A Systematic Review of Field Trials to Synthesize Existing Knowledge and Agronomic Practices on Protein Crops in Europe
Abstract
1. Introduction
2. Methods
2.1. Literature Research
2.2. Inclusion and Exclusion Criteria
2.3. Screening
2.4. Coding and Data Extraction
2.5. Statistical Analysis
3. Results
3.1. Screening Process
3.2. Geographical Distribution of Observations
3.3. Management, Date, and Duration of Trials
3.4. Distribution Frequencies of Yield
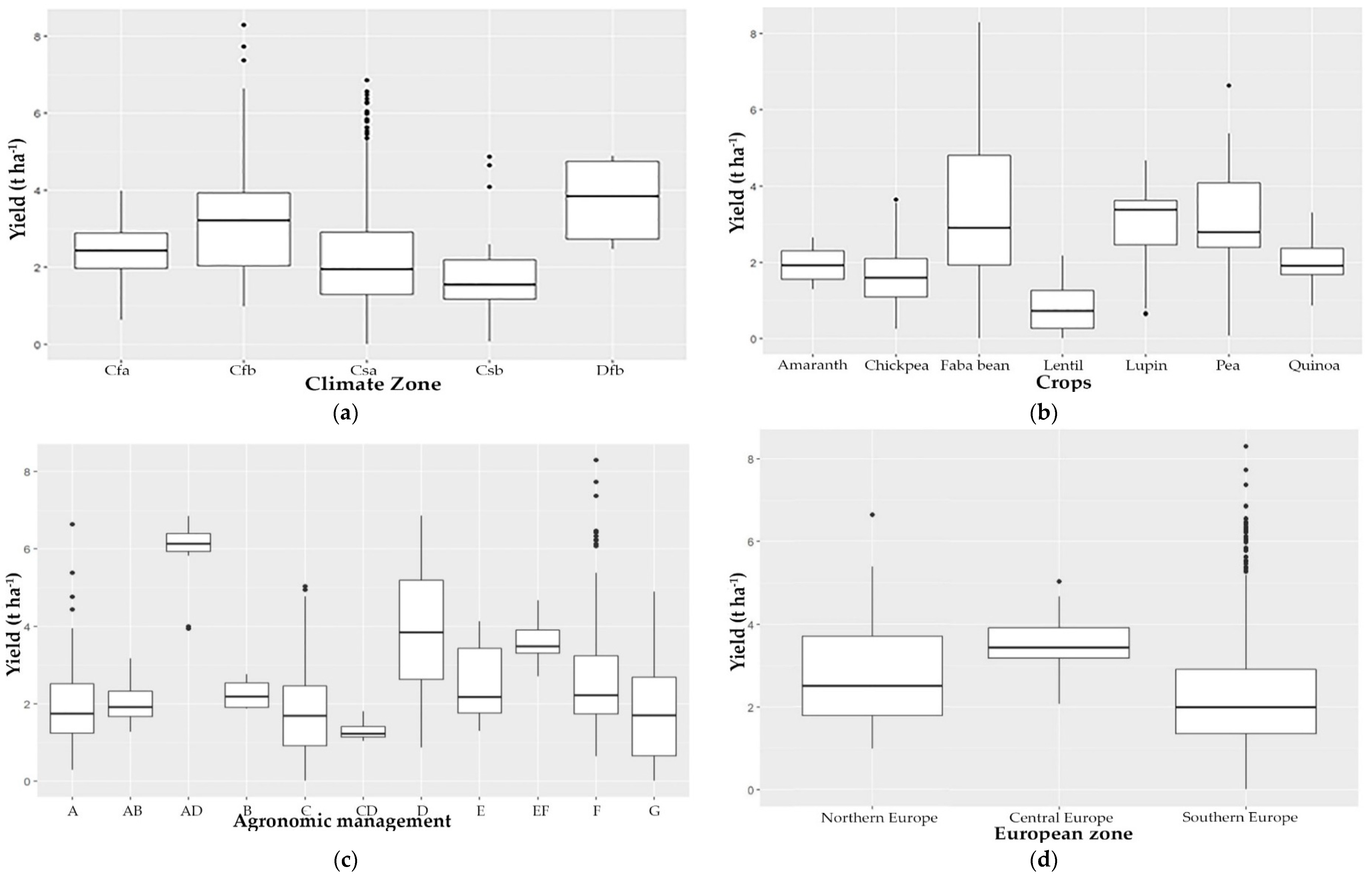
3.5. Overall Yield across Factors of Variation
3.6. Multiple Correspondence Analysis
- Look at the length of the line connecting the row label to the origin. Longer lines indicate that the row label is highly associated with some of the column labels (i.e., it has at least one high residual).
- Look at the length of the label connecting the column label to the origin. Longer lines again indicate a high association between the column label and one or more row labels.
- Look at the angle formed between these two lines. Really small angles indicate association. 90° angles indicate no relationship. Angles near 180° indicate negative associations.
4. Discussion
4.1. European Environments
4.2. Protein Crops
4.3. Agronomic Managements
5. Conclusions
Supplementary Materials
Author Contributions
Funding
Acknowledgments
Conflicts of Interest
References
- McCarthy, E.; Stephen, N.; O’Sullivan, S.N. How to feed the world in 2050? STOA Workshop 2013, European Parliament, Brussels. Available online: https://www.europarl.europa.eu/stoa/cms/home/events/workshops/feeding (accessed on 13 February 2019).
- Van Gelder, J.W.; Herder, A. Soja Barometer 2012; Een Onderzoeksrapport voor de Nederlandse Sojacoalitie. Available online: https://www.bothends.org/nl/Actueel/Publicaties/Soy-Barometer-2012-English-version- (accessed on 13 February 2019).
- Bues, A.; Preißel, S.; Reckling, M.; Zander, P.; Kuhlman, K.; Topp, K.; Watson, K.; Lindström, K.; Stoddard, FL.; Murphy-Bokern, D. Protein crops and their role in Europe. In The Environmental Role of Protein Crops in the New Common Agricultural Policy; Study 2013; European Union: Brussels, Belgium, 2013; Available online: http://www.europarl.europa.eu/studies (accessed on 24 June 2018).
- Laaninen, T. Imports of GM Food and Feed: Right of Member States to Opt Out 2015; European Parliamentary Research Service: Brussels, Belgium, 2015; Available online: https://www.europarl.europa.eu/etudes/BRIE (accessed on 26 April 2019).
- Halford, N.G. Legislation governing genetically modified and genome-edited crops in Europe: The need for change. J. Sci. Food Agric. 2019, 99, 8–12. [Google Scholar] [CrossRef] [PubMed]
- Häusling, M. The EU Protein Deficit: What Solution for a Long-Standing Problem? 2010/2111 (INI); Committee on Agricultural and Rural Development, European Parliament: Brussels, Belgium, 2011. [Google Scholar]
- De Visser, C. Starting paper Protein Crops. In EIP-AGRI Focus Group Protein Crops: Final Report 2013; European Commission: Brussels, Belgium, 2013; Available online: https://ec.europa.eu/eip/agriculture/en/publications/eip-agri-focus-group-protein-crops-final-report (accessed on 24 June 2018).
- FAOstat. Statistics Database of the Food and Agriculture Organization of the United Nations 2017. Available online: http://www.fao.org/statistics/databases/en/ (accessed on 26 April 2019).
- Bazile, D.; Jacobsen, S.E.; Verniau, A. The global expansion of quinoa: Trends and limits. Front. Plant Sci. Sect. Crop Sci. Hortic. 2016, 7, 622. [Google Scholar] [CrossRef] [PubMed]
- Von Richthofen, J.-S.; Pahl, H.; Bouttet, D.; Casta, P.; Cartrysse, C.; Charles, R.; Lafarga, A. What do European farmers think about grain legumes? Grain Legume 2006, 45, 14–15. Available online: http://www.ias.csic.es/grainlegumesmagazine/ (accessed on 25 June 2018).
- Voisin, A.S.; Guéguen, J.; Huyghe, C.; Jeuffroy, M.H.; Magrini, M.B.; Meynard, J.M.; Mougel, C.; Pellerin, S.; Pelzer, E. Legumes for feed, food, biomaterials and bioenergy in Europe: A review. Agron. Sustain. Dev. 2014, 34, 361–380. [Google Scholar] [CrossRef]
- Stoddard, F.L. The Case Studies of Participant Expertise in Legume Futures; Legume Futures Report 1.2. 2013. Available online: http://www.legumefutures.de/ (accessed on 13 February 2019).
- Sargeant, J.M.; Rajic, A.; Read, S.; Ohlsson, A. The process of systematic review and its application in agri-food public-health. Prev. Vet. Med. 2006, 75, 141–151. [Google Scholar] [CrossRef]
- Sargeant, J.M.; O’Connor, AM. Introduction to systematic reviews in animal agriculture and veterinary medicine. Zoonoses Public Health 2014, 61, 3–9. [Google Scholar] [CrossRef] [PubMed]
- Cuccurullo, C.; Aria, M.; And Sarto, F. Foundations and trends in performance management. A twenty-five years bibliometric analysis in business and public administration domains. Scientometrics 2016, 108, 595–611. [Google Scholar] [CrossRef]
- Curtis, P.S.; Wang, X.Z. A meta-analysis of elevated CO2 effects on woody plant mass, from and physiology. Ecologia 1998, 113, 299–313. [Google Scholar]
- Rohatgi, A. WebPlotDigitizer 2011. Available online: http://arohatgi.info/WebPlotDigitizer/app3_12/ (accessed on 30 December 2017).
- Lê, S.; Josse, J.; Husson, F. FactoMineR: An R package for multivariate analysis. J. Stat. Softw. 2008, 25, 1–18. [Google Scholar] [CrossRef]
- Greenacre, M.; Hastie, T. The geometric interpretation of correspondence analysis. J. Am. Stat. Assoc. 1987, 82, 437–447. [Google Scholar] [CrossRef]
- Benzécri, J.-P. Sur le calcul des taux d’inertie dans l’analyse d’un questionnaire: Addendum et Erratum à (Bin. Mult.). Les Cahiers de l’Analyse des Données 1979, 4, 377–378. [Google Scholar]
- Kostov, B.; Bécue-Bertaut, M.; Husson, F. “Correspondence Analysis on Generalised Aggregated Lexical Tables (CA-GALT)” in the FactoMineR Package. R. J. 2015, 7, 109–117. [Google Scholar] [CrossRef]
- R Core Team. R: A Language and Environment for Statistical Computing; R Foundation for Statistical Computing: Vienna, Austria, 2013. [Google Scholar]
- Giambalvo, D.; Ruisi, P.; Saia, S.; Di Miceli, G.; Frenda, A.A.; Amato, G. Faba bean grain yield, N2 fixation, and weed infestation in a long-term tillage experiment under rainfed Mediterranean conditions. Plant Soil 2012, 360, 215–227. [Google Scholar] [CrossRef]
- López-Bellido, R.J.; Lopez-Bellido, L.; Lopez-Bellido, F.J.; Castillo, J.E. Faba Bean (Vicia faba L.) Response to Tillage and Soil Residual Nitrogen in a Continuous Rotation with Wheat (Triticum aestivum L.) under Rainfed Mediterranean Conditions. Agron. J. 2003, 95, 1253–1261. [Google Scholar]
- López -Bellido, L.; Lopez-Bellido, R.J.; Castillo, J.E.; Lopez-Bellido, F.J. Chickpea response to tillage and soil residual nitrogen in a continuous rotation with wheat. I. Biomass and seed yield. Field Crop. Res. 2004, 88, 191–200. [Google Scholar] [CrossRef]
- FAOstat. Statistics Database of the Food and Agriculture Organization of the United Nations 2016. Available online: http://www.fao.org/statistics/databases/en/ (accessed on 30 October 2016).
- Watson, C.A.; Reckling, M.; Preisse, S.; Bachinger, J.; Bergkvist, G.; Kuhlman, T.; Lindström, K.; Nemecek, T.; Topp, C.F.E.; Vanhatalo, A.; et al. Chapter Four—Grain Legume Production and Use in European Agricultural Systems. Advances in Agronomy, 1st ed.; Sparks, D.L., Ed.; Zoe Kruze: Cambridge, MA, USA, 2017; Volume 144, pp. 235–303. [Google Scholar]
- Van Hoye, I. Growing Protein Crops Has a Profitable Future. Available online: https://ec.europa.eu/eip/agriculture/sites/agri-eip/files/2015-press20150611-ws_protein_crops_fin.pdf (accessed on 24 June 2018).
- Reckling, M.; Döring, T.F.; Bergkvist, G.; Stoddard, F.L.; Watson, C.A.; Seddig, S.; Chmielewski, F.M.; Bachinger, J. Grain legume yields are as stable as other spring crops in long-term experiments across northern Europe. Agron. Sustain. Dev. 2018, 38, 63. [Google Scholar] [CrossRef] [PubMed]
- Stoddard, F.L.; Balko, C.; Erskine, W.; Khan, H.R.; Link, W.; Sarker, A. Screening techniques and sources of resistance to abiotic stresses in cool-season food legumes. Euphytica 2006, 147, 167–186. [Google Scholar] [CrossRef]
- De Visser, C. Protein Crops. Available online: https://ec.europa.eu/eip/agriculture/sites/agri-eip/files/fg2_protein_crops_starting_paper_2013_en.pdf (accessed on 24 June 2018).
- Malezieux, E.; Crozat, Y.; Dupraz, C.; Laurans, M.; Makowski, D.; Ozier-Lafontaine, H.; Rapidel, B.; de Tourdonnet, S.; Valantin-Morison, M. Mixing plant species in cropping systems: Concepts, tools and models. A review. Agron. Sustain. Dev. 2009, 29, 43–62. [Google Scholar] [CrossRef]
- Taylor, B.R.; Cormack, W.F. Choice of Cereal and Pulse Species and Varieties. In Organic Cereals and Pulses; Papers presented at conferences held at the Heriot-Watt University, Edinburgh, and at Cranfield University Silsoe Campus, Bedfordshire, 6 and 9 November 2001 (pp. 9–28); Chalcombe Publications: Southampton, UK, 2002. [Google Scholar]
- EIP-AGRI. How to make protein crops profitable in the EU? 2015, Workshop. Budapest. Available online: https://ec.europa.eu/eip/agriculture/sites/agri-eip/files/field_event_attachments/report_ws_proteincrops_final_13022015.pdf (accessed on 25 June 2018).
- Lucas, M.M.; Stoddard, F.L.; Annicchiarico, P.; Frías, J.; Martínez-Villaluenga, C.; Sussmann, D.; Pueyo, J.J. The future of lupin as a protein crop in Europe. Front. Plant Sci. 2015, 6, 705. [Google Scholar] [CrossRef]
- Gresta, F.; Wink, M.; Prins, U.; Abberton, M.; Capraro, J.; Scarafoni, A.; Hill, G. Lupins. European cropping systems. In Legumes in Cropping Systems; CABI: Oxfordshire, UK, 2017; pp. 88–108. [Google Scholar]
- Yeheyis, L.; Kijora, C.; Melaku, S.; Girma, A.; Peters, K.J. White lupin (Lupinus albus L.), the neglected multipurpose crop: Its production and utilization in the mixed crop-livestock farming system. Livest. Res. Rural Dev. 2010, 22, 74. [Google Scholar]
- Stoddard, F.; Hovinen, S.; Kontturi, M.; Lindstrom, K.; Nykanen, A. Legumes in Finnish agriculture: History, present status and future prospects. Agric. Food Sci. 2009, 18, 191–205. [Google Scholar] [CrossRef]
- Annicchiarico, P.; Iannucci, A. Breeding strategy for faba bean in southern Europe based on cultivar responses across climatically contrasting environments. Crop Sci. 2008, 48, 983–991. [Google Scholar] [CrossRef]
- Lizarazo, C.I.; Lampi, A.M.; Liu, J.; Sontag-Strohm, T.; Piironen, V.; Stoddard, F.L. Nutritive quality and protein production from grain legumes in a boreal climate. J. Sci. Food Agric. 2015, 95, 2053–2064. [Google Scholar] [CrossRef] [PubMed]
- Corre-Hellou, G.; Crozat, Y. N2 fixation and N supply in organic pea (Pisum sativum L.) cropping systems as affected by weeds and peaweevil (Sitona lineatus L.). Eur. J. Agron. 2005, 22, 449–458. [Google Scholar] [CrossRef]
- Jensen, E.S.; Peoples, M.B.; Hauggaard-Nielsen, H. Faba bean in cropping systems. Field Crops Res. 2010, 115, 203–216. [Google Scholar] [CrossRef]
- Flores, F.; Nadal, S.; Solis, I.; Winkler, J.; Sass, O.; Stoddard, F.L.; Link, W.; Raffiot, B.; Muel, F.; Rubiales, D. Faba bean adaptation to autumn sowing under European climates. Agron. Sustain. Dev. 2012, 32, 727–734. [Google Scholar] [CrossRef]
- Cernay, C.; Ben-Ari, T.; Pelzer, E.; Meynard, J.-M.; Makowski, D. Estimating variability in grain legume yields across Europe and the Americas. Sci. Rep. 2015, 5, 11171. [Google Scholar] [CrossRef]
- Christopher, S.F.; Lal, R. Nitrogen management affects carbon sequestration in North American cropland soils. Crit. Rev. Plant Sci. 2007, 26, 45–64. [Google Scholar] [CrossRef]
- Soussana, J.F.; Loiseau, P.; Vuichard, N.; Ceschia, E.; Balesdent, J.; Chevallier, T.; Arrouays, D. Carbon cycling and sequestration opportunities in temperate grasslands. Soil Use Manag. 2004, 20, 219–330. [Google Scholar] [CrossRef]
- Freibauer, A.; Rounsevell, MD.; Smith, P.; Verhagen, J. Carbon sequestration in the agricultural soils of Europe. Geoderma. 2004, 122, 1–23. [Google Scholar] [CrossRef]
- Jensen, E.S.; Peoples, M.B.; Boddey, R.M.; Gresshoff, P.M.; Hauggaard-Nielsen, H.; Alves, B.J.; Morrison, M.J. Legumes for mitigation of climate change and the provision of feedstock for biofuels and biorefineries. A review. Agron. Sustain. Dev. 2012, 32, 329–364. [Google Scholar] [CrossRef]
- Stagnari, F.; Maggio, A.; Galieni, A.; Pisante, M. Multiple benefits of legumes for agriculture sustainability: An overview. Chem. Biol. Technol. Agric. 2017, 4, 1–13. [Google Scholar] [CrossRef]
- Hobbs, P.R.; Sayre, K.; Gupta, R. The role of conservation agriculture in sustainable agriculture. Philos. Trans. R. Soc. Lond. Ser. B 2008, 363, 543–555. [Google Scholar] [CrossRef] [PubMed]
- Torabian, S.; Farhangi-Abriz, S.; Denton, M.D. Do tillage systems influence nitrogen fixation in legumes? A review. Soil Tillage Res. 2019, 185, 113–121. [Google Scholar] [CrossRef]
- Okoth, J.O.; Mungai, N.W.; Ouma, J.P.; Baijukya, F.P. Effect of tillage on biological nitrogen fixation and yield of soybean (‘Glycine max L. Merril’) varieties. Aust. J. Crop Sci. 2014, 8, 1140. [Google Scholar]
- Wiraguna, E. Enhancement of Fixation Nitrogen in Food Legumes. J. Agric. Stud. 2016, 4. [Google Scholar] [CrossRef]
- Krishna, K.R. Agricultural Prairies: Natural Resources and Crop Productivity; CRC Press: Boca Raton, FL, USA, 2015; 514p. [Google Scholar]
- Kitamura, Y. Use of starter nitrogen for establishing tropical legume-grass pasture. Jarq-Japan Agric. Res. Q. 1982, 15, 253–260. [Google Scholar]
- Turk, M.A.; Tawaha, A.R.M. Impact of seeding rate, seeding date, rate and method of phosphorus application in faba bean (Vicia faba L. minor) in the absence of moisture stress. Biotechnol. Agron. Soc. Environ. 2002, 6, 171–178. [Google Scholar]
- Da Silva, P.M.; Tsai, S.M.; Bonetti, R. Response to Inoculation and N Fertilization for Increased Yield and Biological Nitrogen Fixation of Common Bean (Phaseolus vulgaris L.). In Enhancement of Biological Nitrogen Fixation of Common Bean in Latin America; Springer: Dordrecht, The Netherlands, 1993; pp. 123–130. [Google Scholar]
- Dunphy, E.J.; Hanway, J.J. Water-soluble carbohydrate accumulation in soybean plants. Agron. J. 1976, 68, 697–700. [Google Scholar] [CrossRef]
- Harper, J.E. Soil and symbiotic nitrogen requirements for optimum soybean production. Crop Sci. 1974, 14, 255–260. [Google Scholar] [CrossRef]
- Garcia, L.; Hanway, J.J. Foliar Fertilization of Soybeans During the Seed-filling Period 1. Agron. J. 1976, 68, 653–657. [Google Scholar] [CrossRef]
- Frith, G.J.T.; Dalling, M.J. The Role of Peptide Hydrolases in Leaf Senescence. In Senescence in Plants; K V Thimann: Boca Raton, FL, USA, 1980; pp. 117–130. [Google Scholar]
- Giller, K.E. Nitrogen Fixation in Tropical Cropping Systems, 2nd ed.; CABI Publishing: Wallingford, UK, 2001; pp. 271–297. [Google Scholar]
- Amijee, F.; Giller, K.E. Environmental constraints to nodulation and nitrogen fixation of Phaseolus vulgaris L. in Tanzania, I. A survey of soil fertility, root nodulation and multilocational responses to rhizobium inoculation. Afr. J. Crop Sci. 1998, 6, 159–169. [Google Scholar] [CrossRef]
- Miysaka, S.; Freire, E.S.; Mascarenhas, H.S. Modo e epoca de aplicacao de nitrogenio na cultura do feijoeiro. Bragantia 1963, 22, 511–519. [Google Scholar] [CrossRef]
- Muraoka, T.; Neptune, A.M.L. Efeito da aplicacao foliar de polifosfato, superfosfato, ureia e yogen na producao de feijoeiro (Phaseolus vulgaris L.). Rev. Bras. Cienc. Solo 1978, 2, 51–55. [Google Scholar]
- Malavolta, E. Elementos de Nutricion de Plantas; Ceres: Primavera do Leste, Brazil, 1981; pp. 80–94. [Google Scholar]
- Kaul, H.P.; Kruse, M.; Aufhammer, W. Yield and nitrogen utilization efficiency of the pseudocereals amaranth, quinoa, and buckwheat under differing nitrogen fertilization. Eur. J. Agron. 2005, 22, 95–100. [Google Scholar]
- Razzaghi, F.; Plauborg, F.; Jacobsen, S.E.; Jensen, C.R.; Andersen, M.N. Effect of nitrogen and water availability of three soil types on yield, radiation use efficiency and evapotranspiration in field-grown quinoa. Agr. Water Manag. 2018, 109, 20–29. [Google Scholar] [CrossRef]
- McLeod, J.G.; Campbell, C.A.; Dyck, F.B.; Vera, C.L. Optimum seeding dates of winter wheat in southwestern Saskatchewan. Agron. J. 1992, 84, 86–90. [Google Scholar] [CrossRef]
- Jackson, L.F.; Dubcovsky, J.; Gallagher, L.W.; Wennig, R.L.; Heaton, J.; Vogt, H.; Gibbs, L.K.; Kirby, D.; Canevari, M.; Carlson, H.; et al. Regional Barley and Common and Durum Wheat Performance Tests in California 2000; University of California, Agronomy Progress Report No. 272. Available online: http://agric.ucdavis.edu/crops/cereals/2000/oct2000.htm (accessed on 25 June 2018).
- Anderson, W.K.; Smith, W.R. Yield advantage of two semi-dwarf compared with two tall wheats depends on sowing time. Aust. J. Agric. Res. 1990, 41, 811–826. [Google Scholar] [CrossRef]
- Bassu, S.; Asseng, S.; Motzo, R.; Giunta, F. Optimising sowing date of durum wheat in a variable Mediterranean environment. Field Crops Res. 2009, 111, 109–118. [Google Scholar] [CrossRef]
- Panozzo, J.F.; Eagles, H.A. Rate and duration of grain filling and grain nitrogen accumulation of wheat cultivars grown in different environments. Aust. J. Agric. Res. 1999, 50, 1007–1015. [Google Scholar] [CrossRef]
- Subedi, K.D.; Ma, B.L.; Xue, A.G. Planting date and nitrogen effects on grain yield and protein content of spring wheat. Crop Sci. 2007, 47, 36–44. [Google Scholar] [CrossRef]
- Pulvento, C.; Riccardi, M.; Lavini, A.; d’Andria, R.; Iafelice, G.; Marconi, E. Field trial evaluation of two chenopodium quinoa genotypes grown under rain-fed conditions in a typical Mediterranean environment in South Italy. J. Agron. Crop Sci. 2010, 196, 407–411. [Google Scholar] [CrossRef]
- Tawaha, A.M.; El-Shatnawi, M.K.J. Response of lentil (Lens culinaris Medik) to plant density, sowing date, phosphorus fertilization and ethephon application in the absence of moisture stress. J Agron. Crop Sci. 2003, 189, 1–6. [Google Scholar]
- Martin, I.; Tenoria, J.L.; Ayerbe, L. Yield growth and water use of conventional and semi leafless peas in semi-arid environments. Crop Sci. 1994, 34, 1576–1583. [Google Scholar] [CrossRef]
- Noffsinger, L.S.; Santen, E. Yield and yield components of spring-sown white lupin in the southeastern USA. Agron. J. 1995, 87, 493–497. [Google Scholar] [CrossRef]
- McEwen, J.; Yeoman, D.P.; Moffitt, R. Effect of seed rates, sowing dates and methods of sowing on autumn sown field beans (Vicia faba L.). J. Agric. Sci. Camb. 1988, 110, 345–352. [Google Scholar] [CrossRef]
- Tawaha, A.M.; Turk, M.A. Crop-weed competition studies in faba bean (Vicia faba L.) under rainfed conditions. Acta Agron. Hung. 2001, 49, 299–303. [Google Scholar] [CrossRef]
- Hirich, A. Effects of Deficit Irrigation using Treated Wastewater and Irrigation with Saline Water on Legumes, Corn and Quinoa Crops. Ph.D. Thesis, Institut Agronomique et vétérinaire Hassan II, Morocco, 2014. [Google Scholar]
- Postel, S.L. Entering an Era of Water Scarcity: The Challenges Ahead. Ecol. Appl. 2000, 10, 941–948. [Google Scholar] [CrossRef]
- Daryanto, S.; Wang, L.; Jacinthe, P.-A. Global Synthesis of Drought Effects on Food Legume Production. PLoS ONE 2015, 10, 1–16. [Google Scholar] [CrossRef]
- Olesen, J.E.; Trnka, M.; Kersebaum, K.C.; Skjelvag, A.O.; Seguin, B.; Peltonen-Sainio, P.; Rossi, F.; Kozyra, J.; Micale, F. Impacts and adaptation of European crop production systems to climate change. Eur. J. Agron. 2011, 34, 96–112. [Google Scholar] [CrossRef]
- Pandey, R.K.; Herrera, W.A.T.; Pendleton, J.W. Drought response of grain legumes under irrigation gradient: 1. Yield and yield components. Agron. J. 1984, 76, 549–553. [Google Scholar] [CrossRef]
- Peterson, P.R.; Sheaffer, C.C.; Hall, M.H. Drought effects on perennial forage legume yield and quality. Agron. J. 1992, 84, 774–779. [Google Scholar] [CrossRef]
- Karou, M.; Oweis, T. Water and land productivities of wheat and food legumes with deficit supplemental irrigation in a Mediterranean environment. Agric. Water Manag. 2012, 107, 94–103. [Google Scholar] [CrossRef]
- Mafakheri, A.; Siosemardeh, A.; Bahramnejad, B.; Struik, PC.; Sohrabi, E. Effect of drought stress on yield, proline and chlorophyll contents in three chickpea cultivars. Aust. J. Crops Sci. 2010, 4, 580–585. [Google Scholar]
- Li, F.; Cook, S.; Geballe, GT.; Burch, W.R., Jr. Rainwater Harvesting Agriculture: An Integrated System for Water Management on Rainfed Land in China’s Semiarid Areas. Ambio 2000, 29, 477–483. [Google Scholar] [CrossRef]
- Sass, O. Marktsituation und züchterische Aktivitäten bei Ackerbohnen und Körnererbsen in der EU (Market situation and breeding input in faba bean and field pea in the EU). J. für Kulturpflanzen 2009, 61, 306–308. [Google Scholar]
- Osenberg, C.W.; Sarnelle, O.; Cooper, S.D.; Holt, R.D. Resolving ecological questions through meta-analysis: Goals, metrics, and models. Ecology 1999, 80, 1105–1117. [Google Scholar] [CrossRef]







| PIO | Description |
|---|---|
| Population | Agriculture—food crops under field conditions |
| Crops included quinoa, amaranth, pea, faba bean, lupin, chickpea and lentil | |
| Europe: Study included all the countries in the continent | |
| Intervention | Management included sowing date, sowing density, fertilizer, tillage, salinity, deficit irrigation, and weed control |
| Outcomes | Yield, yield gap, potential yield, farmer yield, and attainable yield |
| European Region | No. of Countries | List of Countries | No. of Cases | No. of Observations | Crops | No. of Observations | Yield (t ha-1) | S.D.1 | C.V.2 | |||
|---|---|---|---|---|---|---|---|---|---|---|---|---|
| Minimum | Maximum | Mean | Median | |||||||||
| Northern Europe (NE) | 2 | Sweden, Denmark | 4 | 54 | Lupin | 10 | 0.98 | 3.95 | 2.83 | 2.96 | 1.03 | 36.18 |
| Peas | 22 | 2.36 | 6.64 | 3.87 | 3.72 | 1.18 | 30.39 | |||||
| Quinoa | 22 | 1.54 | 2.27 | 1.82 | 1.76 | 0.21 | 11.42 | |||||
| Central Europe (CE) | 2 | France, Poland | 4 | 57 | Chickpea | 2 | 2.86 | 3.18 | 3.02 | 3.02 | 0.23 | 7.49 |
| Lupin | 46 | 2.15 | 4.67 | 3.51 | 3.44 | 0.58 | 16.47 | |||||
| Peas | 9 | 2.08 | 5.03 | 3.55 | 3.89 | 0.94 | 26.51 | |||||
| Southern Europe (SE) | 5 | Portugal, Spain, Italy, Greece, Turkey | 34 | 707 | Amaranth | 24 | 1.3 | 2.65 | 1.94 | 1.93 | 0.41 | 21.39 |
| Chickpea | 228 | 0.26 | 3.65 | 1.63 | 1.59 | 0.72 | 44.33 | |||||
| Faba bean | 284 | 0.01 | 8.29 | 3.36 | 2.98 | 1.77 | 52.63 | |||||
| Lentil | 42 | 0.01 | 2.18 | 0.78 | 0.73 | 0.60 | 77.32 | |||||
| Lupin | 28 | 0.64 | 3.99 | 2.20 | 1.78 | 1.18 | 53.45 | |||||
| Peas | 28 | 0.08 | 4.94 | 2.32 | 2.50 | 1.28 | 54.92 | |||||
| Quinoa | 73 | 0.87 | 3.31 | 2.11 | 1.95 | 0.56 | 26.54 | |||||
| Köppen-Geiger Climate Zone | Name of the Climate Zone | No. of Observations |
|---|---|---|
| Cfa | Cfa—Humid subtropical | 34 |
| Cfb | Cfb—Marin–mild winter | 136 |
| Csa | Csa—Interior mediterranean | 589 |
| Csb | Csb—Coastal mediterranean | 46 |
| Dfb | Dfb—Humid continental mild summer, wet all year | 12 |
| Dimension Components | Dim1 | Dim2 | Dim3 |
|---|---|---|---|
| Eigenvalue | 0.741 | 0.566 | 0.486 |
| Relative variance (%) * | 27.91 | 16.30 | 12.03 |
| Cumulative variance (%) | 27.91 | 44.21 | 56.24 |
| Principal Components | Dim1 | Dim2 | Dim3 | ||||
|---|---|---|---|---|---|---|---|
| Categorical variables | Variables attributes | Abs. Contr. a | V-Test b | Abs. Contr. a | V-Test | Abs. Contr. a | V-Test |
| Protein crops | Amaranth | 0.45 | −3.35 | 0.001 | 0.15 | 7.66 | −11.19 |
| Chickpea | 1.15 | −6.22 | 1.66 | −6.54 | 2.74 | 16.78 | |
| Faba bean | 1.95 | −8.51 | 0.98 | −5.27 | 1.93 | −6.86 | |
| Lentil | 0.20 | −2.24 | 1.36 | 5.15 | 0.01 | 0.41 | |
| Lupin | 19.17 | 22.72 | 3.49 | −8.47 | 0.06 | −1.03 | |
| Pea | 1.12 | 5.40 | 13.22 | 16.23 | 3.40 | 7.62 | |
| Quinoa | 0.05 | −1.11 | 3.26 | 8.25 | 9.30 | −12.93 | |
| European countries | Northern Europe | 3.43 | 9.43 | 22.96 | 21.32 | 0.13 | 1.50 |
| Central Europe | 21.75 | 23.78 | 2.79 | −7.45 | 0.63 | −3.28 | |
| Southern Europe | 3.38 | −24.52 | 0.72 | −9.92 | 0.02 | 1.36 | |
| Climatic zone | Cfa | 0.06 | 1.27 | 1.53 | -5.44 | 2.72 | 6.71 |
| Cfb | 17.60 | 22.60 | 0.18 | 1.99 | 0.50 | −3.07 | |
| Csa | 4.57 | −19.90 | 0.16 | −3.27 | 1.93 | −10.48 | |
| Csb | 0.04 | −0.99 | 0.28 | −2.34 | 17.23 | 17.03 | |
| Dfb | 0.66 | 4.01 | 20.34 | 19.54 | 1.45 | 4.83 | |
| Agronomic management | A | 0.003 | 0.31 | 0.12 | 1.59 | 2.07 | 6.26 |
| AB | 0.84 | −4.71 | 0.22 | 2.11 | 15.55 | −16.40 | |
| AD | 0.18 | −2.10 | 0.09 | −1.27 | 0.24 | −1.99 | |
| B | 0.05 | −1.10 | 0.07 | 1.14 | 0.90 | −3.79 | |
| C | 1.25 | −6.40 | 0.19 | −2.17 | 0.63 | 3.67 | |
| CD | 0.12 | −1.71 | 0.38 | −2.68 | 12.98 | 14.50 | |
| D | 1.31 | −6.21 | 0.22 | −2.23 | 3.03 | −7.65 | |
| E | 1.48 | 6.11 | 1.41 | −5.21 | 2.09 | 5.86 | |
| EF | 18.73 | 21.74 | 3.23 | −7.90 | 1.41 | −4.83 | |
| F | 0.12 | 1.80 | 1.78 | −6.09 | 1.30 | 4.81 | |
| G | 0.34 | 3.00 | 19.37 | 19.80 | 0.11 | 1.38 | |
© 2019 by the authors. Licensee MDPI, Basel, Switzerland. This article is an open access article distributed under the terms and conditions of the Creative Commons Attribution (CC BY) license (http://creativecommons.org/licenses/by/4.0/).
Share and Cite
Sellami, M.H.; Pulvento, C.; Aria, M.; Stellacci, A.M.; Lavini, A. A Systematic Review of Field Trials to Synthesize Existing Knowledge and Agronomic Practices on Protein Crops in Europe. Agronomy 2019, 9, 292. https://doi.org/10.3390/agronomy9060292
Sellami MH, Pulvento C, Aria M, Stellacci AM, Lavini A. A Systematic Review of Field Trials to Synthesize Existing Knowledge and Agronomic Practices on Protein Crops in Europe. Agronomy. 2019; 9(6):292. https://doi.org/10.3390/agronomy9060292
Chicago/Turabian StyleSellami, Mohamed Houssemeddine, Cataldo Pulvento, Massimo Aria, Anna Maria Stellacci, and Antonella Lavini. 2019. "A Systematic Review of Field Trials to Synthesize Existing Knowledge and Agronomic Practices on Protein Crops in Europe" Agronomy 9, no. 6: 292. https://doi.org/10.3390/agronomy9060292
APA StyleSellami, M. H., Pulvento, C., Aria, M., Stellacci, A. M., & Lavini, A. (2019). A Systematic Review of Field Trials to Synthesize Existing Knowledge and Agronomic Practices on Protein Crops in Europe. Agronomy, 9(6), 292. https://doi.org/10.3390/agronomy9060292

