Agro-Environmental Benefit and Risk of Manure- and Bone Meal-Derived Pyrogenic Carbonaceous Materials as Soil Amendments: Availability of PAHs, PTEs, and P
Abstract
:1. Introduction
2. Materials and Methods
2.1. Biochar Production and Physicochemical Characterization
2.2. Total and Available Pool of PAH Determination
2.3. Total and Chemically Extractable Pool of PTE Determination
2.4. Earthworm Avoidance Test
2.5. Phosphorus Content, Mobility, and Availability
3. Results
3.1. Pyrogenic Material Characterization
3.2. Avoidance Test
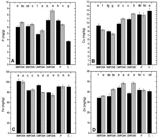
3.3. Pot Experiment
4. Discussion
4.1. Pyrogenic Carbonaceous Materials Properties
4.2. Pyrogenic Carbonaceous Materials as Soil Fertilizers
5. Conclusions
Author Contributions
Funding
Acknowledgments
Conflicts of Interest
References
- Jones, A.; Panagos, P.; Barcelo, S.; Bouraoui, F.; Bosco, C.; Dewitte, O.; Gardi, C.; Erhard, M.; Hervás, J.; Hiederer, R.; et al. The State of Soil in Europe. In Reference Report by the Joint Research Centre; European Union: Brussels, Belgium, 2012. [Google Scholar]
- Micháleková-Richveisová, B.; Frišták, V.; Pipíška, M.; Ďuriška, L.; Moreno-Jiménez, E.; Soja, G. Iron-impregnated biochars as effective phosphate sorption materials. Environ. Sci. Pollut. Res. Int. 2017, 24, 463–475. [Google Scholar] [CrossRef]
- Cordell, D.; White, S. Peak phosphorus: Clarifying the key issues of a vigorous debate about long-term phosphorus security. Sustainability 2011, 3, 2027–2049. [Google Scholar] [CrossRef]
- Lehmann, J.; Rillig, M.C.; Thies, J.; Masiello, C.A.; Hockaday, W.C.; Crowley, D. Biochar effects on soil biota—A review. Soil Biol. Biochem. 2011, 43, 1812–1836. [Google Scholar] [CrossRef]
- Kloss, S.; Zehetner, F.; Wimmer, B.; Buecker, J.; Rempt, F.; Soja, G. Biochar application to temperate soils: Effects on soil fertility and crop growth under greenhouse conditions. J. Plant Nutr. Soil Sci. 2014, 177, 3–15. [Google Scholar] [CrossRef]
- Frišták, V.; Pipíška, M.; Soja, G. Pyrolysis treatment of sewage sludge: A promising way to produce phosphorus fertilizer. J. Clean. Prod. 2018, 172, 1772–1778. [Google Scholar] [CrossRef]
- Dieguez-Alonso, A.; Anca-Couce, A.; Frišták, V.; Moreno-Jiménez, E.; Bacher, M.; Bücheli, T.D.; Cimò, G.; Conte, P.; Hagemann, N.; Haller, A.; et al. Designing biochar properties through the blending of biomass feedstock with metals: Impact on oxyanions adsorption behavior. Chemosphere 2019, 214, 743–753. [Google Scholar] [CrossRef]
- Aceña-Heras, D.; Novak, J.; Luz Cayuela, M.; Peñalosa, J.M.; Moreno-Jiménez, E. Influence of pyrolyzed grape-seeds/sewage sludge blends on the availability of P, Fe, Cu, As and Cd to maize. Agronomy 2019, 9, 406. [Google Scholar] [CrossRef]
- Víglašová, E.; Galamboš, M.; Danková, Z.; Krivosudský, L.; Lengauer, L.C.; Hood-Nowotny, R.; Soja, G.; Rompel, A.; Matík, M.; Briančin, J. Production, characterization and adsorption studies of bamboo-based biochar/montmorillonite composite for nitrate removal. Waste Manag. 2018, 79, 385–394. [Google Scholar] [CrossRef]
- Mayer, P.; Hilber, I.; Gouliarmou, V.; Hale, S.E.; Cornelissen, G.; Bucheli, T.D. How to determine the environmental exposure of PAHs originating from biochar. Environ. Sci. Technol. 2016, 50, 1941–1948. [Google Scholar] [CrossRef]
- Hilber, I.; Blum, F.; Leifeld, J.; Schmidt, H.P.; Bücheli, T.D. Quantitative determination of PAHs in biochar:a prerequisite to ensure its quality and safe application. J. Agric. Food Chem. 2012, 60, 3042–3050. [Google Scholar] [CrossRef]
- Buss, W.; Mašek, O. Mobile organic compounds in biochar—A potential source of contamination—Phytotoxic effects on cress seed (Lepidum sativum) germination. J. Environ. Manag. 2014, 137, 111–119. [Google Scholar] [CrossRef] [PubMed]
- Wang, J.; Xia, K.; Waigi, M.G.; Gao, Y.; Odinga, E.S.; Ling, W.; Liu, J. Application of biochar to soils may result in plant contamination and human cancer risk due to exposure of polycyclic aromatic hydrocarbons. Environ. Int. 2018, 121, 169–177. [Google Scholar] [CrossRef] [PubMed]
- Hass, A.; Gonzalez, J.M.; Lima, I.M.; Godwin, H.W.; Halvorson, J.J.; Boyer, D.G. Chicken manure biochar as liming and nutrient source for acid Appalachian soil. J. Environ. Qual. 2012, 41, 1096–1106. [Google Scholar] [CrossRef] [PubMed]
- Frišták, V.; Graser, M.; Pipíška, M.; Micháleková-Richveisová, B.; Soja, G. Pyrolysis products as soil fertilizers: Screening of potentially hazardous aromatic compounds. Nova Biotechnol. Chim. 2016, 15, 35–46. [Google Scholar] [CrossRef]
- Hazardous Wastes EWC Codes 1001 and 1901, CWC Codes 1001 and 1901, Council decision 22/12/94 (94/904/EC). In European Community Council Directive 91/96/WC; European Union: Brussel, Belgium, 1994.
- Vamvuka, D.; Dermitzakis, S.; Pentari, D.; Sfakiotakis, S. Valorization of meat and bone meal through pyrolysis for soil amendment or lead adsorption from wastewaters. Food Bioprod. Process. 2018, 109, 148–157. [Google Scholar] [CrossRef]
- Someus, E.; Pugliese, M. Concentrated phosphorus recovery from food grade animal bones. Sustainability 2018, 10, 2349. [Google Scholar] [CrossRef]
- Siebers, N.; Leinweber, P. Bone Char: A clean and renewable phosphorus fertilizer with cadmium immobilization capacity. J. Environ. Qual. 2013, 42, 405–411. [Google Scholar] [CrossRef]
- Cely, P.; Gascó, G.; Paz-Ferreiro, J.; Méndez, A. Agronomic properties of biochars from different manure wastes. J. Anal. Appl. Pyrolysis 2015, 111, 173–182. [Google Scholar] [CrossRef]
- EPIWIN; Version 3.10; US EPA (US Environmental Protection Agency) and SRC (Environmental Science Center): Washington, DC, USA, 2000.
- Bűcheli, T.; Blum, F.; Desaules, A.; Gustafsson, O. Polycyclic aromatic hydrocarbons, black carbon, and molecular markers in soil of Switzerland. Chemosphere 2004, 56, 1061–1076. [Google Scholar] [CrossRef]
- Richardson, S.D.; Aitken, M.D. Desorption and bioavailability of polycyclic aromatic hydrocarbons in contaminated soil subjected to long-term in situ biostimulation. Environ. Toxicol. Chem. 2011, 30, 2674–2681. [Google Scholar] [CrossRef]
- Frišták, V.; Laughinghouse, H.D.; Packová, A.; Graser, M.; Soja, G. Monitoring of methylated naphthalenes in sludge-derived pyrogenic carbonaceous materials. Chemosphere 2019, 217, 456–462. [Google Scholar] [CrossRef] [PubMed]
- Lindsay, W.L.; Norvell, W.A. Development of a DTPA soil test for zinc, iron, manganese, and copper. Soil Sci. Soc. Am. J. 1978, 42, 419–428. [Google Scholar] [CrossRef]
- Hund-Rinke, K.; Wiechering, H. Earthworms avoidance test for soil assessments: An alternative for acute and reproduction tests. J. Soils Sediments 2001, 1, 15–20. [Google Scholar] [CrossRef]
- Tammeorg, P.; Parviainen, T.; Nuutinen, V.; Simojoki, A.; Vaara, E.; Helenius, J. Effects of biochar on earthworms in arable soil: Avoidance test and field trial in boreal loamy sand. Agric. Ecosyst. Environ. 2014, 191, 150–157. [Google Scholar] [CrossRef]
- Organization for Economic Co-Operation and Development. Test No. 207: Earthworm Acute Toxicity Test. In OECD Guideline for Testing of Chemicals, Section 2; OECD: Paris, France, 1984. [Google Scholar]
- Enders, A.; Lehmann, J. Comparison of wet-digestion and dry-ashing methodsfor total elemental analysis of biochar. Commun. Soil Sci. Plant Anal. 2012, 43, 1042–1052. [Google Scholar] [CrossRef]
- Schüller, H. Die CAL-Methode, eine neude Methode zur Bestimmung des pflanzen verfügbaren Phosphates in Böden. J. Plant Nutr. Soil Sci. 1969, 123, 48–63. [Google Scholar]
- Neubauer, H.; Schneider, W. The nutrient uptake of seedlings and its application for the estimation of the nutrient content in soils. Z. Pflanzenernähr. Düng. Bodenk. 1923, A2, 329–362. [Google Scholar]
- Agrafioti, E.; Bouras, G.; Kalderis, D.; Diamadopoulos, E. Biochar production by sewage sludge pyrolysis. J. Anal. Appl. Pyrolysis 2013, 101, 72–78. [Google Scholar] [CrossRef]
- Amonette, J.; Joseph, S. Characteristics of Biochar: Micro Chemical Properties. In Biochar for Environmental Management: Science and Technology; Lehmann, J., Joseph, S., Eds.; Earthscan: London, UK, 2009; pp. 33–52. [Google Scholar]
- Cantrell, K.B.; Hunt, P.G.; Uchimiya, M.; Novak, J.M.; Ro, K.S. Impact of pyrolysis temperature and manure source on physicochemical characteristics of biochar. Bioresour. Technol. 2012, 107, 419–428. [Google Scholar] [CrossRef]
- EBC. European Biochar Certificate, Guidelines for a Sustainable Production of Biochar; European Biochar Foundation: Arbaz, Switzerland, 2012. [Google Scholar]
- Dai, Q.; Jiang, X.; Jiang, Y.; Jin, Y.; Wang, F.; Chi, Y.; Yan, J.; Xu, A. Temperature influence and distribution in three phases of PAHs in wet sewage sludge pyrolysis using conventional and microwave heating. Energy Fuels 2014, 28, 3317–3325. [Google Scholar] [CrossRef]
- Bűcheli, T.; Hilber, I.; Schmidt, H.P. Polycyclic aromatic hydrocarbons and polychlorinated aromatic compounds in biochar. In Biochar for Environmental Management. Science and Technology and Implementation; Routledge: Abingdon-on-Thames, UK, 2015; pp. 595–624. [Google Scholar]
- Zielińska, A.; Oleszczuk, P. The conversion of sewage sludge into biochar educes polycyclic aromatic hydrocarbon content and ecotoxicity but increases trace metal content. Biomass Bioenergy 2015, 75, 235–244. [Google Scholar] [CrossRef]
- Oleszczuk, P. The tenax fraction of PAHs relates to effects in sewage sludges. Ecotoxicol. Environ. Saf. 2009, 72, 1320–1325. [Google Scholar] [CrossRef] [PubMed]
- Karer, J.; Wawra, A.; Zehetner, F.; Dunst, G.; Wagner, M.; Pavel, P.B.; Puschenreiter, M.; Friesl-Hanl, W.; Soja, G. Effects of biochar and compost mixtures and inorganic additives on immobilisation of heavy metals in contaminated soils. Water Air Soil Pollut. 2015, 226, 342. [Google Scholar] [CrossRef]
- Lu, H.; Zhang, W.; Wang, S.; Zhuang, L.; Yang, Y.; Qiu, R. Characterization of sewage sludge-derived biochars from different feedstocks and pyrolysis temperatures. J. Anal. Appl. Pyrolysis 2013, 102, 137–143. [Google Scholar] [CrossRef]
- Liu, T.; Liu, B.; Zhang, W. Nutrients and heavy metals in biochar produced by sewage sludge pyrolysis: Ist application in soil amendment. Pol. J. Environ. Stud. 2014, 23, 271–275. [Google Scholar]
- Karayildirim, T.; Yanik, J.; Yuksel, M.; Bock-Horn, H. Characterization of products from pyrolysis of waste sludges. Fuel 2006, 85, 1498–1508. [Google Scholar] [CrossRef]
- Busch, D.; Kammann, C.; Grünhage, L.; Muller, C. Simple biotoxicity tests for evaluation of carbonaceous soil additives: Establishment and reproducibility of four test procedures. J. Environ. Qual. 2011, 40, 1–10. [Google Scholar] [CrossRef]
- Li, D.; Hockaday, W.C.; Masiello, C.A.; Alvarez, P.I.J. Earthworms avoidance of biochar can be mitigated by wetting. Soil Biol. Biochem. 2011, 43, 1732–1737. [Google Scholar] [CrossRef]
- Chan, K.Z.; Barchia, I. Soil compaction controls the abundance, biomass and distribution of eartworms in a single dairz farm in south-eastern Australia. Soil Tillage Res. 2007, 94, 75–82. [Google Scholar] [CrossRef]




| Sample | pH | EC (mS cm−1) | Ctot (%) | Htot (%) | Ntot (%) | Stot (%) |
|---|---|---|---|---|---|---|
| BM | 6.5 ± 0.1 | 0.6 ± 0.1 | 39.8 ± 0.7 | 6.1 ± 0.4 | 7.7 ± 0.4 | 0.5 ± 0.1 |
| BMPCM4 | 9.8 ± 0.1 | 4.7 ± 0.1 | 33.9 ± 0.2 | 2.5 ± 0.1 | 5.2 ± 0.3 | 0.2 ± 0.1 |
| BMPCM5 | 10.1 ± 0.1 | 5.0 ± 0.1 | 30.3 ± 0.1 | 1.3 ± 0.0 | 5.0 ± 0.3 | 0.2 ± 0.1 |
| CM | 7.6 ± 0.1 | 0.8 ± 0.1 | 37.1 ± 0.2 | 5.3 ± 0.2 | 3.8 ± 0.2 | 0.8 ± 0.1 |
| CMPCM4 | 9.7 ± 0.1 | 4.1 ± 0.1 | 44.8 ± 0.1 | 2.6 ± 0.1 | 4.4 ± 0.3 | 0.9 ± 0.1 |
| CMPCM5 | 10.1 ± 0.2 | 5.0 ± 0.3 | 46.3 ± 0.1 | 1.6 ± 0.1 | 4.1 ± 0.3 | 0.8 ± 0.1 |
| Sample | Cd (mg kg−1) | Cu (mg kg−1) | Fe (g kg−1) | K (g kg−1) | Mg (g kg−1) | P (g kg−1) | Zn (g kg−1) |
|---|---|---|---|---|---|---|---|
| BM | <0.05 | 12.4 ± 0.4 | 0.6 ± 0.4 | 8.2 ± 0.4 | 2.8 ± 0.2 | 56.8 ± 1.7 | 0.1 ± 0.0 |
| BMPCM4 | <0.05 | 19.2 ± 0.7 | 0.9 ± 0.1 | 11.4 ± 0.2 | 4.7 ± 0.3 | 85.2 ± 4.2 | 0.2 ± 0.0 |
| BMPCM5 | <0.05 | 21.7 ± 0.9 | 1.0 ± 0.0 | 13.4 ± 0.3 | 5.5 ± 0.3 | 110.5 ± 7.0 | 0.3 ± 0.0 |
| CM | <0.05 | 67.1 ± 3.2 | 1.4 ± 0.1 | 30.2 ± 0.6 | 12.8 ± 0.1 | 22.9 ± 2.0 | 0.6 ± 0.1 |
| CMPCM4 | <0.05 | 98.8 ± 7.1 | 2.0 ± 0.1 | 44.2 ± 0.5 | 17.0 ± 0.4 | 37.0 ± 4.5 | 1.1 ± 0.1 |
| CMPCM5 | <0.05 | 109.2 ± 9.7 | 2.2 ± 0.1 | 44.7 ± 0.4 | 18.0 ± 1.2 | 40.0 ± 3.4 | 1.2 ± 0.2 |
| Sample | CdDTPA (mg kg−1) | CuDTPA (mg kg−1) | FeDTPA (mg kg−1) | PCAL (mg kg−1) | ZnDTPA (mg kg−1) |
|---|---|---|---|---|---|
| BM | <0.05 | 1.8 ± 0.1 | 63.8 ± 3.5 | 815.6 ± 29.5 | 54.7 ± 2.6 |
| BMPCM4 | <0.05 | 1.7 ± 0.1 | 21.4 ± 1.5 | 654.8 ± 22.5 | 44.7 ± 2.1 |
| BMPCM5 | <0.05 | 1.2 ± 0.1 | 11.5 ± 0.8 | 379.7 ± 16.9 | 37.1 ± 2.4 |
| CM | <0.05 | 7.4 ± 0.2 | 84.4 ± 5.5 | 709.4 ± 29.7 | 74.7 ± 7.5 |
| CMPCM4 | <0.05 | 4.4 ± 0.1 | 39.0 ± 2.9 | 604.4 ± 33.9 | 55.9 ± 3.4 |
| CMPCM5 | <0.05 | 3.3 ± 0.2 | 22.9 ± 2.1 | 368.7 ± 21.1 | 48.5 ± 2.4 |
| Sample | BMPCM4 | BMPCM5 | CMPCM4 | CMPCM5 | ||||
|---|---|---|---|---|---|---|---|---|
| Polycyclic Aromatic Hydrocarbon (PAH) | Total (μg kg−1) | Available (μg kg−1) | Total (μg kg−1) | Available (μg kg−1) | Total (μg kg−1) | Available (μg kg−1) | Total (μg kg−1) | Available (μg kg−1) |
| naphthalene | 5566 ± 24 | 896 ± 5 | 5534 ± 65 | 248 ± 21 | 3491 ± 98 | 478 ± 21 | 3427 ± 65 | 142 ± 5 |
| acenaphtene | 9 ± 1 | ND | 5 ± 0 | ND | 5 ± 0 | ND | 33 ± 2 | ND |
| acenaphthylene | 533 ± 21 | 73 ± 3 | 253 ± 10 | 24 ± 1 | 195 ± 6 | 29 ± 1 | 104 ± 24 | 51 ± 3 |
| phenanthrene | 222 ± 9 | 30 ± 2 | 255 ± 8 | 24 ± 1 | 18 ± 1 | ND | 24 ± 1 | ND |
| fluorene | 444 ± 16 | 64 ± 3 | 295 ± 14 | 25 ± 10 | 113 ± 8 | 18 ± 1 | 84 ± 3 | 10 ± 1 |
| anthracene | 131 ± 5 | 17 ± 1 | 88 ± 3 | 9 ± 0 | 28 ± 1 | 9 ± 0 | 86 ± 4 | 8 ± 0 |
| benz[a]anthracene | 61 ± 2 | 9 ± 0 | 36 ± 2 | 3 ± 0 | 13 ± 1 | ND | 28 ± 1 | ND |
| chrysene | 110 ± 4 | 15 ± 1 | 74 ± 2 | 9 ± 0 | 21 ± 1 | ND | 61 ± 2 | 8 ± 0 |
| pyrene | 56 ± 3 | 9 ± 0 | 23 ± 1 | ND | 6 ± 0 | ND | 17 ± 1 | ND |
| fluoranthene | 111 ± 5 | 15 ± 1 | 73 ± 2 | 8 ± 0 | 20 ± 1 | ND | 60 ± 2 | 7 ± 0 |
| benzo[b]fluoranthene | 17 ± 1 | ND | 7 ± 0 | ND | 2 ± 0 | ND | 3 ± 0 | ND |
| benzo[k]fluoranthene | 14 ± 1 | ND | 7 ± 0 | ND | 2 ± 0 | ND | 4 ± 0 | ND |
| benzo[a]pyrene | 30 ± 2 | ND | 18 ± 0 | ND | 4 ± 0 | ND | 8 ± 0 | ND |
| indeno[1,2,3-cd]pyrene | 10 ± 0 | ND | 4 ± 0 | ND | 2 ± 0 | ND | 6 ± 0 | ND |
| benzo[ghi]perylene | 3 ± 0 | ND | ND | ND | ND | ND | ND | ND |
| dibenz[ah]anthracene | 13 ± 0 | ND | 17 ± 1 | ND | 3 ± 0 | ND | 3 ± 0 | ND |
| ∑16 PAHs | 7330 | 1128 | 6689 | 350 | 3923 | 534 | 3928 | 226 |
© 2019 by the authors. Licensee MDPI, Basel, Switzerland. This article is an open access article distributed under the terms and conditions of the Creative Commons Attribution (CC BY) license (http://creativecommons.org/licenses/by/4.0/).
Share and Cite
Frišták, V.; Pipíška, M.; Soja, G.; Klokočíková Packová, A.; Hubeňák, M.; Kadlečíková, M. Agro-Environmental Benefit and Risk of Manure- and Bone Meal-Derived Pyrogenic Carbonaceous Materials as Soil Amendments: Availability of PAHs, PTEs, and P. Agronomy 2019, 9, 802. https://doi.org/10.3390/agronomy9120802
Frišták V, Pipíška M, Soja G, Klokočíková Packová A, Hubeňák M, Kadlečíková M. Agro-Environmental Benefit and Risk of Manure- and Bone Meal-Derived Pyrogenic Carbonaceous Materials as Soil Amendments: Availability of PAHs, PTEs, and P. Agronomy. 2019; 9(12):802. https://doi.org/10.3390/agronomy9120802
Chicago/Turabian StyleFrišták, Vladimír, Martin Pipíška, Gerhard Soja, Alena Klokočíková Packová, Michal Hubeňák, and Magdaléna Kadlečíková. 2019. "Agro-Environmental Benefit and Risk of Manure- and Bone Meal-Derived Pyrogenic Carbonaceous Materials as Soil Amendments: Availability of PAHs, PTEs, and P" Agronomy 9, no. 12: 802. https://doi.org/10.3390/agronomy9120802
APA StyleFrišták, V., Pipíška, M., Soja, G., Klokočíková Packová, A., Hubeňák, M., & Kadlečíková, M. (2019). Agro-Environmental Benefit and Risk of Manure- and Bone Meal-Derived Pyrogenic Carbonaceous Materials as Soil Amendments: Availability of PAHs, PTEs, and P. Agronomy, 9(12), 802. https://doi.org/10.3390/agronomy9120802

