Apple Scion and Rootstock Contribute to Nutrient Uptake and Partitioning under Different Belowground Environments
Abstract
1. Introduction
2. Materials and Methods
2.1. Plant Material and Nutrient Composition
2.2. Destructive Sampling and Mineral Nutrient Analysis
3. Results
3.1. Plant Growth
3.2. Mineral Nutrient Concentration and Partitioning
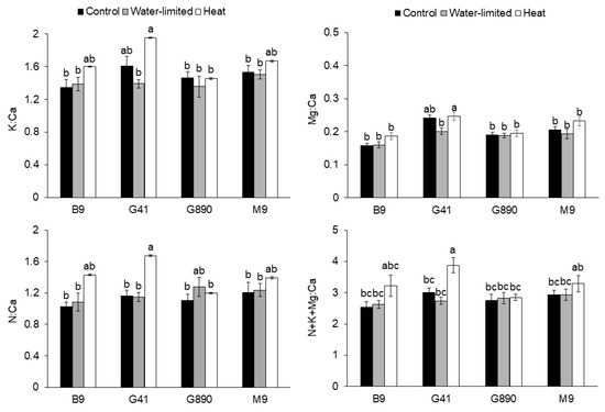
3.3. Leaf Nutrient Ratios
4. Discussion
4.1. Scion and Rootstock Genotypes, and Soil Environment All Shape Plant Growth and Biomass Partitioning
4.2. Cultivar Differences in Nutrient Uptake and Partitioning are Independent of Biomass Accumulation
4.3. Rootstock Affects Mineral Nutrient Uptake and Partitioning Independently of Dwarfing Effect
4.4. Elevated Soil Temperatures Affect Nutrient Uptake and Partitioning Differently
4.5. Water Limitations Can Affect Nutrient Uptake and Allocation to Aboveground Organs
4.6. Broad Implications on Nutrient Balance and Fruit Disorders under Changing Soil Environments
5. Conclusions
Author Contributions
Funding
Acknowledgments
Conflicts of Interest
References
- Lauri, P.É.; Barigah, T.S.; Lopez, G.; Martinez, S.; Losciale, P.; Zibordi, M.; Manfrini, L.; Corelli-Grappadelli, L.; Costes, E.; Regnard, J.L. Genetic variability and phenotypic plasticity of apple morphological responses to soil water restriction in relation with leaf functions and stem xylem conductivity. Trees 2016, 30, 1893–1908. [Google Scholar] [CrossRef]
- Wood, A.J. Eco-physiological Adaptations to Limited Water Enviornments. In Plant Abiotic Stress; Matthew, A.J., Paul, M.H., Eds.; Blackwell Publishing Ltd.: Oxford, UK, 2005; pp. 1–13. [Google Scholar]
- Kalcsits, L.; Musacchi, S.; Layne, D.R.; Schmidt, T.; Mupambi, G.; Serra, S.; Mendoza, M.; Asteggiano, L.; Jarolmasjed, S.; Sankaran, S.; et al. Above and below-ground environmental changes associated with the use of photoselective protective netting to reduce sunburn in apple. Agric. For. Meteorol. 2017, 237, 9–17. [Google Scholar] [CrossRef]
- Liu, B.H.; Cheng, L.; Liang, D.; Zou, Y.J.; Ma, F.W. Growth, gas exchange, water-use efficiency, and carbon isotope composition of ‘Gale Gala’ apple trees grafted onto 9 wild Chinese rootstocks in response to drought stress. Photosynthetica 2012, 50, 401–410. [Google Scholar] [CrossRef]
- Sofo, A.; Palese, A.M.; Casacchia, T.; Dichio, B. Sustainable fruit production in mediterranean orchards subjected to drought stress. In Abiotic Stress Responses in Plants: Metabolism, Productivity and Sustainability; Ahmad, P., Prasad, M.N.V., Eds.; Springer: New York, NY, USA, 2012; pp. 105–129. [Google Scholar]
- Stöckle, C.O.; Nelson, R.L.; Higgins, S.; Brunner, J.; Grove, G.; Boydston, R.; Whiting, M.; Kruger, C. Assessment of climate change impact on Eastern Washington agriculture. Clim. Chang. 2010, 102, 77–102. [Google Scholar] [CrossRef]
- Vano, J.A.; Scott, M.J.; Voisin, N.; Stöckle, C.O.; Hamlet, A.F.; Mickelson, K.E.B.; Elsner, M.M.; Lettenmaier, D.P. Climate change impacts on water management and irrigated agriculture in the Yakima River Basin, Washington, USA. Clim. Chang. 2010, 102, 287–317. [Google Scholar] [CrossRef]
- Wertheim, S.J.; Webster, A. Apple Rootstocks. In Apples Botany, Production and Use; Ferre, D.C., Warrington, I.J., Eds.; CABI Publishing: Cambridge, MA, USA, 2003. [Google Scholar]
- Fazio, G.; Kviklys, D.; Grusak, M.A.; Robinson, T. Phenotypic Diversity and QTL Mapping of Absorption and Translocation of Nutrients by Apple Rootstocks. Asp. Appl. Biol. 2013, 119, 37–50. [Google Scholar]
- Atkinson, D.; Wilson, S.A. The Growth and Distribution of Fruit Tree Roots: Some Consequences for Nutrient Uptake. In Mineral Nutrition of Fruit Trees; Elsevier BV: Amsterdam, The Netherlands, 1980; pp. 137–150. [Google Scholar]
- Jackson, J.E. Apple and pear root systems: Induction, development, structure and function. In Biology of Apples and Pears; Cambridge University Press: Cambridge, NY, USA, 2003; pp. 84–125. [Google Scholar]
- Tworkoski, T.; Fazio, G.; Glenn, D.M. Apple rootstock resistance to drought. Sci. Hortic. 2016, 204, 70–78. [Google Scholar] [CrossRef]
- Bassirirad, H. Kinetics of nutrient uptake by roots: Responses to global change. New Phytol Kinetics of nutrient uptake by roots: Responses to global change. New Phytol. 2000, 147, 155–169. [Google Scholar] [CrossRef]
- King, J.S.; Burton, A.J.; Brown, S.E.; Pregitzer, K.S. Responses of tree fine roots to temperature. New Phytol. 2000, 147, 105–115. [Google Scholar]
- Gur, A.; Mizrahi, Y.; Samish, R.M. The Influence of Root Temperature on Apple Trees II. Clonal Differences in Susceptibility to Damage Caused by Supraoptimal Root Temperature. J. Hortic. Sci. 1976, 51, 195–202. [Google Scholar] [CrossRef]
- Atkinson, C.; Webster, A.; Vaughan, S.; Lucas, A. Effects of root restriction on the physiology of apple tree growth. Acta Hortic. 1997, 451, 587–598. [Google Scholar] [CrossRef]
- Jobbágy, E.G.; Jackson, R.B.; Jobbagy, E.G.; Jackson, R.B. The Distribution of Soil Nutrients with Depth: Global Patterns and the Imprint of Plants Linked references are available on JSTOR for this article: The distribution of soil nutrients with depth: Global patterns and the imprint of plants. Biogeochemistry 2001, 53, 51–77. [Google Scholar] [CrossRef]
- Duman, F. Uptake of mineral elements during abiotic stress. In Abiotic Stress Responses in Plants: Metabolism, Productivity and Sustainability; Ahmad, P., Prasad, M.N.V., Eds.; Springer: New York, NY, USA, 2012; pp. 267–281. [Google Scholar]
- Hu, Y.; Burucs, Z.; Von Tucher, S.; Schmidhalter, U. Short-term effects of drought and salinity on mineral nutrient distribution along growing leaves of maize seedlings. Environ. Exp. Bot. 2007, 60, 268–275. [Google Scholar] [CrossRef]
- White, P.J. Long-distance Transport in the Xylem and Phloem. In Marschner’s Mineral Nutrition of Higher Plants; Elsevier BV: Amsterdam, The Netherlands, 2012; pp. 49–70. [Google Scholar]
- Casierra-posada, F.; Lizarazo, L.M. Estado nutricional de árboles de manzano Anna durante la estación de crecimiento en los altiplanos Colombianos: II. Relaciones e interacciones entre nutrientes. Agron. Colomb. 2004, 22, 160–169. [Google Scholar]
- De Freitas, S.T.; do Amarante, C.V.T.; Mitcham, E.J. Mechanisms regulating apple cultivar susceptibility to bitter pit. Sci. Hortic. 2015, 186, 54–60. [Google Scholar] [CrossRef]
- Rosenberger, D.; Schupp, J.; Hoying, S.; Cheng, L.; Watkins, C. Controlling Bitter Pit in Honeycrisp Apples. Horttechnology 2004, 14, 342–349. [Google Scholar] [CrossRef]
- Buwalda, J.; Lenz, F. Effects of cropping, nutrition and water supply on accumulation and distribution of biomass and nutrients for apple trees on’M9’root systems. Physiol. Plant 1992, 84, 21–28. [Google Scholar] [CrossRef]
- Atkinson, C.J.; Policarpo, M.; Webster, A.D.; Kuden, A.M. Drought tolerance of apple rootstocks: Production and partitioning of dry matter. Plant Soil 1999, 206, 223–235. [Google Scholar] [CrossRef]
- Lordan, J.; Fazio, G.; Francescatto, P.; Robinson, T. Effects of apple (Malus×domestica) rootstocks on scion performance and hormone concentration. Sci. Hortic. 2017, 225, 96–105. [Google Scholar] [CrossRef]
- Tworkoski, T.; Fazio, G. Effects of Size-Controlling Apple Rootstocks on Growth, Abscisic Acid, and Hydraulic Conductivity of Scion of Different Vigor. Int. J. Fruit Sci. 2015, 15, 1–13. [Google Scholar] [CrossRef]
- Lauri, P.E.; Maguylo, K.; Trottier, C. Architecture and size relations: An essay on the apple (Malus x domestica, Rosaceae) tree. Am. J. Bot. 2006, 93, 357–368. [Google Scholar] [CrossRef] [PubMed]
- Costes, E.; García-Villanueva, E. Clarifying the Effects of Dwarfing Rootstock on Vegetative and Reproductive Growth during Tree Development: A Study on Apple Trees. Ann. Bot. 2007, 100, 347–357. [Google Scholar] [CrossRef]
- Kucukyumuk, Z.; Erdal, I. Rootstock and cultivar effect on mineral nutrition, seasonal nutrient variation and correlations among leaf, flower and fruit nutrient concentrations in apple trees. Bulg. J. Agric. Sci. 2011, 17, 633–641. [Google Scholar]
- Amiri, M.E.; Fallahi, E.; Safi-Songhorabad, M. Influence of rootstock on mineral uptake and scion growth of Golden delicious and Royal gala apples. J. Plant Nutr. 2014, 37, 16–29. [Google Scholar] [CrossRef]
- Fallahi, E. Influence of Rootstock and Irrigation Methods on Water Use, Mineral Nutrition, Growth, Fruit Yield, and Quality in ‘Gala’ Apple. Horttechnology 2012, 22, 731–737. [Google Scholar] [CrossRef]
- Wünsche, J.N.; Greer, D.H.; Norling, C.L.; Wiggins, H.N. Root-zone temperatures affect phenology of bud break, flower cluster development, shoot extension growth and gas exchange of Braeburn (Malus domestica) apple trees. Tree Physiol. 2006, 26, 105–111. [Google Scholar]
- Ceccon, C.; Panzacchi, P.; Scandellari, F.; Prandi, L.; Ventura, M.; Russo, B.; Millard, P.; Tagliavini, M. Spatial and temporal effects of soil temperature and moisture and the relation to fine root density on root and soil respiration in a mature apple orchard. Plant Soil 2011, 342, 195–206. [Google Scholar] [CrossRef]
- Gur, A.; Hepner, J.; Shulman, Y. The influence of root temperature on apple trees. IV. The effect on the mineral nutrition of the tree. J. Hortic. Sci. 1979, 54, 313–321. [Google Scholar] [CrossRef]
- Ferguson, I.B.; Watkins, C.B. Bitter pit in apple fruit. Hortic. Rev. Am. Soc. Hortic. Sci. 1989, 11, 289–355. [Google Scholar]
- Jackson, J.E. Eating quality and its retention. In The Biology of Apples and Pears; Cambridge University Press: Cambridge, NY, USA, 2003; pp. 341–383. [Google Scholar]
- Atkinson, C.J.; Taylor, L.; Taylor, J.M.; Lucas, A.S. Temperature and irrigation effects on the cropping, development and quality of Cox’s Orange Pippin and Queen Cox apples. Sci. Hortic. 1998, 75, 59–81. [Google Scholar] [CrossRef]
- Slowik, K.; Labanauskas, C.K.K.; Stolzy, L.H.H.; Zentmyer, G.A.A. Influence of rootstocks, soil oxygen, and soil moisture on the uptake and translocation of nutrients in young avocado. J. Am. Soc. Hortic. Sci. 1979, 104, 172–175. [Google Scholar]
- Jackson, J.E. Biology of Apples and Pears; Cambridge University Press: Cambridge, NY, USA, 2003. [Google Scholar]
- Montanaro, G.; Dichio, B.; Xiloyannis, C. Significance of fruit transpiration on calcium nutrition in developing apricot fruit. J. Plant Nutr. Soil Sci. 2010, 173, 618–622. [Google Scholar] [CrossRef]
- Montanaro, G.; Dichio, B.; Xiloyannis, C.; Lang, A. Fruit transpiration in kiwifruit: Environmental drivers and predictive model. AoB Plants 2012, 2012, pls036. [Google Scholar] [CrossRef] [PubMed]
- De Freitas, S.T.; Amarante, C.V.D.; Labavitch, J.M.; Mitcham, E.J. Cellular approach to understand bitter pit development in apple fruit. Postharvest Boil. Technol. 2010, 57, 6–13. [Google Scholar] [CrossRef]
- De Freitas, S.T.; Amarante, C.V.D.; Dandekar, A.M.; Mitcham, E.J. Shading affects flesh calcium uptake and concentration, bitter pit incidence and other fruit traits in Greensleeves apple. Sci. Hortic. 2013, 161, 266–272. [Google Scholar] [CrossRef]
- White, P.J.; Broadley, M.R. Calcium in plants. Ann. Bot. 2003, 92, 487–511. [Google Scholar] [CrossRef] [PubMed]
- Montanaro, G.; Dichio, B.; Lang, A.; Mininni, A.N.; Xiloyannis, C. Fruit calcium accumulation coupled and uncoupled from its transpiration in kiwifruit. J. Plant Physiol. 2015, 181, 67–74. [Google Scholar] [CrossRef] [PubMed]
- Kalcsits, L.; Van Der Heijden, G.; Reid, M.; Mullin, K. Calcium Absorption during Fruit Development in ‘Honeycrisp’ Apple Measured Using 44Ca as a Stable Isotope Tracer. Hortscience 2017, 52, 1804–1809. [Google Scholar] [CrossRef]
- Lang, A. Xylem, Phloem and Transpiration Flows in Developing Apple Fruits. J. Exp. Bot. 1990, 41, 645–651. [Google Scholar] [CrossRef]
- Watkins, C.B.; Nock, J.F.; A Weis, S.; Jayanty, S.; Beaudry, R.M. Storage temperature, diphenylamine, and pre-storage delay effects on soft scald, soggy breakdown and bitter pit of Honeycrisp apples. Postharvest Biol. Technol. 2004, 32, 213–221. [Google Scholar] [CrossRef]
- Public Utility District. Water Quality 2018 Annual Report; Public Utility District: Wenatchee, WA, USA, 2018. [Google Scholar]
- Shackel, K.; Lampinen, B.; Southwick, S.; Olson, W.; Sibbett, S.; Krueger, W.; Yeager, J.; Goldhamer, D. Deficit Irrigation in Prunes: Maintaining Productivity with Less Water. Hortscience 2000, 35, 1063–1066. [Google Scholar] [CrossRef]
- Kalcsits, L.A. Non-destructive Measurement of Calcium and Potassium in Apple and Pear Using Handheld X-ray Fluorescence. Front. Plant Sci. 2016, 7, 6. [Google Scholar] [CrossRef] [PubMed]






| Scion | Rootstock | Dry Weight (G) | |||||
|---|---|---|---|---|---|---|---|
| Root(G) | Stem(G) | Leaf(G) | Leaf Area(Cm2) | Root:Shoot | |||
| Control | Honeycrisp | B9 | 4.1 ± 0.1 | 32.2 ± 2.1 | 15.8 ± 0.7 | 1758 ± 114 | 0.09 ± 0.003 |
| G41 | 3.0 ± 1.2 | 20.8 ± 5.5 | 17.2 ± 4.1 | 2186 ± 754 | 0.08 ± 0.02 | ||
| G890 | 19.5 ± 4.7 | 25.0 ± 3.1 | 19.9 ± 3.5 | 2610 ± 553 | 0.46 ± 0.13 | ||
| M9 | 5.6 ± 0.9 | 33.5 ± 3.5 | 28.2 ± 2.9 | 3565 ± 395 | 0.09 ± 0.01 | ||
| Gala | B9 | 7.3 ± 0.8 | 33.7 ± 3.1 | 20.0 ± 3.9 | 2182 ± 331 | 0.14 ± 0.02 | |
| G41 | 9.1 ± 0.9 | 35.0 ± 4.9 | 24.4 ± 3.0 | 350 ± 407 | 0.15 ± 0.01 | ||
| G890 | 24.6 ± 1.6 | 40.6 ± 2.3 | 31.6 ± 2.1 | 3872 ± 279 | 0.34 ± 0.02 | ||
| M9 | 8.6 ± 0.3 | 34.2 ± 8.2 | 27.2 ± 6.3 | 3435 ± 706 | 0.16 ± 0.04 | ||
| Water-Limited | Honeycrisp | B9 | 2.3 ± 1.0 | 19.3 ± 2.7 | 5.2 ± 2.1 | 496 ± 231 | 0.09 ± 0.02 |
| G41 | 5.2 ± 1.3 | 16.3 ± 0.7 | 8.7 ± 1.3 | 872 ± 192 | 0.21 ± 0.04 | ||
| G890 | 15.9 ± 3.1 | 15.2 ± 1.5 | 7.6 ± 1.4 | 770 ± 166 | 0.76 ± 0.25 | ||
| M9 | 6.6 ± 0.9 | 27.0 ± 1.5 | 15.9 ± 0.6 | 1629 ± 131 | 0.15 ± 0.02 | ||
| Gala | B9 | 5.4 ± 0.9 | 30.4 ± 1.7 | 12.1 ± 2.8 | 1067 ± 308 | 0.13 ± 0.03 | |
| G41 | 6.0 ± 0.2 | 16.6 ± 3.4 | 9.3 ± 1.6 | 935 ± 232 | 0.24 ± 0.03 | ||
| G890 | 17.0 ± 4.9 | 26.1 ± 1.9 | 17.8 ± 3.1 | 1741 ± 261 | 0.39 ± 0.10 | ||
| M9 | 5.2 ± 2.2 | 17.6 ± 4.1 | 10.1 ± 3.4 | 1039 ± 253 | 0.18 ± 0.03 | ||
| Heat | Honeycrisp | B9 | 1.8 ± 0.4 | 22.3 ± 0.3 | 10.6 ± 2.4 | 1237 ± 262 | 0.05 ± 0.01 |
| G41 | 3.6 ± 0.1 | 24.7 ± 5.1 | 17.9 ± 4.4 | 2203 ± 550 | 0.08 ± 0.004 | ||
| G890 | 24.1 ± 5.8 | 28.2 ± 13.0 | 24.1 ± 8.4 | 1964 ± 1072 | 0.51 ± 0.09 | ||
| M9 | 5.0 ± 1.2 | 30.6 ± 8.4 | 23.2 ± 7.0 | 2778 ± 944 | 0.10 ± 0.01 | ||
| Gala | B9 | 7.3 ± 1.6 | 37.2 ± 1.4 | 24.5 ± 1.4 | 2577 ± 230 | 0.12 ± 0.02 | |
| G41 | 9.7 ± 1.1 | 39.0 ± 1.6 | 32.7 ± 2.2 | 2841 ± 772 | 0.13 ± 0.01 | ||
| G890 | 28.8 ± 4.2 | 48.3 ± 14.2 | 32.6 ± 9.4 | 3138 ± 943 | 0.43 ± 0.12 | ||
| M9 | 3.5 ± 0.8 | 20.7 ± 2.6 | 14.9 ± 2.5 | 1811 ± 203 | 0.10 ± 0.01 | ||
| Treatment | 0.2315 | 0.0112 | <0.0001 | 0.0008 | 0.1469 | ||
| Scion | 0.0030 | 0.0028 | 0.0049 | 0.0347 | <0.0001 | ||
| Rootstock | <0.0001 | 0.3824 | 0.0302 | 0.0377 | 0.6434 | ||
| Treatment × Rootstock | 0.0354 | 0.3853 | 0.3457 | 0.7042 | 0.4294 | ||
| Scion × Rootstock | 0.3621 | 0.0087 | 0.0155 | 0.0507 | 0.0112 | ||
| Scion | Rootstock | Treatment | ||||||||||
|---|---|---|---|---|---|---|---|---|---|---|---|---|
| ‘Gala’ | ‘Honeycrisp’ | B9 | G41 | G890 | M9 | Control | Water-Limited | Heat | ||||
| Nitrogen | ||||||||||||
| Roots | 36.9 a | 28.3 b | *** | 31.5 a | 35.1 a | 33.5 a | 30.2 a | * | 29.1 b | 40.6 a | 28.0 b | *** |
| Stems | 5.6 a | 5.0 b | ** | 5.3 a | 5.2 a | 5.0 a | 5.5 a | 4.3 c | 6.6 a | 4.9 b | *** | |
| Leaves | 22.8 b | 25.7 a | ** | 23.0 a | 24.6 a | 24.5 a | 24.9 a | 25.1 a | 22.8 b | 24.9 a | * | |
| Calcium | ||||||||||||
| Roots | 15.9 a | 15.5 a | 14.7 b | 19.0 a | 14.7 b | 14.5 b | ** | 14.9 b | 17.6 a | 14.7 b | ** | |
| Stems | 12.0 a | 9.2 b | *** | 11.3 a | 9.9 a | 10.7 a | 10.4 a | 10.6 a | 11.0 a | 10.2 a | ||
| Leaves | 20.8 a | 19.5 a | 20.6 a | 19.2 a | 21.1 a | 19.8 a | 22.6 a | 19.6 b | 18.4 b | *** | ||
| Potassium | ||||||||||||
| Roots | 11.3 a | 12.6 a | 15.6 a | 10.6 bc | 8.9 c | 12.8 ab | *** | 12.0 a | 12.3 a | 11.6 a | ||
| Stems | 8.3 a | 7.5 b | * | 8.1 a | 7.8 a | 8.0 a | 7.8 a | 8.2 a | 7.4 a | 8.1 a | ||
| Leaves | 29.0 b | 31.1 a | * | 28.7 a | 31.0 a | 39.9 a | 30.6 a | 33.1 a | 27.2 b | 29.8 b | *** | |
| Magnesium | ||||||||||||
| Roots | 2.8 b | 3.1 a | * | 2.6 b | 3.0 ab | 2.9 ab | 3.4 a | ** | 2.7 b | 3.3 a | 2.9 b | ** |
| Stems | 1.3 a | 0.9 b | *** | 0.9 b | 1.3 a | 1.2 ab | 1.1 ab | * | 1.2 a | 1.0 a | 1.1 a | |
| Leaves | 4.2 a | 3.8 b | ** | 3.4 b | 4.4 a | 4.0 a | 4.1 a | *** | 4.4 a | 3.6 b | 3.9 b | *** |
| Scion | Rootstock | Treatment | ||||||||||
|---|---|---|---|---|---|---|---|---|---|---|---|---|
| ‘Gala’ | ‘Honeycrisp’ | B9 | G41 | G890 | M9 | Control | Water-Limited | Heat | ||||
| Nitrogen | ||||||||||||
| Roots | 393 a | 235 b | *** | 156 b | 219 b | 701 a | 180 b | *** | 309 a | 344 a | 290 a | |
| Stems | 168 a | 120 b | *** | 155 a | 128 a | 149 a | 143 a | 137 a | 140 a | 155 a | ||
| Leaves | 492 a | 427 a | 339 b | 464 ab | 525 a | 511 a | * | 573 a | 253 b | 553 a | *** | |
| Calcium | ||||||||||||
| Roots | 173 a | 119 b | ** | 67 b | 117 b | 316 a | 84 b | *** | 147 a | 132 a | 159 a | |
| Stems | 382 a | 221 b | *** | 335 a | 255 b | 338 a | 276 ab | * | 343 a | 235 b | 326 a | ** |
| Leaves | 445 a | 318 b | ** | 316 b | 343 ab | 461 a | 407 ab | * | 521 a | 210 c | 414 b | *** |
| Potassium | ||||||||||||
| Roots | 111 a | 82 b | ** | 72 b | 62 b | 183 a | 69 b | *** | 104 a | 91 a | 95 a | |
| Stems | 273 a | 187 b | ** | 240 a | 206 a | 260 a | 215 a | 267 a | 159 b | 265 a | ** | |
| Leaves | 622 a | 519 a | * | 425 b | 576 ab | 649 a | 632 a | * | 756 a | 290 b | 666 a | *** |
| Magnesium | ||||||||||||
| Roots | 30.2 a | 25.3 a | 12.2 b | 17.9 b | 61.8 a | 19.1 b | *** | 26.1 a | 26.8 a | 30.3 a | ||
| Stems | 43.5 a | 23.0 b | *** | 28.3 a | 35.0 a | 40.6 a | 29.1 a | 39.4 a | 21.1 b | 39.3 a | ** | |
| Leaves | 91.1 a | 63.0 b | ** | 52.7 b | 81.8 ab | 87.6 a | 86.1 a | ** | 104.2 a | 39.2 b | 87.8 a | *** |
| Alloc/Nut (mg) | Scion | Rootstock | Treatment | |||||||||
|---|---|---|---|---|---|---|---|---|---|---|---|---|
| ‘Gala’ | ‘Honeycrisp’ | B9 | G41 | G890 | M9 | Control | Water-Limited | Heat | ||||
| Roots | ||||||||||||
| Nitrogen | 0.35 a | 0.27 b | *** | 0.22 b | 0.28 b | 0.52 a | 0.22 b | *** | 0.27 b | 0.41 a | 0.25 b | ** |
| Calcium | 0.17 a | 0.17 a | 0.09 c | 0.17 b | 0.31 a | 0.12 c | *** | 0.14 a | 0.22 a | 0.15 a | ||
| Potassium | 0.19 a | 0.21 a | 0.13 b | 0.15 b | 0.36 a | 0.16 b | *** | 0.15 b | 0.28 a | 0.17 b | ** | |
| Magnesium | 0.12 a | 0.11 a | 0.09 b | 0.09 b | 0.19 a | 0.08 b | *** | 0.09 b | 0.16 a | 0.09 b | ** | |
| Stems | ||||||||||||
| Nitrogen | 0.18 a | 0.18 a | 0.27 a | 0.16 b | 0.11 c | 0.19 b | *** | 0.14 b | 0.23 a | 0.17 b | *** | |
| Calcium | 0.39 a | 0.37 a | 0.50 a | 0.36 bc | 0.29 c | 0.38 b | *** | 0.34 b | 0.42 a | 0.35 ab | ** | |
| Potassium | 0.26 a | 0.23 a | 0.33 a | 0.25 b | 0.19 b | 0.22 b | *** | 0.23 a | 0.27 a | 0.25 a | ||
| Magnesium | 0.27 a | 0.26 a | 0.35 a | 0.25 b | 0.23 b | 0.25 b | *** | 0.23 b | 0.31 a | 0.26 ab | ** | |
| Leaves | ||||||||||||
| Nitrogen | 0.47 b | 0.54 a | *** | 0.51 b | 0.55 ab | 0.37 c | 0.59 a | *** | 0.58 a | 0.36 b | 0.58 a | *** |
| Calcium | 0.43 a | 0.46 a | 0.41 b | 0.47 a | 0.40 b | 0.51 a | *** | 0.52 a | 035 c | 0.46 b | *** | |
| Potassium | 0.55 a | 0.55 a | 0.54 b | 0.59 ab | 0.45 c | 0.62 a | *** | 0.62 a | 0.45 b | 0.58 a | *** | |
| Magnesium | 0.61 a | 0.62 a | 0.55 b | 0.66 a | 0.58 b | 0.66 a | *** | 0.67 a | 0.53 b | 0.64 a | *** | |
© 2019 by the authors. Licensee MDPI, Basel, Switzerland. This article is an open access article distributed under the terms and conditions of the Creative Commons Attribution (CC BY) license (http://creativecommons.org/licenses/by/4.0/).
Share and Cite
Valverdi, N.A.; Cheng, L.; Kalcsits, L. Apple Scion and Rootstock Contribute to Nutrient Uptake and Partitioning under Different Belowground Environments. Agronomy 2019, 9, 415. https://doi.org/10.3390/agronomy9080415
Valverdi NA, Cheng L, Kalcsits L. Apple Scion and Rootstock Contribute to Nutrient Uptake and Partitioning under Different Belowground Environments. Agronomy. 2019; 9(8):415. https://doi.org/10.3390/agronomy9080415
Chicago/Turabian StyleValverdi, Nadia A., Lailiang Cheng, and Lee Kalcsits. 2019. "Apple Scion and Rootstock Contribute to Nutrient Uptake and Partitioning under Different Belowground Environments" Agronomy 9, no. 8: 415. https://doi.org/10.3390/agronomy9080415
APA StyleValverdi, N. A., Cheng, L., & Kalcsits, L. (2019). Apple Scion and Rootstock Contribute to Nutrient Uptake and Partitioning under Different Belowground Environments. Agronomy, 9(8), 415. https://doi.org/10.3390/agronomy9080415

