Influence of Zeolite and Phosphorus Applications on Water Use, P Uptake and Yield in Rice under Different Irrigation Managements
Abstract
1. Introduction
2. Materials and Methods
2.1. Site Description and Materials
2.2. Experimental Design
2.3. Sampling and Measurements
2.4. Statistical Analysis
3. Results
3.1. Grain Yield and Yield Components
3.2. Total Water Consumption and WUE
3.3. Aboveground Dry Weight and P Uptake
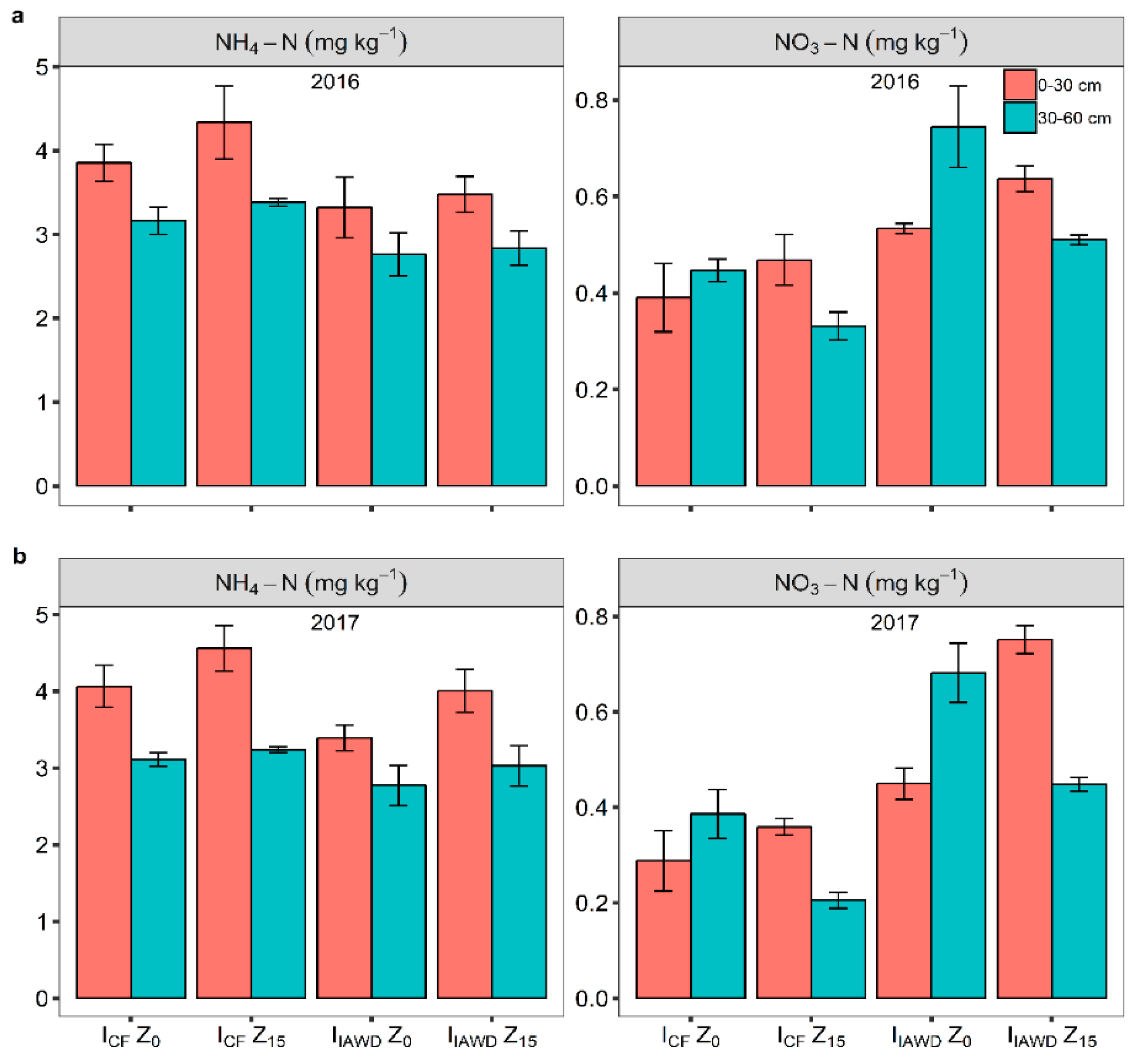
3.4. Soil Available P and Inorganic N Content
3.5. Correlation Among Traits
4. Discussion
4.1. Effect of Irrigation, Phosphorus and Zeolite Application on Grain Yield
4.2. Effect of Irrigation, Phosphorus, and Zeolite Application on Water Use
4.3. Effect of Irrigation and Zeolite Application on P Uptake
5. Conclusions
Author Contributions
Funding
Acknowledgments
Conflicts of Interest
References
- FAO. FAOSTAT Data. 2016. Available online: http://faostat3. fao.org/browse/FB/CC/E (accessed on 03 March 2016).
- Bouman, B.A.M.; Tuong, T.P. Field water management to save water and increase its productivity in irrigated rice. Agric. Water Manag. 2001, 49, 11–30. [Google Scholar] [CrossRef]
- Bouman, B.A.M. A conceptual framework for the improvement of crop water productivity at different spatial scales. Agric. Syst. 2007, 93, 43–60. [Google Scholar] [CrossRef]
- Piao, S.; Ciais, P.; Huang, Y.; Shen, Z.; Peng, S.; Li, J.; Zhou, L.; Liu, H.; Ma, Y.; Ding, Y.; et al. The impacts of climate change on water resources and agriculture in China. Nature 2010, 467, 43–51. [Google Scholar] [CrossRef] [PubMed]
- Mekonnen, M.M.; Hoekstra, A. Four billion people facing severe water scarcity. Sci. Adv. 2016, 2, 1–6. [Google Scholar] [CrossRef] [PubMed]
- Ye, Y.S.; Liang, X.Q.; Chen, Y.X.; Liu, J.; Gu, J.T.; Guo, R.; Li, L. Alternate wetting and drying irrigation and controlled-release nitrogen fertilizer in late-season rice. Effects on dry matter accumulation, yield, water and nitrogen use. Field Crop. Res. 2013, 144, 212–224. [Google Scholar] [CrossRef]
- Fageria, N.; Santos, A.; Heinemann, A. Lowland rice genotypes evaluation for phosphorus use efficiency in tropical lowland. J. Plant. Nutr. 2011, 34, 1087–1095. [Google Scholar] [CrossRef]
- Shokouhi, A.; Parsinejad, M.; Noory, H. Impact of zeolite and soil moisture on P uptake. In Proceedings of the 2nd Berlin-European Sustainable Phosphorus Conference, Berlin, Germany, 5–6 March 2015. [Google Scholar]
- Suriyagoda, L.; De Costa, W.A.J.M.; Lambers, H. Growth and phosphorus nutrition of rice when inorganic fertilizer application is partly replaced by straw under varying moisture availability in sandy and clay soils. Plant Soil 2014, 384, 53–68. [Google Scholar] [CrossRef]
- Misra, A. Influence of Water Conditions on Growth and Mineral Nutrient Uptake of Native Plants on Calcareous Soil. Master’s Thesis, Lund University, Lund, Sweden, 5 September 2003. [Google Scholar]
- Tuong, T.P.; Bouman, B.A.M. Rice Production in Water-Scarce Environments. Proceedings of the Water Productivity Workshop, 12–14 November 2001; International Water Management Institute (IWMI): Colombo, Sri Lanka, 2002. [Google Scholar]
- Huguenin-Elie, O.; Kirk, G.J.D.; Frossard, E. Phosphorus uptake by rice from soil that is flooded, drained or flooded then drained. Eur. J. Soil Sci. 2003, 54, 77–90. [Google Scholar] [CrossRef]
- Ming, D.W.; Mumpton, F.A. Zeolites in soils. In Minerals in Soil Environments; Dixon, J.B., Weed, S.B., Eds.; Soil Science Society of America: Madison, WI, USA, 1989; pp. 873–911. [Google Scholar]
- Karapinar, N. Application of natural zeolite for phosphorus and ammonium removal from aqueous solutions. J. Hazard. Mater. 2009, 170, 1186–1191. [Google Scholar] [CrossRef]
- Ahmed, O.H.; Sumalatha, G.; Muhamad, A.M.N. Use of zeolite in maize (Zea mays) cultivation on nitrogen, potassium and phosphorus uptake and use efficiency. Int. J. Phys. Sci. 2010, 5, 2393–2401. [Google Scholar]
- Pickering, H.W.; Menzies, N.W.; Hunter, M.N. Zeolite/rock phosphate—a novel slow release phosphorus fertiliser for potted plant production. Sci. Hortic. 2002, 94, 333–343. [Google Scholar] [CrossRef]
- Doula, M.K.; Elaiopoulos, K.; Kavvadias, V.A.; Mavraganis, V. Use of clinoptilolite to improve and protect soil quality from the disposal of olive oil mills wastes. J. Hazard. Mater. 2012, 207, 103–110. [Google Scholar] [CrossRef] [PubMed]
- Milošević, T.; Milošević, N.; Glišić, I. Tree growth, yield, fruit quality attributes and leaf nutrient content of ‘Roxana’ apricot as influenced by natural zeolite, organic and inorganic fertilisers. Sci. Hortic. 2013, 156, 131–139. [Google Scholar] [CrossRef]
- Lai, T.M.; Eberl, D.D. Controlled and newable release of phosphorous in soils from mixtures of phosphate rock and NH4-exchanged clinoptilolite. Zeolites 1986, 6, 129–132. [Google Scholar] [CrossRef]
- He, Z.L.; Baligar, V.C.; Martens, D.C.; Ritchey, K.D.; Elrashidi, M. Effect of byproduct, nitrogen fertilizer, and zeolite on phosphate rock dissolution and extractable phosphorus in acid soil. Plant. Soil 1999, 208, 199–207. [Google Scholar] [CrossRef]
- Aainaa, H.N.; Ahmed, O.H.; Ab Majid, N.M. Effects of clinoptilolite zeolite on phosphorus dynamics and yield of Zea Mays L. cultivated on an acid soil. PLoS ONE 2018, 13, e0204401. [Google Scholar]
- Nakhli, S.A.A.; Delkash, M.; Bakhshayesh, B.E.; Kazemian, H. Application of zeolites for sustainable agriculture: A review on water and nutrient retention. Water Air Soil Poll. 2017, 228, 464. [Google Scholar] [CrossRef]
- Polat, E.; Karaca, M.; Demir, H.; Onus, A.N. Use of natural zeolite (clinoptilolite) in agriculture. J. Fruit Ornam. 2004, 12, 183–189. [Google Scholar]
- Chi, D.C.; Wang, X.; Zhang, Y.L.; Xia, G.M. Suitable irrigation scheme and soil water potential criteria for water-saving and high-yield in paddy field. J. Irrig. Drain. 2003, 22, 39–42, (In Chinese with English abstract). [Google Scholar]
- Chen, T.T.; Xia, G.M.; Wu, Q.; Zheng, J.L.; Jin, Y.; Sun, D.H.; Wang, S.; Chi, D.C. The influence of zeolite amendment on yield performance, quality characteristics, and nitrogen use efficiency of paddy rice. Crop. Sci. 2017, 57, 2777–2787. [Google Scholar] [CrossRef]
- Yoshida, S.; Forno, D.A.; Cock, J.H.; Gomez, K.A. Laboratory Manual for Physiological Studies of Rice; International Rice Research Institute: Los Baños, Laguna, Philippines, 1976. [Google Scholar]
- Mulvaney, R.L. Nitrogen-inorganic forms. In Methods of Soil Analysis Part 3—Chemical Method; Sparks, D.L., Ed.; American Society of Agronomy—Soil Science Society of America: Madison, WI, USA, 1996; pp. 1152–1155. [Google Scholar]
- Murphy, J.; Riley, J.P. A modified single solution method for determination of phosphate in natural waters. Anal. Chim. Acta 1962, 27, 31–36. [Google Scholar] [CrossRef]
- SAS Institute. The SAS System for Windows, Release 9.4.; SAS Institute: Cary, NC, USA, 2013. [Google Scholar]
- Lampayan, R.M.; Samoy-Pascual, K.C.; Sibayan, E.B.; Sibayan, E.B.; Ella, V.B.; Jayag, O.P.; Cabangon, R.J.; Bouman, B.A.M. Effects of alternate wetting and drying (AWD) threshold level and plant seedling age on crop performance, water input, and water productivity of transplanted rice in Central Luzon, Philippines. Paddy Water Environ. 2015, 13, 215–227. [Google Scholar] [CrossRef]
- Yang, J.C.; Zhang, H.; Zhang, J.H. Root morphology and physiology in relation to the yield formation of rice. J. Integr. Agric. 2012, 11, 920–926. [Google Scholar] [CrossRef]
- Cao, X.C.; Zhong, C.; Sajid, H.; Zhu, L.F.; Zhang, J.H.; Wu, L.H.; Jin, Q.Y. Effects of water regime and nitrogen application rate on the photosynthetic parameters, physiological characteristics, and agronomic traits of rice. Acta Physiol. Plant. 2017, 39, 1–12. [Google Scholar] [CrossRef]
- Bueno, C.S.; Bucourt, M.; Kobayashi, N.; Inubushi, K.; Lafarge, T. Water productivity of contrasting rice genotypes grown under water saving conditions in the tropics and investigation of morphological traits for adaptation. Agric. Water Manag. 2010, 98, 241–250. [Google Scholar] [CrossRef]
- Wiangsamut, B. Water-Saving Method in Irrigated Rice Fields in Tarlac, Philippines. PhD Thesis, University of the Philippines, Los Baños, Laguna, April 2010. [Google Scholar]
- Belder, P.; Bouman, B.A.M.; Bouman, C.R.; Guoan, L.; Quilang, E.J.P.; Yuanhua, L.; Spiertz, J.H.J.; Tuong, T.P. Effect of water-saving irrigation on rice yield and water use in typical lowland conditions in Asia. Agric. Water Manag. 2004, 65, 193–210. [Google Scholar] [CrossRef]
- Zhang, H.; Xue, Y.; Wang, Z.; Yang, J.; Zhang, J. An alternate wetting and moderate soil drying regimes improves root and shoot growth in rice. Crop. Sci. 2009, 49, 2246–2260. [Google Scholar] [CrossRef]
- Liu, L.; Chen, T.; Wang, Z.; Zhang, H.; Yang, J.; Zhang, J. Combination of site-specific nitrogen management and alternate wetting and drying irrigation increases grain yield and nitrogen and water use efficiency in super rice. Field Crop. Res. 2013, 154, 226–235. [Google Scholar] [CrossRef]
- Yang, J.C.; Liu, K.; Wang, Z.Q.; Du, Y.; Zhang, J.H. Water-saving and high-yielding irrigation for lowland rice by controlling limiting values of soil water potential. J. Integr. Plant. Biol. 2007, 49, 1445–1454. [Google Scholar] [CrossRef]
- Malekian, R.; Abedi-Koupai, J.; Eslamian, S.S. Influences of clinoptilolite and surfactant-modified clinoptilolite zeolite on nitrate leaching and plant growth. J. Hazard. Mater. 2011, 185, 970–976. [Google Scholar] [CrossRef]
- Hazrati, S.; Tahmasebi-Sarvestani, Z.; Mokhtassi-Bidgoli, A.; Modarres-Sanavy, S.A.M.; Mohammadi, H.; Nicola, S. Effects of zeolite and water stress on growth, yield and chemical compositions of Aloe vera L. Agric. Water Manag. 2017, 181, 66–72. [Google Scholar] [CrossRef]
- Faccini, B.; Giuseppe, D.D.; Ferretti, G.; Coltorti, M.; Colombani, N.; Mastrocicco, M. Natural and NH4+-enriched zeolite amendment effects on nitrate leaching from a reclaimed agricultural soil (Ferrara Province, Italy). Nutr. Cycl. Agroecosyst. 2018, 110, 327–341. [Google Scholar] [CrossRef]
- Sepaskhah, A.R.; Barzegar, M. Yield, water and nitrogen-use response of rice to zeolite and nitrogen fertilization in a semi-arid environment. Agric. Water Manag. 2010, 98, 38–44. [Google Scholar] [CrossRef]
- McGilloway, R.L.; Weaver, R.W.; Ming, D.W.; Gruener, J.E. Nitrification in zeoponic substrate. Plant. Soil 2003, 256, 371–378. [Google Scholar] [CrossRef] [PubMed]
- Usman, K. Effect of phosphorus and irrigation levels on yield, water productivity, phosphorus use efficiency and income of lowland rice in northwest Pakistan. Rice Sci. 2013, 20, 61–72. [Google Scholar] [CrossRef]
- Veronica, N.; Subrahmanyam, D.; Kiran, T.V.; Yugandhar, P.; Bhadana, V.P.; Padma, V.; Jayasree, G.; Voleti, S.R. Influence of low phosphorus concentration on leaf photosynthetic characteristics and antioxidant response of rice genotypes. Photosynthetic 2017, 55, 285–293. [Google Scholar] [CrossRef]
- Mao, Z. Water Efficient Irrigation and Environmentally Sustainable Irrigated Rice Production in China. International Commission on Irrigation and Drainage, 2001. Available online: http://www.icid.org/wat_mao.pdf (accessed on 23 December 2013).
- Pan, J.; Liu, Y.; Zhong, X.; Lampayan, R.M.; Singleton, G.R.; Huang, N.; Liang, K.; Peng, B.; Tian, K. Grain yield, water productivity and nitrogen use efficiency of rice under different water management and fertilizer-N inputs in South China. Agric. Water Manag. 2017, 184, 191–200. [Google Scholar] [CrossRef]
- Mahajan, G.; Chauhan, B.S.; Timsina, J.; Singh, P.P.; Singh, K. Crop performance and water- and nitrogen-use efficiencies in dry-seeded rice in response to irrigation and fertilizer amounts in northwest India. Field Crop. Res. 2012, 134, 59–70. [Google Scholar] [CrossRef]
- Sibayan, E.B.; Samoy-Pascual, K.; Grospe, F.S.; Casil, M.E.D.; Tokida, T.; Padre, A.T.; Minamikawa, K. Effects of alternate wetting and drying technique on greenhouse gas emissions from irrigated rice paddy in Central Luzon, Philippines. Soil Sci. Plant. Nutr. 2018, 64, 39–46. [Google Scholar] [CrossRef]
- Aziz, O.; Hussain, S.; Rizwan, M.; Riaz, M.; Bashir, S.; Lin, L.; Mehmood, S.; Imran, M.; Lu, G. Increasing water productivity, nitrogen economy, and grain yield of rice by water saving irrigation and fertilizer-N management. Environ. Sci. Pollut. Res. 2018, 25, 16601–16615. [Google Scholar] [CrossRef]
- Carrijo, D.R.; Lundy, M.E.; Linquist, B.A. Rice yields and water use under alternate wetting and drying irrigation: A meta-analysis. Field Crop. Res. 2017, 203, 173–180. [Google Scholar] [CrossRef]
- He, X.B.; Huang, Z.B. Zeolite application for enhancing water infiltration and retention in loess soil. Resour. Conserv. Recycl. 2001, 34, 45–52. [Google Scholar]
- Gholamhoseini, M.; Ghalavand, A.; Khodaei-Joghan, A.; Dolatabadian, A.; Zakikhani, H.; Farmanbar, E. Zeolite-amended cattle manure effects on sunflower yield, seed quality, water use efficiency and nutrient leaching. Soil Tillage Res. 2013, 126, 193–202. [Google Scholar] [CrossRef]
- Talebnezhad, R.; Sepaskhah, A.R. Effects of bentonite on water infiltration in a loamy sand soil. Arch. Agron. Soil Sci. 2013, 59, 1409–1418. [Google Scholar] [CrossRef]
- Colombani, N.; Giuseppe, D.D.; Faccini, B.; Ferretti, G.; Mastrocicco, M.; Coltorti, M. Estimated water savings in an agricultural field amended with natural zeolites. Environ. Process. 2016, 3, 617–628. [Google Scholar] [CrossRef]
- Ozbahce, A.; Tari, A.F.; Gönülal, E.; Simsekli, N.; Padem, H. The effect of zeolite applications on yield components and nutrient uptake of common bean under water stress. Arch. Agron. Soil Sci. 2015, 61, 615–626. [Google Scholar] [CrossRef]
- Li, F.M.; Song, Q.H.; Liu, H.S.; Li, F.R.; Liu, X.L. Effects of pre-sowing irrigation and phosphorus application on water use and yield of spring wheat under semi-arid conditions. Agric. Water Manag. 2001, 49, 173–183. [Google Scholar] [CrossRef]
- Haefele, S.M.; Naklang, K.; Harnpichitvitaya, D.; Jearakongman, S.; Skulkhu, E.; Romyen, P.; Phasopa, S.; Tabtim, S.; Suriya-arunroj, D.; Khunthasuvon, S.; et al. Factors affecting rice yield and fertilizer response in rainfed lowlands of northeast Thailand. Field Crop. Res. 2006, 98, 39–51. [Google Scholar] [CrossRef]
- Borggaard, O.K.; Raben-Lange, B.; Gimsing, A.L.; Strobel, B.W. Influence of humic substances on phosphate adsorption by aluminium and iron oxides. Geoderma 2005, 127, 270–279. [Google Scholar] [CrossRef]
- Alam, S.M. Nutrient uptake by plants under stress conditions. In Handbook of Plant and Crop Stress, 2nd Ed.; Pessarakli, M., Ed.; CRC Press: Boca Raton, USA, 1999; Volume 3, pp. 285–313. [Google Scholar]
- Ye, Y.; Liang, X.; Chen, Y.; Li, L.; Ji, Y.; Zhu, C. Carbon, nitrogen and phosphorus accumulation and partitioning, and C: N: P stoichiometry in late-season rice under different water and nitrogen managements. PLoS ONE 2014, 9, e101776. [Google Scholar] [CrossRef]
- Somaweera, K.A.T.N.; Suriyagoda, L.D.B.; Sirisena, D.N.; De Costa, W.A.J.M. Accumulation and partitioning of biomass, nitrogen, phosphorus and potassium among different tissues during the life cycle of rice grown under different water management regimes. Plant. Soil 2016, 401, 169–183. [Google Scholar] [CrossRef]
- Wu, X.H.; Ge, T.D.; Yan, W.D.; Zhou, J.; Wei, X.M.; Chen, L.; Chen, X.B.; Nannipierei, P.; Wu, J.S. Irrigation management and phosphorus addition alter the abundance of carbon dioxide-fixing autotrophs in phosphorus-limited paddy soil. FEMS Microbiol. Ecol. 2017, 93, 154. [Google Scholar] [CrossRef] [PubMed]
- Kato, Y.; Tajima, R.; Toriumi, A.; Homma, K.; Moritsuka, N.; Shiraiwa, T.; Yamagishi, J.; Mekwatanakern, P.; Chamarerk, V.; Jongdee, B. Grain yield and phosphorus uptake of rainfed lowland rice under unsubmerged soil stress. Field Crop. Res. 2016, 190, 54–59. [Google Scholar] [CrossRef]
- Bernardi, A.C.C.; Oliviera, P.P.A.; Monte, M.B.M.; Polidoro, J.C.; Souza-Barros, F. Brazilian sedimentary zeolite use in agriculture. Microporous Mesoporous Mater. 2013, 167, 16–21. [Google Scholar] [CrossRef]
- Latifah, O.; Ahmed, O.H.; Majid, N.M.A. Short term enhancement of nutrient availability in Zea mays L. cultivation on an acid soil using compost and clinoptilolite zeolite. Comp. Sci. Util. 2017, 25, 22–35. [Google Scholar] [CrossRef]
- Hua, Q.X.; Li, J.Y.; Zhou, J.M. Laboratory simulation of effects of native clinoptilolite on phosphorus and potassium mobilization in red soil. Trans. Chin. Soc. Agric. Eng. 2006, 22, 261–263, (In Chinese with English abstract). [Google Scholar]
- Li, H.X.; Li, C.H.; Zhang, X.M.; Liu, Y.J.; Lu, W.S. Effect of natural zeolite on nutrient preserving capability of degraded slope soil in South China. Chin. J. Appl. Ecol. 2001, 12, 237–240, (In Chinese with English abstract). [Google Scholar]
- Allen, E.R.; Hossner, L.R.; Ming, D.W.; Henninger, D.L. Solubility and cation exchange in phosphate rock and saturated clinoptilolite mixtures. Soil Sci. Soc. Am. J. 1993, 57, 1368–1374. [Google Scholar] [CrossRef]
- Ok, C.H.; Anderson, S.H.; Ervin, E.H. Amendments and construction systems for improving the performance of sand-based putting greens. Agron. J. 2003, 95, 1583–1590. [Google Scholar] [CrossRef]
- Mühlbachová, G.; Šimon, T. Effects of zeolite amendment on microbial biomass and respiratory activity in heavy metal contaminated soils. Plant. Soil Environ. 2003, 49, 536–541. [Google Scholar] [CrossRef]
- Ferretti, G.; Keiblinger, K.M.; Zimmermann, M.; Giuseppe, D.D.; Faccini, B.; Colombani, N.; Mentler, A.; Zechmeister-Boltenstern, S.; Coltorti, M.; Mastrocicco, M. High resolution short-term investigation of soil CO2, N2O, NOx and NH3 emissions after different chabazite zeolite amendments. Appl. Soil Ecol. 2017, 119, 138–144. [Google Scholar] [CrossRef]




| Source of Variation | df | GY | EP | SP | GFP | TGW | TWC | WUE | ADW | SPC | LPC | PPC | APU | SAP |
|---|---|---|---|---|---|---|---|---|---|---|---|---|---|---|
| Y | 1 | * | ** | * | ns | ns | ** | * | ns | ** | * | ** | ** | ** |
| I | 2 | ns | ns | ns | ns | ns | ** | ** | ** | ** | ** | ** | ** | * |
| Y × I | 2 | * | * | * | ns | ns | ** | * | ** | ns | ns | ** | ** | ns |
| P | 1 | ** | ** | ** | ns | ns | ns | ** | ns | ** | ** | * | * | ** |
| Y × P | 1 | * | ns | ** | ns | ns | ns | ns | ns | ns | ** | * | ns | ns |
| I × P | 2 | ns | ns | ns | ns | ns | ns | ns | ns | ** | ** | ns | ns | ns |
| Y × I × P | 2 | ns | ns | ns | ns | ns | ns | ns | ns | ns | * | ns | ns | * |
| Z | 1 | ** | ** | ** | ns | ** | ns | ** | ** | ** | ** | * | ** | ** |
| Y × Z | 1 | ** | * | ns | ns | ns | ns | ** | * | ** | * | ns | * | ns |
| I × Z | 2 | ns | ns | ns | ns | ns | ns | ns | ** | ns | * | ns | ns | ns |
| P × Z | 1 | ns | ns | ** | ns | ns | ns | ns | ns | ns | ns | ns | ns | ns |
| Y × I × Z | 2 | ns | ns | ns | ns | ns | ns | ns | ns | ns | ns | ns | ns | ns |
| Y × P × Z | 1 | ns | ns | ns | ns | ns | ns | ns | ns | ns | ns | ns | ns | * |
| I × P × Z | 2 | * | ns | ns | ns | ns | ns | ns | * | ns | ns | ns | ns | ns |
| Y × I × P × Z | 2 | * | ns | ns | ns | ns | * | ** | ns | ns | * | ns | ns | ns |
| Year | Irrigation Regime | Phosphorus Application | Zeolite Application | Grain Yield (t ha−1) | Effective Panicles | Spikelets Per Panicle | Grain Filling Percentage (%) | 1000-Grain Weight (g) |
|---|---|---|---|---|---|---|---|---|
| 2016 | CF | P0 | Z0 | 9.44c | 14.0bcd | 129.6e | 97.1a | 24.7a |
| Z15 | 10.40b | 14.8ab | 136.1de | 96.5a | 24.9a | |||
| P60 | Z0 | 10.81b | 14.5abc | 147.3bc | 97.0a | 24.3a | ||
| Z15 | 12.11a | 15.2a | 153.0ab | 96.9a | 25.4a | |||
| IAWD | P0 | Z0 | 8.72d | 13.2d | 130.9e | 97.0a | 24.3a | |
| Z15 | 10.29b | 13.8cd | 141.7cd | 97.1a | 24.9a | |||
| P60 | Z0 | 10.84b | 14.2bc | 152.7ab | 96.9a | 24.9a | ||
| Z15 | 11.77a | 14.7abc | 159.5a | 96.8a | 25.0a | |||
| 2017 | CF | P0 | Z0 | 10.16d | 14.2c | 140.7d | 97.0a | 24.9a |
| Z15 | 11.05c | 16.0ab | 155.0bc | 97.1a | 25.5a | |||
| P60 | Z0 | 11.60b | 15.3abc | 158.8abc | 97.6a | 25.1a | ||
| Z15 | 12.60a | 16.7a | 163.6a | 97.2a | 25.5a | |||
| IAWD | P0 | Z0 | 10.41d | 14.7bc | 141.5d | 97.4a | 24.6a | |
| Z15 | 11.07c | 15.5abc | 153.2c | 97.4a | 24.9a | |||
| P60 | Z0 | 11.64b | 15.7abc | 154.5bc | 97.5a | 24.4a | ||
| Z15 | 12.49a | 16.7a | 162.1ab | 97.3a | 25.0a |
| Year | Irrigation Regime | Phosphorus Application | Zeolite Application | TWC (103 m3 ha−1) | WUE (kg m−3) | ADW (t ha−1) | APU (kg ha−1) |
|---|---|---|---|---|---|---|---|
| 2016 | CF | P0 | Z0 | 7.03a | 1.34d | 16.4b | 27.4b |
| Z15 | 7.03a | 1.48cd | 19.0a | 37.0a | |||
| P60 | Z0 | 7.40a | 1.46cd | 18.3a | 33.0ab | ||
| Z15 | 6.78ab | 1.79ab | 19.1a | 37.4a | |||
| IAWD | P0 | Z0 | 5.57c | 1.57bc | 15.5b | 26.3b | |
| Z15 | 5.57c | 1.85a | 16.0b | 30.6ab | |||
| P60 | Z0 | 6.02bc | 1.80a | 15.9b | 28.2b | ||
| Z15 | 5.89c | 2.00a | 16.4b | 29.4b | |||
| 2017 | CF | P0 | Z0 | 7.88a | 1.29d | 16.4c | 39.7b |
| Z15 | 7.71ab | 1.43cd | 19.4ab | 56.3ab | |||
| P60 | Z0 | 7.68ab | 1.51bc | 17.4abc | 53.9ab | ||
| Z15 | 7.93a | 1.59b | 19.9a | 69.3a | |||
| IAWD | P0 | Z0 | 7.17bc | 1.45bc | 18.1abc | 33.0b | |
| Z15 | 7.32abc | 1.51bc | 18.5abc | 38.3b | |||
| P60 | Z0 | 7.28abc | 1.60b | 16.8bc | 32.9b | ||
| Z15 | 6.98c | 1.79a | 19.2abc | 44.2b |
| Year | Irrigation Regime | Phosphorus Application | Zeolite Application | SPC (g kg−1) | LPC (g kg−1) | PPC (g kg−1) | SAP (mg kg−1) |
|---|---|---|---|---|---|---|---|
| 2016 | CF | P0 | Z0 | 0.41bcd | 0.29c | 2.93a | 20.0cd |
| Z15 | 0.47ab | 0.37b | 3.15a | 21.7bc | |||
| P60 | Z0 | 0.47abc | 0.47a | 2.88a | 21.7bc | ||
| Z15 | 0.55a | 0.53a | 3.15a | 25.5a | |||
| IAWD | P0 | Z0 | 0.29e | 0.24c | 2.74a | 17.9d | |
| Z15 | 0.35de | 0.36b | 3.00a | 19.7cd | |||
| P60 | Z0 | 0.29e | 0.25c | 2.90a | 19.6cd | ||
| Z15 | 0.37cde | 0.38b | 3.00a | 23.6ab | |||
| 2017 | CF | P0 | Z0 | 0.48c | 0.47abc | 3.94abc | 21.4ab |
| Z15 | 0.52b | 0.49ab | 4.69abc | 26.4a | |||
| P60 | Z0 | 0.52b | 0.45bcd | 5.13ab | 25.4a | ||
| Z15 | 0.55a | 0.55a | 5.61a | 27.1a | |||
| IAWD | P0 | Z0 | 0.33f | 0.33ef | 3.03c | 18.7b | |
| Z15 | 0.35ef | 0.41cde | 3.36bc | 23.4ab | |||
| P60 | Z0 | 0.36de | 0.32f | 3.20bc | 23.1ab | ||
| Z15 | 0.36d | 0.38def | 3.78abc | 27.2a |
| Traits | GY | TE | WUE | SPC | LPC | PPC | ADW | APU | SAP | NH4_30 | NO3_30 |
|---|---|---|---|---|---|---|---|---|---|---|---|
| GY | 1 | ||||||||||
| TE | 0.32 * | 1 | |||||||||
| WUE | 0.45 ** | –0.70 ** | 1 | ||||||||
| SPC | 0.41 ** | 0.63 ** | −0.28 ns | 1 | |||||||
| LPC | 0.56 ** | 0.60 ** | −0.13 ns | 0.84 ** | 1 | ||||||
| PPC | 0.47 ** | 0.58 ** | −0.19 ns | 0.59 ** | 0.60 ** | 1 | |||||
| ADW | 0.53 ** | 0.58 ** | −0.17 ns | 0.54 ** | 0.62 ** | 0.43 ** | 1 | ||||
| APU | 0.55 ** | 0.62 ** | −0.18 ns | 0.64 ** | 0.69 ** | 0.96 ** | 0.65 ** | 1 | |||
| SAP | 0.78 ** | 0.49 ** | 0.13 ns | 0.58 ** | 0.64 ** | 0.57 ** | 0.60 ** | 0.64 ** | 1 | ||
| NH4_30 | 0.53 ** | 0.33 * | 0.07 ns | 0.57 ** | 0.61 ** | 0.41 ** | 0.45 ** | 0.47 ** | 0.51 ** | 1 | |
| NO3_30 | 0.35 * | −0.35 * | 0.58 ** | −0.34 * | −0.08 ns | −0.21 ns | 0.11 ns | −0.14 ns | 0.15 ns | 0.07 ns | 1 |
© 2019 by the authors. Licensee MDPI, Basel, Switzerland. This article is an open access article distributed under the terms and conditions of the Creative Commons Attribution (CC BY) license (http://creativecommons.org/licenses/by/4.0/).
Share and Cite
Zheng, J.; Chen, T.; Chi, D.; Xia, G.; Wu, Q.; Liu, G.; Chen, W.; Meng, W.; Chen, Y.; Siddique, K.H.M. Influence of Zeolite and Phosphorus Applications on Water Use, P Uptake and Yield in Rice under Different Irrigation Managements. Agronomy 2019, 9, 537. https://doi.org/10.3390/agronomy9090537
Zheng J, Chen T, Chi D, Xia G, Wu Q, Liu G, Chen W, Meng W, Chen Y, Siddique KHM. Influence of Zeolite and Phosphorus Applications on Water Use, P Uptake and Yield in Rice under Different Irrigation Managements. Agronomy. 2019; 9(9):537. https://doi.org/10.3390/agronomy9090537
Chicago/Turabian StyleZheng, Junlin, Taotao Chen, Daocai Chi, Guimin Xia, Qi Wu, Guangyan Liu, Wei Chen, Weizhong Meng, Yinglong Chen, and Kadambot H. M. Siddique. 2019. "Influence of Zeolite and Phosphorus Applications on Water Use, P Uptake and Yield in Rice under Different Irrigation Managements" Agronomy 9, no. 9: 537. https://doi.org/10.3390/agronomy9090537
APA StyleZheng, J., Chen, T., Chi, D., Xia, G., Wu, Q., Liu, G., Chen, W., Meng, W., Chen, Y., & Siddique, K. H. M. (2019). Influence of Zeolite and Phosphorus Applications on Water Use, P Uptake and Yield in Rice under Different Irrigation Managements. Agronomy, 9(9), 537. https://doi.org/10.3390/agronomy9090537

