Radiotherapy in the Management of Pediatric and Adult Osteosarcomas: A Multi-Institutional Cohort Analysis
Abstract
1. Introduction
2. Materials and Methods
2.1. Data Extraction
2.2. Analyzed Parameters
2.3. Data Interpretation
2.4. Endpoints
2.5. Statistical Analysis
3. Results
3.1. Patients Characteristics
3.2. Radiotherapy Characteristics
3.3. Response to Radiotherapy
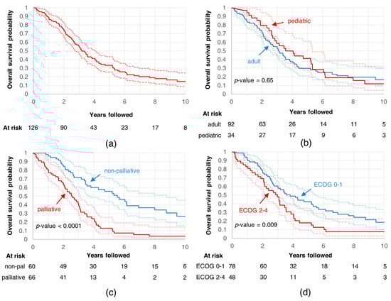
3.4. Survival
4. Discussion
5. Conclusions
Supplementary Materials
Author Contributions
Funding
Institutional Review Board Statement
Informed Consent Statement
Data Availability Statement
Conflicts of Interest
References
- Casali, P.G.; Bielack, S.; Abecassis, N.; Aro, H.T.; Bauer, S.; Biagini, R.; Bonvalot, S.; Boukovinas, I.; Bovee, J.V.M.G.; Brennan, B.; et al. Bone Sarcomas: ESMO-PaedCan-EURACAN Clinical Practice Guidelines for Diagnosis, Treatment and Follow-Up. Ann. Oncol. 2018, 29, iv79–iv95. [Google Scholar] [CrossRef]
- Biermann, J.S.; Chow, W.; Reed, D.R.; Lucas, D.; Adkins, D.R.; Agulnik, M.; Benjamin, R.S.; Brigman, B.; Budd, G.T.; Curry, W.T.; et al. NCCN Guidelines Insights: Bone Cancer, Version 2.2017. J. Natl. Compr. Canc. Netw. 2017, 15, 155–167. [Google Scholar] [CrossRef] [PubMed]
- Fuchs, B.; Pritchard, D.J. Etiology of Osteosarcoma. Clin. Orthop. Relat. Res. 2002, 397, 40–52. [Google Scholar] [CrossRef]
- Weichselbaum, R.; Little, J.B.; Nove, J. Response of Human Osteosarcoma in Vitro to Irradiation: Evidence for Unusual Cellular Repair Activity. Int. J. Radiat. Biol. Relat. Stud. Phys. Chem. Med. 1977, 31, 295–299. [Google Scholar] [CrossRef]
- Hundsdoerfer, P.; Albrecht, M.; Rühl, U.; Fengler, R.; Kulozik, A.E.; Henze, G. Long-Term Outcome after Polychemotherapy and Intensive Local Radiation Therapy of High-Grade Osteosarcoma. Eur. J. Cancer 2009, 45, 2447–2451. [Google Scholar] [CrossRef]
- Brown, L.C.; Lester, R.A.; Grams, M.P.; Haddock, M.G.; Olivier, K.R.; Arndt, C.A.S.; Rose, P.S.; Laack, N.N. Stereotactic Body Radiotherapy for Metastatic and Recurrent Ewing Sarcoma and Osteosarcoma. Sarcoma 2014, 2014. [Google Scholar] [CrossRef]
- Kaminuma, T.; Okamoto, M.; Kiyohara, H.; Yanagawa, T.; Shibuya, K.; Okano, N.; Shiba, S.; Mori, Y.; Saitoh, K.I.; Nozaki, T.; et al. Carbon-Ion Radiotherapy for Bone and Soft Tissue Tumors; Analysis of 92 Patients at Gunma University Heavy Ion Medical Center (GHMC). Int. J. Radiat. Oncol. Biol. Phys. 2019, 105, E806–E807. [Google Scholar] [CrossRef]
- Mohamad, O.; Imai, R.; Kamada, T.; Nitta, Y.; Araki, N. Carbon Ion Radiotherapy for Inoperable Pediatric Osteosarcoma. Oncotarget 2018, 9, 22976–22985. [Google Scholar] [CrossRef]
- DeLaney, T.F.; Park, L.; Goldberg, S.I.; Hug, E.B.; Liebsch, N.J.; Munzenrider, J.E.; Suit, H.D. Radiotherapy for Local Control of Osteosarcoma. Int. J. Radiat Oncol. Biol. Phys. 2005, 61, 492–498. [Google Scholar] [CrossRef] [PubMed]
- Schwarz, R.; Bruland, O.; Cassoni, A.; Schomberg, P.; Bielack, S. The Role of Radiotherapy in Oseosarcoma. Cancer Treat. Res. 2009, 152, 147–164. [Google Scholar] [CrossRef]
- Guckenberger, M.; Lievens, Y.; Bouma, A.B.; Collette, L.; Dekker, A.; deSouza, N.M.; Dingemans, A.-M.C.; Fournier, B.; Hurkmans, C.; Lecouvet, F.E.; et al. Characterisation and Classification of Oligometastatic Disease: A European Society for Radiotherapy and Oncology and European Organisation for Research and Treatment of Cancer Consensus Recommendation. Lancet Oncol. 2020, 21, e18–e28. [Google Scholar] [CrossRef]
- Stragliotto, C.L.; Karlsson, K.; Lax, I.; Rutkowska, E.; Bergh, J.; Strander, H.; Blomgren, H.; Friesland, S. A Retrospective Study of SBRT of Metastases in Patients with Primary Sarcoma. Med. Oncol. 2012, 29, 3431–3439. [Google Scholar] [CrossRef]
- Thames, H.D.; Suit, H.D. Tumor Radioresponsiveness versus Fractionation Sensitivity. Int. J. Radiat. Oncol. Biol. Phys. 1986, 12, 687–691. [Google Scholar] [CrossRef]
- Haas, R.L.M.; Miah, A.B.; LePechoux, C.; DeLaney, T.F.; Baldini, E.H.; Alektiar, K.; O’Sullivan, B. Preoperative Radiotherapy for Extremity Soft Tissue Sarcoma; Past, Present and Future Perspectives on Dose Fractionation Regimens and Combined Modality Strategies. Radiother. Oncol. 2016, 119, 14–21. [Google Scholar] [CrossRef]
- Tolomeo, F.; Gatti, M.; D’Ambrosio, L.; Rampino, M.; Boglione, A.; Merlini, A.; Manessi, G.; Miano, S.; Salatino, A.; Cattari, G.; et al. Tumor Control with Palliative External Beam Radiation Therapy (EBRT) in Advanced and Unresectable Osteosarcoma (OS) Progressing after Standard Treatment. JCO 2019, 37, e22508. [Google Scholar] [CrossRef]
- Scandinavian Sarcoma Group. Available online: http://www.ssg-org.net/treatment-protocols-and-recommendations/ongoing (accessed on 25 December 2020).
- GEIS Guides—GEIS Group. Available online: http://grupogeis.org/index.php/en/scientific-activity/guides-and-nomograms/geis-guides (accessed on 25 December 2020).
- Gaitán-Yanguas, M. A Study of the Response of Osteogenic Sarcoma and Adjacent Normal Tissues to Radiation. Int. J. Radiat. Oncol. Biol. Phys. 1981, 7, 593–595. [Google Scholar] [CrossRef]
- Dinçbaş, F.O.; Koca, S.; Mandel, N.M.; Hiz, M.; Dervişoğlu, S.; Seçmezacar, H.; Oksüz, D.C.; Ceylaner, B.; Uzel, B. The Role of Preoperative Radiotherapy in Nonmetastatic High-Grade Osteosarcoma of the Extremities for Limb-Sparing Surgery. Int. J. Radiat Oncol. Biol. Phys. 2005, 62, 820–828. [Google Scholar] [CrossRef]
- Spałek, M.J.; Rutkowski, P. Coronavirus Disease (COVID-19) Outbreak: Hypofractionated Radiotherapy in Soft Tissue Sarcomas as a Valuable Option in the Environment of Limited Medical Resources and Demands for Increased Protection of Patients. Front. Oncol. 2020, 10. [Google Scholar] [CrossRef] [PubMed]
- European Organisation for Research and Treatment of Cancer—EORTC. Stereotactic Body Radiotherapy in Addition to Standard of Care Treatment in Patients With Rare Oligometastatic Cancers (OligoRARE): A Randomized, Phase 3, Open-Label. Trial; clinicaltrials.gov; EORTC: Zurich, Switzerland, 2020. [Google Scholar]
- Tinganelli, W.; Durante, M. Carbon Ion Radiobiology. Cancers 2020, 12, 3022. [Google Scholar] [CrossRef]
- Bronk, L.; Guan, F.; Patel, D.; Ma, D.; Kroger, B.; Wang, X.; Tran, K.; Yiu, J.; Stephan, C.; Debus, J.; et al. Mapping the Relative Biological Effectiveness of Proton, Helium and Carbon Ions with High-Throughput Techniques. Cancers 2020, 12, 3658. [Google Scholar] [CrossRef] [PubMed]
- Malouff, T.D.; Mahajan, A.; Krishnan, S.; Beltran, C.; Seneviratne, D.S.; Trifiletti, D.M. Carbon Ion Therapy: A Modern Review of an Emerging Technology. Front. Oncol. 2020, 10, 82. [Google Scholar] [CrossRef] [PubMed]
- Kim, E.H.; Kim, M.-S.; Takahashi, A.; Suzuki, M.; Vares, G.; Uzawa, A.; Fujimori, A.; Ohno, T.; Sai, S. Carbon-Ion Beam Irradiation Alone or in Combination with Zoledronic Acid Effectively Kills Osteosarcoma Cells. Cancers 2020, 12, 698. [Google Scholar] [CrossRef] [PubMed]
- Matsunobu, A.; Imai, R.; Kamada, T.; Imaizumi, T.; Tsuji, H.; Tsujii, H.; Shioyama, Y.; Honda, H.; Tatezaki, S. Impact of Carbon Ion Radiotherapy for Unresectable Osteosarcoma of the Trunk. Cancer 2012, 118, 4555–4563. [Google Scholar] [CrossRef]
- Mokánszki, A.; Chang Chien, Y.-C.; Mótyán, J.A.; Juhász, P.; Bádon, E.S.; Madar, L.; Szegedi, I.; Kiss, C.; Méhes, G. Novel RB1 and MET Gene Mutations in a Case with Bilateral Retinoblastoma Followed by Multiple Metastatic Osteosarcoma. Diagnostics 2020, 11, 28. [Google Scholar] [CrossRef] [PubMed]
- Böhm, P.; Fritz, J.; Thiede, S.; Budach, W. Reimplantation of Extracorporeal Irradiated Bone Segments in Musculoskeletal Tumor Surgery: Clinical Experience in Eight Patients and Review of the Literature. Langenbecks Arch. Surg. 2003, 387, 355–365. [Google Scholar] [CrossRef] [PubMed]
- Machak, G.N.; Tkachev, S.I.; Solovyev, Y.N.; Sinyukov, P.A.; Ivanov, S.M.; Kochergina, N.V.; Ryjkov, A.D.; Tepliakov, V.V.; Bokhian, B.Y.; Glebovskaya, V.V. Neoadjuvant Chemotherapy and Local Radiotherapy for High-Grade Osteosarcoma of the Extremities. Mayo Clin. Proc. 2003, 78, 147–155. [Google Scholar] [CrossRef] [PubMed]
- Hız, M.; Karaismailoglu, B.; Ulutas, S.; Camurdan, V.B.; Gorgun, B.; Oner Dincbas, F. The Effect of Preoperative Radiotherapy on Local Control and Prognosis in High-Grade Non-Metastatic Intramedullary Osteosarcoma of the Extremities. Arch. Orthop. Trauma Surg. 2020. [Google Scholar] [CrossRef]
- Ran, Q.; Jin, F.; Xiang, Y.; Xiang, L.; Wang, Q.; Li, F.; Chen, L.; Zhang, Y.; Wu, C.; Zhou, L.; et al. CRIF1 as a Potential Target to Improve the Radiosensitivity of Osteosarcoma. Proc. Natl. Acad. Sci. USA 2019, 116, 20511–20516. [Google Scholar] [CrossRef]
- Zuch, D.; Giang, A.-H.; Shapovalov, Y.; Schwarz, E.; Rosier, R.; O’Keefe, R.; Eliseev, R.A. Targeting Radioresistant Osteosarcoma Cells with Parthenolide. J. Cell Biochem. 2012, 113, 1282–1291. [Google Scholar] [CrossRef] [PubMed]
- Popescu, R.C.; Straticiuc, M.; Mustăciosu, C.; Temelie, M.; Trușcă, R.; Vasile, B.Ș.; Boldeiu, A.; Mirea, D.; Andrei, R.F.; Cenușă, C.; et al. Enhanced Internalization of Nanoparticles Following Ionizing Radiation Leads to Mitotic Catastrophe in MG-63 Human Osteosarcoma Cells. Int. J. Mol. Sci. 2020, 21, 7220. [Google Scholar] [CrossRef] [PubMed]
- Siegel, R.L.; Miller, K.D.; Jemal, A. Cancer Statistics, 2020. CA A Cancer J. Clin. 2020, 70, 7–30. [Google Scholar] [CrossRef] [PubMed]
- Mirabello, L.; Troisi, R.J.; Savage, S.A. Osteosarcoma Incidence and Survival Rates from 1973 to 2004: Data from the Surveillance, Epidemiology, and End Results Program. Cancer 2009, 115, 1531–1543. [Google Scholar] [CrossRef] [PubMed]



| Characteristic | Value | |
|---|---|---|
| Age at diagnosis | Median | 28.1 |
| Interquartile range | 7.5–48.8 | |
| Number of patients (%) | ||
| Sex | Female | 53 (42.1) |
| Male | 73 (57.9) | |
| Primary site | Head and neck | 16 (12.7) |
| Thorax | 5 (4) | |
| Pelvis | 22 (17.5) | |
| Upper arm | 18 (14.3) | |
| Thigh | 38 (30.2) | |
| Calf | 15 (11.9) | |
| Spine | 12 (9.5) | |
| Osteosarcoma pathological subtype 1 | Osteoblastic | 38 (26.4) |
| Chondroblastic | 22 (15.3) | |
| Fibroblastic | 8 (5.6) | |
| Intramedullary/intraosseus | 3 (2.1) | |
| Small cell | 3 (2.1) | |
| Extraskeletal | 4 (2.8) | |
| High-grade surface | 2 (1.4) | |
| Telangiectatic | 3 (2.1) | |
| Parosteal | 2 (1.4) | |
| Periosteal | 1 (0.7) | |
| Postradiation | 5 (3.5) | |
| No data | 53 (36.8) | |
| Underwent curative surgery | Yes | 97 (77) |
| No | 29 (23) | |
| Underwent perioperative chemotherapy | Yes | 87 (69) |
| No | 10 (7.9) | |
| Not applicable | 29 (23) | |
| Distant metastases at the moment of diagnosis | Yes | 32 (25.4) |
| No | 94 (74.6) | |
| Number of radiotherapy treatments | 1 | 88 (69.8) |
| 2 | 25 (19.8) | |
| 3 | 11 (8.7) | |
| 4 | 1 (0.8) | |
| 6 | 1 (0.8) |
| Parameter | Palliative | Non-Palliative | |||||
|---|---|---|---|---|---|---|---|
| 2000–2010 n = 33 | 2011–2020 n = 78 | p-Value | 2000–2010 n = 16 | 2011–2020 n = 54 | p-Value | ||
| Technique (%) | 2D | 26 (78.8) | 38 (48.7) | 0.006 | 2 (12.5) | 2 (3.7) | 0.044 |
| 3D | 7 (21.2) | 28 (35.9) | 8 (50.0) | 10 (18.5) | |||
| IMRT/VMAT | 0 | 12 (15.4) | 3 (18.8) | 24 (44.4) | |||
| SBRT/SRS | 0 | 0 | 3 (18.8) | 15 (27.8) | |||
| PT | 0 | 0 | 0 | 3 (5.6) | |||
| Target volume (%) | Primary tumor | 2 (6.1) | 16 (20.5) | 0.093 | 10 (62.5) | 16 (29.6) | 0.055 |
| Recurrent tumor | 5 (15.2) | 16 (20.5) | 1 (6.2) | 9 (16.7) | |||
| Metastatic lesion(s) | 26 (78.8) | 46 (59.0) | 5 (31.2) | 29 (53.7) | |||
| Site (%) | CNS | 0 | 10 (12.8) | 0.084 | 1 (6.2) | 2 (3.7) | 0.820 |
| Head and neck | 2 (6.1) | 2 (2.6) | 3 (18.8) | 12 (22.2) | |||
| Thorax | 10 (30.3) | 10 (12.8) | 4 (25.0) | 17 (31.5) | |||
| Abdomen | 0 | 0 | 0 | 2 (3.7) | |||
| Pelvis | 9 (27.3) | 19 (24.4) | 5 (31.2) | 9 (16.7) | |||
| Spine | 7 (21.2) | 20 (25.6) | 3 (18.8) | 8 (14.8) | |||
| Upper extremity | 4 (12.1) | 8 (10.3) | 0 | 1 (1.9) | |||
| Lower extremity | 1 (3.0) | 9 (11.5) | 0 | 3 (5.6) | |||
| Median EQD2 in Gy (IQR) | 26.7 (6–26.7) | 26.7 (6.7–26.7) | 0.044 * | 42 (41.1–50.6) | 59.8 (38.6–70) | 0.071 | |
| Median fraction dose in Gy (IQR) | 4 (4–8) | 4 (4–4) | 0.302 | 3 (2.8–4) | 3 (2–5) | 0.815 | |
| Concurrent systemic treatment (%) | Yes | 6 (18.2) | 19 (24.4) | 0.643 | 1 (6.2) | 15 (27.8) | 0.144 |
| No | 27 (81.8) | 59 (75.6) | 15 (93.8) | 39 (72.2) | |||
| Parameter | In-Field Progression n = 14 | Without In-Field Progression n = 56 | p-Value | |
|---|---|---|---|---|
| Technique (%) | 2D | 0 (0.0) | 4 (7.1) | 0.418 |
| 3D | 2 (14.3) | 16 (28.6) | ||
| IMRT/VMAT | 8 (57.1) | 19 (33.9) | ||
| SBRT/SRS | 3 (21.4) | 15 (26.8) | ||
| PT | 1 (7.1) | 2 (3.6) | ||
| Intent (%) | Adjuvant R0 | 0 (0.0) | 4 (7.1) | 0.02 |
| Adjuvant R1/R2 | 3 (21.4) | 18 (32.1) | ||
| Definitive unresectable | 5 (35.7) | 8 (14.3) | ||
| Neoadjuvant | 0 (0.0) | 3 (5.4) | ||
| Oligometastatic | 4 (28.6) | 23 (41.1) | ||
| Oligoprogressive | 2 (14.3) | 0 (0.0) | ||
| Site (%) | CNS | 0 | 3 (5.4) | 0.734 |
| Head and neck | 4 (28.6) | 11 (19.6) | ||
| Thorax | 3 (21.4) | 18 (32.1) | ||
| Abdomen | 1 (7.1) | 1 (1.8) | ||
| Pelvis | 4 (28.6) | 10 (17.9) | ||
| Spine | 2 (14.3) | 9 (16.1) | ||
| Upper extremity | 0 | 1 (1.8) | ||
| Lower extremity | 0 | 3 (5.4) | ||
| Median EQD2 in Gy (IQR) | 60 (4–70) | 50 (38.3–68.4) | 0.566 | |
| Median fraction dose in Gy (IQR) | 2.5 (2–4.8) | 3 (2.2–5) | 0.153 | |
| Concurrent systemic treatment (%) | Yes | 5 (35.7) | 11 (19.6) | 0.355 |
| No | 9 (64.3) | 45 (80.4) |
Publisher’s Note: MDPI stays neutral with regard to jurisdictional claims in published maps and institutional affiliations. |
© 2021 by the authors. Licensee MDPI, Basel, Switzerland. This article is an open access article distributed under the terms and conditions of the Creative Commons Attribution (CC BY) license (http://creativecommons.org/licenses/by/4.0/).
Share and Cite
Spałek, M.J.; Poleszczuk, J.; Czarnecka, A.M.; Dudzisz-Śledź, M.; Napieralska, A.; Matysiakiewicz, J.; Chojnacka, M.; Raciborska, A.; Sztuder, A.; Maciejczyk, A.; et al. Radiotherapy in the Management of Pediatric and Adult Osteosarcomas: A Multi-Institutional Cohort Analysis. Cells 2021, 10, 366. https://doi.org/10.3390/cells10020366
Spałek MJ, Poleszczuk J, Czarnecka AM, Dudzisz-Śledź M, Napieralska A, Matysiakiewicz J, Chojnacka M, Raciborska A, Sztuder A, Maciejczyk A, et al. Radiotherapy in the Management of Pediatric and Adult Osteosarcomas: A Multi-Institutional Cohort Analysis. Cells. 2021; 10(2):366. https://doi.org/10.3390/cells10020366
Chicago/Turabian StyleSpałek, Mateusz Jacek, Jan Poleszczuk, Anna Małgorzata Czarnecka, Monika Dudzisz-Śledź, Aleksandra Napieralska, Jacek Matysiakiewicz, Marzanna Chojnacka, Anna Raciborska, Aleksandra Sztuder, Adam Maciejczyk, and et al. 2021. "Radiotherapy in the Management of Pediatric and Adult Osteosarcomas: A Multi-Institutional Cohort Analysis" Cells 10, no. 2: 366. https://doi.org/10.3390/cells10020366
APA StyleSpałek, M. J., Poleszczuk, J., Czarnecka, A. M., Dudzisz-Śledź, M., Napieralska, A., Matysiakiewicz, J., Chojnacka, M., Raciborska, A., Sztuder, A., Maciejczyk, A., Szulc, A., Skóra, T., Cybulska-Stopa, B., Winiecki, T., Kaźmierska, J., Tomasik, B., Fijuth, J., & Rutkowski, P. (2021). Radiotherapy in the Management of Pediatric and Adult Osteosarcomas: A Multi-Institutional Cohort Analysis. Cells, 10(2), 366. https://doi.org/10.3390/cells10020366

