Abstract
Bioethanol production in the midwestern U.S. has largely focused on maize (Zea mays L.) grain for starch-based ethanol production. There has been growing interest in lignocellulosic biomass as a feedstock for biofuels. Because maize adapted to the tropics does not initiate senescence as early as temperate-adapted maize, using a tropical germplasm could improve biomass yield. This study compares the suitability of temperate and tropical maize with differing relative maturities as feedstocks for bioethanol production. Field trials were established in central Iowa during the 2014 and 2015 growing seasons. Six hybrids of different relative maturities were grown at two levels of N fertilization and two row spacings to evaluate total biomass production and feedstock quality under midwestern U.S. conditions. Total biomass, height at the final leaf collar, stem diameter at one meter above ground, and lignocellulose concentration were measured at harvest. Tropical maize was taller and had greater non-grain and total biomass production (15% more than temperate maize), while temperate maize had greater grain yield and grain starch, as well as earlier maturation. Narrower row spacing had greater biomass and grain yield. Nitrogen fertilization rate affected grain and feedstock composition. Tropical maize had lower cellulose, lignin, and ash concentrations and higher nitrogen at harvest than that of temperate maize. Conversely, temperate maize had greater ash, cellulose, and lignin concentrations. Tropical maize planted at high densities has high potential as a feedstock for bioethanol production in the U.S. Midwest.
1. Introduction
There has been growing interest in renewable feedstock sources as an alternative to reduce fossil fuel demand. Maize (Zea mays L.) grain has been the main source for ethanol production in the U.S. Corn Belt, but stover and non-grain ear tissues are an option largely unused at present. Maize stover is being harvested to a limited extent for energy purposes, and further exploration is required to identify the potential of using these “residues” directly as a second generation feedstock for bioenergy [1]. Germplasm such as tropical maize (maize adapted to tropical regions) has the potential to produce high amounts of non-grain biomass and might be an attractive source of cellulosic feedstock.
Wilhelm et al. [2] reported diverse maize hybrids yielded from 7 to 13 Mg ha−1 stover dry matter yield (DMY) across four Corn Belt sites under 74,000 and 79,000 plants ha−1 and 76 cm row spacing conditions. Conversely, a mean total biomass of 20 Mg ha−1 DMY is reported for commercial maize, but the average becomes higher when applying further amendments such as biochar [1]. Currently, nearly 30% of the total biomass could be sustainably harvested as lignocellulosic feedstock under conventional practices [2,3]. Accounting for a wider range of regions in the U.S., commercial maize has a typical harvest index (HI) of 0.5 to 0.57, when harvested at 35% grain moisture (physiological maturity harvest) or at 15% grain moisture (grain harvest), respectively [1]. This reflects the economic importance of grain yield as the main focus of maize production in the U.S. at the present time.
Delayed maturation and flowering of maize is associated with greater stover accumulation at the expense of grain yield and reduced kernel number per plant [3,4]. Tropical maize, which is reported to have such delays, might compensate for reduced grain yield with increased biomass accumulation, making it a promising Gen2 feedstock for bioenergy [2,5]. Tropical populations have been included in the Midwest breeding programs and have been adapted by selection for early silking; they are occasionally used as a germplasm source in breeding programs, but are of limited utility due to low grain yields and harvest index (HI) [6]. In addition, multiple non-adapted tropical germplasm have been grown in temperate conditions. Prior studies have shown tropical maize has significant vegetative growth and plant height when grown under temperate conditions [7]. This is favorable when exploring the potential of a germplasm to produce high amounts of non-grain biomass. However, these populations have been planted using conventional row spacing and plant density, and further research is needed to optimize agronomic practices for growing maize for biomass production.
It may be possible to optimize biomass and grain production by adjusting plant arrangement, consisting of plant density and row spacing. When planting maize for biomass and forage production, the literature suggests using relatively higher plant densities [8]. Current plant density recommendations for grain yield over the Corn Belt averages about 76,500 plants ha−1 [1], while studies for biomass yield have used over 100,000 plants ha−1 [8,9].
Positioning more plants in the field, by changing within and between row plant spacing, is suggested to increase biomass growth over grain, and would also have other mid- and long-term effects. Arrangements with higher plant density might leave more root residue in the soil, which feeds C pools in the long term. However, stover removed under intensive harvests leaves the soil surface uncovered, affecting soil organic matter dynamics [2].
The quality of feedstock for conversion to ethanol may be as relevant as biomass yield. Composition of feedstock in terms of lignocellulose, a main constituent of biomass stover, as well as nitrogen and ash concentrations determine the efficiency of the ethanol conversion system. Lignocellulosic composition (cellulose, hemicellulose, and lignin), nitrogen, and ash concentration are geographic-, management-, physiological-, and genotype-dependent as found for other grasses [9]. Cellulose and hemicellulose are desirable products, while lignin has a complex chemical structure that is difficult to break down during biochemical bioprocessing. However, higher lignin content may be preferred for thermochemical conversion processes. Low ash concentrations are desired for thermochemical use, because high ash concentrations in the feedstock limit the conversion process [10,11,12,13,14].
The objective of this research was to determine the potential of diverse maize germplasm for biomass production by means of studying biomass yield and fiber composition. Plant arrangement as a combination of between and within row spacing and two different levels of nitrogen (based on the Iowa State recommendations and those estimated using the Agricultural Production Systems sIMulator (APSIM) model) were hypothesized to influence total biomass yield and feedstock composition of a diverse set of temperate and tropical maize.
2. Materials and Methods
2.1. Site Description and Plant Materials
To evaluate the biomass production and composition of tropical and temperate maize of different plant arrangements, an experiment was performed at Iowa State University Sorensen Research Farm in Boone County, IA, U.S. (42°02′ N and 93°46′ W) during the 2014 and 2015 growing seasons. The soil type was a Nicollete loam (fine-loamy, mixed, mesic Aquic Hapludoll). Weather data were collected from the station BOOI4 (Table 1) located on the same farm; data were compiled from the Iowa Environmental Mesonet (Iowa State Univeristy AgClimate network). A week before planting, nitrogen fertilizer was applied uniformly at 180 kg N ha−1 and 200 kg N ha−1, using the ISU recommendation and APSIM recommendation levels of nitrogen, respectively. Tropical and temperate maize were planted at plant densities of 100,000 or 120,000 plants per hectare and row spacing of 38 cm or 76 cm resulting in four (2 × 2) combined planting treatments or plant arrangements.
Table 1.
Average monthly temperature, accumulated monthly growing degree days (GDD), precipitation, and solar radiation for 2014, 2015, and the 30-year average in Ames, IA.
Six genotypes (four local hybrids of 104, 110, 114, and 120 relative maturity (RM), and two tropical maize hybrids of 130 RM) were planted on 20 May 2014 and 13 May 2015. Germplasm was provided by DuPont Pioneer (Ankeny, IA, USA). Individual plot size was 3 m by 7.5 m. The tropical seed lots were treated with thiamethoxam at 0.8 mg/kernel, Maxim Quattro at 16 mL/80,000 seeds, and colorant at 10 mL/1000 g of seed.
2.2. Plant Measurements
Maize was hand-harvested after the first frost each year, which occurred in the first week of December 2014 and the last week of November in 2015. Stalk number, ear number, and wet weight were measured in the field at harvest. The maturity of the maize at harvest depended on the relative maturity of each hybrid; therefore, temperate maize was harvested later than black layer in these trials. Prior to harvest, the height of the final leaf collar and the diameter of the stem at one meter above ground were measured with an electronic caliper on three plants per plot.
2.3. Harvest and Sampling
Within the central rows of each seven or four row plot, accounting for 38 cm and 76 cm row spacing, respectively, two-meter double rows were manually harvested at an approximate distance of two meters from the edge of the plot. The wet weight of the 192 plots was recorded, and three plants per plot were collected and combined, sampled by organ (leaves, stems, husks, cobs, and grains). Every organ was separated in the field, with its wet weight recorded and then dried at 60 °C until a constant weight was achieved. Samples were reweighed for dry mass and transported to the laboratory for further processing. Grain was collected in plastic bags, and stem samples collected from late sampling harvests were shredded. Each non-grain sample was ground to pass a 1-mm sieve with a Willey mill (Thomas Scientific, Swedesboro, NJ, USA).
2.4. Near Infrared Spectroscopy, Sequential Fibers, and Total Nitrogen
The full set of samples was scanned using a Near Infrared Spectroscopy (NIRS) 6500 scanning monochrometer (NIRSystems, Silver Spring, MD, USA). The WinISI II Project Manager v1.50 software (FOSS, DK-3400 Hilleroed, Denmark) was used to perform a principal component analysis (PCA), providing 50 sub-samples for chemometrics to calibrate a 173-coefficient-multivariate near infrared (NIR) model with a wavelength range of 1108 to 2492.8 nm. The 50 sub-samples were chemically analyzed in duplicate to determine concentrations of lignin, cellulose, and hemicellulose using a modified sequential fiber analysis by the ANKOM (ANKOM Technology, Macedon, NY, USA) procedure [15,16], by means of the determination of neutral detergent fiber (NDF), acid detergent fiber (ADF), acid detergent lignin (ADL), and insoluble ash. All determinations were done on a dry matter basis. Lignin was calculated as the ADL adjusted for ash concentration, cellulose as the difference between ADF and ADL concentration, and hemicellulose as the difference between NDF and ADF concentration. Nitrogen (N) determination was performed through thermal combustion in a Vario Microcube® (Elementar Americas, Mt. Laurel, NJ, USA). Total N values were adjusted for dry matter. After the chemometrics of sub-samples were completed, the model estimated the total N, lignin, cellulose, and hemicellulose for the full set of samples using WinISI II P M v1.50. The scatter correction used was Standard Normal Variate (SNV) and detrend, with a mathematical treatment of 1,4,4,1. Lastly, predictions of grain protein, oil, starch, density, and ethanol yield were made with NIR spectroscopy using an Infratec 1229 Grain Analyzer (Foss Tecator, Töganäs, Sweden).
2.5. Experimental Design and Data Analysis
The experiment was analyzed as a 2 × 2 split-split plot with four replications during 2014 and 2015. The first split had two levels of plant density (100,000 plants ha−1 and 120,000 plants ha−1), and the second split had two levels of row spacing (38 cm and 76 cm) for six genotypes (four temperate maize of 104 RM, 110 RM, 114 RM, 120 RM, and two tropical maize of 130 RM). The experimental data were analyzed using the PROC GLIMMIX procedure of SAS (SAS for Windows 9.4, SAS Inst., Cary, NC, USA). Mean comparisons from the model were done using multiple t-tests to examine differences in plant density, row spacing, and germplasm. Cellulose, hemicellulose, lignin, ash, and nitrogen concentrations, grain density, grain protein, grain oil, grain starch, plant height, and yield were analyzed using an alpha value of 0.05.
3. Results and Discussion
Weather during the two years generally followed the 30-year average monthly temperature trend during the growing season (Table 1). However, precipitation during 2014 was much lower for July than the 30-year average record. Also, maize in 2015 accumulated more growing degree units for most of the growing season because of overall higher monthly temperatures.
3.1. Management Effects on Temperate and Tropical Biomass Yield
Row spacing and the type of germplasm influenced stem dry matter (DM), grain yield, and biomass for both years (Table S1). Across plant density, row spacing, and nitrogen rate, tropical maize biomass ranged from 30 to 35 Mg ha−1 and was 15% greater than that of temperate maize, which ranged from 26 to 31 Mg ha−1 (Figure 1a). Similarly, the tropical maize non-grain biomass was greater than that of temperate maize, up to 25 Mg ha−1 for plots with 38 cm rows. It was reported that diverse maize hybrids yield a range from 7 to 13 Mg ha−1 stover DM for Corn Belt sites, with 76 cm rows and conventional plant densities that range from 74,000 to 79,000 plants ha−1 [1]. Tropical maize had up to 80% greater non-grain biomass than the reported values from Wilhelm et al. [2], while temperate maize had 45% higher non-grain biomass, most likely attributed to reduced row spacings and high plant densities in the present study. This indicates tropical maize has high potential in terms of feedstock production for Gen2 biofuel production. Grain yield was affected by germplasm and row spacing both years (Figure 1b,c). Overall, temperate maize had greater grain yields than tropical maize, which showed delayed silking and smaller grain yields. Temperate maize yielded from 7.4 to 11 Mg ha−1 under the high plant densities in the study. Tropical maize yielded 6.63 to 9 Mg ha−1, consistent with Hallauer and Carena [6]. Grain yield of adapted tropical maize populations grown in Iowa has fallen short of U.S. Corn Belt yields, with grain yields ranging between 5.13 to 7.79 Mg ha−1 grown with 76 cm rows and conventional plant densities as reported by Hallauer [17] and Hallauer and Carena [6].
Figure 1.
(a) Total biomass, (b) harvest index (HI), (d) plant height, (e) stem diameter, (f) grain density, (g) grain protein, (h) grain oil, and (i) grain starch for temperate (white bars) and tropical (black bars) maize during 2014 and 2015 growing seasons. (c) Plant height (black bars), total biomass (white bars), and grain yield (striped bars) combined for temperate and tropical maize for two row spacings and two growing seasons. Treatments were determined within each year. RM stands for relative maturity type, and two different RM (a,b) are presented when corn of relative maturity of 130 is evaluated. Different letters on the top of standard error bars mean significant differences among treatments (p > 0.05).
Temperate and tropical maize had different HI values (Figure 1b). Tropical maize had lower HI, ranging from 0.22 to 0.30 HI, while temperate maize had greater HI, ranging from 0.32 to 0.45 HI grown under high plant densities. Tropical maize in this study had a HI up to 30% lower (Figure 1b) compared to the typical HI of 0.5 reported for maize [2], while temperate maize had a 12% lower HI than expected, most likely due to the high plant density discussed above. The lower temperate and tropical grain yields in this study might be explained by the high intra-specific competition when the crop is grown for biomass production at high density plant arrangements.
3.2. Grain Quality (Density, Ethanol Yield, and Protein, Oil, Starch Concentrations)
Nitrogen application rate influenced grain protein, oil, and starch concentrations and grain yield (Table S3; Figure 2). Since the year effect was significant for these grain measurements, the analyses were separated by year. These results quantify the relative quality of maize grain in this study and its potential use within the ethanol starch-based fermentation process.
Figure 2.
Effect of nitrogen rate on grain protein (striped bars), oil (white bars), and starch (black bars) concentrations during two growing seasons averaged for temperate and tropical maize grown in Boone County, IA. Treatments were determined within each year. Different letters on the top of standard error bars mean significant differences among treatments (p > 0.05).
Grain density differed among germplasm (Figure 1f). The 120 RM maize had the lowest main grain density 1.22 g cm−3 (Figure 1f), while other entries had greater densities, ranging from 1.24 g cm−3 to 1.26 g cm−3 in 2014 and from 1.22 g cm−3 to 1.27 g cm−3 in 2015. In the second year of the study, tropical maize had greater grain densities, up to 1.27 g cm−3. Grain density was positively correlated with grain protein concentration in both years (Table 2).
Table 2.
Pearson correlation coefficients for protein, oil, and starch concentration and grain density, (grain quality), cellulose (cel), hemicellulose (hemi), lignin (lig), ash, and total nitrogen (TN) concentrations (total non-grain, cobs, husks, leaves, and stems), of temperate and tropical maize during 2014 and 2015 growing seasons in Boone, IA.
Tropical maize differed from temperate maize for grain protein concentration in both years (Table S2). Tropical maize had the greatest mean protein concentration of 79 g kg−1 DM for 2014 and 70 g kg−1 DM for 2015 (Figure 1g), while temperate maize protein concentrations ranged from 73 g kg−1 DM to 78 g kg−1 DM for 2014 and 59 g kg−1 DM to 65 g kg−1 DM for 2015. In addition, the nitrogen level applied, significantly affected grain protein concentration for both years: the higher the nitrogen fertilization rate, the higher the grain protein concentration for the first year (Figure 2). Maize with the recommended N fertilization rate by APSIM, which was 20 kg ha−1 greater than the ISU calculator rate, resulted in greater grain nitrogen concentration. For the greater N fertilization rate, the mean grain protein concentration was 81 g kg−1 DM for 2014 and 66 g kg−1 DM for 2015. For the lower N fertilization rate, the mean grain protein concentration was 72 g kg−1 DM for 2014 and 63.3 g kg−1 DM for 2015.
Grain oil concentration differed for germplasm both years (Figure 1h and Figure 2). Tropical maize had the greatest oil concentration ranging from 41 g kg−1 DM to 43 g kg−1 DM for 2014 and from 37 g kg−1 DM to 39 g kg−1 DM for 2015, while temperate maize oil ranged from 34 g kg−1 DM to 38 g kg−1 DM for 2014 and from 31 g kg−1 DM to 34 g kg−1 DM for 2015. The lowest grain oil concentration was found in 110 RM maize for both years (Figure 1h). Oil and protein concentrations in the grain were negatively correlated with starch concentrations (Table 2).
Grain starch concentration significantly varied among germplasm (Figure 1i), and the row spacing × germplasm interaction. In contrast to protein and oil concentration results, temperate maize had the greatest grain starch at 615 g kg−1 DM for 2014 and 635 g kg−1 DM for 2015, while starch in tropical maize grain ranged from 596 g kg−1 DM to 600 g kg−1 DM for 2014 and from 614 g kg−1 DM to 621 g kg−1 DM for 2015. Grain starch was influenced by row spacing, depending on the RM of the maize, the 130 RM maize had the lowest starch at 76 cm rows for 2014, while a contradictory result was found in 2015 for both tropical maize (130 RM) when the lowest starch concentrations occurred at 38 cm rows. In contrast to the negative correlation with protein and oil, grain starch concentration was positively correlated to predicted ethanol yield.
Since the maize endosperm is predominantly starch, the embryo contains predominantly carbohydrates, lipids, and proteins. Temperate maize, due to early RM, produced grain with a greater starch concentration than tropical maize (Figure 1i). Tropical maize grain was small and had greater protein and oil concentrations (Figure 1g,h) indicating most of the assimilates that reached grain were used in the embryo at the expense of starch reserves. Ethanol yield is dependent on starch in the starch-based fermentation process; therefore, the ethanol yield estimation followed the starch concentration, favoring temperate maize over tropical maize.
3.3. Plant Height and Diameter
Temperate and tropical maize had significantly different final plant height and diameter, and row spacing affected plant height; therefore, biomass was affected by planting practices, such as row spacing. Stem height was significantly affected by germplasm and row spacing. Tropical maize was taller than temperate maize, and maize grown at 38 cm rows was 10% taller than when planted at 76 cm rows. Significant interactions among germplasm and row spacing occurred in 2014, but not in 2015.
Tropical maize was taller than the temperate maize (Figure 1d), and plant height was correlated with greater biomass yield (Figure 1a,c). Thus, 130 RM was the tallest genotype with an average plant height of 290 cm over the two years. The 130 RM also had later reproductive development compared to the temperate maize. In contrast, the 104 RM maize had the shortest height among the germplasm (µ = 240 cm), followed by 110, 114, and 120 RM maize. The greater the RM, the taller the plant and the greater the biomass.
Commercial hybrids have a mean maximum plant height of 240 cm, as reported by Wilhelm et al. [2] in maize coming from a wide range of germplasm grown in Ames, IA. These authors measured the height, including the tassel tip, and variability in their data increased due to breakage or loss of tassel. However, the average plant height reported in this study is the height of the final leaf collar.
Firstly, the intermediate RM maize, 114 and 120 RM, had intermediate plant height among the maize in the study and yielded more grain (9 Mg ha−1 and 11 Mg ha−1, respectively) than the lower and greater RM maize. The 110 RM maize yielded relatively high biomass (30 Mg ha−1), it was the closest to that of the tropical maize in this study (32 Mg ha−1), which had the greatest biomass production. However, the grain dry matter yield (DMY) was a large contributor to intermediate RM total biomass.
Secondly, tropical maize, the greater RM maize in this study, was the tallest maize (Figure 1d) and had the greatest stover DMY. While tropical maize had the least reproductive development and high grain moisture of 35% at harvest, temperate maize ranged between 15% and 25% moisture (data not shown).
Finally, low RM maize, 104 and 110 RM maize, were the shortest of the maize in the study (Figure 1d) and had the least DMY for stems. The 104 RM maize was the shortest maize and yielded the least total biomass under the planting practices of the experiment (Figure 1a). Of these measurements, plant height is simple to measure and may be a valued metric to predict non-grain biomass yield.
Several studies have suggested morphometric variables, diameter and plant height among them, can be used to predict aboveground dry matter in maize [18,19,20]. These studies have found morphometric variables are better able to predict biomass outcomes during both vegetative and early reproductive growth. Overall, this study and previous ones suggest that plant height could be an indicator of non-grain and total biomass production [7].
Tropical maize grown in the Midwest had high root and stalk lodging [6], which correlates with plant height. The taller the maize, the greater the lodging percentage. The balance between lodging and biomass yield is important to study; while plant height is positively proportional to yield, it causes more lodging issues. Although increased plant height potentiates greater lodging, taken together, biomass, growth, and plant height indicate the high potential of tropical maize for biofuel feedstock quantity.
Few studies have measured stem diameter in maize as a morphometric variable, although Vega et al. [18] found diameter did not predict biomass. Similarly, stem diameter at one meter above the ground did not predict grain yield (data not shown). However, as discussed above, narrow rows in combination with higher plant density resulted in greater biomass yield, thinner stems, and taller maize, indicating a connection between smaller diameter and biomass might be studied in future studies.
3.4. Feedstock Composition
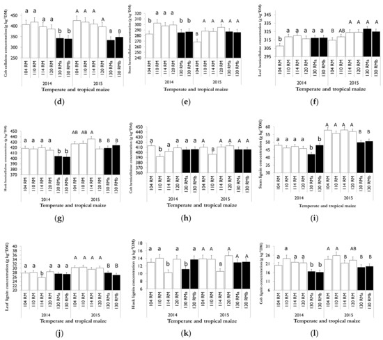
Preferably, an ideal bioenergy feedstock has a high fiber concentration, but low total ash and nitrogen concentrations [21]. Since both the year by germplasm interaction and the year effect were significant, the analyses of composition were separated by year. Tropical maize differed significantly in cellulose and lignin concentration from temperate maize for both years. Temperate maize had a higher cellulose concentration than tropical maize. Cellulose concentrations in tropical maize ranged from 340 to 380 g kg−1 DM for 2014 and 350 to 382 g kg−1 DM for 2015, while the concentrations in temperate maize ranged from 392 to 430 g kg−1 DM for 2014 and 410 to 442 g kg−1 DM for 2015.
The 104 RM maize, the earliest maturing in the study, had the highest cellulose concentration, up to 442 g kg−1 DM in 2015 with 38 cm row spacing. Tropical maize, which has the greatest RM, had the lowest cellulose concentration, averaging 365 g kg−1 DM, and the lowest cellulose concentration of 340 g kg−1 DM was observed in 2014 with 76 cm row spacing. These results indicate that the greater the RM, the lower the cellulose concentration.
In a comparable study conducted in China at similar latitude to the U.S. Upper Midwest, average cellulose concentration for a commercial maize was approximately 340 g kg−1 DM for maize grown with a 65 cm row spacing and a plant density of 52,500 plants ha−1 which is lower than the present study [14]. Clearly, even the lowest cellulose concentration observed for tropical maize in the present study (100,000 and 120,000 plant ha−1) exceeds the average cellulose concentration observed by Liu et al. [14]. Comparing temperate and tropical maize cellulose concentrations from this study to the literature referenced indicates that maize planted with greater plant densities resulted in higher cellulose concentrations, an impact greater on low-RM than on high-RM germplasms (Figure 3a–d; Table S3).

Figure 3.
Differences in (a–d) cellulose, (e–h) hemicellulose, and (i–l) lignin concentrations among temperate and tropical maize by stems, leaves, husks, and cobs during 2014 and 2015 in Boone County, IA. Treatments were determined within each year. RM stands for relative maturity type, and two different RM (a,b) are presented when corn of relative maturity of 130 is evaluated. Different letters on the top of standard error bars mean significant differences among treatments (p > 0.05).
Most cell wall constituents in plants, including C4 plants, progressively increase in concentration toward relatively later harvest dates, while ash and nitrogen concentrations diminish [22]. In this respect, the present results for temperate and tropical maize of different RM merit additional explanation related to harvest time. Since the planting and harvest dates were the same for all germplasm, from mid-May to after the first killing frost, they likely were in different maturation stages (cell wall deposition stages). In other words, the harvest for early RM maize was relatively late and might allow advanced maturation, while the harvest for late RM genotypes was relatively early under Iowa conditions, likely resulting in lower cellulose concentrations.
Cellulose concentration was significantly affected by germplasm (Table S3; Figure 3a–d and Figure 4a), as discussed above, inversely proportional to the RM, and followed this same trend for both years. Also, the nitrogen level applied affected cellulose concentration of most germplasm (Figure 4a). Although the cellulose concentration was generally higher for the 120 RM maize, the highest-RM temperate maize, and for tropical maize with 180 kg ha−1 N in the first year, the cellulose concentration was higher in both tropical and temperate maize at 200 kg ha−1 N in the second year. This contradicting result might be explained by environmental differences between the years.

Figure 4.
Nitrogen effect on feedstock composition for temperate and tropical maize. (a) Effect of nitrogen rate on stem cellulose (white bars), hemicellulose (gray bars), and lignin (gray bars) concentrations during two growing seasons across temperate and tropical maize grown in Boone County, IA. (b) Effect of nitrogen rate on stem ash (white bars) and nitrogen (black bars) concentrations across temperate and tropical maize grown in Boone County, IA. Treatments were determined within each year. Different letters on the top of standard error bars mean significant differences among treatments (p > 0.05).
Biochemical conversion systems require feedstock with high cellulose concentration, along with other desired fibers, to excel in the efficient use of fermentable sugars in the liquid ethanol synthesis [23]. Maize grown at the high plant densities used in this study had greater cellulose concentrations than maize produced at lower densities [14]. Further research using a broader range of plant densities might reveal possible correlations of plant densities to cellulose concentration.
When analyzing cellulose concentration from each tissue individually (Figure 3a–d; Table S3), we found that cellulose concentrations in stems, the most important tissues of the non-grain biomass, were significantly affected by germplasm and nitrogen level for both years (Figure 3a and Figure 4a). Stems had the greatest cellulose concentration, while cobs, husks, and leaves had lower cellulose concentrations. This is consistent with Griffin et al. [24] and Jung et al. [25], who reported that grass stems had greater fiber concentrations than leaves.
Hemicellulose is a desired fiber component for the biochemical conversion process to produce ethanol [23]. Total hemicellulose did not vary among the germplasm and management treatments in this study. Mean hemicellulose concentration across maize germplasm ranged from 344 to 365 g kg−1 DM for 2014 and from 347 to 366 g kg−1 DM for 2015. Hemicellulose concentrations in tropical maize ranged from 348 to 358 g kg−1 DM for 2014 and 353 to 366 g kg−1 DM for 2015, whereas it ranged from 344 to 365 g kg−1 DM for 2014 and 347 to 366 g kg−1 DM for 2015 in temperate maize. According to Liu et al. [14], hemicellulose concentration for a commercial genotype was approximately 150 g kg−1 DM for maize grown at a lower plant density and with conventional row spacing as mentioned above. The hemicellulose concentrations in the present study were much greater than those reported by Liu et al. [14].
Hemicellulose concentrations in non-grain tissues, similar to cellulose, differed for temperate and tropical maize (Figure 3e–h). Among non-grain tissues, husk had the greatest hemicellulose concentration. Stem hemicellulose concentration was affected by germplasm and level of nitrogen both years. Maize that received the lower N fertilization rate had greater hemicellulose concentration for both years.
Lignin concentrations were significantly different among germplasm. Since the year effect was significant, the analysis was separated by year. Lignin concentration in tropical maize ranged from 22 to 28 g kg−1 DM for 2014 and 24 to 30 g kg−1 DM for 2015 whereas it ranged from 25 to 29 g kg−1 DM for 2014 and 29 to 34 g kg−1 DM for 2015 in temperate maize. Higher lignin concentrations were found in germplasm that received 180 kg ha−1 N (Figure 4a). The 120 RM maize had the highest lignin concentration (up to 34 g kg−1 DM in 2015), followed by 110 RM maize. The lignin concentration reported by Liu et al. [14] for commercial maize was only approximately 18 g kg−1 DM, much lower than reported in the present study. High lignin concentrations are preferred for thermochemical but not biochemical conversion systems because of the reduced availability of fermentable monomers from cellulose and hemicellulose, causing a decline in ethanol yield [12,13].
The lignin concentrations in non-grain tissues, as for all other fiber components of temperate and tropical maize, varied significantly among tissues (Figure 3i–l). Stems had the greatest lignin concentration among the non-grain tissues: up to 55 g kg−1 DM. Stem lignin concentration was significantly affected by germplasm and level of nitrogen both years. The maize fertilized with 180 kg N ha−1 had the higher lignin concentration for both years. Lignin concentration was negatively correlated to cellulose concentration (r = −0.86).
Late RM maize, such as, tropical maize, had comparatively younger tissues by the time of the first killing frost. Tissues still photosynthesizing are not converting carbohydrates into structural carbohydrates. Plants harvested before the grain fully matures, as happened with greater RM maize, have less lignocellulose concentration. In contrast, the low to medium RM maize reached their maximum concentration, which remains until harvest.
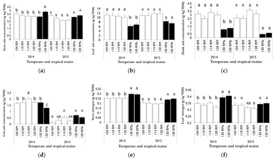
In addition to high fiber concentrations, lower ash and nitrogen are desirable in an ideal bioenergy feedstock [21]. Low ash concentrations are desired for both thermochemical and biochemical conversion systems [11,12]. High ash concentrations in the feedstock limits the conversion process [11]. The total ash concentration was significantly different between germplasm and it ranged from 35 to 50 g kg−1 DM in tropical maize and from 30 to 86 g kg−1 DM in temperate maize. The ash concentration reported by Liu et al. [14] for the commercial genotype described above was approximately 64 g kg−1 DM, higher than that in the present study for both tropical and temperate maize. Non-grain tissue ash concentrations, except cobs, were significantly affected by germplasm both years (Figure 5a–d). The leaf ash concentration was significantly affected by nitrogen level (Figure 5i). The higher the nitrogen level, the greater the leaf ash concentration.

Figure 5.
(a–i). Differences in (a–d) total ash, and (e–h) nitrogen concentrations among temperate and tropical maize by stems, leaves, husks, and cobs during 2014 and 2015 in Boone County, IA. (i) Effect of nitrogen rate on leaf ash concentration (g kg−1) during two growing seasons averaged over temperate and tropical maize grown in Boone County, IA. Treatments were determined within each year. RM stands for relative maturity type, and two different RM (a,b) are presented when corn of relative maturity of 130 is evaluated. Different letters on the top of standard error bars mean significant differences among treatments (p > 0.05).
The nitrogen concentration of all temperate and tropical maize decreased progressively through the growing season and varied significantly among germplasm at harvest. Tropical maize had the highest nitrogen at harvest. High nitrogen concentrations in the feedstock, as in the case of high ash concentrations, limit the efficiency of the conversion process [11]. Non-grain tissue nitrogen was significantly affected by germplasm (Figure 5e–h).
4. Conclusions
Maize plant arrangement influenced growth and yield. Nitrogen fertilization rate influenced grain and feedstock composition. Narrower rows (38 cm) led to taller plants, smaller stem diameter, and greater biomass yield. Tropical maize in this study was successfully produced under Iowa conditions. Tropical maize had taller, thicker stems, a 15% greater biomass yield, and a 40% greater non-grain biomass yield than temperate maize. However, tropical maize had lower cellulose and lignin concentrations than temperate maize. Since lignin is an important structural component, which helps to support the whole plant and to resist lodging, the choice of which maize to use should be driven by decisions about both the ethanol conversion system and the maize lodging percentage.
Concentrations of stem fibers in temperate and tropical maize were greater in this study than in other reports from maize grown at similar latitude as the U.S. Corn Belt. The most important tissue in terms of feedstock composition is the stem; stems have the greatest non-grain DM and the greatest cellulose, hemicellulose, and lignin concentrations of all non-grain tissues. Stem lignin concentration was consistently greater for maize with 180 kg ha−1 of N than for that which received 200 kg ha−1 applied two weeks prior to planting; therefore, refinement of the nitrogen rate influencing lignin concentration might be useful. The utility of this refinement depends on the conversion system used to produce fuel. Although tropical maize had relatively low fiber concentrations, it had the lowest ash concentration, a desirable trait for feedstock used in any ethanol conversion system. However, total nitrogen, the other undesirable feedstock component for bioprocessing, was relatively higher in tropical maize than temperate maize.
In terms of grain composition, tropical maize grown under Iowa conditions at high plant densities had greater concentrations of protein and oil than temperate maize. Similarly, tropical maize grain had greater density and the smallest kernel size, resulting in the lowest starch concentration and ethanol yield. The greater N fertilization rate resulted in greater N concentration in grain; it would be interesting to look at lower nitrogen fertilizer rates in further research.
These results provide a guideline for choosing a germplasm type and planting practices when growing maize for biomass production. Tropical maize had the lowest lignin concentration. Biochemical or thermochemical conversion processes require specific feedstock compositions. The conversion process used ultimately determines the most important values required for crop composition. While the tropical maize composition in this study had pros and cons from an ethanol conversion perspective, the significant advantage of higher biomass yield still allows tropical maize to be considered as a promising feedstock for second generation biofuels.
Supplementary Materials
The following are available online at http://www.mdpi.com/2073-4395/8/6/88/s1, Table S1: Analysis of variance for diameter, plant height, biomass, grain yield, stem dry matter (DM), and leaf DM of temperate and tropical maize during 2014 and 2015 growing seasons in Boone, IA; Table S2: Analysis of variance for grain ethanol yield (L L−1), grain density (1000 kg m−3), starch (g kg−1 DM), protein (g kg−1 DM), and oil (g kg−1 DM) concentrations during 2014 and 2015 growing seasons in Boone, IA. There was a significant effect of year, all comparisons were made within each year; Table S3: Analysis of variance for cellulose, hemicellulose, lignin, ash concentrations and total nitrogen in cobs, husks, leaves, and stems of temperate and tropical maize during 2014 and 2015 growing seasons in Boone, IA. There was a significant effect of year in each tissue, except husk lignin and leaf hemicellulose; therefore, all comparisons were made within each year.
Author Contributions
Conceptualization—P.A.I., K.M., and P.S.; Methodology—P.A.I., K.M., C.H., P.S., S.A., S.-z.F.; Formal Analysis—P.A.I., K.M.; Writing-Original Draft Preparation—P.A.I.; Writing-Review & Editing—A.L., K.M., P.S., S.-z.F.; Visualization—P.A.I.; Supervision—K.M., C.H., P.S., S.A., A.L., S.-z.F.; Project Administration—K.M.; Funding Acquisition—K.M.
Acknowledgments
We would like to thank: Lori Abendroth, Alison Robertson, John Shriver, Jérémie Bouriot, Shawnee Webb, Colin Nahkunst, Emma Haven, Eric Spickerman, Tim Sklenar, Danielle Wilson, and Roger Hintz for their efforts in field and laboratory activities supporting this study, as well as to DuPont Pioneer for donating the seeds for the present study.
Conflicts of Interest
The authors declare no conflict of interest.
References
- Langholtz, M.H.; Stokes, B.J.; Eaton, L.M. 2016 Billion-Ton Report: Advancing Domestic Resources for a Thriving Bioeconomy; Oak Ridge National Laboratory: Oak Ridge, TN, USA, 2016. [Google Scholar]
- Wilhelm, W.W.; Johnson, J.M.F.; Lightle, D.T.; Karlen, D.L.; Novak, J.M.; Barbour, N.W.; Laird, D.A.; Baker, J.; Ochsner, T.E.; Halvorson, A.D.; et al. Vertical distribution of corn stover dry mass grown at several U.S. locations. Bioenergy Res. 2011, 4, 11–21. [Google Scholar] [CrossRef]
- Edmeades, G.O.; Bolaños, J.; Hernandez, M.; Bello, S. Causes for silk delay in a lowland tropical maize population. Crop Sci. 1993, 33, 1029–1035. [Google Scholar] [CrossRef]
- Pulam, R. The Effect of Shoot Maturation on Total Biomass Production in Maize. Ph.D. Thesis, University of Illinois at Urbana, Champaign, IL, USA, 2011. [Google Scholar]
- Johnson, J.M.F.; Novak, J.M.; Varvel, J.E.; Stott, D.E.; Osborne, S.L.; Karlen, D.L.; Lamb, J.A.; Baker, J.; Adler, P.R. Crop residue mass needed to maintain soil organic levels: Can it be determined? Bioenergy Res. 2014, 7, 481–490. [Google Scholar] [CrossRef]
- Hallauer, A.; Carena, M.J. Registration of BS39 maize germplasm. J. Plant Regist. 2016, 10, 296–300. [Google Scholar] [CrossRef]
- Infante, P.A.; Moore, K.J.; Lenssen, A.W.; Archontoulis, S.V.; Scott, P.; Fei, S.Z. Phenology and Biomass Production of Adapted and Non-Adapted Tropical Corn Populations in Central Iowa. Agron. J. 2018, 110, 171–182. [Google Scholar] [CrossRef]
- Cox, W.J.; Cherney, D.J.R. Row spacing, plant density, and nitrogen effects on corn silage. Agron. J. 2001, 93, 597–602. [Google Scholar] [CrossRef]
- Shapiro, C.A.; Wortmann, C.S. Corn response to nitrogen rate, row spacing, and plant density. Agron. J. 2006, 98, 529–535. [Google Scholar] [CrossRef]
- Aurangzaib, M.; Moore, K.J.; Archontoulis, S.V.; Heaton, E.A.; Lenssen, A.W.; Fei, S. Compositional differences among upland and lowland switchgrass ecotypes grown as a bioenergy feedstock crop. Biomass Bioenergy 2016, 87, 169–177. [Google Scholar] [CrossRef]
- Ablevor, F.A.; Rejai, B.; Evans, R.J.; Johnson, K.D. Pyrolytic analysis and catalytic upgrading of lignocellulosic materials by molecular beam mass spectrometry. In Energy from Biomass and Wastes XVI; Klass, D.L., Ed.; Elsevier Applied Sci. Publ.: Chicago, IL, USA, 2016; pp. 69–75. [Google Scholar]
- Hayn, M.; Steiner, W.; Klinger, R.; Steinmuller, H.; Sinner, M.; Esterbauer, H. Basic research and pilot studies on the enzymatic conversion of lignocellulosics. In Bioconversion of Forest and Agricultural Plant Residues; Saddler, J., Ed.; CAB International: Wallingford, UK, 1993; pp. 33–72. [Google Scholar]
- Sun, Y.; Cheng, J. Hydrolysis of lignocellulosic materials for ethanol production: A review. Bioresour. Technol. 2002, 83, 1–11. [Google Scholar] [CrossRef]
- Liu, J.L.; Cheng, X.; Xie, G.H.; Zhu, W.B.; Xiong, S.J. Variation in corn stover yield and fuel quality with harvest time. In Proceedings of the 2009 Asia-Pacific Power and Energy Engineering Conference IEEE, Wuhan, China, 27–31 March 2009; pp. 1–6. [Google Scholar]
- Vogel, K.P.; Pedersen, J.F.; Masterson, S.D.; Toy, J.J. Evaluation of a filter bag system for NDF, ADF, and IVDMD forage analysis. Crop Sci. 1999, 39, 276–279. [Google Scholar] [CrossRef]
- Wilson, D.M.; Gunther, T.P.; Schulte, L.A.; Moore, K.J.; Heaton, E.A. Variety interacts with space and time to influence switchgrass quality. Crop Sci. 2016, 56, 773–785. [Google Scholar] [CrossRef]
- Hallauer, A.R. Conversion of Tropical Germplasm for Temperate Area Use; Illinois Corn Breeders’ School: Champain, IL, USA, 1999; Volume 35, pp. 20–36. [Google Scholar]
- Vega, C.R.; Andrade, F.H.; Sadras, V.O.; Uhart, S.A.; Valentinuz, O.R. Seed number as a function of growth. A comparative study in soybean, sunflower and maize. Crop Sci. 2001, 41, 748–754. [Google Scholar] [CrossRef]
- Freeman, K.W.; Girma, K.; Arnall, D.B.; Mullen, R.W.; Martin, K.L.; Teal, R.K.; Raun, W.R. By-plant prediction of corn forage biomass and nitrogen uptake at various growth stages using remote sensing and plant height. Agron. J. 2007, 99, 530–536. [Google Scholar] [CrossRef]
- Pordesimo, L.O.; Edens, W.C.; Sokhansanj, S. Distribution of aboveground biomass in corn stover. Biomass Bioenergy 2004, 26, 337–343. [Google Scholar] [CrossRef]
- Sanderson, M.A.; Reed, R.L.; McLaughlin, S.B.; Wullscheleger, S.D.; Conger, B.V.; Parrish, D.J.; Wolf, D.D.; Talafierro, C.; Hopkins, A.A.; Ocumpaugh, W.R.; et al. Switchgrass as a sustainable bioenergy crop. Bioresour. Technol. 1996, 56, 83–93. [Google Scholar] [CrossRef]
- Waramit, N.; Moore, K.J.; Heggenstaller, A.H. Composition of native warm-season grasses for bioenergy production in response to nitrogen fertilization rate and harvest date. Agron. J. 2011, 103, 655–662. [Google Scholar] [CrossRef]
- Datar, R.P.; Shenkman, R.M.; Cateni, B.G.; Huhnke, R.L.; Lewis, R.S. Fermentation of biomass-generated producer gas to ethanol. Biotechnol. Bioeng. 2004, 86, 587–594. [Google Scholar] [CrossRef] [PubMed]
- Griffin, J.L.; Jung, G.A. Leaf and stem forage quality of big bluestem and switchgrass. Agron. J. 1998, 75, 723–726. [Google Scholar] [CrossRef]
- Jung, H.G.; Vogel, K.P. Lignification of switchgrass (Panicum virgatum) and big bluestem (Andropogon gerardii) plant parts during maturation and its effect on fiber degradability. J. Sci. Food Agric. 1992, 59, 169–176. [Google Scholar] [CrossRef]
© 2018 by the authors. Licensee MDPI, Basel, Switzerland. This article is an open access article distributed under the terms and conditions of the Creative Commons Attribution (CC BY) license (http://creativecommons.org/licenses/by/4.0/).