A Comparative Study on Poaceae and Leguminosae Forage Crops for Aided Phytostabilization in Trace-Element-Contaminated Soil
Abstract
1. Introduction
2. Materials and Methods
2.1. Experimental Set-Up
2.2. Soil and Amendment Characteristics
2.3. Trace Elements in Plants
2.4. Statistical Analysis
3. Results and Discussion
3.1. Basic Properties of Soil and Amendments
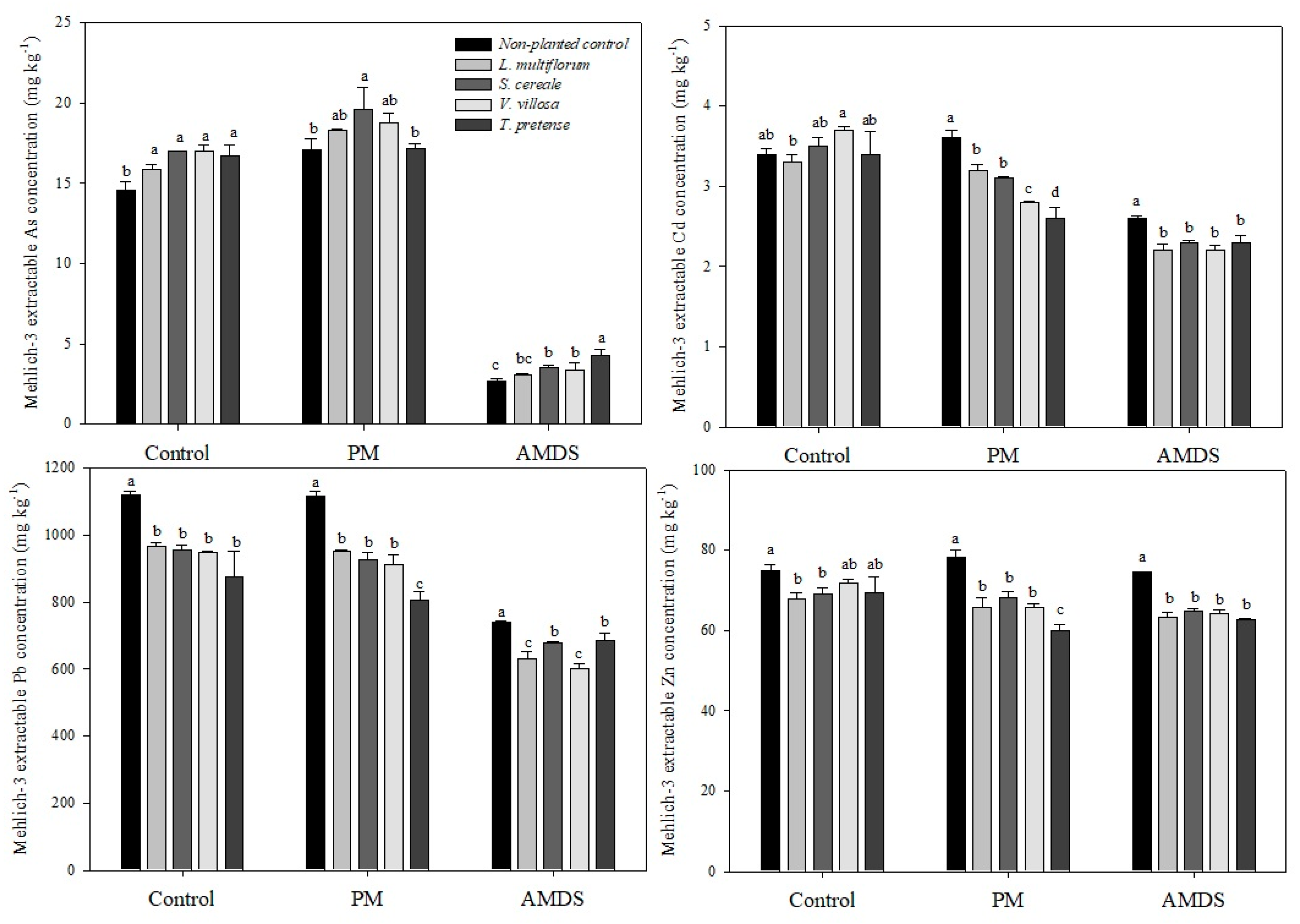
3.2. Effects of Amendment Treatments and Plant Cultivation on Soil Chemical Properties
3.3. Effects of Amendment Treatments and Plant Cultivation on Soil Physical and Biological Properties
3.4. Uptake and Translocation of Trace Elements
4. Conclusions
Author Contributions
Funding
Conflicts of Interest
References
- Alam, M.G.M.; Snow, E.T.; Tanaka, A. Arsenic and heavy metal contamination of vegetables grown in Samta village, Bangladesh. Sci. Total Environ. 2003, 308, 83–96. [Google Scholar] [CrossRef]
- Kloke, A.; Sauerbeck, D.R.; Vetter, H. The contamination of plants and soils with heavy metals and the transport of metals in terrestrial food chains. In Changing Metal Cycles and Human Health; Nriagu, J.O., Ed.; Springer: Berlin, Germany, 1984; pp. 113–141. [Google Scholar]
- Fabbricino, M.; Ferraro, A.; Luongo, V.; Pontoni, L.; Race, M. Soil washing optimization, recycling of the solution, and ecotoxicity assessment for the remediation of Pb-contaminated sites using EDDS. Sustainability 2018, 10, 636. [Google Scholar] [CrossRef]
- Race, M.; Ferraro, A.; Fabbricino, M.; La Marca, A.; Panico, A.; Spasiano, D.; Tognacchini, A.; Pirozzi, F. EDDS-enhanced flushing optimization for contaminated agricultural soil remediation and assessment of prospective Cu and Zn transport. Int. J. Environ. Res. Public Health 2018, 15, 543. [Google Scholar] [CrossRef] [PubMed]
- Kim, K.R.; Park, J.S.; Kim, M.S.; Koo, N.; Lee, S.H.; Lee, J.S. Changes in heavy metal phytoavailability by application of immobilizing agents and soil cover in the upland soil nearby abandoned mining area and subsequent metal uptake by red pepper. Korean J. Soil Sci. Fertil. 2010, 43, 864–871. [Google Scholar]
- Kim, K.R.; Kim, J.G.; Park, J.S.; Kim, M.S.; Owens, G.; Youn, G.H. Immobilizer-assisted management of metal-contaminated agricultural soils for safer food production. J. Environ. Manag. 2012, 102, 88–95. [Google Scholar] [CrossRef] [PubMed]
- Bayer, C.; Martin-Neto, L.; Mielniczuk, J.; Pillon, C.N.; Sangoi, L. Changes in soil organic matter fractions under subtropical no-till cropping systems. Soil Sci. Soc. Am. J. 2001, 65, 1473–1478. [Google Scholar] [CrossRef]
- Fiscus, D.A.; Neher, D.A. Distinguishing sensitivity of free-living soil nematode genera to physical and chemical disturbances. Ecol. Appl. 2002, 12, 565–575. [Google Scholar] [CrossRef]
- Houben, D.; Evrard, L.; Sonnet, P. Mobility, bioavailability and pH-dependent leaching of cadmium, zinc, and lead in a contaminated soil amended with biochar. Chemosphere 2013, 92, 1450–1457. [Google Scholar] [CrossRef] [PubMed]
- Kumpiene, J.; Bert, V.; Dimitriou, I.; Eriksson, J.; Friesl-Hanl, W.; Galazka, R.; Herzig, R.; Janssen, J.; Kidd, P.; Mench, M.; et al. Selecting chemical and ecotoxicological test batteries for risk assessment of trace element-contamianted soils (phyto)managed by gentle remediation options (GRO). Sci. Total Environ. 2014, 496, 510–522. [Google Scholar] [CrossRef] [PubMed]
- Quintela-Sabarís, C.; Marchand, L.; Kidd, P.S.; Friesl-Hanl, W.; Puschenreiter, M.; Kumpiene, J.; Müller, I.; Neu, S.; Janssen, J.; Vangronsveld, J.; et al. Assessing phytotoxicity of trace element-contamianted soils phytomanaged with gentle remediation options at ten European field trials. Sci. Total Environ. 2017, 599–600, 1388–1398. [Google Scholar] [CrossRef] [PubMed]
- Cundy, A.B.; Bardos, R.P.; Church, A.; Puschenreiter, M.; Friesl-Hanl, W.; Müller, I.; Neu, S.; Mench, M.; Witters, N.; Vangronsveld, J. Developing principles of sustainability and stakeholder engagement for “gentle” remediation approaches: The European context. J. Environ. Manag. 2013, 129, 283–291. [Google Scholar] [CrossRef] [PubMed]
- Kapustka, L.A.; Bowers, K.; Isanhart, J.; Martinez-Garza, C.; Finger, S.; Stahl, R.G., Jr.; Stauber, J. Coordinating ecological restoration options analysis and risk assessment to improve environmental outcomes. Integr. Environ. Assess. Manag. 2016, 12, 253–263. [Google Scholar] [CrossRef] [PubMed]
- Domínguez, M.T.; Madrid, F.; Marañón, T.; Murillo, J.M. Cadmium availability in soil and retention in oak roots: Potential for phytostabilization. Chemosphere 2009, 76, 480–486. [Google Scholar] [CrossRef] [PubMed]
- Korzeniowska, J.; Stanislawska-Glubiak, E.; Igras, J. Applicability of energy crops for metal phytostabilization of soils moderately contaminated with copper, nickel and zinc. J. Food Agric. Environ. 2011, 9, 693–697. [Google Scholar]
- Lee, S.H.; Ji, W.H.; Lee, W.S.; Koo, N.; Koh, I.H.; Kim, M.S. Influence of amendments and aided phytostabilization on metal availability and mobility in Pb/Zn mine tailings. J. Environ. Manag. 2014, 139, 15–21. [Google Scholar] [CrossRef] [PubMed]
- Mahieu, S.; Soussou, S.; Cleyet-Marel, J.; Brunel, B.; Mauré, L.; Lefèbvre, C. Local adaptation of metallicolous and non-metallicolous Anthyllisvulneraria population: Their utilization in soil restoration. Restor. Ecol. 2013, 21, 551–559. [Google Scholar] [CrossRef]
- Tang, Y.; Deng, T.; Wu, Q.; Wang, S.; Qiu, R.; Wei, Z. Designing cropping systems for metal-contaminated sites: A review. Pedosphere 2012, 22, 470–488. [Google Scholar] [CrossRef]
- Galende, M.A.; Becerril, J.M.; Barrutia, O.; Artetxe, U.; Garbisu, C.; Hernández, A. Field assessment of the effectiveness of organic amendments for aided phytostabilization of a Pb-Zn contaminated mine soil. J. Geochem. Explor. 2014, 145, 181–189. [Google Scholar] [CrossRef]
- Kim, M.S.; Min, H.G.; Lee, B.J.; Kim, J.G.; Lee, S.H. The effects of the short-term cultivation and incorporation of legume green manures on the chemical properties of soil contaminated with heavy metals. Korean J. Environ. Agric. 2014, 33, 155–163. [Google Scholar] [CrossRef]
- Kim, M.S.; Min, H.G.; Lee, B.J.; Chang, S.; Kim, J.G.; Koo, N. The applicability of the acid mine drainage sludge in the heavy metal stabilization in soils. Korean J. Environ. Agric. 2014, 33, 78–85. [Google Scholar] [CrossRef]
- NIAST. Method of Soil and Plant Analysis; National Institute of Agricultural Science and Technology, Rural Development Administration: Suwon, Korea, 2000. [Google Scholar]
- Nelson, D.W.; Sommers, L.E. Total carbon, organic carbon and organic matter. In Methods of Soil Ananlysis. Part 3—Chemical Methods; Spark, D.L., Page, A.L., Helmke, P.A., Loeppert, R.H., Soltanpour, P.N., Tabatabai, M.A., Johnson, C.T., Summer, M.E., Eds.; Soil Science and Society of America: Madison, WI, USA, 1996; pp. 961–1010. [Google Scholar]
- ISO 11466. Soil Quality—Extraction of Trace Elements Soluble in Aqua Regia; International Organization for Standardization: Geneva, Switzerland, 1995. [Google Scholar]
- Mehlich, A. Mehlich 3 soil test extractant: a modification of Mehlich 2 extractant. Commun. Soil Sci. Plan. 1984, 15, 1409–1416. [Google Scholar] [CrossRef]
- Friedel, J.; Mölter, K.; Fisher, W. Comparison and improvement of methods for determining soil dehydrogenase activity by using triphenylotetrazolium chloride and iodonitrotetrazolium chloride. Biol. Fertil. Soil. 1994, 18, 291–296. [Google Scholar] [CrossRef]
- Mall, I.D.; Srivastava, V.C.; Kumar, G.V.A.; Mishra, I.M. Characterization and utilization of mesoporous fertilizer plant waste carbon for adsorptive removal of dyes from aqueous solution. Colloid Surf. A 2006, 27, 175–187. [Google Scholar] [CrossRef]
- Luo, J.; Qi, S.; Gu, X.W.S.; Wang, J.; Xie, X. Evaluation of the phytoremediation effect and environmental risk in remediation processes under different cultivation systems. J. Clean. Prod. 2016, 119, 25–31. [Google Scholar] [CrossRef]
- KMoE. Soil Environment Standard Test, Soil Environment Conservation Act; Korea Ministry of Environment: Sejong, Korea, 2000.
- Jeong, H.Y.; Lee, J.L.; Hayes, K.F. Characterization of synthetic nanocrystalline mackinawite: crystal structure, particle size and specific surface area. Geochim. Cosmochim. Acta 2008, 72, 493–505. [Google Scholar] [CrossRef] [PubMed]
- Mench, M.; Martin, E. Mobilization of cadmium an other metals from two soils by root exudates of Zea mays L., Nicotianatabacum L. and Nicotianarustica L. Plant Soil 1991, 132, 187–196. [Google Scholar] [CrossRef]
- Uren, N.C.; Reisenauer, H.M. The role of root exudation in nutrient acquisition. In Advances in Plant Nutrition; Tinker, B., Lauchli, A., Eds.; Praeger: New York, NY, USA, 1998; Volume 3, pp. 79–114. [Google Scholar]
- Bertin, C.; Yang, X.; Weston, L.A. The role of root exudates and allelochemicals in the rhizosphere. Plant Soil 2003, 256, 67–83. [Google Scholar] [CrossRef]
- Vancura, V. Root exudates of plants. Plant Soil 1964, 21, 231–248. [Google Scholar] [CrossRef]
- Marschner, H.; Römheld, V. In vivo measurement of root-induced pH changes at the soil-root interface: effect of plant species and nitrogen source. Z. Pflanzenphysiol. Bd. 1983, 111, 241–251. [Google Scholar] [CrossRef]
- Hart, J.J.; Norvell, W.A.; Welch, R.M.; Sullivan, L.A.; Kochian, L.V. Characterization of zinc uptake, binding, and translocation in intact seedlings of bread and durum wheat cultivars. Plant Physiol. 1998, 118, 219–226. [Google Scholar] [CrossRef] [PubMed]
- Bernstein, L. Effects of salinity and sodicity on plant growth. Annu. Rev. Phytopathol. 1975, 13, 295–312. [Google Scholar] [CrossRef]
- Kim, M.S.; Min, H.G.; Lee, S.H.; Kim, J.G. The effect of various amendments on trace element stabilization in acidic, neutral, and alkali soil with similar pollution index. PLoS ONE 2016, 11, e0166335. [Google Scholar] [CrossRef] [PubMed]
- Lopes, C.; Herva, M.; Franco-Uria, A.; Roca, E. Multicorrelation models and uptake factors to estimate extractable metal concentrations from soil and metal in plants in pasturelands fertilized with manure. Environ. Pollut. 2012, 166, 17–22. [Google Scholar] [CrossRef] [PubMed]
- Martins, A.L.C.; Bataglia, O.C.; Camargo, O.A. Copper, nickel and zinc phytoavailability in an oxisol amended with sewage sludge and liming. Sci. Agric. 2003, 60, 747–754. [Google Scholar] [CrossRef]
- Zhang, X.; Lin, L.; Chen, M.; Zhu, Z.; Yang, W.; Chen, B. A nonpathogenic Fusariumoxysporum strain enhances phytoextraction of heavy metals by the hyperaccumulator Sedum alfredii Hance. J. Hazard. Mater. 2012, 229–230, 361–370. [Google Scholar] [CrossRef] [PubMed]
- Grafe, M.; Eick, M.J.; Grossl, P.R. Adsorption of arsenate and arsenite on goethite in the presence and absence of dissolved organic carbon. Soil Sci. Soc. Am. J. 2001, 65, 1680–1687. [Google Scholar] [CrossRef]
- Koo, N.; Jo, H.J.; Lee, S.H.; Kim, J.G. Using response surface methodology to assess the effects of iron and spent mushroom substrate on arsenic phytotoxicity in lettuce (Lactuca sativa L.). J. Hazard. Mater. 2011, 192, 381–387. [Google Scholar] [CrossRef] [PubMed]
- Lin, H.T.; Wang, M.C.; Li, G.C. Complexation of arsenate with humic substance in water extract of compost. Chemosphere 2004, 56, 1105–1112. [Google Scholar] [CrossRef] [PubMed]
- Mcbride, M.B.; Tyler, L.D.; Hovde, D.A. Cadmium adsorption by soils and uptake by plants as affected by soil chemical properties. Soil Sci. Soc. Am. J. 1981, 45, 739–744. [Google Scholar] [CrossRef]
- Dary, M.; Chamber-Pérez, M.A.; Palomares, A.J.; Pajuelo, E. “In situ” phytostabilization of heavy metal polluted soils using Lupinusluteus inoculated with metal resistant plant growth promoting rhizobacteria. J. Hazard. Mater. 2010, 177, 323–330. [Google Scholar] [CrossRef] [PubMed]
- Benjamin, E.H.J.; Richard, J.H.; Ian, R.P. Influence of organic waste and residue mud additions on chemical, physical and microbial properties of bauxite residue sand. Environ. Sci. Pollut. Res. 2011, 18, 199–211. [Google Scholar]
- Tisdall, J.M.; Oades, J.M. Organic matter and water-stable aggregates in soils. J. Soil Sci. 1982, 32, 141–163. [Google Scholar] [CrossRef]
- Duiker, S.W.; Rhoton, F.E.; Torrent, J.; Smeck, N.R.; Lai, R. Iron (hydr)oxide crystallinity effects on soil aggregation. Soil Sci. Soc. Am. J. 2003, 67, 606–611. [Google Scholar] [CrossRef]
- Goldberg, S.; Kapoor, B.S.; Rhoades, J. Effect of aluminum and iron oxides and organic matter on flocculation and dispersion of arid zone soils. Soil Sci. 1990, 150, 588–593. [Google Scholar] [CrossRef]
- Koo, N.; Lee, S.H.; Kim, J.G. Arsenic mobility in the amended mine tailings and its impact on soil enzyme activity. Environ. Geochem. Health 2012, 34, 337–348. [Google Scholar] [CrossRef] [PubMed]
- Giacometti, C.; Demyan, M.S.; Cavani, L.; Marzadori, C.; Ciavatta, C.; Kandeler, E. Chemical and microbiological soil quality indicators and their potential to differentiate fertilization regimes in temperate agroecosystems. Appl. Soil Ecol. 2013, 64, 32–48. [Google Scholar] [CrossRef]
- Chaperon, S.; Sauvé, S. Toxicity interaction of metals (Ag, Cu, Hg, Zn) to urease and dehydrogenase activities in soils. Soil Biol. Biochem. 2007, 39, 2329–2338. [Google Scholar] [CrossRef]
- Chu, H.Y.; Zhu, J.G.; Xie, Z.B.; Zhangm, H.Y.; Cao, Z.H.; Li, Z.G. Effects of lanthanum on dehydrogenase activity and carbon dioxide evolution in a Haplic Acrisol. Aust. J. Soil Res. 2003, 41, 731–739. [Google Scholar] [CrossRef]
- Pérez de Mora, A.; Ortega-Calvo, J.J.; Cabrera, F.; Madejón, E. Changes in enzyme activities and microbial biomass after ‘‘in situ’’ remediation of a heavy metal-contaminated soil. Appl. Soil Ecol. 2005, 28, 125–137. [Google Scholar] [CrossRef]
- Dar, G.H. Effects of cadmium and sewage-sludge on soil microbial biomass and enzyme activities. Bioresour. Technol. 1996, 56, 141–145. [Google Scholar] [CrossRef]
- Mendez, M.O.; Maier, R.M. Phytostabilization of mine tailings in arid and semiarid environment – an emerging remediation technology. Environ. Health Perspect. 2008, 116, 278–282. [Google Scholar] [CrossRef] [PubMed]
- Rizzi, L.; Petruzzelli, G.; Poggio, G.; VignaGuidi, G. Soil physical changes and plant availability of Zn and Pb in a treatability test of phytostabilization. Chemosphere 2004, 57, 1039–1046. [Google Scholar] [CrossRef] [PubMed]
- Muchuweti, M.; Birkett, J.W.; Chinyanga, E.; Zvauya, R.; Scrimshaw, M.D.; Lester, J.N. Heavy metal content of vegetables irrigated with mixtures of wastewater and sewage sludge in Zimbabwe: Implications for human health. Agric. Ecosyst. Environ. 2006, 112, 41–48. [Google Scholar] [CrossRef]
- Komínková, D.; Fabbricino, M.; Gurung, B.; Race, M.; Tritto, C.; Ponzo, A. Sequential application of soil washing and phytoremediation in the land of fires. J. Environ. Manag. 2018, 206, 1081–1089. [Google Scholar] [CrossRef]




| Soil | PM 1 | AMDS 2 | |
|---|---|---|---|
| pH | 8.5 | 7.8 | 8.4 |
| EC 3 | 0.6 | 9.8 | 3.8 |
| LOI 4 | 3.4 | 58.5 | 20.0 |
| As 5 | 642.0 | 1.7 | - 6 |
| Cd 5 | 8.9 | 2.4 | 30.0 |
| Pb 5 | 3018.4 | 4.6 | 6.0 |
| Zn 5 | 1930.1 | 209.1 | 966.0 |
| Amendment | Plant | Amendment × Plant | ||||
|---|---|---|---|---|---|---|
| F value (probability) | ||||||
| Soil pH | 51.49 | (<0.0001) | 101.62 | (<0.0001) | 26.00 | (<0.0001) |
| As 1 (mg kg−1) | 1947.08 | (<0.0001) | 14.45 | (<0.0001) | 3.03 | (0.0299) |
| Cd 1 (mg kg−1) | 285.52 | (<0.0001) | 21.46 | (<0.0001) | 19.84 | (<0.0001) |
| Pb 1 (mg kg−1) | 252.21 | (<0.0001) | 63.27 | (<0.0001) | 3.95 | (0.0093) |
| Zn 1 (mg kg−1) | 21.07 | (<0.0001) | 85.27 | (<0.0001) | 7.24 | (0.0002) |
| Water-stable aggregation (%) | 10.54 | (0.0003) | 15.45 | (<0.0001) | 0.55 | (0.7015) |
| Dehydrogenase (μg TPF g−1) | 30.73 | (<0.0001) | 7.05 | (0.0026) | 2.47 | (0.0616) |
| Shoot | Root | |||||||
|---|---|---|---|---|---|---|---|---|
| As | Cd | Pb | Zn | As | Cd | Pb | Zn | |
| L. Multiflorum | ||||||||
| Con 1 | 3.29 a | 1.94 a | 7.1 b | 93 a | 94.9 a | 17.3 a | 360 a | 315 a |
| PM | 3.12 a | 1.45 b | 9.8 a | 97 a | 39.6 b | 8.3 b | 151 b | 150 b |
| AMDS | 2.72 b | 1.07 c | 8.6 ab | 98 a | 23.2 c | 5.4 c | 111 b | 122 b |
| S. cereale | ||||||||
| Con | 4.49 a | 1.82 a | 13.5 a | 82 a | 73.1 a | 11.5 ab | 132 a | 199 a |
| PM | 2.89 b | 0.78 b | 5.6 b | 42 c | 78.6 a | 13.9 a | 99 b | 107 b |
| AMDS | 2.57 b | 0.73 b | 5.4 b | 52 b | 30.1 b | 10.1 b | 92 b | 105 b |
| V. villosa | ||||||||
| Con | 2.67 a | 3.26 a | 6.3 a | 89 b | 73.5 a | 23.6 a | 198 a | 208 a |
| PM | 3.39 a | 3.42 a | 5.4 a | 172 a | 70.2 a | 20.1 a | 151 a | 182 a |
| AMDS | 3.17 a | 3.16 a | 3.0 b | 82 b | 32.4 b | 14.6 b | 126 b | 131 b |
| T. pretense | ||||||||
| Con | 5.80 a | 0.87 a | 2.9 b | 92 b | 54.3 a | 18.3 a | 166 ab | 207 a |
| PM | 4.63 a | 0.50 b | 5.4 a | 97 b | 36.1 b | 8.4 b | 199 a | 177 b |
| AMDS | 1.40 b | 1.01 a | 4.8 a | 129 a | 21.4 c | 5.5 c | 110 b | 114 c |
© 2018 by the authors. Licensee MDPI, Basel, Switzerland. This article is an open access article distributed under the terms and conditions of the Creative Commons Attribution (CC BY) license (http://creativecommons.org/licenses/by/4.0/).
Share and Cite
Kim, M.-S.; Min, H.-G.; Lee, S.-H.; Kim, J.-G. A Comparative Study on Poaceae and Leguminosae Forage Crops for Aided Phytostabilization in Trace-Element-Contaminated Soil. Agronomy 2018, 8, 105. https://doi.org/10.3390/agronomy8070105
Kim M-S, Min H-G, Lee S-H, Kim J-G. A Comparative Study on Poaceae and Leguminosae Forage Crops for Aided Phytostabilization in Trace-Element-Contaminated Soil. Agronomy. 2018; 8(7):105. https://doi.org/10.3390/agronomy8070105
Chicago/Turabian StyleKim, Min-Suk, Hyun-Gi Min, Sang-Hwan Lee, and Jeong-Gyu Kim. 2018. "A Comparative Study on Poaceae and Leguminosae Forage Crops for Aided Phytostabilization in Trace-Element-Contaminated Soil" Agronomy 8, no. 7: 105. https://doi.org/10.3390/agronomy8070105
APA StyleKim, M.-S., Min, H.-G., Lee, S.-H., & Kim, J.-G. (2018). A Comparative Study on Poaceae and Leguminosae Forage Crops for Aided Phytostabilization in Trace-Element-Contaminated Soil. Agronomy, 8(7), 105. https://doi.org/10.3390/agronomy8070105

