Wirasorn, K.; Titapun, A.; Pugkhem, A.; Ungareevittaya, P.; Chindaprasirt, J. Programmed Death-Ligand 1 (PD-L1) Expression Associated with a High Neutrophil/Lymphocyte Ratio in Cholangiocarcinoma. Asian Pac. J. Cancer Prev. 2017, 18, 1671–1674. [Google Scholar] [CrossRef]
- Sato, Y.; Kinoshita, M.; Takemura, S.; Tanaka, S.; Hamano, G.; Nakamori, S.; Fujikawa, M.; Sugawara, Y.; Yamamoto, T.; Arimoto, A.; et al. The PD-1/PD-L1 Axis May Be Aberrantly Activated in Occupational Cholangiocarcinoma. Pathol. Int. 2017, 67, 163–170. [Google Scholar] [CrossRef] [PubMed]
- Feng, F.; Wu, X.; Shi, X.; Gao, Q.; Wu, Y.; Yu, Y.; Cheng, Q.; Li, B.; Yi, B.; Liu, C.; et al. Comprehensive Analysis of Genomic Alterations of Chinese Hilar Cholangiocarcinoma Patients. Int. J. Clin. Oncol. 2021, 26, 717–727. [Google Scholar] [CrossRef]
- Lin, J.; Cao, Y.; Yang, X.; Li, G.; Shi, Y.; Wang, D.; Long, J.; Song, Y.; Mao, J.; Xie, F.; et al. Mutational Spectrum and Precision Oncology for Biliary Tract Carcinoma. Theranostics 2021, 11, 4585–4598. [Google Scholar] [CrossRef]
- Zhang, R.; Li, Q.; Fu, J.; Jin, Z.; Su, J.; Zhang, J.; Chen, C.; Geng, Z.; Zhang, D. Comprehensive Analysis of Genomic Mutation Signature and Tumor Mutation Burden for Prognosis of Intrahepatic Cholangiocarcinoma. BMC Cancer 2021, 21, 112. [Google Scholar] [CrossRef]
- Li, J.; Wei, Q.; Wu, X.; Sima, J.; Xu, Q.; Wu, M.; Wang, F.; Mou, H.; Hu, H.; Zhao, J.; et al. Integrative Clinical and Molecular Analysis of Advanced Biliary Tract Cancers on Immune Checkpoint Blockade Reveals Potential Markers of Response. Clin. Transl. Med. 2020, 10, e118. [Google Scholar] [CrossRef]
- Cao, J.; Hu, J.; Liu, S.; Meric-Bernstam, F.; Abdel-Wahab, R.; Xu, J.; Li, Q.; Yan, M.; Feng, Y.; Lin, J.; et al. Intrahepatic Cholangiocarcinoma: Genomic Heterogeneity Between Eastern and Western Patients. JCO Precis. Oncol. 2020, 4, PO.18.00414. [Google Scholar] [CrossRef]
- Spizzo, G.; Puccini, A.; Xiu, J.; Goldberg, R.M.; Grothey, A.; Shields, A.F.; Arora, S.P.; Khushman, M.; Salem, M.E.; Battaglin, F.; et al. Molecular Profile of BRCA-Mutated Biliary Tract Cancers. ESMO Open 2020, 5, e000682. [Google Scholar] [CrossRef]
- Lin, J.; Dong, K.; Bai, Y.; Zhao, S.; Dong, Y.; Shi, J.; Shi, W.; Long, J.; Yang, X.; Wang, D.; et al. Precision Oncology for Gallbladder Cancer: Insights from Genetic Alterations and Clinical Practice. Ann. Transl. Med. 2019, 7, 467. [Google Scholar] [CrossRef] [PubMed]
- Lin, J.; Shi, J.; Guo, H.; Yang, X.; Jiang, Y.; Long, J.; Bai, Y.; Wang, D.; Yang, X.; Wan, X.; et al. Alterations in DNA Damage Repair Genes in Primary Liver Cancer. Clin. Cancer Res. 2019, 25, 4701–4711. [Google Scholar] [CrossRef] [PubMed]
- Ando, Y.; Kumamoto, K.; Matsukawa, H.; Ishikawa, R.; Suto, H.; Oshima, M.; Kamada, H.; Morishita, A.; Kobara, H.; Matsunaga, T.; et al. Low Prevalence of Biliary Tract Cancer with Defective Mismatch Repair Genes in a Japanese Hospital-Based Population. Oncol. Lett. 2022, 23, 4. [Google Scholar] [CrossRef] [PubMed]
- Zeng, T.; Tao, C.; Yang, G.; Chen, X.; Yuan, Z. Prognosis of Advanced Cholangiocarcinoma in the Palliative Care Setting: A Series of 201 Cases. Altern. Ther. Health Med. 2022, 28, 24–31. [Google Scholar] [PubMed]
- Suda, R.; Sakai, N.; Matsushita, K.; Ishige, T.; Kawasaki, Y.; Shiko, Y.; Furukawa, K.; Mishima, T.; Nakadai, E.; Ohtsuka, M. Prediction of Mismatch Repair Deficient Biliary Tract Cancer: Role of Morphological Features and Host Immune Response Detected by Routine Hematoxylin-Eosin Staining. J. Hepatobiliary Pancreat. Sci. 2021, 28, 680–691. [Google Scholar] [CrossRef] [PubMed]
- Sung, Y.-N.; Kim, S.J.; Jun, S.-Y.; Yoo, C.; Kim, K.-P.; Lee, J.H.; Hwang, D.W.; Hwang, S.; Lee, S.S.; Hong, S.-M. Expression of HER2 and Mismatch Repair Proteins in Surgically Resected Gallbladder Adenocarcinoma. Front. Oncol. 2021, 11, 658564. [Google Scholar] [CrossRef]
- Garcia-Pardo, M.; Ortega, L.; Fernández-Aceñero, M.J.; García Alfonso, P.; Martín, M.; Muñoz, A.J. Molecular Profiling and Targeted Therapy in Cholangiocarcinoma: An Observational, Retrospective Multicenter Study. J. Gastrointest. Cancer 2021, 52, 814–818. [Google Scholar] [CrossRef]
- Yu, J.; Zhang, X.; Huang, Q.; Tan, S.; Xiong, X.; Gou, H. Rare DNA Mismatch Repair-Related Protein Loss in Patients with Intrahepatic Cholangiocarcinoma and Combined Hepatocellular-Cholangiocarcinoma and Their Response to Immunotherapy. Cancer Manag. Res. 2021, 13, 4283–4290. [Google Scholar] [CrossRef]
- Feng, H.; Tong, H.; Yan, J.; He, M.; Chen, W.; Wang, J. Genomic Features and Clinical Characteristics of Adolescents and Young Adults With Cholangiocarcinoma. Front. Oncol 2019, 9, 1439. [Google Scholar] [CrossRef]
- Goeppert, B.; Roessler, S.; Renner, M.; Loeffler, M.; Singer, S.; Rausch, M.; Albrecht, T.; Mehrabi, A.; Vogel, M.N.; Pathil, A.; et al. Low Frequency of Mismatch Repair Deficiency in Gallbladder Cancer. Diagn. Pathol. 2019, 14, 36. [Google Scholar] [CrossRef] [PubMed]
- Winkelmann, R.; Schneider, M.; Hartmann, S.; Schnitzbauer, A.A.; Zeuzem, S.; Peveling-Oberhag, J.; Hansmann, M.L.; Walter, D. Microsatellite Instability Occurs Rarely in Patients with Cholangiocarcinoma: A Retrospective Study from a German Tertiary Care Hospital. Int. J. Mol. Sci. 2018, 19, 1421. [Google Scholar] [CrossRef] [PubMed]
- Jusakul, A.; Cutcutache, I.; Yong, C.H.; Lim, J.Q.; Huang, M.N.; Padmanabhan, N.; Nellore, V.; Kongpetch, S.; Ng, A.W.T.; Ng, L.M.; et al. Whole-Genome and Epigenomic Landscapes of Etiologically Distinct Subtypes of Cholangiocarcinoma. Cancer Discov. 2017, 7, 1116–1135. [Google Scholar] [CrossRef]
- Yoshida, H.; Shimada, K.; Hiraoka, N. Infrequent Mismatch Repair Protein Loss in Gallbladder Cancer Patients in Japan. Virchows Arch. 2017, 470, 109–112. [Google Scholar] [CrossRef] [PubMed]




| Low-Risk-of-Bias Indicators | High-Risk-of-Bias Indicators |
|---|---|
|
|
| All Studies (n = 61) | PD-L1 (n = 39) | TMB (n = 13) | MSI (n = 27) | ||
|---|---|---|---|---|---|
| Study design | Prospective trial | 6 (9.8%) | 2 (5.1%) | 2 (15.4%) | 3 (11.1%) |
| Retrospective study | 55 (90.2%) | 37 (94.9%) | 11 (84.6%) | 24 (88.9%) | |
| Centers | Multicenter | 11 (18.0%) | 6 (15.4%) | 7 (53.8%) | 9 (33.3%) |
| Unicenter | 50 (82.0%) | 33 (84.6%) | 6 (46.2%) | 18 (66.6%) | |
| Reliability | Good reliability | 14 (23.0%) | 7 (17.9%) | 8 (61.5%) | 9 (33.3%) |
| Medium reliability | 40 (65.6%) | 27 (69.2%) | 4 (30.8%) | 15 (55.6%) | |
| Poor reliability | 7 (11.5%) | 5 (12.8%) | 1 (7.7%) | 3 (11.1%) | |
| Primary tumor | iCCA only | 21 (34.4%) | 15 (38.4%) | 5 (38.5%) | 7 (25.9%) |
| p/dCCA only | 7 (11.5%) | 7 (17.9%) | 1 (7.7%) | 1 (3.7%) | |
| GBC only | 9 (14.8%) | 5 (12.8%) | 1 (7.7%) | 3 (11.1%) | |
| Mixed subtypes | 24 (39.3%) | 12 (30.7%) | 6 (46.2%) | 16 (59.3%) |
| All Cohorts (61 Studies) | PD-L1 (39 Studies) | TMB (13 Studies) | MSI (27 Studies) | ||
|---|---|---|---|---|---|
| Total number of patients | 13,490 | 7778 | 6288 | 9127 | |
| Total number of patients included for the analysis | 12,807 | 7682 | 6212 | 8470 | |
| Mean number of total patients per study (95% CI) | 221 (151–292) | 199 (117–282) | 484 (217–751) | 338 (194–482) | |
| Mean age (95% CI) | 62.7 (61.4–64.1) | 62.5 (60.8–64.2) | 61.1(60–62.1) | 63.0 (61.4–64.6) | |
| Gender (mean) | Data available | 58/61 studies | 31/39 studies | All studies | 25/27 studies |
| Male | 115 | 105 | 229 | 169 | |
| Female | 103 | 96 | 254 | 167 | |
| Stages | Data available | 2568 (19%) | 1162 (14.9%) | 947 (15.2%) | 1152 (12.6%) |
| I–II | 1289 (50.2%) | 769 (66.2) | 358 (37.8%) | 362 (31.4%) | |
| III–IV | 1279 (49.8%) | 393 (33.8) | 589 (62.2%) | 790 (68.6%) | |
| Disease status | Data available | 5697 (42.2%) | 3831 (49.2%) | 1157 (18.4%) | 2877 (31.5%) |
| Resected | 4131 (72.5%) | 2682 8 (70%) | 190 (16.4%) | 1639 (57%) | |
| Advanced | 1566 (27.5%) | 1149 (30%) | 967 (83.6%) | 1238 (43%) | |
Disclaimer/Publisher’s Note: The statements, opinions and data contained in all publications are solely those of the individual author(s) and contributor(s) and not of MDPI and/or the editor(s). MDPI and/or the editor(s) disclaim responsibility for any injury to people or property resulting from any ideas, methods, instructions or products referred to in the content. |
© 2023 by the authors. Licensee MDPI, Basel, Switzerland. This article is an open access article distributed under the terms and conditions of the Creative Commons Attribution (CC BY) license (https://creativecommons.org/licenses/by/4.0/).
Share and Cite
Frega, G.; Cossio, F.P.; Banales, J.M.; Cardinale, V.; Macias, R.I.R.; Braconi, C.; Lamarca, A. Lacking Immunotherapy Biomarkers for Biliary Tract Cancer: A Comprehensive Systematic Literature Review and Meta-Analysis. Cells 2023, 12, 2098. https://doi.org/10.3390/cells12162098
Frega G, Cossio FP, Banales JM, Cardinale V, Macias RIR, Braconi C, Lamarca A. Lacking Immunotherapy Biomarkers for Biliary Tract Cancer: A Comprehensive Systematic Literature Review and Meta-Analysis. Cells. 2023; 12(16):2098. https://doi.org/10.3390/cells12162098
Chicago/Turabian StyleFrega, Giorgio, Fernando P. Cossio, Jesus M. Banales, Vincenzo Cardinale, Rocio I. R. Macias, Chiara Braconi, and Angela Lamarca. 2023. "Lacking Immunotherapy Biomarkers for Biliary Tract Cancer: A Comprehensive Systematic Literature Review and Meta-Analysis" Cells 12, no. 16: 2098. https://doi.org/10.3390/cells12162098
APA StyleFrega, G., Cossio, F. P., Banales, J. M., Cardinale, V., Macias, R. I. R., Braconi, C., & Lamarca, A. (2023). Lacking Immunotherapy Biomarkers for Biliary Tract Cancer: A Comprehensive Systematic Literature Review and Meta-Analysis. Cells, 12(16), 2098. https://doi.org/10.3390/cells12162098

