A Promising Method for the Determination of Cell Viability: The Membrane Potential Cell Viability Assay
Abstract
1. Introduction
2. Materials and Methods
2.1. Chemicals
2.2. Cell Culture
2.3. The Mechanism behind the Hypothesis
2.4. Fluovolt Dye Measurement with a Fluorescence Microscope
2.5. Assessment of Cell Viability with a Multispectral Imaging Flow Cytometer Amnis Image Stream Mark II
2.6. Evaluation of the Method Using Alternative Cell Death Pathways and Comparison with Standard Methods
2.7. Short Description of Standard Viability Methods
2.7.1. Cell Count
2.7.2. Propidium Iodide Method
2.7.3. MTT Assay
2.8. Statistical Analysis
3. Results
3.1. Fluovolt (FV) Suitability for Measuring Membrane Potential
3.2. The Behavior of FV When Culturing Cells with Triton
3.3. The Behavior of FV-Stained Cells When Evaluating Cell Viability
3.4. Cell Viability Prediction Performance of FV-Stained Cells with ISX
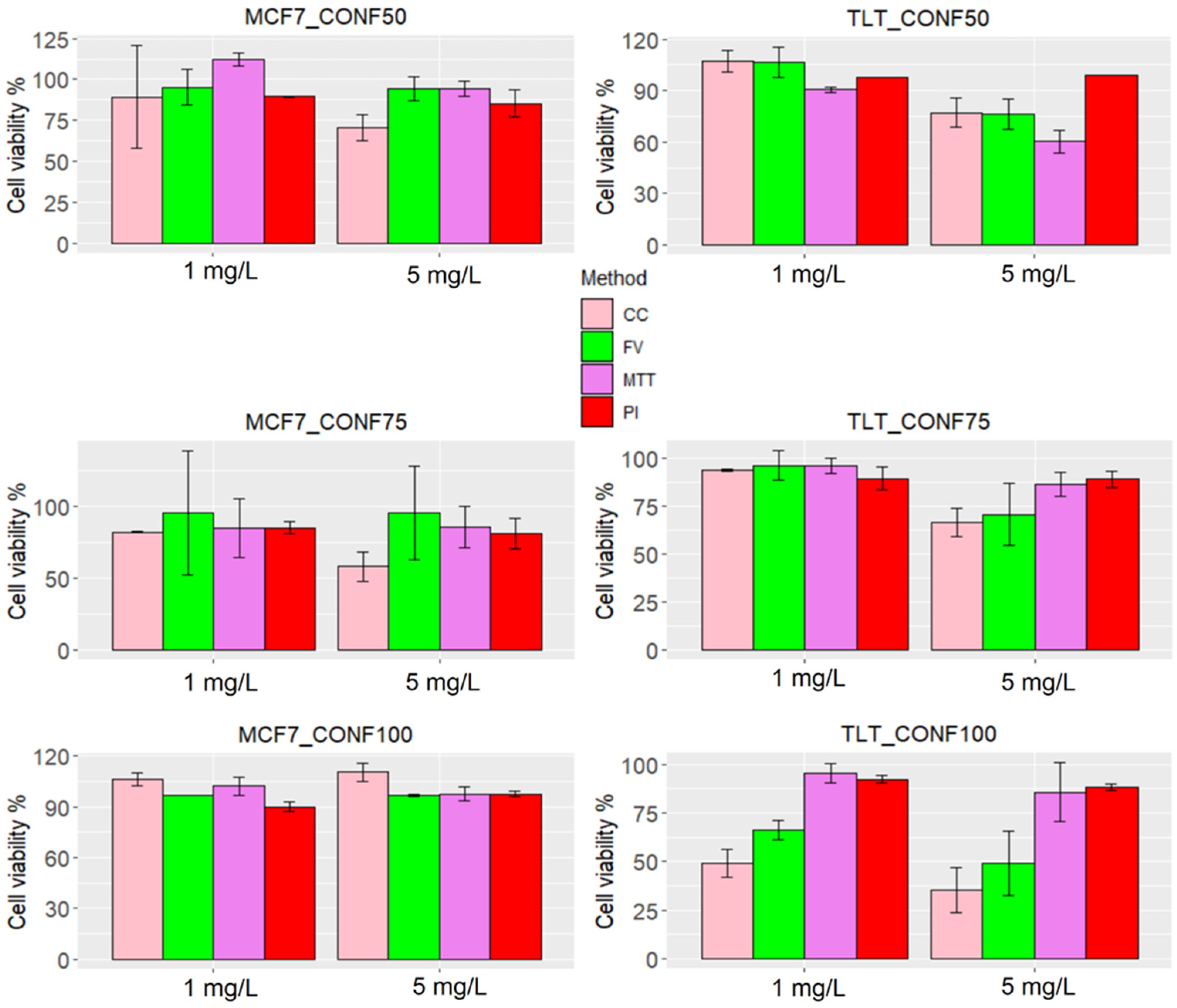
3.5. Comparison with Other Established Methods for Cell Viability Assessment
3.6. MPCVA Method Suitability with Alternative Cell Death Pathways
4. Discussion
4.1. Overall Applicability of the MPCVA Method
4.2. The Potential Use of the MPCVA Method to Determine Cell Death
4.3. Summary of the MPCVA Tests
4.4. Limitations of the MPCVA Method
5. Conclusions
Supplementary Materials
Author Contributions
Funding
Conflicts of Interest
Appendix A
Appendix A.1. Protocol
- Culture cells in a 96-well plate until the desired confluence is reached.
- Carefully aspirate media and add 50 µL of the FluoVolt™ Loading Solution. Incubate in the incubator for 30 min.
- Remove the FluoVolt™ Loading Solution and wash twice with PBS.
- Add the medium with the target contaminant. Monitor the cells with a fluorescence microscope capable of reading the FITC channel (we did not monitor the cells with the fluorescence microscope with the added DNA stain, but we recommend the addition of the latter).
Appendix A.2. Protocol
- Culture cells in a 96-well plate until the desired confluence is achieved.
- Carefully aspirate the medium and add the medium containing the target contaminant. Culture the cells for 24 h.
- Gently aspirate the medium and detach the cells with 100 µL trypsin. After detachment, pipette the cells with the trypsin medium into an Eppendorf. Add 500 µL PBS and centrifuge the Eppendorf at 330 g for 5 min.
- Carefully aspirate the supernatant. Add 500 µL PBS and centrifuge the Eppendorf at 330 g for 5 min.
- Gently aspirate the supernatant. Add 50 µL FluoVolt™ Loading Solution. Incubate for 30 min in the incubator.
- Remove the FluoVolt™ Loading Solution and wash twice with PBS (following the same procedure as in Point 4b).
- Add 50 µL PBS and analyze the cells in ISX. FluoVolt™ is excited with a 488 nm laser and is visible on channel 2. Duplicates are measured with at least a 1 h difference.
Appendix A.3. Protocol
- Culture cells in a 96-well plate until the desired confluence is reached.
- Carefully aspirate media and add the medium with the target contaminant. Culture the cells for 24 h.
- Carefully aspirate media and detach cells with 100 µL trypsin. After detachment, pipette the cells containing trypsin medium to an Eppendorf. Add 500 µL PBS and centrifuge the Eppendorf for 5 min at 330 g.
- Carefully aspirate the supernatant. Add 500 µL PBS and centrifuge the Eppendorf for 5 min at 330 g.
- Carefully aspirate the supernatant. Add 50 µL of the FluoVolt™ Loading Solution. Incubate in the incubator for 30 min.
- Remove the FluoVolt™ Loading Solution and wash twice with PBS (with the identical procedure as Point 4b).
- Add 50 µL Vybrant™ Ruby DyeCycle™ stain solution. Incubate in the incubator for 30 min.
- Analyze the cells in the ISX. FluoVolt™ is excited with a 488 nm laser and is visible at channel 2. Vybrant™ is excited with a 560 nm laser and is visible at channel 11. Duplicates are measured with at least 1 h difference.
Appendix B

References
- Bunel, V.; Ouedraogo, M.; Nguyen, A.T.; Stévigny, C.; Duez, P. Methods applied to the in vitro primary toxicology testing of natural products: State of the art, strengths, and limits. Planta Med. 2014, 80, 1210–1226. [Google Scholar] [CrossRef] [PubMed]
- Galluzzi, L.; Bravo-San Pedro, J.M.; Vitale, I.; Aaronson, S.A.; Abrams, J.M.; Adam, D.; Alnemri, E.S.; Altucci, L.; Andrews, D.; Annicchiarico-Petruzzelli, M.; et al. Essential versus accessory aspects of cell death: Recommendations of the NCCD 2015. Cell Death Differ. 2015, 22, 58–73. [Google Scholar] [PubMed]
- Wang, P.; Henning, S.M.; Heber, D. Limitations of MTT and MTS-based assays for measurement of antiproliferative activity of green tea polyphenols. PLoS ONE 2010, 5, e10202. [Google Scholar] [CrossRef] [PubMed]
- Jeong, H.; Tombor, B.; Albert, R.; Oltvai, Z.N.; Barabási, A.L. The large-scale organization of metabolic networks. Nature 2000, 407, 651–654. [Google Scholar] [CrossRef] [PubMed]
- Bortner, C.D.; Gomez-Angelats, M.; Cidlowski, J.A. Plasma membrane depolarization without repolarization is an early molecular event in anti-Fas-induced apoptosis. J. Biol. Chem. 2001, 276, 4304–4314. [Google Scholar] [CrossRef]
- Zhang, Y.; Chen, X.; Gueydan, C.; Han, J. Plasma membrane changes during programmed cell deaths. Cell Res. 2018, 28, 9–21. [Google Scholar] [CrossRef] [PubMed]
- Styblo, M.; Del Razo, L.M.; Vega, L.; Germolec, D.R.; LeCluyse, E.; Hamilton, G.A.; Reed, W.; Wang, C.; Cullen, W.R.; Thomas, D.J. Comparative toxicity of trivalent and pentavalent inorganic and methylated arsenicals in rat and human cells. Arch. Toxicol. 2000, 74, 289–299. [Google Scholar] [CrossRef] [PubMed]
- Sun, Y.K.; Wang, S.J.; Zhao, Y.Q. Effect of arsenic pentaoxide on proliferation and apoptosis of human umbilical vein endothelial cell. Zhongguo Yi Xue Ke Xue Yuan Xue Bao Acta Acad. Med. Sin. 2009, 31, 538–541. [Google Scholar]
- Tse, W.P.; Cheng, C.H.; Che, C.T.; Lin, Z.X. Arsenic trioxide, arsenic pentoxide, and arsenic iodide inhibit human keratinocyte proliferation through the induction of apoptosis. J. Pharmacol. Exp. Ther. 2008, 326, 388–394. [Google Scholar] [CrossRef] [PubMed]
- Rainieri, S.; Conlledo, N.; Langerholc, T.; Madorran, E.; Sala, M.; Barranco, A. Toxic effects of perfluorinated compounds at human cellular level and on a model vertebrate. Food Chem. Toxicol. 2017, 104, 14–25. [Google Scholar] [CrossRef] [PubMed]
- Boron, W.F.; Boulpaep, E.L. Medical Physiology: A Cellular and Molecular Approach; Saunders Elsevier: Philadelphia, PA, USA, 2012. [Google Scholar]
- Wright, S.H. Generation of resting membrane potential. Adv. Physiol. Educ. 2004, 28, 139–142. [Google Scholar] [CrossRef] [PubMed]
- Dolenšek, J.; Špelič, D.; Klemen, M.S.; Žalik, B.; Gosak, M.; Rupnik, M.S.; Stožer, A. Membrane Potential and Calcium Dynamics in Beta Cells from Mouse Pancreas Tissue Slices: Theory, Experimentation, and Analysis. Sensors 2015, 15, 27393–27419. [Google Scholar] [CrossRef] [PubMed]
- Bedut, S.; Seminatore-Nole, C.; Lamamy, V.; Caignard, S.; Boutin, J.A.; Nosjean, O.; Stephan, J.P.; Coge, F. High-throughput drug profiling with voltage- and calcium-sensitive fluorescent probes in human iPSC-derived cardiomyocytes. Am. J. Physiol. Heart Circ. Physiol. 2016, 311, H44–H53. [Google Scholar] [CrossRef] [PubMed]
- Miller, E.W.; Lin, J.Y.; Frady, E.P.; Steinbach, P.A.; Kristan, W.B.; Tsien, R.Y., Jr. Optically monitoring voltage in neurons by photo-induced electron transfer through molecular wires. Proc. Natl. Acad. Sci. USA 2012, 109, 2114–2119. [Google Scholar] [CrossRef]
- Woodford, C.R.; Frady, E.P.; Smith, R.S.; Morey, B.; Canzi, G.; Palida, S.F.; Araneda, R.C.; Kristan, J.W.B.; Kubiak, C.P.; Miller, E.W.; et al. Improved PeT molecules for optically sensing voltage in neurons. J. Am. Chem. Soc. 2015, 137, 1817–1824. [Google Scholar] [CrossRef]
- Veech, R.L.; Kashiwaya, Y.; King, M.T. The resting membrane potential of cells are measures of electrical work, not of ionic currents. Integr. Physiol. Behav. Sci. 1995, 30, 283–307. [Google Scholar] [CrossRef] [PubMed]
- Núñez, R.; Sancho-Martínez, S.M.; Novoa, J.M.L.; López-Hernández, F.J. Apoptotic volume decrease as a geometric determinant for cell dismantling into apoptotic bodies. Cell Death Differ. 2010, 17, 1665–1671. [Google Scholar] [CrossRef] [PubMed]
- Park, J.; Werley, C.A.; Venkatachalam, V.; Kralj, J.M.; Dib-Hajj, S.D.; Waxman, S.G.; Cohen, A.E. Screening fluorescent voltage indicators with spontaneously spiking HEK cells. PLoS ONE 2013, 8, e85221. [Google Scholar] [CrossRef] [PubMed]
- Rienecker, K.D.A.; Poston, R.G.; Saha, R.N. Merits and Limitations of Studying Neuronal Depolarization-Dependent Processes Using Elevated External Potassium. ASN Neuro 2020, 12, 1759091420974807. [Google Scholar] [CrossRef] [PubMed]
- Koley, D.; Bard, A.J. Triton X-100 concentration effects on membrane permeability of a single HeLa cell by scanning electrochemical microscopy (SECM). Proc. Natl. Acad. Sci. USA 2010, 107, 16783. [Google Scholar] [CrossRef] [PubMed]
- Demuynck, R.; Efimova, I.; Lin, A.; Declercq, H.; Krysko, D.V. A 3D Cell Death Assay to Quantitatively Determine Ferroptosis in Spheroids. Cells 2020, 9, 703. [Google Scholar] [CrossRef]
- Messam, C.A.; Pittman, R.N. Asynchrony and commitment to die during apoptosis. Exp. Cell Res. 1998, 238, 389–398. [Google Scholar] [CrossRef] [PubMed]
- Aragane, Y.; Kulms, D.; Metze, D.; Wilkes, G.; Pöppelmann, B.; Luger, T.A.; Schwarz, T. Ultraviolet light induces apoptosis via direct activation of CD95 (Fas/APO-1) independently of its ligand CD95L. J. Cell Biol. 1998, 140, 171–182. [Google Scholar] [CrossRef] [PubMed]
- Rehemtulla, A.; Hamilton, C.A.; Chinnaiyan, A.M.; Dixit, V.M. Ultraviolet radiation-induced apoptosis is mediated by activation of CD-95 (Fas/APO-1). J. Biol. Chem. 1997, 272, 25783–25786. [Google Scholar] [CrossRef]
- Rosette, C.; Karin, M. Ultraviolet light and osmotic stress: Activation of the JNK cascade through multiple growth factor and cytokine receptors. Science 1996, 274, 1194–1197. [Google Scholar] [CrossRef]
- Elmore, S. Apoptosis: A Review of Programmed Cell Death. Toxicol. Pathol. 2007, 35, 495–516. [Google Scholar] [CrossRef]
- Stožer, A.; Dolenšek, J.; Rupnik, M.S. Glucose-stimulated calcium dynamics in islets of Langerhans in acute mouse pancreas tissue slices. PLoS ONE 2013, 8, e54638. [Google Scholar] [CrossRef] [PubMed]
- Wiepz, G.J.; Edwin, F.; Patel, T.; Bertics, P.J. Methods for determining the proliferation of cells in response to EGFR ligands. Methods Mol. Biol. 2006, 327, 179–187. [Google Scholar]
- Rieger, A.M.; Nelson, K.L.; Konowalchuk, J.D.; Barreda, D.R. Modified annexin V/propidium iodide apoptosis assay for accurate assessment of cell death. J. Vis. Exp. 2011, 50, e2597. [Google Scholar] [CrossRef]
- van Meerloo, J.; Kaspers, G.J.; Cloos, J. Cell sensitivity assays: The MTT assay. Methods Mol. Biol. 2011, 731, 237–245. [Google Scholar]
- Zuba-Surma, E.K.; Kucia, M.; Abdel-Latif, A.; Lillard, J.W.; Ratajczak, M.Z., Jr. The ImageStream System: A key step to a new era in imaging. Folia Histochem. Cytobiol 2007, 45, 279–290. [Google Scholar] [PubMed]
- Li, J.; Cao, F.; Yin, H.L.; Huang, Z.J.; Lin, Z.T.; Mao, N.; Sun, B.; Wang, G. Ferroptosis: Past, present and future. Cell Death Dis. 2020, 11, 88. [Google Scholar] [CrossRef]
- Vanlangenakker, N.; Vanden Berghe, T.; Vandenabeele, P. Many stimuli pull the necrotic trigger, an overview. Cell Death Differ. 2012, 19, 75–86. [Google Scholar] [CrossRef]
- Fatokun, A.A.; Dawson, V.L.; Dawson, T.M. Parthanatos: Mitochondrial-linked mechanisms and therapeutic opportunities. Br. J. Pharmacol. 2014, 171, 2000–2016. [Google Scholar] [CrossRef] [PubMed]
- Robinson, N.; Ganesan, R.; Hegedűs, C.; Kovács, K.; Kufer, T.A.; Virág, L. Programmed necrotic cell death of macrophages: Focus on pyroptosis, necroptosis, and parthanatos. Redox Biol. 2019, 26, 101239. [Google Scholar] [CrossRef]
- Cho, K.-H.; Choi, S.-M.; Kim, B.-C.; Lee, S.; Park, M.-S.; Kim, M.-K.; Kim, J.-K. 5-fluorouracil-induced oligodendrocyte death and inhibitory effect of cycloheximide, Trolox, and Z-VAD-FMK in murine cortical culture. Cancer 2004, 100, 1484–1490. [Google Scholar] [CrossRef]
- Xiang, J.; Wan, C.; Guo, R.; Guo, D. Is Hydrogen Peroxide a Suitable Apoptosis Inducer for All Cell Types? BioMed Res. Int. 2016, 2016, 7343965. [Google Scholar] [CrossRef] [PubMed]
- Zhang, Y.; Wang, X.; Chen, C.; An, J.; Shang, Y.; Li, H.; Xia, H.; Yu, J.; Wang, C.; Liu, Y.; et al. Regulation of TBBPA-induced oxidative stress on mitochondrial apoptosis in L02 cells through the Nrf2 signaling pathway. Chemosphere 2019, 226, 463–471. [Google Scholar] [CrossRef] [PubMed]
- Noguchi, M.; Hirata, N.; Tanaka, T.; Suizu, F.; Nakajima, H.; Chiorini, J.A. Autophagy as a modulator of cell death machinery. Cell Death Dis. 2020, 11, 517. [Google Scholar] [CrossRef]
- Salucci, S.; Burattini, S.; Battistelli, M.; Baldassarri, V.; Maltarello, M.C.; Falcieri, E. Ultraviolet B (UVB) irradiation-induced apoptosis in various cell lineages in vitro. Int. J. Mol. Sci. 2012, 14, 532–546. [Google Scholar] [CrossRef]
- McCann, F.V.; Cole, J.J.; Guyre, P.M.; Russell, J.A. Action potentials in macrophages derived from human monocytes. Science 1983, 219, 991–993. [Google Scholar] [CrossRef]
- Berzingi, S.; Newman, M.; Yu, H.-G. Altering bioelectricity on inhibition of human breast cancer cells. Cancer Cell Int. 2016, 16, 1–9. [Google Scholar] [CrossRef] [PubMed]
- Bertrand, C.A.; Laboisse, C.; Hopfer, U.; Bridges, R.J.; Frizzell, R.A. Methods for detecting internalized, FM 1-43 stained particles in epithelial cells and monolayers. Biophys. J. 2006, 91, 3872–3883. [Google Scholar] [CrossRef] [PubMed]
- Urrego, D.; Tomczak, A.P.; Zahed, F.; Stühmer, W.; Pardo, L.A. Potassium channels in cell cycle and cell proliferation. Philos. Trans. R. Soc. Lond. B Biol. Sci. 2014, 369, 20130094. [Google Scholar] [CrossRef] [PubMed]
- Medda, N.; De, S.K.; Maiti, S. Different mechanisms of arsenic related signaling in cellular proliferation, apoptosis and neo-plastic transformation. Ecotoxicol. Environ. Saf. 2021, 208, 111752. [Google Scholar] [CrossRef]
- Ghasemi, M.; Turnbull, T.; Sebastian, S.; Kempson, I. The MTT Assay: Utility, Limitations, Pitfalls, and Interpretation in Bulk and Single-Cell Analysis. Int. J. Mol. Sci. 2021, 22, 12827. [Google Scholar] [CrossRef]
- Focaccetti, C.; Bruno, A.; Magnani, E.; Bartolini, D.; Principi, E.; Dallaglio, K.; Bucci, E.O.; Finzi, G.; Sessa, F.; Noonan, D.; et al. Effects of 5-fluorouracil on morphology, cell cycle, proliferation, apoptosis, autophagy and ROS production in endothelial cells and cardiomyocytes. PLoS ONE 2015, 10, e0115686. [Google Scholar] [CrossRef]
- Yan, G.; Elbadawi, M.; Efferth, T. Multiple cell death modalities and their key features (Review). World Acad. Sci. J. 2020, 2, 39–48. [Google Scholar] [CrossRef]
- Qi, R.; Shen, M.; Cao, X.; Guo, R.; Tian, X.; Yu, J.; Shi, X. Exploring the dark side of MTT viability assay of cells cultured onto electrospun PLGA-based composite nanofibrous scaffolding materials. Analyst 2011, 136, 2897–2903. [Google Scholar] [CrossRef] [PubMed]
- Bortner, C.D.; Cidlowski, J.A. Apoptotic volume decrease and the incredible shrinking cell. Cell Death Differ. 2002, 9, 1307–1310. [Google Scholar] [CrossRef]
- Galluzzi, L.; Vitale, I.; Aaronson, S.A.; Abrams, J.M.; Adam, D.; Agostinis, P.; Alnemri, E.S.; Altucci, L.; Amelio, I.; Andrews, D.W.; et al. Molecular mechanisms of cell death: Recommendations of the Nomenclature Committee on Cell Death 2018. Cell Death Differ. 2018, 25, 486–541. [Google Scholar] [CrossRef]
- Oh, S.; Xiaofer, E.; Ni, D.; Pirooz, S.D.; Lee, J.-Y.; Lee, D.; Zhao, Z.; Lee, S.; Lee, H.; Ku, B.; et al. Downregulation of autophagy by Bcl-2 promotes MCF7 breast cancer cell growth independent of its inhibition of apoptosis. Cell Death Differ. 2011, 18, 452–464. [Google Scholar] [CrossRef] [PubMed]
- Fani, S.; Dehghan, F.; Karimian, H.; Mun Lo, K.; Ebrahimi Nigjeh, S.; Swee Keong, Y.; Soori, R.; May Chow, K.; Kamalidehghan, B.; Mohd Ali, H.; et al. Monobenzyltin Complex C1 Induces Apoptosis in MCF-7 Breast Cancer Cells through the Intrinsic Signaling Pathway and through the Targeting of MCF-7-Derived Breast Cancer Stem Cells via the Wnt/β-Catenin Signaling Pathway. PLoS ONE 2016, 11, e0160836. [Google Scholar] [CrossRef] [PubMed]
- Longley, D.B.; Harkin, D.P.; Johnston, P.G. 5-fluorouracil: Mechanisms of action and clinical strategies. Nat. Rev. Cancer 2003, 3, 330–338. [Google Scholar] [CrossRef]
- Bhuyan, A.K.; Varshney, A.; Mathew, M.K. Resting membrane potential as a marker of apoptosis: Studies on Xenopus oocytes microinjected with cytochrome c. Cell Death Differ. 2001, 8, 63–69. [Google Scholar] [CrossRef]
- Dias, C.; Nylandsted, J. Plasma membrane integrity in health and disease: Significance and therapeutic potential. Cell Discov. 2021, 7, 4. [Google Scholar] [CrossRef] [PubMed]
- Leist, M.; Efremova, L.; Karreman, C. Food for thought considerations and guidelines for basic test method descriptions in toxicology. Altex 2010, 27, 309–317. [Google Scholar] [CrossRef] [PubMed]
- Krebs, A.; Waldmann, T.; Wilks, M.F.; Van Vugt-Lussenburg, B.M.A.; Van Der Burg, B.; Terron, A.; Steger-Hartmann, T.; Ruegg, J.; Rovida, C.; Pedersen, E.; et al. Template for the description of cell-based toxicological test methods to allow evaluation and regulatory use of the data. Altex 2019, 36, 682–699. [Google Scholar] [CrossRef]










| Characteristic | Description |
|---|---|
| Determination of correlation | The correlation of cell viability and FV intensity was observed using a fluorescence microscope. After finding a significant correlation, we increased the sample size and added toxic substances to observe the accuracy and universality of the assay using an imaging flow cytometer. In this way, we demonstrated a correlation between membrane potential and cell viability. |
| Suitability for different cell types | The method was tested on epithelial cells and macrophages, and confirmed to be suitable for monitoring cell viability. The method should be further tested with special attention to fibroblasts and neuronal cells, to confirm its suitability for these cell types as well. |
| Low toxicity of the FV dye | We monitored the cells for 80 h and found no signs of toxicity in the control groups (the cells continued to proliferate 80 h after the introduction of the dye). The low toxicity using the improved protocol (with the addition of a DNA dye) should be further tested over 80 h, as the latter dye could affect cell proliferation. |
| Monitoring capability | We were able to monitor cells for 80 h and observe cell replication (unlike MTT and PI, for example). This capability allows for more detailed and continuous observation of cell death. In addition, the results of the fluorescence microscope and the flow cytometer can be compared. |
| Applicability independent of cell confluence % | The confluence of the cells (tested at 50, 75, and 100% confluence) did not affect the performance of the assay. |
| High reproducibility of results | Single viable cells had similar FV intensity values during the 80 h monitoring period. We also observed a similar range of viable FV intensity between samples with different confluence values. This indicates that the method is reproducible. |
| Independent of dye loading capacity | Compensation of dye intensity with dye area effectively prevented degradation of method performance at different dye loadings. |
| Applicable for proliferating cells | We performed the experiment at 50% and 75% confluency (among other confluency values), which means that the cells proliferated. Few false positives were observed in these samples, which could be avoided with the improved protocol (addition of DNA stain). |
| Sensitivity to different cell death rates | We tested the method with different toxic substances at different concentrations to induce different cell death rates (from low to extremely high cell death). The accuracy of the MPCVA method was constant in the different scenarios. |
| High accuracy | The assay has high accuracy in predicting the cell death rates of the samples. The improved assay (using DNA dye and cell number) avoided possible false-positive events related to cell proliferation. |
| Flexible | Considering the experimental setup and the desired outcome of the study, the method can be modified. If the experimental setup is prone to false positives or false negatives, the method can be modulated to reduce these events (by decreasing or increasing the range of viable FV intensity). |
| Possible extensions of the protocol with other dyes | By adding a DNA dye, and by compensating with the cell number of each sample while performing the assay, the method could make even more accurate predictions of cell death events. Thus, the dye FV can be used with other dyes to increase the power of the method. |
| Comparable results with other established methods in predicting cell viability | The improved MPCVA method provided comparable results for cell viability as the cell counting method. In addition, the improved MPCVA method was more reliable in assessing cell viability than the MTT assay and the PI method in certain cases. |
| Determination of cell death pathway | We observed different trends in the results of the method for different toxicants. This may indicate that the assay can detect different cell death pathways. |
Publisher’s Note: MDPI stays neutral with regard to jurisdictional claims in published maps and institutional affiliations. |
© 2022 by the authors. Licensee MDPI, Basel, Switzerland. This article is an open access article distributed under the terms and conditions of the Creative Commons Attribution (CC BY) license (https://creativecommons.org/licenses/by/4.0/).
Share and Cite
Madorran, E.; Stožer, A.; Arsov, Z.; Maver, U.; Rožanc, J. A Promising Method for the Determination of Cell Viability: The Membrane Potential Cell Viability Assay. Cells 2022, 11, 2314. https://doi.org/10.3390/cells11152314
Madorran E, Stožer A, Arsov Z, Maver U, Rožanc J. A Promising Method for the Determination of Cell Viability: The Membrane Potential Cell Viability Assay. Cells. 2022; 11(15):2314. https://doi.org/10.3390/cells11152314
Chicago/Turabian StyleMadorran, Eneko, Andraž Stožer, Zoran Arsov, Uroš Maver, and Jan Rožanc. 2022. "A Promising Method for the Determination of Cell Viability: The Membrane Potential Cell Viability Assay" Cells 11, no. 15: 2314. https://doi.org/10.3390/cells11152314
APA StyleMadorran, E., Stožer, A., Arsov, Z., Maver, U., & Rožanc, J. (2022). A Promising Method for the Determination of Cell Viability: The Membrane Potential Cell Viability Assay. Cells, 11(15), 2314. https://doi.org/10.3390/cells11152314

