Perennial Ryegrass Wear Resistance and Soil Amendment by Ca- and Mg-Silicates
Abstract
1. Introduction
2. Materials and Methods
3. Results
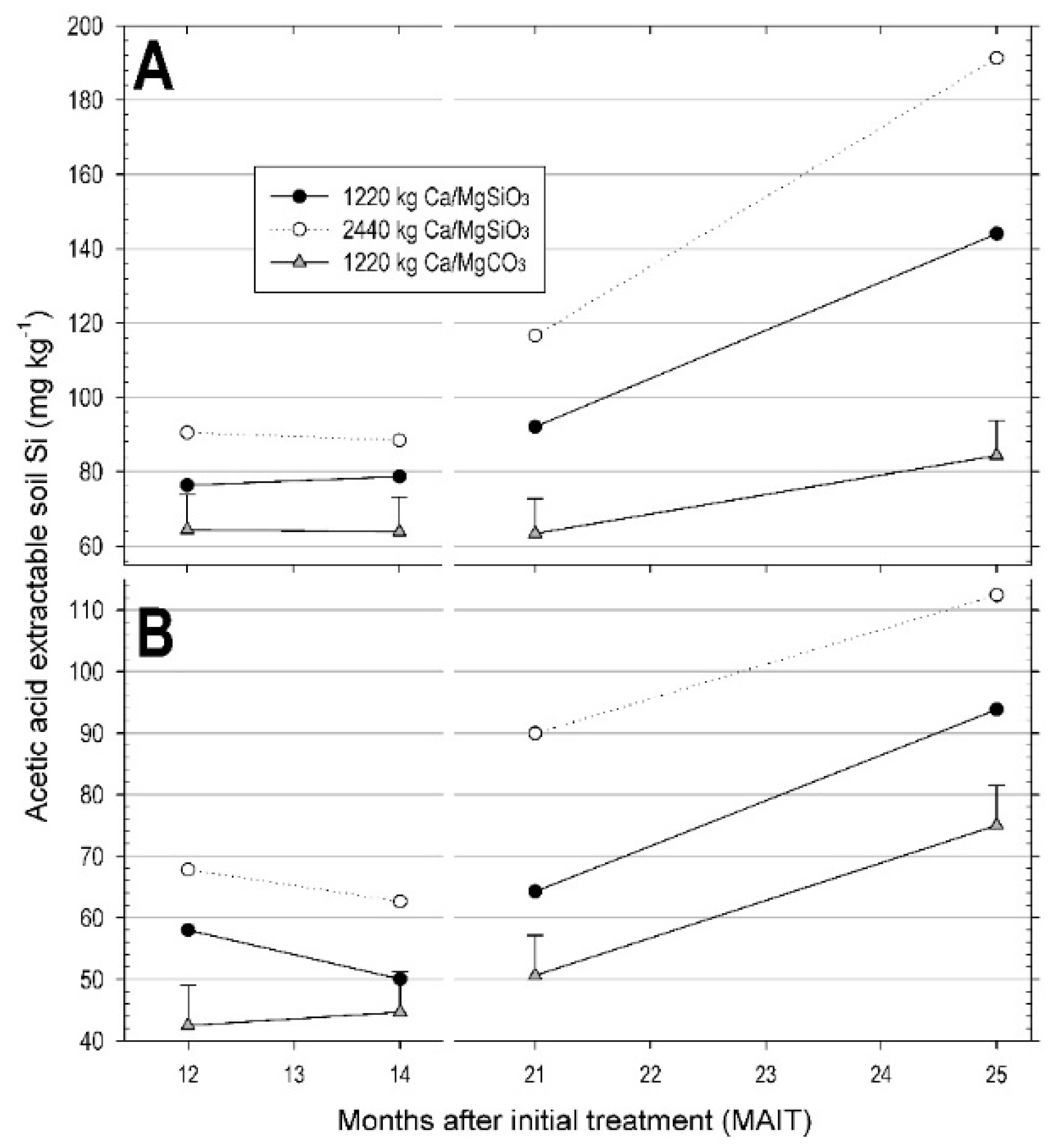
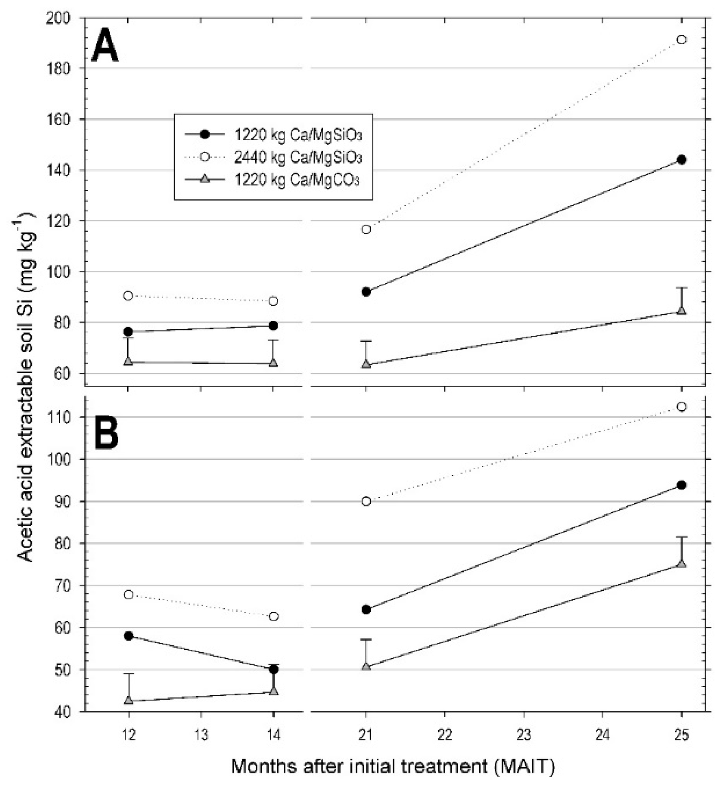
3.1. Soil Chemistry/Conditioning
3.2. Turfgrass Vigor, Silica Assimilation, and Nutrition
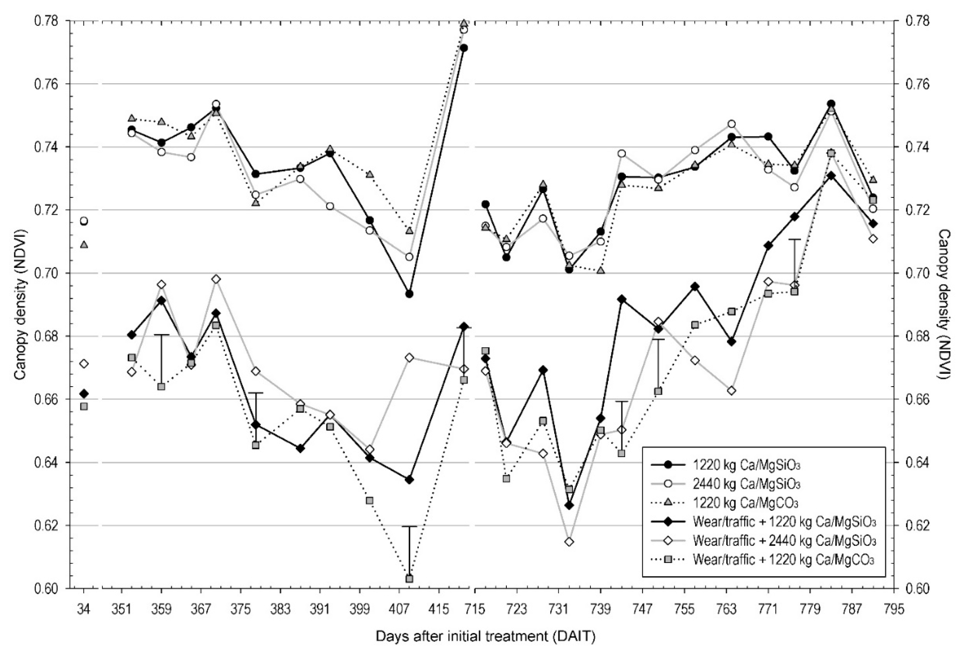
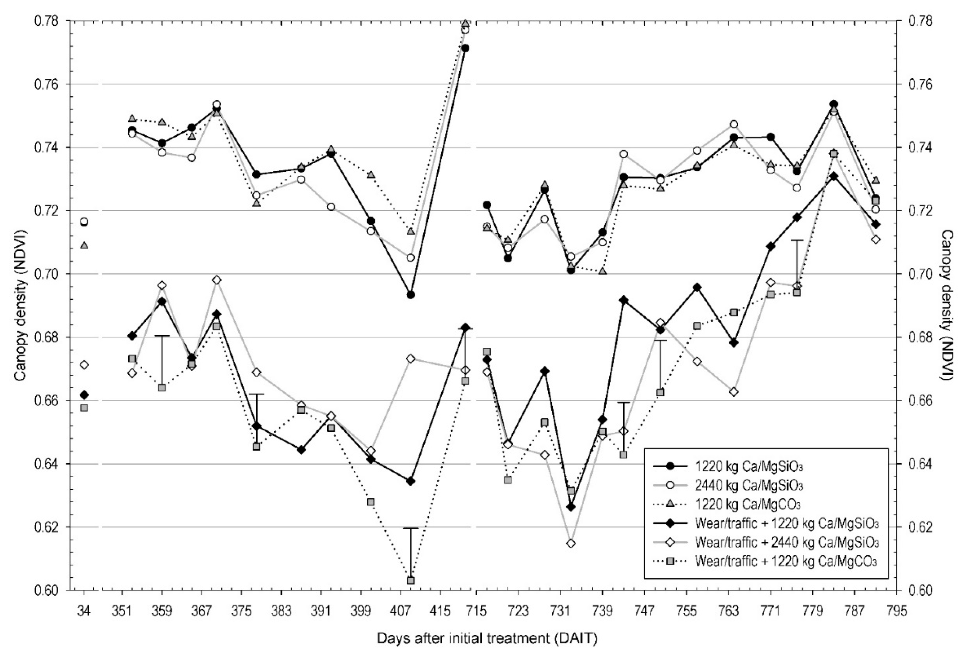
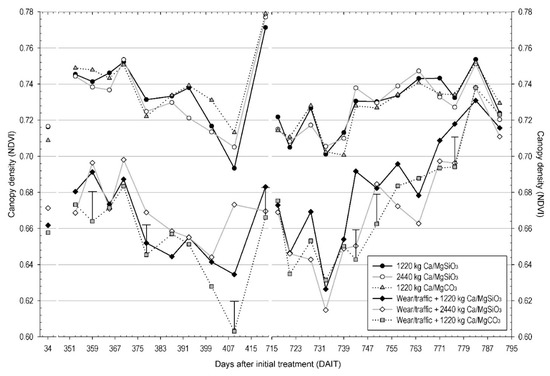
3.3. Turfgrass Traffic/Wear Tolerance
4. Discussion
4.1. Soil Chemistry/Conditioning
4.2. Turfgrass Vigor, Silica Assimilation, and Nutrition
4.3. Turfgrass Traffic/Wear Tolerance
Author Contributions
Funding
Acknowledgments
Conflicts of Interest
References
- Poldervaart, A. Chemistry of the Earth’s crust. Geol. S. Am. S. 1955, 62, 119–144. [Google Scholar]
- Hodson, M.J.; White, P.J.; Mead, A.; Broadley, M.R. Phylogenetic variation in the silicon composition of plants. Ann. Bot. 2005, 96, 1027–1046. [Google Scholar] [CrossRef]
- Kumar, S.; Soukup, M.; Elbaum, R. Silicification in grasses: Variation between different cell types. Front. Plant Sci. 2017, 8, 438. [Google Scholar] [CrossRef]
- Soukup, M.; Martinka, M.; Cigáň, M.; Ravaszová, F.; Lux, A. New method for visualization of silica phytoliths in Sorghum bicolor roots by fluorescence microscopy revealed silicate concentration-dependent phytolith formation. Planta 2014, 240, 1365–1372. [Google Scholar] [CrossRef]
- Liang, Y.; Nikolic, M.; Bélanger, R.R.; Gong, H.; Song, A. Silicon in Agriculture: From Theory to Practice; Dordrecht-Springer: Dordrecht, The Netherlands, 2015; pp. 138–215. [Google Scholar]
- Lux, A.; Luxová, M.; Abe, J.; Morita, S.; Inanaga, S. Silicification of bamboo (Phyllostachys heterocycla Mitf.) root and leaf. Plant Soil 2003, 255, 85–91. [Google Scholar] [CrossRef]
- Guntzer, F.; Keller, C.; Poulton, P.R.; Mcgrath, S.P.; Meunier, J.-D. Long-term removal of wheat decreases soil amorphous silica at Broadbalk, Rothamsted. Plant Soil 2012, 352, 173–184. [Google Scholar] [CrossRef]
- Korndorfer, G.H.; Snyder, G.H.; Ulloa, M.; Powell, G.; Datnoff, L.E. Calibration of soil and plant silicon analysis for rice production. J. Plant Nutr. 2001, 24, 1071–1084. [Google Scholar] [CrossRef]
- Barbosa-Filho, M.P.; Snyder, G.H.; Elliot, C.L.; Datnoff, L.E. Evaluation of soil test procedures for determining rice-available silicon. Commun. Soil Sci. Plant Anal. 2001, 32, 1779–1792. [Google Scholar] [CrossRef]
- Nanayakkara, U.N.; Uddin, W.; Datnoff, L.E. Application of silicon sources increases silicon accumulation in perennial ryegrass turf on two soil types. Plant Soil 2008, 303, 83–94. [Google Scholar] [CrossRef]
- Datnoff, L.E.; Rutherford, B.A. Accumulation of silicon by bermudagrass to enhance disease suppression of leaf spot and melting out. USGA TERO 2003, 2, 1–8. [Google Scholar]
- Zhang, Q.; Fry, J.; Lowe, K.; Tisserat, N. Evaluation of calcium silicate for brown patch and dollar spot suppression on turfgrasses. Crop Sci. 2006, 46, 1635–1643. [Google Scholar] [CrossRef]
- Bae, E.J.; Kim, C.Y.; Yoon, J.H.; Lee, K.S.; Park, Y.B. Effect of silicate fertilizer application on zoysiagrass (Zoysia japonica Steud.) field. Weed Turfgrass Sci. 2018, 7, 247–257. [Google Scholar] [CrossRef]
- Trenholm, L.E.; Duncan, R.R.; Carrow, R.N.; Snyder, G.H. Influence of silica on growth, quality, and wear tolerance of seashore paspalum. J. Plant Nutr. 2001, 24, 245–259. [Google Scholar] [CrossRef]
- Redmond, C.T.; Potter, D.A. Silicon fertilization does not enhance creeping bentgrass resistance to cutworms and white grubs. Appl. Turfgrass Sci. 2006. [Google Scholar] [CrossRef]
- Uriarte, R.F.; Shew, H.D.; Bowman, D.C. Effect of soluble silica on brown patch and dollar spot of creeping bentgrass. J. Plant Nutr. 2004, 27, 325–339. [Google Scholar] [CrossRef]
- Moody, P.W.; Edwards, D.G.; Bell, L.C. Effect of banded fertilizers on soil solution composition and short-term root-growth.2. Mono-ammonium and di-ammonium phosphates. Soil Res. 1995, 33, 689–707. [Google Scholar] [CrossRef]
- Schlossberg, M.J.; Waltz, F.C.; Landschoot, P.J.; Park, B. Recent mechanical cultivation of lawns enhances lime application efficacy. Agron. J. 2008, 100, 855–861. [Google Scholar] [CrossRef]
- Soukup, M.; Martinka, M.; Bosnić, D.; Čaplovičová, M.; Elbaum, R.; Lux, A. Formation of silica aggregates in sorghum root endodermis is pre-determined by cell wall architecture and development. Ann. Bot. 2017, 120, 739–753. [Google Scholar] [CrossRef]
- Canaway, P.M. Wear tolerance of turfgrass species. J. Sports Turf Res. Inst. 1981, 57, 65–83. [Google Scholar]
- Beard, J.B. Turfgrass Science and Culture; Prentice Hall: Englewood Cliffs, NJ, USA, 1973; pp. 368–465. [Google Scholar]
- Salmén, L. Wood morphology and properties from molecular perspectives. Ann. For. Sci. 2015, 72, 679–684. [Google Scholar] [CrossRef]
- He, C.; Wang, L.; Liu, J.; Liu, X.; Li, X.; Ma, J.; Lin, Y.; Xu, F. Evidence for ‘silicon’ within the cell walls of suspension-cultured rice cells. New Phytol. 2013, 200, 700–709. [Google Scholar] [CrossRef] [PubMed]
- Fauteux, F.; Rémus-Borel, W.; Menzies, J.G.; Bélanger, R.R. Silicon and plant disease resistance against pathogenic fungi. FEMS Microbiol. Lett. 2005, 249, 1–6. [Google Scholar] [CrossRef] [PubMed]
- Rahman, A.; Wallis, C.M.; Uddin, W. Silicon-induced systemic defense responses in perennial ryegrass against infection by Magnaporthe oryzae. Phytopathology 2015, 105, 748–757. [Google Scholar] [CrossRef] [PubMed]
- Nanayakkara, U.N.; Uddin, W.; Datnoff, L.E. Effects of soil type, source of silicon, and rate of silicon source on development of gray leaf spot of perennial ryegrass turf. Plant Dis. 2008, 92, 870–877. [Google Scholar] [CrossRef] [PubMed][Green Version]
- Suzuki, S.; Ma, J.F.; Yamamoto, N.; Hattori, T.; Sakamoto, M.; Umezawa, T. Silicon deficiency promotes lignin accumulation in rice. Plant Biotechnol. 2012, 29, 391–394. [Google Scholar] [CrossRef]
- Yamamoto, T.; Nakamura, A.; Iwai, H.; Ishii, T.; Ma, J.F.; Yokoyama, R.; Nishitani, K.; Satoh, S.; Furukawa, J. Effect of silicon deficiency on secondary cell wall synthesis in rice leaf. J. Plant Res. 2012, 125, 771–779. [Google Scholar] [CrossRef] [PubMed]
- Kido, N.; Yokoyama, R.; Yamamoto, T.; Furukawa, J.; Iwai, H.; Satoh, S.; Nishitani, K. The matrix polysaccharide (1;3,1;4)-b-d-glucan is involved in silicon dependent strengthening of rice cell wall. Plant Cell Physiol. 2015, 56, 268–276. [Google Scholar] [CrossRef]
- Cockerham, S.T.; Brinkman, D.J. A simulator for cleated-shoe sports traffic on turfgrass research plots. Calif. Turfgrass Cult. 1989, 39, 9–12. [Google Scholar]
- Rogan, C.M.; Schlossberg, M.J. Complimenting late-season nitrogen fertilization of cool-season turfgrass putting greens with trinexapac-ethyl. Agron. J. 2013, 105, 1507–1514. [Google Scholar] [CrossRef]
- Moody, D.R.; Schlossberg, M.J.; Archibald, D.D.; McNitt, A.S.; Fidanza, M.A. Soil water repellency development in amended sand rootzones. Crop Sci. 2009, 49, 1885–1892. [Google Scholar] [CrossRef]
- Guntzer, F.; Keller, C.; Meunier, J.D. Determining silicon concentration in plant material using Tiron extraction. New Phytol. 2010, 188, 902–906. [Google Scholar] [CrossRef] [PubMed]
- Karcher, D.E.; Richardson, M.D. Quantifying turfgrass color using digital image analysis. Crop Sci. 2003, 43, 943–951. [Google Scholar] [CrossRef]
- Zhu, Q.; Schlossberg, M.J.; Bryant, R.B.; Schmidt, J.P. Creeping bentgrass putting green response to foliar nitrogen fertilization. Agron. J. 2012, 104, 1589–1594. [Google Scholar] [CrossRef]
- Carrow, R.N.; Waddington, D.V.; Rieke, P.E. Turfgrass Soil Fertility and Chemical Problems: Assessment & Management; John Wiley & Sons: Hoboken, NJ, USA, 2001; pp. 16–348. [Google Scholar]
- Schlossberg, M.J.; Schmidt, J.P. Influence of nitrogen rate and form on quality of putting greens cohabited by creeping bentgrass and annual bluegrass. Agron. J. 2007, 99, 99–106. [Google Scholar] [CrossRef]
- McLarnon, E.; McQueen-Mason, S.; Lenk, I.; Hartley, S.E. Evidence for active uptake and deposition of Si-based defenses in tall fescue. Front. Plant Sci. 2017, 8, 1199. [Google Scholar] [CrossRef] [PubMed]
- Trenholm, L.E.; Duncan, R.R.; Carrow, R.N. Wear tolerance, shoot performance, and spectral reflectance of seashore paspalum and bermudagrass. Crop Sci. 1999, 39, 1147–1152. [Google Scholar] [CrossRef]






| Soil Conditioner | Ca | Cu | Fe | Mg | Mn | Si | CaCO3 Equivalent |
|---|---|---|---|---|---|---|---|
| g kg−1 | |||||||
| Harsco Minerals Ca/MgSiO3 | 240 | 5 | 18 | 60 | 5 | 250 | 790 |
| OldCastle pelletized Ca/MgCO3 | 265 | – | – | 60 | – | – | 940 |
| 0 to 8 cm | 0 to 8 cm | 8 to 16 cm | 8 to 16 cm | ||
|---|---|---|---|---|---|
| Source | df | Soil pH | Extractable Si | Soil pH | Extractable Si |
| P (F-ratio < Fcrit) | |||||
| Conditioner treatment (TRT) | 2 | 0.757 | <0.001 | 0.884 | <0.001 |
| Month after treatment (MAT) | 3 | <0.001 | <0.001 | <0.001 | <0.001 |
| TRT × MAT | 6 | 0.279 | <0.001 | 0.512 | 0.001 |
| Source | df | Clipping Yield | Leaf Si | Si Uptake |
|---|---|---|---|---|
| P (F-ratio < Fcrit) | ||||
| Conditioner treatment (TRT) | 2 | 0.078 | <0.001 | <0.001 |
| Month after initial treatment (MAIT) | 5 | <0.001 | <0.001 | <0.001 |
| TRT × MAIT | 10 | 0.761 | 0.018 | 0.002 |
| Conditioner treatment, (ha year)–1 | kg ha−1 | g kg−1 | g ha−1 | |
| 1220 kg Ca/Mg-SiO3 | 26.06 | 8.91 | 235.6 | |
| 2440 kg Ca/Mg-SiO3 | 27.57 | 9.73 | 272.6 | |
| 1220 kg Ca/Mg-CO3 | 25.23 | 7.19 | 183.2 | |
| Least significant difference, alpha = 0.05 | – | 0.55 | 30.16 | |
| Source | df | Canopy Color | Canopy Density |
|---|---|---|---|
| P (F-ratio < Fcrit) | |||
| Wear | 1 | <0.001 | <0.001 |
| Conditioner treatment (TRT) | 2 | 0.017 | 0.114 |
| Wear × TRT | 2 | 0.059 | 0.029 |
| Days after initial treatment (DAIT) | 23 | <0.001 | <0.001 |
| Wear × DAIT | 23 | <0.001 | <0.001 |
| TRT × DAIT | 46 | <0.001 | 0.016 |
| Wear × TRT × DAIT | 46 | 0.068 | <0.001 |
© 2019 by the authors. Licensee MDPI, Basel, Switzerland. This article is an open access article distributed under the terms and conditions of the Creative Commons Attribution (CC BY) license (http://creativecommons.org/licenses/by/4.0/).
Share and Cite
Pruyne, D.T.; Schlossberg, M.J.; Uddin, W. Perennial Ryegrass Wear Resistance and Soil Amendment by Ca- and Mg-Silicates. Agronomy 2019, 9, 578. https://doi.org/10.3390/agronomy9100578
Pruyne DT, Schlossberg MJ, Uddin W. Perennial Ryegrass Wear Resistance and Soil Amendment by Ca- and Mg-Silicates. Agronomy. 2019; 9(10):578. https://doi.org/10.3390/agronomy9100578
Chicago/Turabian StylePruyne, Derek T., Maxim J. Schlossberg, and Wakar Uddin. 2019. "Perennial Ryegrass Wear Resistance and Soil Amendment by Ca- and Mg-Silicates" Agronomy 9, no. 10: 578. https://doi.org/10.3390/agronomy9100578
APA StylePruyne, D. T., Schlossberg, M. J., & Uddin, W. (2019). Perennial Ryegrass Wear Resistance and Soil Amendment by Ca- and Mg-Silicates. Agronomy, 9(10), 578. https://doi.org/10.3390/agronomy9100578

