LPG Flaming—A Safe Post-Emergence Weed Control Tool for Direct Seeded and Bulb Onion
Abstract
1. Introduction
2. Materials and Methods
2.1. Plant Material and Growth Conditions
2.2. Optimal Burner′s Setup
2.3. Effective Flaming Width
2.4. Determination of the Safe Flaming Time Window
2.5. Field Validation
2.6. Statistical Analysis
3. Results
3.1. Flaming Technique Affects Onion Safety
3.2. Burner Angle and Distance Do Not Impact Effective Control Width
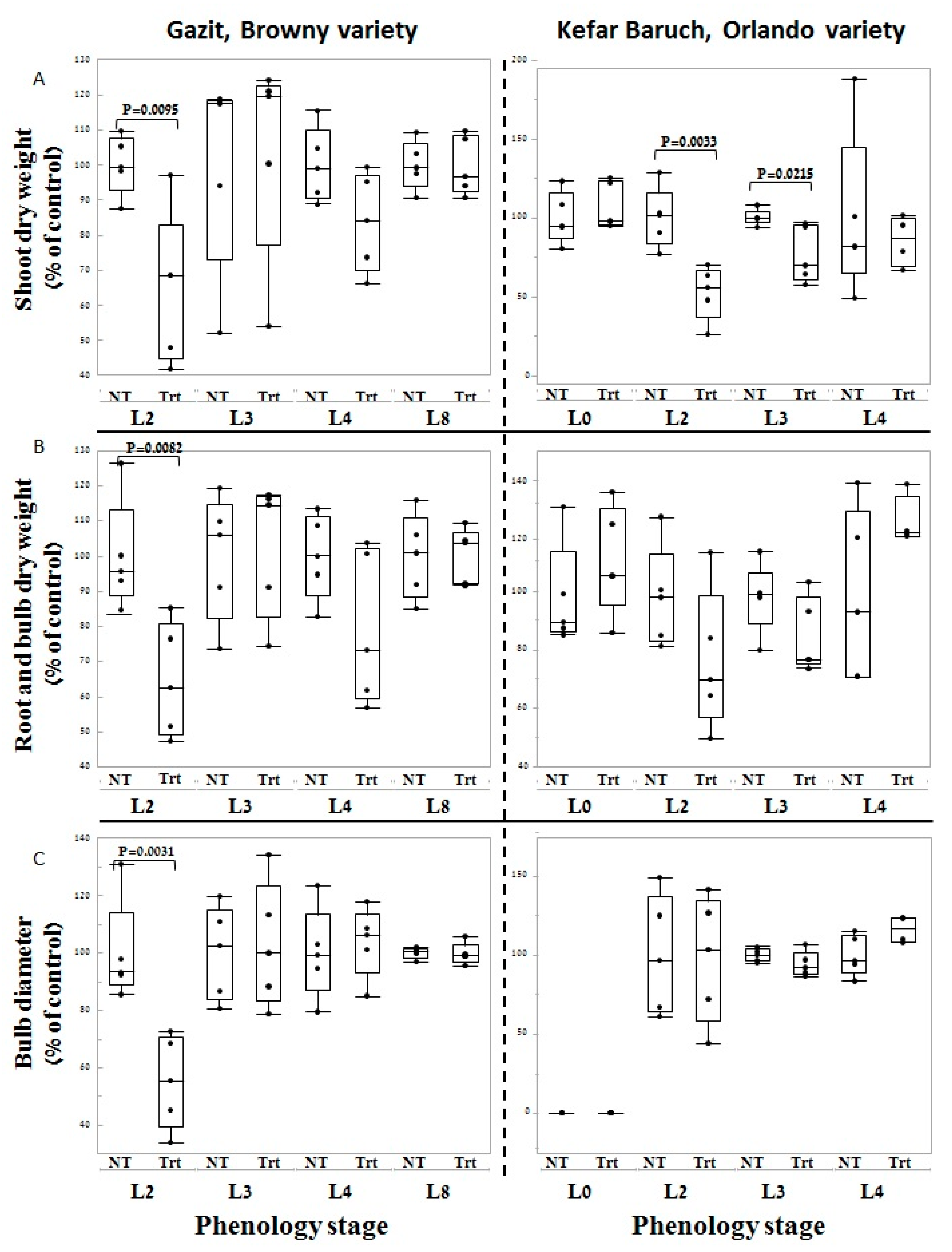
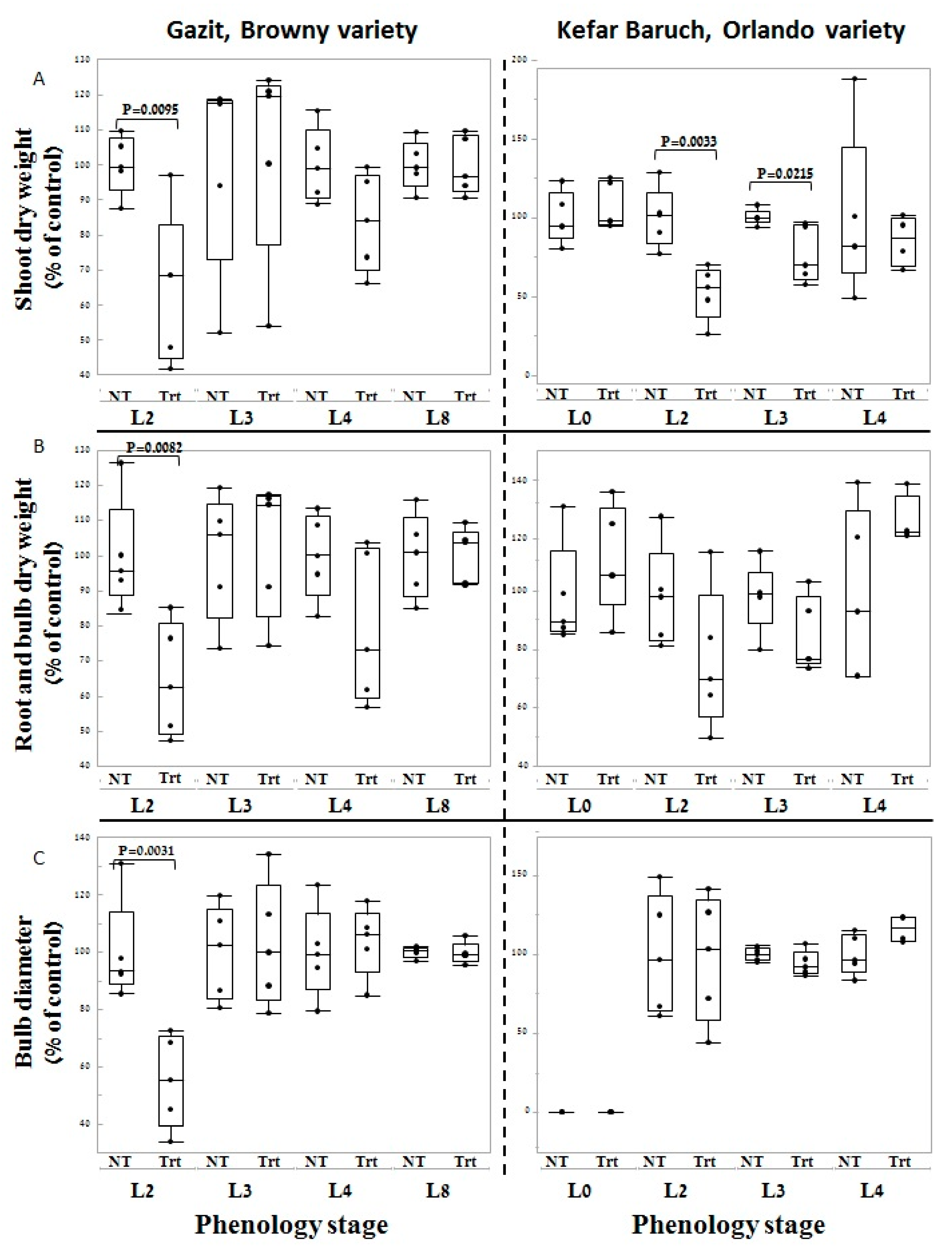
3.3. Bulb Onions Can Be Safely Treated by POST Cross-Row Flaming Starting 4 WAP
3.4. Flaming Tolerance Varies across Seeded Onion Cultivars
3.5. LPG POST Flaming Is Effective under Field Conditions
4. Discussion
5. Conclusions
Supplementary Materials
Author Contributions
Funding
Acknowledgments
Conflicts of Interest
References
- Melander, B.; Hartvig, P. Yield responses of weed-free seeded onions [Allium cepa (L.)] to hoeing close to the row. Crop Prot. 1997, 16, 687–691. [Google Scholar] [CrossRef]
- Melander, B.; Rasmussen, G. Effects of cultural methods and physical weed control on intrarow weed numbers, manual weeding and marketable yield in direct-sown leek and bulb onion. Weed Res. 2001, 41, 491–508. [Google Scholar] [CrossRef]
- Sivesind, E.C.; Leblanc, M.L.; Cloutier, D.C.; Seguin, P.; Stewart, K.A. Impact of selective flame weeding on onion yield, pungency, flavonoid concentration, and weeds. Crop Prot. 2012, 39, 45–51. [Google Scholar] [CrossRef]
- Bell, C.E.; Boutwell, B. Combining bensulide and pendimethalin controls weeds in onions. Calif. Agric. 2001, 55, 35–38. [Google Scholar] [CrossRef][Green Version]
- Williams, M.M.; Ransom, C.V.; Thompson, W.M. Effect of volunteer potato density on bulb onion yield and quality. BioOne 2004, 52, 754–758. [Google Scholar] [CrossRef]
- Pałczyński, J.; Dobrzanski, A.; Anyszka, Z. Weeds and drilled onion response to post emergence application of tank-mixture herbicides. Veg. Crop. Res. Bull. 2001, 54, 125–130. [Google Scholar]
- Loken, J.R.; Hatterman-Valenti, H.M. Multiple applications of reduced-rate herbicides for weed control in onion. Weed Technol. 2010, 24, 153–159. [Google Scholar] [CrossRef]
- Melander, B.; Lattanzi, B.; Pannacci, E. Intelligent versus non-intelligent mechanical intra-row weed control in transplanted onion and cabbage. Crop Prot. 2015, 72, 1–8. [Google Scholar] [CrossRef]
- Bajwa, A.A.; Mahajan, G.; Chauhan, B.S. Nonconventional weed management strategies for modern agriculture. Weed Sci. 2015, 63, 723–747. [Google Scholar] [CrossRef]
- Ulloa, S.M.; Datta, A.; Knezevic, S.Z. Growth stage-influenced differential response of foxtail and pigweed species to broadcast flaming. Weed Technol. 2017, 24, 319–325. [Google Scholar] [CrossRef]
- Peruzzi, A.; Ginanni, M.; Fontanelli, M.; Raffaelli, M.; Bàrberi, P. Innovative strategies for on-farm weed management in organic carrot. Renew. Agric. Food Syst. 2007, 22, 246–259. [Google Scholar] [CrossRef]
- Fennimore, S.A.; Doohan, D.J. The challenges of specialty crop weed control, future directions. Weed Technol. 2008, 22, 364–372. [Google Scholar] [CrossRef]
- Fontanelli, M.; Raffaelli, M.; Martelloni, L.; Frasconi, C.; Ginanni, M.; Peruzzi, A. The influence of non-living mulch, mechanical and thermal treatments on weed population and yield of rainfed fresh-market tomato (Solanum lycopersicum L.). Span. J. Agric. Res. 2013, 11, 593–602. [Google Scholar] [CrossRef]
- Ascard, J. Comparison of flaming and infrared radiation techniques for thermal weed control. Weed Res. 1998, 38, 69–76. [Google Scholar] [CrossRef]
- Martelloni, L.; Fontanelli, M.; Frasconi, C.; Rafaelli, M.; Peruzzi, A. Cross-flaming application for intra-row weed control in maize. Appl. Eng. Agric. 2016, 32, 569–578. [Google Scholar]
- Kanellou, E.; Economou, G.; Papafotiou, M.; Ntoulas, N.; Lyra, D.; Kartsonas, E.; Knezevic, S. Flame weeding at archaeological sites of the mediterranean region. Weed Technol. 2017, 31, 396–403. [Google Scholar] [CrossRef]
- Laguë, C.; Gill, J.; Péloquin, G. Thermal control in plant protection. In Physical Control Methods in Plant Protection; Vincent, C., Panneton, B., Fleurat-Lessard, F., Eds.; Springer: Berlin/Heidelberg, Germany, 2001; pp. 35–46. [Google Scholar]
- Cisneros, J.J.; Zandstra, B.H. Flame weeding effects on several weed Species. Weed Technol. 2008, 22, 290–295. [Google Scholar] [CrossRef]
- Hatcher, P.E.; Melander, B. Combining physical, cultural and biological methods: Prospects for integrated non-chemical weed management strategies. Weed Res. 2003, 43, 303–322. [Google Scholar] [CrossRef]
- Sivesind, E.C.; Leblanc, M.L.; Cloutier, D.C.; Seguin, P.; Stewart, K.A. Weed response to flame weeding at different developmental stages. Weed Technol. 2009, 23, 438–443. [Google Scholar] [CrossRef]
- Ulloa, S.M.; Datta, A.; Knezevic, S.Z. Tolerance of selected weed species to broadcast flaming at different growth stages. Crop Prot. 2010, 29, 1381–1388. [Google Scholar] [CrossRef]
- Knezevic, S.Z.; Stepanovic, S.; Datta, A.; Nedeljkovic, D.; Tursun, N. Soybean yield and yield components as influenced by the single and repeated flaming. Crop Prot. 2013, 50, 1–5. [Google Scholar] [CrossRef]
- Datta, A.; Knezevic, S.Z. Flaming as an alternative weed control method for conventional and organic Agronomic crop production systems: A review. Adv. Agron. 2013, 118, 399–428. [Google Scholar]
- Datta, A.; Stepanovic, S.; Nedeljkovic, D.; Bruening, C.; Gogos, G.; Knezevic, S.Z. Impact of single and repeated flaming on yield components and yield of maize. Org. Agric. 2013, 3, 141–147. [Google Scholar] [CrossRef]
- Knezevic, S.Z.; Stepanovic, S.; Datta, A. Growth stage affects response of selected weed species to flaming. Weed Technol. 2014, 28, 233–242. [Google Scholar] [CrossRef]
- Martelloni, L.; Frasconi, C.; Fontanelli, M.; Raffaelli, M.; Peruzzi, A. Mechanical weed control on small-size dry bean and its response to cross-flaming. Span. J. Agric. Res. 2016, 14, e0203. [Google Scholar] [CrossRef]
- Stepanovic, S.; Datta, A.; Neilson, B.; Bruening, C.; Shapiro, C.; Gogos, G.; Knezevic, S.Z. The effectiveness of flame weeding and cultivation on weed control, yield and yield components of organic soybean as influenced by manure application. Renew. Agric. Food Syst. 2015, 31, 288–299. [Google Scholar] [CrossRef]
- Ascard, J. Effects of flame weeding on weed species at different developmental stages. Weed Res. 1995, 35, 397–411. [Google Scholar] [CrossRef]
- Abdalla, A.A.; Mann, L.K. Bulb development in the onion (Allium cepa L.) and the effect of storage temperature on the bulb rest. Hilgardia 1963, 35, 85–112. [Google Scholar] [CrossRef][Green Version]
- Ascard, J. Dose-response models for flame weeding in relation to plant size and density. Weed Res. 1994, 34, 377–385. [Google Scholar] [CrossRef]
- Horesh, A.; Goldwasser, Y.; Igbariya, K.; Peleg, Z.; Lati, N.R. Propane flaming as a new approach to control Mediterranean invasive weeds. Agronomy 2019, 9, 187. [Google Scholar] [CrossRef]
- Peruzzi, A.; Martelloni, L.; Frasconi, C.; Fontanelli, M.; Pirchio, M.; Raffaelli, M. Machines for non-chemical intra-row weed control in narrow and wide-row crops: A review. J. Agric. Eng. 2017, 48, 57–70. [Google Scholar] [CrossRef]
- Ascard, J. Flame weeding: Effects of burner angle on weed control and temperature patterns. Acta Agric. Scand. Sect. B Soil Plant Sci. 1998, 48, 248–254. [Google Scholar] [CrossRef]
- Leon, R.G.; Unruh, J.B.; Brecke, B.J.; Kenworthy, K.E. Characterization of Fluazifop-P-butyl tolerance in zoysiagrass cultivars. Weed Technol. 2014, 28, 385–394. [Google Scholar] [CrossRef]
- Leon, R.G.; Tillman, B.L. Postemergence herbicide tolerance variation in peanut germplasm. Weed Sci. 2015, 63, 546–554. [Google Scholar] [CrossRef]
- Lati, R.N.; Mou, B.; Rachuy, J.S.; Fennimore, S.A. Light intensity is a main factor affecting fresh market spinach tolerance for phenmedipham. Weed Sci. 2016, 64, 146–153. [Google Scholar] [CrossRef]
- Ulloa, S.M.; Datta, A.; Knezevic, S.Z. Growth stage impacts tolerance of winter wheat (Triticum aestivum L.) to broadcast flaming. Crop Prot. 2010, 29, 1130–1135. [Google Scholar] [CrossRef]
- Ulloa, S.M.; Datta, A.; Knezevic, S.Z. Growth stage influenced Sorghum response to broadcast flaming: Eefects on yield and its components. Agron. J. 2011, 103, 7–12. [Google Scholar] [CrossRef]
- Lati, R.N.; Goldwasser, Y.; Horesh, A.; Igbariya, K. Wild poinsettia biology and management – determining optimal control with herbicides and propane flaming. Crop Prot. 2019, 115, 20–26. [Google Scholar] [CrossRef]






| Type | Cultivar | Source |
|---|---|---|
| Bulb | Galil | Yarok 2000 (Israel) |
| Direct seeded | Orlando | Hazera (Israel) |
| Direct seeded | Ori | Hazera (Israel) |
| Direct seeded | Mikado | Hazera (Israel) |
| Direct seeded | Red sea | Hazera (Israel) |
| Direct seeded | Cimmaron | BASF (Germany) |
| Direct seeded | Vaquero | Bayer (Germany) |
| Direct seeded | Vulkana | BASF (Germany) |
| Direct seeded | Browny | Agrica (Israel) |
| Site | Seeding Date | Cultivar | Bed Size | No. of Seeding Lines | Seeding Stand (plants m−2) | Application Times |
|---|---|---|---|---|---|---|
| Gazit | 05.11.2017 | Browny | 1.96 | 4 | 30 | PRE, 1st, 2nd, 3rd and 4th leaf |
| Kefar Baruch | 15.01.2018 | Orlando | 1.96 | 6 | 23 | 2nd, 3rd, 4th and 8th leaf |
| Main factor | d.f. | Sum of Square | p-Value |
|---|---|---|---|
| Angle (A) | 1 | 23.11 | 0.706 |
| Distance between burners (DBB) | 1 | 128.29 | 0.374 |
| Distance from row center (DFRC) | 4 | 8355.26 | >0.001 |
| A × DBB | 1 | 655.55 | 0.046 |
| A × DFRC | 4 | 759.49 | 0.324 |
| DBB × DFRC | 4 | 70.25 | 0.979 |
| A × DBB × DFRC | 4 | 53.11 | 0.987 |
| Total | 19 |
| Dry Weight (% of non-treated control) | |||
|---|---|---|---|
| Main Effect | 12 DAP | 19 DAP | |
| Flaming technique (FT) | |||
| Broadcast | 64 B | 93 A | |
| Cross-row | 101 A | 84 A | |
| Dose (D) | |||
| 48 kg ha−1 | 82 A | 86 A | |
| 83 kg ha−1 | 71 B | 88 A | |
| Source of Variance | d.f. | Sum of Squares | |
| FT | 1 | 5274* | 363 |
| D | 1 | 1058 | 42 |
| FT × D | 1 | 120 | 0.5 |
| Total | 3 | ||
© 2019 by the authors. Licensee MDPI, Basel, Switzerland. This article is an open access article distributed under the terms and conditions of the Creative Commons Attribution (CC BY) license (http://creativecommons.org/licenses/by/4.0/).
Share and Cite
Horesh, A.; Igbariya, K.; Peleg, Z.; Lati, R.N. LPG Flaming—A Safe Post-Emergence Weed Control Tool for Direct Seeded and Bulb Onion. Agronomy 2019, 9, 786. https://doi.org/10.3390/agronomy9120786
Horesh A, Igbariya K, Peleg Z, Lati RN. LPG Flaming—A Safe Post-Emergence Weed Control Tool for Direct Seeded and Bulb Onion. Agronomy. 2019; 9(12):786. https://doi.org/10.3390/agronomy9120786
Chicago/Turabian StyleHoresh, Alon, Karam Igbariya, Zvi Peleg, and Ran Nisim Lati. 2019. "LPG Flaming—A Safe Post-Emergence Weed Control Tool for Direct Seeded and Bulb Onion" Agronomy 9, no. 12: 786. https://doi.org/10.3390/agronomy9120786
APA StyleHoresh, A., Igbariya, K., Peleg, Z., & Lati, R. N. (2019). LPG Flaming—A Safe Post-Emergence Weed Control Tool for Direct Seeded and Bulb Onion. Agronomy, 9(12), 786. https://doi.org/10.3390/agronomy9120786

