Identifying Blood Biomarkers for Dementia Using Machine Learning Methods in the Framingham Heart Study
Abstract
:1. Introduction
2. Materials and Methods
2.1. Study Sample
2.2. Outcome Measure
2.3. Baseline Characteristics
2.4. Measurement of Biomarkers
2.5. Statistical Analysis
2.6. Sensitivity Analyses
3. Results
3.1. Cohort Descriptives
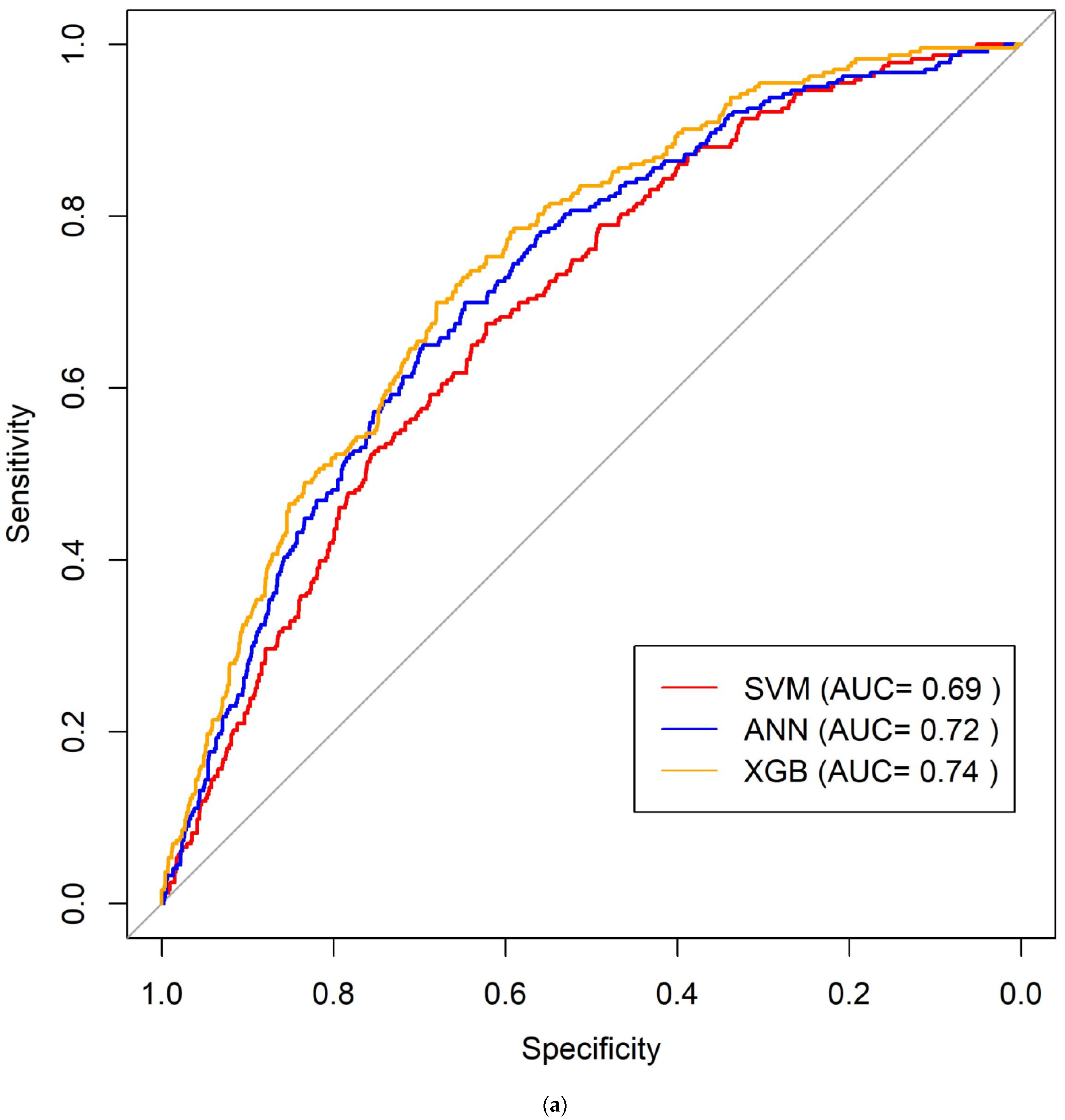
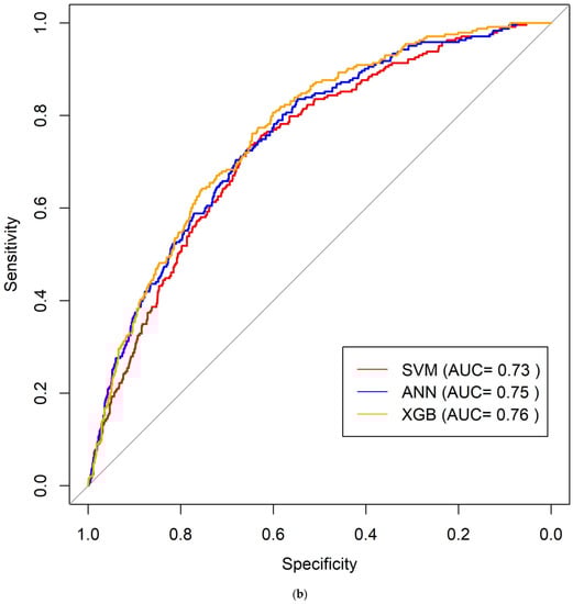
3.2. Biomarkers Predictive of Dementia
4. Discussion
5. Conclusions
Supplementary Materials
Author Contributions
Funding
Institutional Review Board Statement
Informed Consent Statement
Data Availability Statement
Acknowledgments
Conflicts of Interest
References
- Collaborators, G.D. Global, regional, and national burden of Alzheimer’s disease and other dementias, 1990–2016: A systematic analysis for the Global Burden of Disease Study 2016. Lancet Neurol. 2019, 18, 88–106. [Google Scholar] [CrossRef] [Green Version]
- Kunkle, B.W.; Grenier-Boley, B.; Sims, R.; Bis, J.C.; Damotte, V.; Naj, A.C.; Boland, A.; Vronskaya, M.; van der Lee, S.J.; Amlie-Wolf, A.; et al. Genetic meta-analysis of diagnosed Alzheimer’s disease identifies new risk loci and implicates Aβ, tau, immunity and lipid processing. Nat. Genet. 2019, 51, 414–430. [Google Scholar] [CrossRef] [PubMed] [Green Version]
- Stamate, D.; Kim, M.; Proitsi, P.; Westwood, S.; Baird, A.; Nevado-Holgado, A.; Hye, A.; Bos, I.; Vos, S.J.B.; Vandenberghe, R.; et al. A metabolite-based machine learning approach to diagnose Alzheimer-type dementia in blood: Results from the European Medical Information Framework for Alzheimer disease biomarker discovery cohort. Alzheimers Dement. (N. Y.) 2019, 5, 933–938. [Google Scholar] [CrossRef] [PubMed]
- Feinleib, M.; Kannel, W.B.; Garrison, R.J.; McNamara, P.M.; Castelli, W.P. The Framingham Offspring Study. Design and preliminary data. Prev. Med. 1975, 4, 518–525. [Google Scholar] [CrossRef]
- Tsao, C.W.; Vasan, R.S. Cohort Profile: The Framingham Heart Study (FHS): Overview of milestones in cardiovascular epidemiology. Int. J. Epidemiol. 2015, 44, 1800–1813. [Google Scholar] [CrossRef] [PubMed] [Green Version]
- American Psychiatric Association. Diagnostic and Statistical Manual of Mental Disorders: DSM-IV; American Psychiatric Association: Washington, DC, USA, 1994. [Google Scholar]
- Au, R.; Seshadri, S.; Wolf, P.A.; Elias, M.; Elias, P.; Sullivan, L.; Beiser, A.; D’Agostino, R.B. New norms for a new generation: Cognitive performance in the framingham offspring cohort. Exp. Aging Res. 2004, 30, 333–358. [Google Scholar] [CrossRef] [Green Version]
- Seshadri, S.; Wolf, P.; Beiser, A.; Au, R.; McNulty, K.; White, R.; D’agostino, R. Lifetime risk of dementia and Alzheimer’s disease The impact of mortality on risk estimates in the Framingham Study. Neurology 1997, 49, 1498–1504. [Google Scholar] [CrossRef]
- Corriveau, R.A.; Mcgavern, L.; Albert, M.S.; Arfanakis, K.; Arvind, C.; DeCarli, C.S.; Fornage, M.; Helmer, K.G.; Jicha, G.A.; Kashani, A.H.; et al. MARKVCID phase II: Prioritized candidate small vessel VCID biomarkers selected for independent multi-site testing and validation. Alzheimer’s Dement. 2018, 14, P1670–P1671. [Google Scholar] [CrossRef]
- Azur, M.J.; Stuart, E.A.; Frangakis, C.; Leaf, P.J. Multiple imputation by chained equations: What is it and how does it work? Int. J. Methods Psychiatr. Res. 2011, 20, 40–49. [Google Scholar] [CrossRef]
- Burges, C.J.C. A Tutorial on Support Vector Machines for Pattern Recognition. Data Min. Knowl. Discov. 1998, 2, 121–167. [Google Scholar] [CrossRef]
- Chen, T.; Guestrin, C. XGBoost: A Scalable Tree Boosting System. In Proceedings of the 22nd ACM SIGKDD International Conference on Knowledge Discovery and Data Mining, San Francisco, CA, USA; 2016; pp. 785–794. [Google Scholar]
- O’Bryant, S.E.; Edwards, M.; Johnson, L.; Hall, J.; Villarreal, A.E.; Britton, G.B.; Quiceno, M.; Cullum, C.M.; Graff-Radford, N.R. A blood screening test for Alzheimer’s disease. Alzheimer’s Dement. (Amst. Neth.) 2016, 3, 83–90. [Google Scholar] [CrossRef] [PubMed] [Green Version]
- Hye, A.; Riddoch-Contreras, J.; Baird, A.L.; Ashton, N.J.; Bazenet, C.; Leung, R.; Westman, E.; Simmons, A.; Dobson, R.; Sattlecker, M.; et al. Plasma proteins predict conversion to dementia from prodromal disease. Alzheimer’s Dement. 2014, 10, 799–807. [Google Scholar] [CrossRef] [PubMed] [Green Version]
- O’Bryant, S.E.; Xiao, G.; Zhang, F.; Edwards, M.; German, D.C.; Yin, X.; Como, T.; Reisch, J.; Huebinger, R.M.; Graff-Radford, N.; et al. Validation of a Serum Screen for Alzheimer’s Disease Across Assay Platforms, Species, and Tissues. J. Alzheimer’s Dis. 2014, 42, 1325–1335. [Google Scholar] [CrossRef] [Green Version]
- Yu, S.; Liu, Y.P.; Liu, H.L.; Li, J.; Xiang, Y.; Liu, Y.H.; Jiao, S.S.; Liu, L.; Wang, Y.; Fu, W. Serum Protein-Based Profiles as Novel Biomarkers for the Diagnosis of Alzheimer’s Disease. Mol. Neurobiol. 2018, 55, 3999–4008. [Google Scholar] [CrossRef] [PubMed]
- Mapstone, M.; Cheema, A.K.; Fiandaca, M.S.; Zhong, X.; Mhyre, T.R.; MacArthur, L.H.; Hall, W.J.; Fisher, S.G.; Peterson, D.R.; Haley, J.M.; et al. Plasma phospholipids identify antecedent memory impairment in older adults. Nat. Med. 2014, 20, 415–418. [Google Scholar] [CrossRef] [PubMed]
- Ray, S.; Britschgi, M.; Herbert, C.; Takeda-Uchimura, Y.; Boxer, A.; Blennow, K.; Friedman, L.F.; Galasko, D.R.; Jutel, M.; Karydas, A.; et al. Classification and prediction of clinical Alzheimer’s diagnosis based on plasma signaling proteins. Nat. Med. 2007, 13, 1359–1362. [Google Scholar] [CrossRef]
- Li, D.; Misialek, J.R.; Boerwinkle, E.; Gottesman, R.F.; Sharrett, A.R.; Mosley, T.H.; Coresh, J.; Wruck, L.M.; Knopman, D.S.; Alonso, A. Plasma phospholipids and prevalence of mild cognitive impairment and/or dementia in the ARIC Neurocognitive Study (ARIC-NCS). Alzheimers Dement. (Amst.) 2016, 3, 73–82. [Google Scholar] [CrossRef] [Green Version]
- Soares, H.D.; Chen, Y.; Sabbagh, M.; Roher, A.; Schrijvers, E.; Breteler, M. Identifying early markers of Alzheimer’s disease using quantitative multiplex proteomic immunoassay panels. Ann. N. Y. Acad. Sci. 2009, 1180, 56–67. [Google Scholar] [CrossRef]
- Hu, W.T.; Holtzman, D.M.; Fagan, A.M.; Shaw, L.M.; Perrin, R.; Arnold, S.E.; Grossman, M.; Xiong, C.; Craig-Schapiro, R.; Clark, C.M.; et al. Plasma multianalyte profiling in mild cognitive impairment and Alzheimer disease. Neurology 2012, 79, 897–905. [Google Scholar] [CrossRef]
- Laske, C.; Leyhe, T.; Stransky, E.; Hoffmann, N.; Fallgatter, A.J.; Dietzsch, J. Identification of a blood-based biomarker panel for classification of Alzheimer’s disease. Int. J. Neuropsychopharmacol. 2011, 14, 1147–1155. [Google Scholar] [CrossRef] [Green Version]
- Guo, L.H.; Alexopoulos, P.; Wagenpfeil, S.; Kurz, A.; Perneczky, R. Plasma proteomics for the identification of Alzheimer disease. Alzheimer Dis. Assoc. Disord. 2013, 27, 337–342. [Google Scholar] [CrossRef] [PubMed] [Green Version]
- Agarwal, S.; Ghanty, P.; Pal, N.R. Identification of a small set of plasma signalling proteins using neural network for prediction of Alzheimer’s disease. Bioinformatics 2015, 31, 2505–2513. [Google Scholar] [CrossRef] [PubMed] [Green Version]
- Zhao, X.; Lejnine, S.; Spond, J.; Zhang, C.; Ramaraj, T.C.; Holder, D.J.; Dai, H.; Weiner, R.; Laterza, O.F. A candidate plasma protein classifier to identify Alzheimer’s disease. J. Alzheimer’s Dis. JAD 2015, 43, 549–563. [Google Scholar] [CrossRef] [PubMed]
- Johnstone, D.; Milward, E.A.; Berretta, R.; Moscato, P. Multivariate protein signatures of pre-clinical Alzheimer’s disease in the Alzheimer’s disease neuroimaging initiative (ADNI) plasma proteome dataset. PLoS ONE 2012, 7, e34341. [Google Scholar] [CrossRef] [PubMed] [Green Version]
- Olazarán, J.; Gil-de-Gómez, L.; Rodríguez-Martín, A.; Valentí-Soler, M.; Frades-Payo, B.; Marín-Muñoz, J.; Antúnez, C.; Frank-García, A.; Acedo-Jiménez, C.; Morlán-Gracia, L.; et al. A blood-based, 7-metabolite signature for the early diagnosis of Alzheimer’s disease. J. Alzheimer’s Dis. JAD 2015, 45, 1157–1173. [Google Scholar] [CrossRef] [Green Version]
- Doecke, J.D.; Laws, S.M.; Faux, N.G.; Wilson, W.; Burnham, S.C.; Lam, C.-P.; Mondal, A.; Bedo, J.; Bush, A.I.; Brown, B.; et al. Blood-based protein biomarkers for diagnosis of Alzheimer disease. Arch. Neurol. 2012, 69, 1318–1325. [Google Scholar] [CrossRef] [Green Version]
- Eke, C.S.; Jammeh, E.; Li, X.; Carroll, C.; Pearson, S.; Ifeachor, E. Identification of Optimum Panel of Blood-based Biomarkers for Alzheimer’s Disease Diagnosis Using Machine Learning. In Proceedings of the 2018 40th Annual International Conference of the IEEE Engineering in Medicine and Biology Society (EMBC), Honolulu, HI, USA, 17–21 July 2018; pp. 3991–3994. [Google Scholar] [CrossRef] [Green Version]
- Jammeh, E.; Zhao, P.; Carroll, C.; Pearson, S.; Ifeachor, E. Identification of blood biomarkers for use in point of care diagnosis tool for Alzheimer’s disease. In Proceedings of the 2016 38th Annual International Conference of the IEEE Engineering in Medicine and Biology Society (EMBC), Orlando, FL, USA, 16–20 August 2016; pp. 2415–2418. [Google Scholar] [CrossRef] [Green Version]
- O’Bryant, S.E.; Xiao, G.; Barber, R.; Reisch, J.; Doody, R.; Fairchild, T.; Adams, P.; Waring, S.; Diaz-Arrastia, R. A serum protein-based algorithm for the detection of Alzheimer disease. Arch. Neurol. 2010, 67, 1077–1081. [Google Scholar] [CrossRef] [Green Version]
- Schipke, C.G.; Menne, F.; Rubow, S.; Sigle, J.P.; Peters, O.; Grimmer, T. Value of a Panel of 6 Serum Biomarkers to Differentiate Between Healthy Controls and Mild Cognitive Impairment Due to Alzheimer Disease. Alzheimer Dis. Assoc. Disord. 2020, 34, 318–324. [Google Scholar] [CrossRef]
- Walker, K.A.; Chen, J.; Zhang, J.; Fornage, M.; Yang, Y.; Zhou, L.; Grams, M.E.; Tin, A.; Daya, N.; Hoogeveen, R.C.; et al. Large-scale plasma proteomic analysis identifies proteins and pathways associated with dementia risk. Nat. Aging 2021, 1, 473–489. [Google Scholar] [CrossRef]
- Lin, C.H.; Chiu, S.I.; Chen, T.F.; Jang, J.R.; Chiu, M.J. Classifications of Neurodegenerative Disorders Using a Multiplex Blood Biomarkers-Based Machine Learning Model. Int. J. Mol. Sci. 2020, 21, 6914. [Google Scholar] [CrossRef]
- Zhang, J.; Jia, J.; Qin, W.; Wang, S. Combination of plasma tumor necrosis factor receptors signaling proteins, beta-amyloid and apolipoprotein E for the detection of Alzheimer’s disease. Neurosci. Lett. 2013, 541, 99–104. [Google Scholar] [CrossRef] [PubMed]
- Marksteiner, J.; Kemmler, G.; Weiss, E.M.; Knaus, G.; Ullrich, C.; Mechtcheriakov, S.; Oberbauer, H.; Auffinger, S.; Hinterhölzl, J.; Hinterhuber, H.; et al. Five out of 16 plasma signaling proteins are enhanced in plasma of patients with mild cognitive impairment and Alzheimer’s disease. Neurobiol. Aging 2011, 32, 539–540. [Google Scholar] [CrossRef] [PubMed] [Green Version]
- Casanova, R.; Varma, S.; Simpson, B.; Kim, M.; An, Y.; Saldana, S.; Riveros, C.; Moscato, P.; Griswold, M.; Sonntag, D.; et al. Blood metabolite markers of preclinical Alzheimer’s disease in two longitudinally followed cohorts of older individuals. Alzheimer’s Dement. J. Alzheimer’s Assoc. 2016, 12, 815–822. [Google Scholar] [CrossRef] [PubMed] [Green Version]
- Björkqvist, M.; Ohlsson, M.; Minthon, L.; Hansson, O. Evaluation of a previously suggested plasma biomarker panel to identify Alzheimer’s disease. PLoS ONE 2012, 7, e29868. [Google Scholar] [CrossRef]
- Nakamura, A.; Kaneko, N.; Villemagne, V.L.; Kato, T.; Doecke, J.; Dore, V.; Fowler, C.; Li, Q.X.; Martins, R.; Rowe, C.; et al. High performance plasma amyloid-beta biomarkers for Alzheimer’s disease. Nature 2018, 554, 249–254. [Google Scholar] [CrossRef]
- de Wolf, F.; Ghanbari, M.; Licher, S.; McRae-McKee, K.; Gras, L.; Weverling, G.J.; Wermeling, P.; Sedaghat, S.; Ikram, M.K.; Waziry, R.; et al. Plasma tau, neurofilament light chain and amyloid-β levels and risk of dementia; a population-based cohort study. Brain 2020, 143, 1220–1232. [Google Scholar] [CrossRef] [Green Version]
- Palmqvist, S.; Janelidze, S.; Stomrud, E.; Zetterberg, H.; Karl, J.; Zink, K.; Bittner, T.; Mattsson, N.; Eichenlaub, U.; Blennow, K.; et al. Performance of Fully Automated Plasma Assays as Screening Tests for Alzheimer Disease-Related β-Amyloid Status. JAMA Neurol. 2019, 76, 1060–1069. [Google Scholar] [CrossRef]
- Decourt, B.; Lahiri, D.K.; Sabbagh, M.N. Targeting Tumor Necrosis Factor Alpha for Alzheimer’s Disease. Curr. Alzheimer Res. 2017, 14, 412–425. [Google Scholar] [CrossRef] [Green Version]
- Tobinick, E.; Gross, H.; Weinberger, A.; Cohen, H. TNF-alpha modulation for treatment of Alzheimer’s disease: A 6-month pilot study. Med. Gen. Med. 2006, 8, 25. [Google Scholar]
- Ekert, J.O.; Gould, R.L.; Reynolds, G.; Howard, R.J. TNF alpha inhibitors in Alzheimer’s disease: A systematic review. Int. J. Geriatr. Psychiatr. 2018, 33, 688–694. [Google Scholar] [CrossRef]
- Kiyota, T.; Yamamoto, M.; Xiong, H.; Lambert, M.P.; Klein, W.L.; Gendelman, H.E.; Ransohoff, R.M.; Ikezu, T. CCL2 Accelerates Microglia-Mediated Aβ Oligomer Formation and Progression of Neurocognitive Dysfunction. PLoS ONE 2009, 4, e6197. [Google Scholar] [CrossRef] [PubMed] [Green Version]
- Bettcher, B.M.; Fitch, R.; Wynn, M.J.; Lalli, M.A.; Elofson, J.; Jastrzab, L.; Mitic, L.; Miller, Z.A.; Rabinovici, G.D.; Miller, B.L.; et al. MCP-1 and eotaxin-1 selectively and negatively associate with memory in MCI and Alzheimer’s disease dementia phenotypes. Alzheimers Dement. (Amst.) 2016, 3, 91–97. [Google Scholar] [CrossRef] [PubMed] [Green Version]
- Smith, A.D.; Refsum, H.; Bottiglieri, T.; Fenech, M.; Hooshmand, B.; McCaddon, A.; Miller, J.W.; Rosenberg, I.H.; Obeid, R. Homocysteine and Dementia: An International Consensus Statement. J. Alzheimer’s Dis. JAD 2018, 62, 561–570. [Google Scholar] [CrossRef] [PubMed] [Green Version]
- Oh, J.; Lee, H.J.; Song, J.H.; Park, S.I.; Kim, H. Plasminogen activator inhibitor-1 as an early potential diagnostic marker for Alzheimer’s disease. Exp. Gerontol. 2014, 60, 87–91. [Google Scholar] [CrossRef] [PubMed]
- Sundelöf, J.; Arnlöv, J.; Ingelsson, E.; Sundström, J.; Basu, S.; Zethelius, B.; Larsson, A.; Irizarry, M.C.; Giedraitis, V.; Rönnemaa, E.; et al. Serum cystatin C and the risk of Alzheimer disease in elderly men. Neurology 2008, 71, 1072–1079. [Google Scholar] [CrossRef] [PubMed] [Green Version]
- Smith, P.J.; Mabe, S.; Sherwood, A.; Babyak, M.A.; Doraiswamy, P.M.; Welsh-Bohmer, K.A.; Kraus, W.; Burke, J.; Hinderliter, A.; Blumenthal, J.A. Association Between Insulin Resistance, Plasma Leptin, and Neurocognition in Vascular Cognitive Impairment. J. Alzheimer’s Dis. JAD 2019, 71, 921–929. [Google Scholar] [CrossRef] [PubMed]
- Zeki Al Hazzouri, A.; Stone, K.L.; Haan, M.N.; Yaffe, K. Leptin, mild cognitive impairment, and dementia among elderly women. J. Gerontol. Ser. A Biol. Sci. Med. Sci. 2013, 68, 175–180. [Google Scholar] [CrossRef]
- Oania, R.; McEvoy, L.K. Plasma leptin levels are not predictive of dementia in patients with mild cognitive impairment. Age Aging 2015, 44, 53–58. [Google Scholar] [CrossRef] [Green Version]
- Reitz, C.; Tang, M.X.; Schupf, N.; Manly, J.J.; Mayeux, R.; Luchsinger, J.A. Association of higher levels of high-density lipoprotein cholesterol in elderly individuals and lower risk of late-onset Alzheimer disease. Arch. Neurol. 2010, 67, 1491–1497. [Google Scholar] [CrossRef] [Green Version]
- Anstey, K.J.; Ashby-Mitchell, K.; Peters, R. Updating the Evidence on the Association between Serum Cholesterol and Risk of Late-Life Dementia: Review and Meta-Analysis. J. Alzheimer’s Dis. JAD 2017, 56, 215–228. [Google Scholar] [CrossRef] [Green Version]
- McGrath, E.R.; Himali, J.J.; Levy, D.; Conner, S.C.; DeCarli, C.S.; Pase, M.P.; Courchesne, P.; Satizabal, C.L.; Vasan, R.S.; Beiser, A.S.; et al. Circulating IGFBP-2: A novel biomarker for incident dementia. Ann. Clin. Transl. Neurol. 2019, 6, 1659–1670. [Google Scholar] [CrossRef] [PubMed] [Green Version]


| Variable | Min | 25% Quantile | Median | 75% Quantile | Max | Missing Rate (%) | Inter-Assay CV (%) | Intra-Assay CV (%) | LLOQ |
|---|---|---|---|---|---|---|---|---|---|
| Aß42/40 * | 0.1 | 0.2 | 0.3 | 0.3 | 1.2 | 1 | - | - | - |
| Adiponectin (ug/mL) | 0.9 | 5.9 | 9 | 14.1 | 59.9 | 16.8 | 9.6 | 6.2 | 0.08 |
| ApoA1 (pg/mL) | 8.2 × 107 | 7.8 × 108 | 9.1 × 108 | 1.0 × 109 | 3.3 × 109 | 0.7 | 7.3 | 11.8 | 3.4 × 105 |
| ApoB (pg/mL) | 2.4 × 108 | 6.1 × 108 | 7.1 × 108 | 8.4 × 108 | 3.6 × 109 | 0.7 | 13.4 | 6.6 | 2.6 × 106 |
| BDNF (pg/mL) | 1713.7 | 1.7 × 104 | 2.3 × 104 | 2.9 × 104 | 5.6 × 104 | 8.2 | 7.6 | 4.8 | 312 |
| BNP (pg/mL) | 10.1 | 132 | 275 | 548.8 | 8530 | 1 | 7.2 | 10.3 | 9.7 |
| CD14 (pg/mL) | 7.66 × 106 | 1.44 × 107 | 1.65 × 107 | 1.92 × 107 | 4.24 × 107 | 0.3 | 14.5 | 3.6 | 5.8 × 104 |
| CD40L (ng/mL) | 0.1 | 0.5 | 1.1 | 3.3 | 29.5 | 0.2 | 14.1 | 4.9 | 0.005 |
| Clusterin (pg/mL) | 1.54 × 106 | 4.44 × 107 | 5.07 × 107 | 5.88 × 107 | 1.23 × 108 | 0.4 | 12.6 | 9.1 | 1.5 × 104 |
| CRP mg/L | 0.2 | 1.2 | 2.6 | 5.5 | 99.8 | 0.2 | 5.3 | 3.2 | 0.2 |
| Cystatin C * (mg/L) | 0.6 | 0.9 | 1 | 1.1 | 7 | 1.6 | 3.3 | 2.4 | 0.3 |
| FGF-23 (pg/mL) | 19 | 56 | 69 | 89 | 434 | 13.6 | 13.4 | 5.5 | 18.7 |
| Fibrinogen (mg/dL) | 204 | 343 | 387 | 436 | 763 | 0.4 | 4.4 | 1.1 | 90 |
| GDF-15 (pg/mL) | 249 | 602 | 770 | 1030 | 2.1 × 104 | 0.3 | 2.9 | 2.3 | 40 |
| HbA1c (%) | 1.7 | 5.2 | 5.6 | 6.1 | 14.6 | 10.1 | <2.5 | <2.5 | 0 |
| HDL-C * (mg/dL) | 17 | 40 | 50.5 | 63 | 136 | 0.1 | 2.8 | 0.9 | 17 |
| Homocysteine * (umol/L) | 3.3 | 6.9 | 8.4 | 10.3 | 84.3 | 0.1 | 7 | 4.5 | 3.2 |
| ICAM-1 (ng/mL) | 29 | 217 | 247.1 | 290 | 1327.5 | 0.1 | 6 | 3.9 | <0.4 |
| IGF-1 (ng/mL) | 24.3 | 84.8 | 105.1 | 129.6 | 377.3 | 8.9 | 4.5 | 3.4 | 23.5 |
| IGFBP-1 (pg/mL) | 1000 | 5545 | 1.0 × 104 | 2.0 × 104 | 1.7 × 105 | 2.4 | 5.4 | 2.5 | 979 |
| IGFBP-2 * (pg/mL) | 1.79 × 106 | 8.24 × 106 | 1.22 × 107 | 1.77 × 107 | 9.31 × 107 | 0.8 | 8.7 | 6 | 1.6 × 106 |
| IGFBP-3 (pg/mL) | 9.4 × 104 | 1.8 × 105 | 2.2 × 105 | 2.6 × 105 | 6.2 × 105 | 0.5 | 18 | 4.4 | 272 |
| IL-6 (pg/mL) | 0.6 | 2.1 | 3.2 | 4.8 | 104.4 | 0.4 | 9 | 3.7 | <0.7 |
| Insulin (pmol/L) | 14.9 | 59.2 | 80.4 | 111.6 | 1296 | 1.2 | 6.1 | 3.9 | 12 |
| Leptin * (pg/mL) | 413 | 2290 | 5425 | 11875 | 129000 | 5.9 | 7 | 3.2 | 397 |
| MCP-1 * (pg/mL) | 34.5 | 267.1 | 328.4 | 398.3 | 2139.8 | 2 | 11.1 | 3.8 | 5.7 |
| MMP-9 (pg/mL) | 1.7 × 104 | 3.8 × 104 | 4.8 × 104 | 6.4 × 104 | 6.1 × 105 | 0.5 | 10 | 3.9 | 243 |
| MPO (ng/mL) | 4.9 | 27.4 | 38.9 | 58.7 | 332.1 | 3.1 | NR | 3.2 | 0.2 |
| OPG (pmol/L) | 0.6 | 5 | 6 | 7.1 | 26.9 | 0.3 | NR | 3.7 | 0.1 |
| PAI-1 * (pg/mL) | 4600 | 1.4 × 104 | 1.9 × 104 | 2.6 × 104 | 1.2 × 105 | 0.5 | 10.8 | 3.6 | 449 |
| P-selectin (ng/mL) | 2.5 | 29.4 | 37.3 | 46.8 | 194.9 | 0.2 | NR | 3.2 | <0.5 |
| Resistin (ng/dL) | 1.2 | 10.3 | 13.2 | 17.3 | 110 | 16.2 | 11 | 4.6 | 0.2 |
| TC (mg/dL) | 83 | 174 | 197 | 219 | 357 | 0 | 1.5 | 0.7 | 20 |
| TNF-a * (pg/dL) | 0.3 | 1 | 1.3 | 1.7 | 20.9 | 22.7 | 11.3 | 7.6 | 0.1 |
| TNFR-2 (pg/mL) | 681.6 | 1814.8 | 2170.1 | 2665.2 | 8383.4 | 2.4 | NR | 2.3 | 0.2 |
| VEGF (pg/mL) | 15.3 | 162.9 | 288.6 | 459.7 | 1728.4 | 8.4 | 14.7 | 4.3 | 9.2 |
| Vitamin B12 (pg/mL) | 54.7 | 323.1 | 411.2 | 522.9 | 2931.2 | 0.1 | 10 | 8.5 | 34.6 |
| Vitamin D (ng/mL) | 3.1 | 14.8 | 19.4 | 24.2 | 58.5 | 45.8 | 8.5 | NR | 2.2 |
| T-tau (pg/mL) | 0.8 | 3.3 | 4.1 | 5 | 17 | 30.6 | 7.5 | 4.1 | 0.01 |
| Dementia (n = 243) | No Dementia (n = 1399) | p Value | |
|---|---|---|---|
| Women | 144 (59.3) | 721 (51.5) | 0.03 |
| Age, years | 72 ± 6 | 68 ± 6 | <0.001 |
| MMSE (median, IQR) | 28 (27–29) | 29 (28–30) | <0.001 |
| Current smoker | 22 (9.1) | 118 (8.4) | 0.75 |
| Body mass index (BMI), kg/m2 | 27.6 ± 5.0 | 28.1 ± 5.1 | 0.14 |
| Total cholesterol, mg/dL | 195 ± 38 | 199 ± 36 | 0.11 |
| HDL cholesterol, mg/dL | 52 ± 17 | 53 ± 17 | 0.25 |
| Prevalent CVD | 62 (25.5) | 250 (17.9) | 0.005 |
| Prevalent stroke | 17 (7.0) | 57 (4.1) | 0.06 |
| Hypertension treatment | 125 (51.4) | 599 (42.8) | 0.01 |
| Diabetes | 14 (5.8) | 151 (10.8) | 0.01 |
| Systolic blood pressure, mmHg | 136± 20 | 132 ± 20 | 0.001 |
Publisher’s Note: MDPI stays neutral with regard to jurisdictional claims in published maps and institutional affiliations. |
© 2022 by the authors. Licensee MDPI, Basel, Switzerland. This article is an open access article distributed under the terms and conditions of the Creative Commons Attribution (CC BY) license (https://creativecommons.org/licenses/by/4.0/).
Share and Cite
Lin, H.; Himali, J.J.; Satizabal, C.L.; Beiser, A.S.; Levy, D.; Benjamin, E.J.; Gonzales, M.M.; Ghosh, S.; Vasan, R.S.; Seshadri, S.; et al. Identifying Blood Biomarkers for Dementia Using Machine Learning Methods in the Framingham Heart Study. Cells 2022, 11, 1506. https://doi.org/10.3390/cells11091506
Lin H, Himali JJ, Satizabal CL, Beiser AS, Levy D, Benjamin EJ, Gonzales MM, Ghosh S, Vasan RS, Seshadri S, et al. Identifying Blood Biomarkers for Dementia Using Machine Learning Methods in the Framingham Heart Study. Cells. 2022; 11(9):1506. https://doi.org/10.3390/cells11091506
Chicago/Turabian StyleLin, Honghuang, Jayandra J. Himali, Claudia L. Satizabal, Alexa S. Beiser, Daniel Levy, Emelia J. Benjamin, Mitzi M. Gonzales, Saptaparni Ghosh, Ramachandran S. Vasan, Sudha Seshadri, and et al. 2022. "Identifying Blood Biomarkers for Dementia Using Machine Learning Methods in the Framingham Heart Study" Cells 11, no. 9: 1506. https://doi.org/10.3390/cells11091506
APA StyleLin, H., Himali, J. J., Satizabal, C. L., Beiser, A. S., Levy, D., Benjamin, E. J., Gonzales, M. M., Ghosh, S., Vasan, R. S., Seshadri, S., & McGrath, E. R. (2022). Identifying Blood Biomarkers for Dementia Using Machine Learning Methods in the Framingham Heart Study. Cells, 11(9), 1506. https://doi.org/10.3390/cells11091506

