Influence of Seed Origin on Morphological Characteristics and Phytochemicals Levels in Brassica oleracea var. acephala
Abstract
:1. Introduction
2. Materials and Methods
2.1. Seed Selection, Germination Test and Plant Growing
2.2. Morphological Characteristic and Yield
2.3. Chlorophylls and Carotenoids
2.4. Polyphenolic Compounds
2.5. Glucosinolates
2.6. Antioxidant Activity
2.7. Statistical Analysis
3. Results
3.1. Percentage of Germination, Morphological Characteristics and Yield
3.2. Content of Green Pigments
3.3. Specialized Metabolites Level
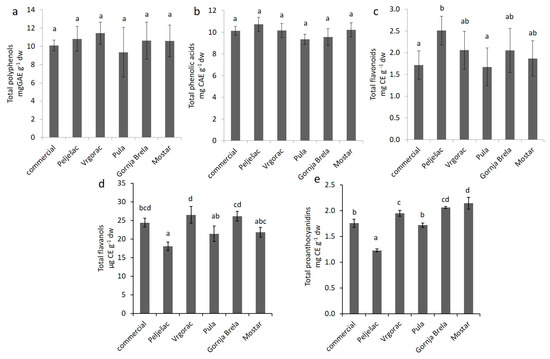
3.3.1. Polyphenolic Compounds
3.3.2. Carotenoids and Glucosinolates
3.4. Antioxidant Activity
4. Discussion
Author Contributions
Funding
Acknowledgments
Conflicts of Interest
References
- Šamec, D.; Salopek-Sondi, B. Cruciferous (Brassicaceae) vegetables. In Nonvitamin and Nonmineral Nutritional Supplements; Nabavi, S.M., Sanches Silva, T., Eds.; Academic Press: Cambridge, MA, USA, 2019; pp. 195–202. [Google Scholar]
- Šamec, D.; Urlić, B.; Salopek-Sondi, B. Kale (Brassica oleracea var. acephala) as a superfood: Review of the scientific evidence behind the statement. Crit. Rev. Food Sci. Nutr. 2019, 59, 2411–2422. [Google Scholar] [CrossRef] [PubMed]
- USDA. National Agricultural Statistics Service 2012. Census of Agriculture. Available online: https://www.agcensus.usda.gov/Publications/2012/Full_Report/Volume_1,_Chapter_1_US/st99_1_038_038.pdf (accessed on 30 June 2019).
- Linić, I.; Šamec, D.; Grúz, J.; Vujčić Bok, V.; Strnad, M.; Salopek Sondi, B. Involvement of Phenolic Acids in Short-Term Adaptation to Salinity Stress is Species-Specific among Brassicaceae. Plants 2019, 8, 155. [Google Scholar] [CrossRef] [PubMed]
- Pavlović, I.; Mlinarić, S.; Tarkowska, D.; Oklestkova, J.; Novak, O.; Lepeduš, H.; Vujčić Bok, V.; Radić Brkanac, S.; Strnad, M.; Salopek Sondi, B. Early Brassica crops responses to salinity stress: A Comparative Analysis between Chinese cabbage, White cabbage and Kale. Front. Plant Sci. 2019, 10, 450. [Google Scholar] [CrossRef] [PubMed]
- Pavlović, I.; Petřík, I.; Tarkowska, D.; Lepeduš, H.; Vujčić Bok, V.; Radić Brkanac, S.; Novák, O.; Salopek Sondi, B. Correlations between Phytohormones and Drought Tolerance in Selected Brassica Crops: Chinese Cabbage, White Cabbage and Kale. Int. J. Mol. Sci. 2018, 19, 2866. [Google Scholar] [CrossRef] [PubMed]
- Cartea, M.E.; Picoaga, A.; Soengas, P.; Ordas, A. Morphological characterization of kale populations from northwestern Spain. Euphytica 2002, 129, 25–32. [Google Scholar] [CrossRef]
- Batelja, K.; Goreta Ban, S.; Žanić, K.; Miloš, B.; Dumičić, G.; Matotan, Z. Autochtonous kale populations (Brassica oleracea L. var. acephala) in Croatian coastal region. Poljoprivreda 2009, 15, 8–14. [Google Scholar]
- Sefo, E.; Matotan, Z.; Knezović, Z.; Karić, L. Evaluation of autochthonous kale (Brassica oleracea L. var. acephala) germplasm from Herzegovina region. Sjemenarstvo 2010, 27, 139–154. [Google Scholar]
- Šamec, D.; Bogović, M.; Vincek, D.; Martinčić, J.; Salopek-Sondi, B. Assessing the authenticity of the white cabbage (Brassica oleracea var. capitata f. alba) cv. ‘Varaždinski’ by molecular and phytochemical markers. Food Res. Int. 2014, 60, 266–272. [Google Scholar] [CrossRef]
- Lichtenthaler, H.K.; Buschmann, C. Chlorophylls and carotenoids: Measurement and characterization by UV–VIS spectroscopy. In Current Protocols in Food Analytical Chemistry; John Wiley & Sons, Inc.: Hoboken, NJ, USA, 2001; pp. F4.3.1–F4.3.8. [Google Scholar]
- Singleton, V.L.; Rossi, J.A. Colorimetry of total phenolics with phosphomolybdic—phosphotungstic acid reagents. Am. J. Enol. Viticult. 1965, 16, 144–158. [Google Scholar]
- Zhishen, J.; Mengcheng, T.; Jianming, W. The determination of flavonoid contents inmulberry and their scavenging effects on superoxide radicals. Food Chem. 1999, 64, 555–559. [Google Scholar] [CrossRef]
- Kusznierewicz, B.; Bartoszek, A.; Wolska, L.; Drzewiecki, J.; Gorinstein, S.; Namiésnik, J. Partial characterization of white cabbages (Brassica oleracea var. capitata f. alba) from different regions by glucosinolates, bioactive compounds, total antioxidant activities and proteins. LWT Food Sci. Technol. 2008, 41, 1–9. [Google Scholar] [CrossRef]
- Sun, B.; da-Silva, J.M.R.; Spranger, I. Critical factors of vanillin assay for catechins and proanthocyanidins. J. Agric. Food Chem. 1998, 46, 4267–4274. [Google Scholar] [CrossRef]
- Gruz, J.; Novak, O.; Strnad, M. Rapid analysis of phenolic acids in beverages by UPLC-MS/MS. Food Chem. 2008, 111, 789–794. [Google Scholar] [CrossRef]
- Aghajanzadeh, T.; Hawkesford, M.J.; Kok, L.J. The significance of glucosinolates for sulfur storage in Brassicaceae seedlings. Front. Plant Sci. 2014, 5, 704. [Google Scholar] [CrossRef] [PubMed]
- Brand-Williams, W.; Cuvelier, M.E.; Berset, C. Use of a free radical method to evaluate antioxidant activity. LWT Food Sci. Technol. 1995, 28, 25–30. [Google Scholar] [CrossRef]
- Qian, H.; Liu, T.; Deng, M.; Miao, H.; Cai, C.; Shen, W.; Wang, Q. Effects of light quality on main health-promoting compounds and antioxidant capacity of Chinese kale sprouts. Food Chem. 2016, 196, 1232–1238. [Google Scholar] [CrossRef] [PubMed]
- Hodges, D.M.; Nozzolillo, C. Anthocyanin and Anthocyanoplast Content of Cruciferous Seedlings Subjected to Mineral Nutrient Deficiencies. J. Plant Physiol. 1996, 147, 749–754. [Google Scholar] [CrossRef]
- Korus, A. Level of Vitamin C, Polyphenols, and Antioxidantand Enzymatic Activity in Three Varieties of Kale (Brassica Oleracea L. Var. Acephala) at DifferentStages of Maturity. Int. J. Food Prop. 2001, 14, 1069–1080. [Google Scholar] [CrossRef]
- Sikora, E.; Bodziarczyk, I. Composition and antioxidant activity of kale (Brassica oleracea L. var. acephala) raw and cooked. Acta Sci. Pol. Technol. Aliment. 2012, 11, 239–248. [Google Scholar]
- Olsen, H.; Aaby, K.; Borge, G.I. Characterization and Quantification of Flavonoids and Hydroxycinnamic Acids in Curly Kale (Brassica oleracea L. Convar. acephala Var. sabellica) by HPLC-DAD-ESI-MS. J. Agric. Food Chem. 2009, 57, 2816–2825. [Google Scholar] [CrossRef]
- Ayaz, F.A.; Hayırlıoglu-Ayaz, S.; Alpay-Karaoglu, S.; Gruz, J.; Valentova, K.; Ulrichova, J.; Strnad, M. Phenolic acid contents of kale (Brassica oleraceae L. var. acephala DC.) extracts and their antioxidant and antibacterial activities. Food Chem. 2008, 107, 19–25. [Google Scholar] [CrossRef]
- Nićiforović, N.; Abramovič, H. Sinapic Acid and Its Derivatives: Natural Sources and Bioactivity. Compr. Rev. Food Sci. F 2014, 13, 34–51. [Google Scholar] [CrossRef]
- Cartea, M.E.; Velasco, P.; Obregón, S.; Padilla, G.; Haro, A. Seasonal variation in glucosinolate content in Brassica oleracea crops grown in northwestern Spain. Phytochemistry 2008, 69, 403–410. [Google Scholar] [CrossRef] [PubMed]
- Velasco, P.; Cartea, M.E.; Gonzalez, C.; Vilar, M.; Ordas, A. Factors affecting the glucosinolate content of kale (Brassica oleracea acephala group). J. Agric. Food Chem. 2007, 55, 955–962. [Google Scholar] [CrossRef] [PubMed]
- Walsh, R.P.; Bartlett, H.; Eperjesi, F. Variation in Carotenoid Content of Kale and Other Vegetables: A Review of Pre- and Post-harvest Effects. J. Agric. Food Chem. 2015, 63, 9677–9682. [Google Scholar] [CrossRef]
- Kikuzaki, H.; Hisamoto, M.; Hirose, K.; Akiyama, K.; Taniguchi, H. Antioxidant properties of ferulic acid and its related compounds. J. Agric. Food Chem. 2002, 50, 2161–2168. [Google Scholar] [CrossRef] [PubMed]





| Seed Location | Seed Germination Percentage | Yield per Plant (g) | Morphological Characteristics (Batelja et al. (2009)) | |
|---|---|---|---|---|
![]() | Commercial seed producers, Zagreb county, Croatia | 65% | 9.60 ± 2.93 b,c | Anthocyanin coloration: Absent Leaf curling: Absent Leaf blade blistering: Absent Leaf division (incision): Lyrate |
![]() | Pula, Istria county, Croatia | 82.5% | 5.77 ± 4.06 a,b | Anthocyanin coloration: Absent Leaf curling: Absent Leaf blade blistering: Absent Leaf division (incision): Lyrate |
![]() | Gornja Brela, Split-Dalmatia County, Croatia | 65% | 9.04 ± 2.74 b,c | Anthocyanin coloration: Absent Leaf curling: Absent Leaf blade blistering: Absent Leaf division (incision): Lyrate |
![]() | Mostar, Federation of Bosnia and Herzegovina, Bosnia, and Herzegovina | 90% | 11.74 ± 4.20 c | Anthocyanin coloration: Absent Leaf curling: Absent Leaf blade blistering: Absent Leaf division (incision): Lyrate |
![]() | Vrgorac, Split-Dalmatia County, Croatia | 85% | 7.16 ± 1.86 a,b | Anthocyanin coloration: Absent Leaf curling: Absent Leaf blade blistering: Absent Leaf division (incision): Lyrate |
![]() | Pelješac, Dubrovnik-Neretva County, Croatia | 25% | 3.45 ± 1.56 a | Anthocyanin coloration: Absent Leaf curling: Absent Leaf blade blistering: Absent Leaf division (incision): Lyrate Evident longer leaf petiole |
| Chlorophyll a (µg g−1 dw) | Chlorophyll b (µg g−1 dw) | Total Chlorophyll (µg g−1 dw) | Chlorophyll a/Chlorophyll b | Total Chlorophyll/Total Carotenoids | |
|---|---|---|---|---|---|
| Commercial | 7.96 ± 0.96 a | 3.95 ± 0.34 a | 11.91 ± 1.05 a | 2.11 ± 0.27 b | 7.49 ± 0.53 a |
| Pelješac | 6.77 ± 0.53 a | 4.28 ± 0.75 a,b | 11.06 ± 0.82 a | 1.65 ± 0.34 a,b | 8.16 ± 0.95 a |
| Vrgorac | 7.23 ± 059 a | 5.43 ± 0.63 b | 12.66 ± 0.59 a | 1.43 ± 0.21 a | 8.49 ± 1.27 a |
| Pula | 7.76 ± 1.66 a | 3.94 ± 1.19 a | 11.70 ± 2.67 a | 1.95 ± 0.40 b | 7.69 ± 1.89 a |
| Gornja Brela | 6.54 ± 0.70 a | 4.40 ± 0.84 a,b | 10.94 ± 1.13 a | 1.60 ± 0.38 a,b | 8.22 ± 1.32 a |
| Mostar | 8.28 ± 1.45 a | 4.14 ± 0.62 a,b | 12.43 ± 1.96 a | 2.01 ± 0.25 b | 7.41 ± 0.49 a |
© 2019 by the authors. Licensee MDPI, Basel, Switzerland. This article is an open access article distributed under the terms and conditions of the Creative Commons Attribution (CC BY) license (http://creativecommons.org/licenses/by/4.0/).
Share and Cite
Šamec, D.; Kruk, V.; Ivanišević, P. Influence of Seed Origin on Morphological Characteristics and Phytochemicals Levels in Brassica oleracea var. acephala. Agronomy 2019, 9, 502. https://doi.org/10.3390/agronomy9090502
Šamec D, Kruk V, Ivanišević P. Influence of Seed Origin on Morphological Characteristics and Phytochemicals Levels in Brassica oleracea var. acephala. Agronomy. 2019; 9(9):502. https://doi.org/10.3390/agronomy9090502
Chicago/Turabian StyleŠamec, Dunja, Valentina Kruk, and Petra Ivanišević. 2019. "Influence of Seed Origin on Morphological Characteristics and Phytochemicals Levels in Brassica oleracea var. acephala" Agronomy 9, no. 9: 502. https://doi.org/10.3390/agronomy9090502
APA StyleŠamec, D., Kruk, V., & Ivanišević, P. (2019). Influence of Seed Origin on Morphological Characteristics and Phytochemicals Levels in Brassica oleracea var. acephala. Agronomy, 9(9), 502. https://doi.org/10.3390/agronomy9090502







