Next Article in Journal
Grassland Establishment of Dwarf Napiergrass (Pennisetum purpureum Schumach) by Planting of Cuttings in the Winter Season
Next Article in Special Issue
Effects of Climate Change on Grassland Biodiversity and Productivity: The Need for a Diversity of Models
Previous Article in Journal
On-Farm Demonstrations with a Set of Good Agricultural Practices (GAPs) Proved Cost-Effective in Reducing Pre-Harvest Aflatoxin Contamination in Groundnut
Previous Article in Special Issue
Climate Change and Pest Management: Unanticipated Consequences of Trophic Dislocation
 
 
Font Type:
Arial Georgia Verdana
Font Size:
Aa Aa Aa
Line Spacing:
Column Width:
Background:
Article

Utilizing Process-Based Modeling to Assess the Impact of Climate Change on Crop Yields and Adaptation Options in the Niger River Basin, West Africa

1
Department of Geography and Environmental Sustainability, University of Oklahoma, Norman, OK 73019, USA
2
Graduate School, State University of New York, Binghamton, NY 13902-6000, USA
3
Department of Computer, Mathematics and Environmental Science, American University of Paris, Bamako BP 320, France
4
International Crops Research Institute for the Semi-Arid Tropics (ICRISAT-Mali), Bamako BP 320, Mali
5
Department of Soil Science, Faculty of Agriculture, Institute for Agricultural Research, Ahmadu Bello University, Zaria P.M.B. 1044, Nigeria
*
Author to whom correspondence should be addressed.
Agronomy 2018, 8(2), 11; https://doi.org/10.3390/agronomy8020011
Submission received: 21 December 2017 / Revised: 19 January 2018 / Accepted: 23 January 2018 / Published: 27 January 2018
(This article belongs to the Special Issue Climate Change in Agriculture: Impacts and Adaptations)

Abstract

Climate change is estimated to substantially reduce crop yields in Sub-Saharan West Africa by 2050. Yet, a limited number of studies also suggest that several adaptation measures may mitigate the effects of climate change induced yield loss. In this paper, we used AquaCrop, a process-based model developed by the FAO (The Food and Agriculture Organization, Rome, Italy), to quantify the risk of climate change on several key cereal crops in the Niger Basin. The crops analyzed include maize, millet, and sorghum under rain fed cultivation systems in various agro-ecological zones within the Niger Basin. We also investigated several adaptation strategies, including changes in the sowing dates, soil nutrient status, and cultivar. Future climate change is estimated using nine ensemble bias-corrected climate model projection results under RCP4.5 and RCP8.5 (RCP—Representative Concentration Pathway) emissions scenario at mid future time period, 2021/25–2050. The results show that on average, temperature had a larger effect on crop yields so that the increase in precipitation could still be a net loss of crop yield. Our simulated results showed that climate change effects on maize and sorghum yield would be mostly positive (2% to 6% increase) in the Southern Guinea savanna zone while at the Northern Guinea savanna zone it is mostly negative (2% to 20% decrease). The results show that at the Sahelian zone the projected changes in temperature and precipitation have little to no impact on millet yield for the future time period, 2021/25–2050. In all agro-ecological zones, increasing soil fertility from poor fertility to moderate, near optimal and optimal level significantly reversed the negative yield change respectively by over 20%, 70% and 180% for moderate fertility, near optimal fertility, and optimal fertility. Thus, management or adaptation factors, such as soil fertility, had a much larger effect on crop yield than the climatic change factors. These results provide actionable guidance on effective climate change adaptation strategies for rain fed agriculture in the region.

1. Introduction

The results of numerous studies [1,2,3] show that cereal yields in West Africa will likely decline by 10% by 2050 due to climate change. Other studies [4,5,6] show that parts of the region will also experience a decrease in the length of the growing season potentially worsening West Africa’s already chronic history of agricultural underperformance ([7,8,9], see Supplementary Figure S1). Looking ahead, the region’s population is on pace to double by 2050 [10,11], which will require a five-fold increase in food production just to keep pace [6,12].
Despite such projections, studies investigating potential mitigation and adaptation options in the region have often reached surprisingly optimistic conclusions. For example, using the crop simulation model Cropsyst, [13], investigated the effects of changing sowing dates and crop cultivars on yields of maize and sorghum crops in Cameroon. The authors concluded that simply changing the sowing dates results in yield gains of about 8% for maize and 12% for sorghum, nearly compensating for the expected yield loss due to climate change. While impressive, that effect pales in comparison to adopting new cultivars designed to take advantage of a possible longer growing season. Notably, a 14.6% reduction in maize yield due to climate change was changed to a 32.1% increase i.e., (+46.7%) and a 39.9% decrease in sorghum yield was changed to a 17.6% increase (i.e., +57.5%), even without additional changes in other management options. Other evidence also suggests strongly that farm management practices could significantly mitigate effects of climate variability and change [4,14,15,16]. For example, despite significant temperature increase (0.95 °C) and unprecedented rainfall variability in semi-arid West Africa since 1960, farmers have managed to approximately double yields of several major crops (see supplementary Figure S2).
Somewhat surprising given such promising results, the use of crop models for investigating climate change mitigation and adaptation options in West Africa remains limited. In this paper we utilized the Food and Agricultural Organization (FAO)-developed AquaCrop, a process based model, first to quantify crop yield response to climate change in the Niger River Basin (NRB), and second, to investigate the effects of various adaptation measures in mitigating climate change impacts on crop yields. AquaCrop simulates crop yield as a function of water consumption [17,18] and has been shown to satisfactorily model crop yields in various parts of Africa [19,20]. Within the Niger River Basin, [21] (pp. 233–234) calibrated and validated the model for maize (Oba Super 2), using field experimental data at the Institute for Agricultural Research (IAR), Zaria in Nigeria. The authors concluded, “the agreement between simulated and observed yields is consistent with those reported elsewhere and suggests that the model can be utilized as a tool in the study and modeling of maize productivity in this region.” Here, we extend our previous work by further calibrating AquaCrop for sorghum and millet grown in other agro-ecological zones within the Niger Basin. The results add to the growing literature on climate change impacts on crop yields in this famine-and drought-prone region. Additionally, the results provide actionable information for improving crop yields to mitigate climate risks in Sub-Saharan Africa (SSA). Following this introduction, section two provides a brief description of the study area, section three focuses on data and methods, results and discussions appear in section four, and finally, major findings and conclusions are presented in section five.

2. Study Area

With total drainage area of 2,170,500 km2, the Niger River Basin cuts across all the major agro-climatic and ecological zones of West Africa namely, the Guinean or Equatorial forest zone, the Transitional tropical belt, the Sudan Savanna zone, the Semi-arid or Sahel savanna belt and the Desert ([22]; Figure 1). Our study focused on six locations within the Niger River Basin, namely Dori, Tahoua and Tillabery (within the Sahel zone); Makurdi, (within the Southern Guinea zone); and Samaru and N’Tarla (Northern Guinea zone).
Shared by nine countries (Benin, Burkina Faso, Cameroon, Chad, Cote D`Ivoire, Guinea, Mali, Niger and Nigeria), the Niger River Basin had a population (2005) of 105 million [23]. Seventy percent of the labor force is engaged in subsistence (largely rain fed) agriculture [8,24] and is therefore highly susceptible to climatic variability and change [25]. The major cereal crops grown in the basin in terms of both tonnage and acreage are Maize, Sorghum, Millet, and Rice.

3. Materials and Methods

3.1. AquaCrop Model Description

AquaCrop simulates crop growth based on five major components and their responses to water stress, namely phenology/development, canopy cover, rooting depth, biomass production, and harvest yield [17].
Compared to other process-based crop models {e.g., Environmental Policy Integrated Climate (EPIC), [26] and Decision Support System for Agrotechnology Transfer (DSSAT), [27]}, AquaCrop uses a relatively small number of crop and environmental parameters. The parameters specific to the crop which do not change with time, management practices, geographic location or climate, and cultivar are considered conservative (e.g., base temperature, cut-off temperature, water productivity, canopy growth coefficient). Non-conservative crop parameters (e.g., sowing date, effective rooting depth, and maturity date) are those that change with location and management practices and therefore need to be fine-tuned to local agronomic conditions. The detailed formulation can be found in [17] and [28].
The climatic data required to run AquaCrop include: minimum and maximum air temperature (°C), humidity (%), wind speed (km/day), sunshine (hours), solar radiation (MJ/m2/day), rainfall (mm), and reference evapotranspiration (ETo; mm/day). ETo is derived from FAO Penman–Monteith equation which is embedded in FAO ETo calculator [29]. In this study, two time periods were used: historical time period (1981 or 85 to 2010) for model calibration and the future time period (2021 or 2025 to 2050) for climate change-induced yield estimation. Differences in the reference time periods at some locations are the results of data constraints. Daily rainfall and minimum and maximum temperature data were obtained from the national meteorological agencies of Nigeria, Burkina Faso, Guinea, and Niger and from agricultural research station of N’Tarla in Mali. The relative humidity, solar radiation, sunshine and wind speed were extracted from AgMERRA climate forcing dataset for agricultural forcing (https://data.giss.nasa.gov/impacts/agmipcf/agmerra/), and the future climate projections from CORDEX Africa (http://esg-dn1.nsc.liu.se/esgf-web-fe/). The datasets are available at 0.5 × 0.5 degree resolution for West Africa. The annual CO2 concentration data from Mauna Loa Observatory, Hawaii, is inbuilt into the AquaCrop Model. The historical crop yield data were obtained from various agricultural agencies within the basin (Table 1).

3.2. Climate Scenarios and Bias Correction Technique

To assess the impact of climate change on crop yields, nine general circulation models (GCMs) and one downscaled regional climate model (RCM) were selected. The GCMs/RCM include: CCCma-CanESM2/RCA4; CNRM-CERFACS/RCA4; CSIRO-Mk3-6-0/RCA4; IPSL-CM5A/RCA4; MIROC-MIROC5/RCA4; HadGEM2-ES/RCA4; MPI-ESM/RCA4; GFDL-ESM2M/RCA4; ICHEC-EC-EARTH/RCA4. The resolution of all the models is 0.5° with a baseline period, 1976–2005 and future period, 2021–2050 under RCP4.5 and RCP8.5 scenarios. The selected models have all been shown to have skill in reproducing the key features of the present-day precipitation and temperature over West Africa [30,31].
The projected time series of daily temperatures and total daily precipitation (2021/25–2050) were bias-corrected using the weather station nearest to the downscaled grid cell, following the method described by [32]. For precipitation, the basic steps and assumptions of the method are as follows {interested readers may consult [32] for details}.
  • For each station, the nearest model grid point is identified and used for the bias correction process. This approach has been shown to be superior to averaging multiple grid point time series which degrades the statistics, in particular at the high intensity end of the distribution [33].
  • The bias correction is done separately for each individual month. That is, all daily values corresponding to a given calendar month, for the observed and the historical simulation, over the observational period are collected in two time series of equal length. For example, all the 31 daily precipitation values for the month of January from 1976 to, and including 2005, are used to calculate the January bias correction parameters. The years 1976 to 2005 are used for the bias correction of the stations of Samaru, Tahoua and Dori, while the years 1980 to 2005 are used for Makurdi, N’Tarla, and Tillabery. In each case we used all available observational data. For the analysis of the impact of climate change on crop yield, we used the historical climate data and different historical periods corresponding to the available historical crop yield data for the baseline (1981/85–2010).
  • The two time series are sorted in order of increasing intensity from lowest, generally corresponding to zero precipitation or “dry days”, to most intense. Then the observed time series is plotted against the simulated. The resulting plot is sometimes referred to as the emerging perfect transform function [32] or simply the perfect transform function (PTF). Note that a straightforward plot of the intensity-sorted time series of precipitation yields its cumulative distribution function (CDF). Examples of the PTF for precipitation for June, July and August for selected stations are shown in the bottom panel of Figure 2. A considerable portion of the PTF is contained near the origin (0,0) because the initial sections of the sorted precipitation time series are dominated by zeros. Furthermore, since it is often the case that models have considerably less dry days than the observations and correspondingly more days of light precipitation, the PTFs usually lie along the x-axis close to the origin.
  • The portion of the perfect transform function that lies off the x-axis, is fitted with an analytic function of choice, in this case a first degree polynomial. The fact that we consider only the portion of the PTF that lies off the x-axis is mathematically similar, though not identical, to applying what many authors call a “dry day correction” and is standard practice.
  • The fitted TF can then be used to correct projections of future scenario precipitation values. The corrected values will have, by construction, the same CDF as the observations to the extent that the PTF is well approximated by a first-degree polynomial (Figure 3). In essence, the fact that the nine bias-corrected CDFs in Figure 3 (green lines) are almost perfectly superimposed onto the observed CDF (blue line) while the non-bias-corrected CDFs (red lines) are spread out, shows that the PTF is well approximated by a linear fit.
While the above steps appear straightforward, a number of caveats and limitations are worth noting.
First, the applicability of bias corrected climate projections is limited by the stationarity of the bias itself. Bias is the difference between the statistical distribution of the intensity, or intensity statistics, of observed and simulated variables. The difference between the intensity statistics of observed and simulated precipitation may change in time especially over long periods. Second, the fitting procedure may fail in cases where there are insufficient data points, that is, where there is little precipitation during the time interval chosen to derive the TF. In other instances, the resulting fitted TF may have unrealistic parameters, for example the intercept, or additive correction factor, may be positive. In general, one expects the intercept of a linear bias correction for precipitation to be negative because observations usually have many more dry days compared to simulations. Positive intercepts convert all dry days into wet days, which is both unrealistic and undesirable. To avoid this, a simpler analytical form of the TF is chosen, for example a multiplicative constant may be determined, constraining the TF to pass through the origin.
By comparison, bias correction of Tmax and Tmin is far simpler. The choice of TF is always a first-degree polynomial as there is never a lack of data and the resulting TF is always well constrained (Figure 2 and Figure 3).

3.3. Crop Model Calibration and Evaluation

To calibrate AquaCrop, we followed the procedure described in detail in [21] and [20]. Briefly, the procedure is as follows:
First, for each site the model is run using historical climate data and the same cultivar, time of planting, plant density, soil characteristics, and fertility levels obtained from field experiments. The calibrated model and historical climate data are used to simulate crop yields and then compared with the actual historical yields obtained at the experimental field plots nearest the study location. Calibration involves fine-tuning selected non-conservative model parameters [17,34] to improve the match between observed and simulated yields. The same values of the fine-tuned parameters are used throughout the time series for yield prediction.
Second, we assessed model fidelity between the simulated historical yield and the measured historical yield using the index of agreement (d) which measures the degree to which simulated values, match the observed values, the root mean squared error (RMSE), which is the sum of the differences between simulated and the observed values, the normalized root mean squared error (NRMSE), which is a measure (%) of the relative difference between model simulated and observed values, the mean absolute error (MAE), which summarizes the mean differences or measures the weighted average magnitude of the absolute errors, and the mean bias error (MBE), which is an indicator of whether the model is over or under predicting the observed. Positive values of MBE indicate over prediction while negative values indicate under prediction [35,36].
Third, with the confidence achieved from the simulation of the historical yield, the calibrated model is used without further adjustment to predict the future crop yield to analyze the yield change relative to the historical yield baseline. Note we used ensemble results which is the average of the nine GCMs.

3.4. Climate Change Adaptation and Management Scenarios

Figure 4 shows the possible adaptation scenarios investigated for mitigating the effects of climate change on agricultural production in the Niger Basin. They include:
  • Adjusting sowing dates: Climate change may result in an increase or decrease in the length of the growing season relative to the historical period. We investigate the effects of these changes using three planting windows defined by the FAO crop calendar for the various locations and agro ecological zones. These are: early planting date (EP), mid planting date (MP) and late planting date (LP). Note, EP = 15–25/May, MP = 9–19/June and LP = 9–19/July for Samaru and N’Tarla locations (i.e., Northern Guinea), EP = 15–25/April, MP = 15–25/May, LP = 15–25/June for Makurdi location (i.e., Southern Guinea) while for Dori, Tillabery and Tahoua locations (i.e., Sahelian zone), EP = 1/June, MP = 20/June and LP = 10/July.
  • Increased soil nutrients: AquaCrop does not explicitly consider nutrient cycles or balances. However, soil fertility stress is determined by its expected effect on crop biomass production, using a semi-quantitative assessment to establish the degree of stress resulting from various levels of nutrient deficiency. This approach produces a ratio (Brel). This ratio is calculated as the total dry above ground biomass at the end of the growing season in a field with soil fertility stress (Bstress) divided by the dry above ground biomass at the end of the growing season in a field without soil fertility stress (Bref) [20]. AquaCrop model has four levels of soil fertility: Poor (P), moderate (M), near optimal (NP) and optimal (OP) soil fertility levels corresponding to the nitrogen rates of 0 kg/ha, 60 kg/ha, 90 kg/ha and 120 kg/ha respectively [21]. We have associated these inbuilt soil fertility levels in AquaCrop with the four levels of nitrogen treatments based on the Brel calculated from the various growing seasons and treatments in the experiment (see more details in [21]). We tested the fertility levels for each location. Assuming that climate change reduces crop yields, could an increase in soil fertility compensate for that decrease, ameliorating the impacts of the expected climate change induced yield loss? To investigate this scenario, we simulated future crop yield for the periods 2021/25–2050 for each of the fertility levels and then compared the results with the historical yield.
  • Change in cultivar: We used two cultivars, long duration (V1) and medium duration (V2) cultivars to determine the yield and response of each crop variety to climate change. For adaptation policy formulation, these scenarios will determine the most suitable varieties to be used under changing climate conditions.
Thus, the resulting simulation (Figure 4) integrates all of the above management and adaptation scenarios.

4. Results and Discussion

4.1. Evaluation of the Simulated Crop Yields under the Historical Period

Table 2 and Table 3 present the results of the model evaluation statistics for maize, sorghum, and millet in three agro-ecological zones. In all cases, soil fertility is assumed to be poor so that crop yield is a function of ambient soil fertility status only. The model performance shows a high to poor degree of agreement for maize and sorghum yields (See Table 2). The d-index values show that AquaCrop simulated sorghum and maize yields can be considered good to very good in all ecological zones, except the sorghum yields at Makurdi which are poor. The poor result in terms of d-index shows that the model was unable to capture year-to-year yield variation for this location. The most likely explanation is inadequate calibration due to lack of data on some non-conservative parameters at this site. Additionally, the simulated yields significantly underestimate observed yields between 1999 and 2010, which may suggest increased fertilizer use in the region, but our model was calibrated for poor fertility level. Future average yield was compared with the historical simulated average yield to reduce the effect of model uncertainties in simulating the observed yields. On average, our simulated historical yields are less than 5% higher than the observed (1.501 vs. 1.565 tons/ha), although significant variations between observed and simulated yields occur in some years. For millet, the d-index suggests that the simulated values are moderately good.
The NRMSE results show excellent agreement between the simulated and actual yields for maize at Makurdi and sorghum at Zaria on this indicator, but only good to satisfactory for sorghum at Makurdi and N’Tarla, respectively. Simulated millet yields, on average, are only good to satisfactory across all locations on these statistics. The low MAE values indicate that our results are good across all ecological regions.
The MBE evaluation results presented in Table 2 and Table 3 show that in most cases the model overestimates grain yields of maize, millet, and sorghum. This is not surprising because AquaCrop was designed to simulate potential or achievable yields, i.e., the yields that would be realized under optimum management, a condition rarely satisfied in practice. In all cases the median yield differences between the observed and simulated are between 7–20%, indicating good results.

4.2. Precipitation and Temperature Change in the Niger River Basin

Table 4 summarizes the change in ensemble minimum and maximum temperatures at each study location between future climate and baseline. The ensemble changes are computed as averages across the nine GCM simulations for each of the six locations. The results show that all models are in agreement that the minimum and maximum temperatures in the Niger Basin will be higher in the future, relative to baseline. The result is consistent with the findings of numerous studies (IPCC, 2014, Sultan, et al., 2014) and GCM simulations which consistently find strong agreement in the sign of the change in temperature across West Africa. Second, the change in minimum temperatures will be higher than the change in the maximum. For RCP4.5 the expected change in minimum temperature will be 1 °C, 2 °C and 2.2 °C respectively in southern Guinea, northern Guinea and the Sahel, compared to 1.2 °C, 1.8 °C and 1.8 °C for the maximum temperature change. For RCP8.5 the corresponding values are 1.4 °C, 2.4 °C and 2.6 °C for minimum temperature and 1.4 °C, 2.2 and 2.1 for maximum temperature. Again, these results are in accord with the findings presented in the [39] report.
Table 5 shows the mean annual precipitation changes for each study location for RCP4.5 and RCP8.5 emission scenarios for the period, 2021/25–2050. The range of ensemble means appear in Table 5. Unlike the results for temperature, not all the models agree on the sign of precipitation change across the locations. However, most of the models agree that the precipitation in the Niger Basin will be higher in the future (2021/25–2050) relative to baseline (1981/85–2010). The result is consistent with the findings of other studies [3,30] and GCM simulations which consistently find disagreement in the sign of the change in precipitation across West Africa. For RCP4.5, the projected ensemble change in precipitation will be 4.5%, 11.3% and 8.3% respectively in Southern Guinea, Northern Guinea and the Sahel, compared to 4.4%, 21.0% and 11.5% under RCP8.5. The range of precipitation change across the nine models and six locations varies from −50% to 40%. Again, these results are in accord with the findings presented in the [39] report, [3,26].

4.3. Assessing Climate Change Impact and the Adaptation Options on Cereal Yields

4.3.1. Guinea Agro-Ecological Zones (Southern and Northern Guinea)

(a) Maize
Figure 5 and Figure 6 present the simulated maize ensemble yield change for the future time period, 2025–2050 relative to the baseline period, 1985–2010, for Southern Guinea agro-ecological Zone (illustrated by Makurdi location), under RCP4.5 and RCP8.5 scenarios. The results revealed that under current farmers’ fertilization (0 N kg/ha, denoted as p), the yield for long duration cultivar (V1), and D1 planting date, showed a small but statistically significant (p < 0.001) positive yield change of between 2–4% and 3–4% under RCP4.5 and RCP8.5 scenarios for the future period relative to baseline period. Changing the planting dates (to D2 and D3) and cultivar (to V2) significantly increased grain yield of maize between 4–5% (3–5% for cultivar change) and 4–6% (4–5% for cultivar change) under RCP4.5 and RCP8.5 scenarios respectively, relative to the baseline period 1985–2010 and similar to the results reported by [26]. The results also showed that for both V1 and V2 cultivars, the planting dates of D2 and D3 are viable adaptation options for maize in Southern Guinea (Figure 5a,b and Table 6 and Supplementary Table S1). In fact, planting at D3 significantly (p < 0.001) increased maize yield from 2.1% to 4% under RCP4.5 (see Figure 5a and Figure 6, Table 6). This is because rainfall is well established at the later part of the rainy season in this zone and the length of the rainy season remains unchanged (over 180 days) in this location. The increase in yield is not surprising, considering that the future precipitation will increase by 5% and the corresponding average temperature increase of 1.3° (34 °C) is within the maximum temperature range (30–37 °C) for maize growth [40].
Figure 5a,b showed that increasing soil fertility levels consistently dwarf the negative climatic effect thereby increasing the average yield between 59% and 182% for moderate, near optimal, and optimal soil fertility (see Figure 5 and Figure 6 and Table 6). These results are consistent with the findings of [27]; [41] and [42]. The results also suggest that management factors such as soil fertility have a much larger effect on crop yield than the climatic change factors in the Southern Guinea agro-ecological zone. Somewhat paradoxically, the yields under RCP8.5 were significantly higher than the yields under RCP4.5. The reason may be associated with the fact that the increase in temperature in this zone under RCP8.5 is still within the maximum optimum range for maize growth.
However, the results presented in Figure 5c,d showed a different picture for the Northern Guinea Zone. The maize ensemble yield change results in Figure 5c,d and Figure 7 and Table 7 show a significantly negative yield loss in the future time period, 2021–2050, relative to the baseline period, 1981–2010 under current farmers’ fertilization, planting date and cultivar (V1) for RCP4.5 and RCP8.5 scenarios. The results revealed that the future maize yield will significantly (p < 0.05) decline by 18% and 20%, under RCP4.5 and RCP8.5 scenarios respectively relative to the baseline period, 1981–2010 (see Figure 5c and Figure 8). The average yield decline for V1 cultivar varies between 17% and 19% under RCP4.5 and RCP8.5 scenarios while for V2 cultivar the decline varies between 15% and 19% respectively under RCP4.5 and RCP8.5 scenarios [1,43,44]. There is a significant (p < 0.001) yield change for changing planting dates and cultivar in this location. The yield decline of 18.4% under D1 was significantly reversed to 17.3% and 16.1% under D2 and D3 for RCP4.5 and a yield decline of 18.4% was reduced to 14.4% under V2 (see Figure 5c,d). These results indicate that planting dates (D2 and D3) and cultivar (V2) are also viable and effective adaptation options in the Northern Guinea Zone (see Figure 5c,d, Table 7). This is because the future growing cycle remains over 170 days for the location and planting late does not limit the crop based on growth cycle length. The high temperature increase is the main reason for the yield loss at this location. The adaptation results also revealed that increasing soil fertility from poor fertility to moderate, near optimal and optimal levels significantly reversed the negative yield change for both cultivars under RCP8.5 scenario (see Figure 5c,d and Table 7 and Supplementary Table S2). Again, increasing soil fertility dwarf the negative climatic effect increasing significantly (p < 0.001) the average yield respectively by over 26%, 75% and 125% for moderate fertility (M), near optimal fertility (np), and optimal fertility (op) under RCP8.5 emission scenario. The yields under RCP8.5 were significantly lower than the yields under RCP4.5. We hypothesize that this happens because temperature under RCP8.5 are higher and this zone is already at the maximum optimum temperature range for maize growth.
(b) Sorghum
There is little to no negative impact of climate change on sorghum yields in the Southern Guinea Zone (Figure 9a,b, and Figure 7 and Table 6). Still, changing planting date from D1 to D2 and D3 and cultivar from V1 to V2 moderately but significantly (p < 0.05) increased sorghum grain yields at this location (Figure 9a,b, Table 6). The most dramatic yield change (60 to 208%) is achieved by increasing soil fertility from poor to optimal (Figure 9a,b, and Table 6).
In Northern Guinea Zone, sorghum yield changes are mostly negative (−2 to −10%) for the future time period under poor fertility level. For both cultivars the median yield decreased by between 2 and 8% and 3 and 10% under RCP4.5 and RCP8.5 scenarios respectively. There is no statistically significant difference in ensemble sorghum yield change between cultivars (V1 vs. V2). However, changing planting dates from D1 to D2 and D3 in this zone (Figure 9c–f and Figure 10) significantly improved sorghum yields. There is a small but statistically insignificant difference in yield between D2 and D3 planting dates. Overall, the impact of climate change on sorghum yield is much smaller at the N’Tarla location compared to the Samaru location. This suggests that even within the same ecological zone, crop response to climate change may vary (see Figure 9 and Supplementary Figure S3). Increasing the soil fertility from poor to moderate improved yields from −10% to 44%. The yields increased further still to 165% at optimal fertilizer level (Figure 9e,f).

4.3.2. Sahelian Agroecological Zone

Millet
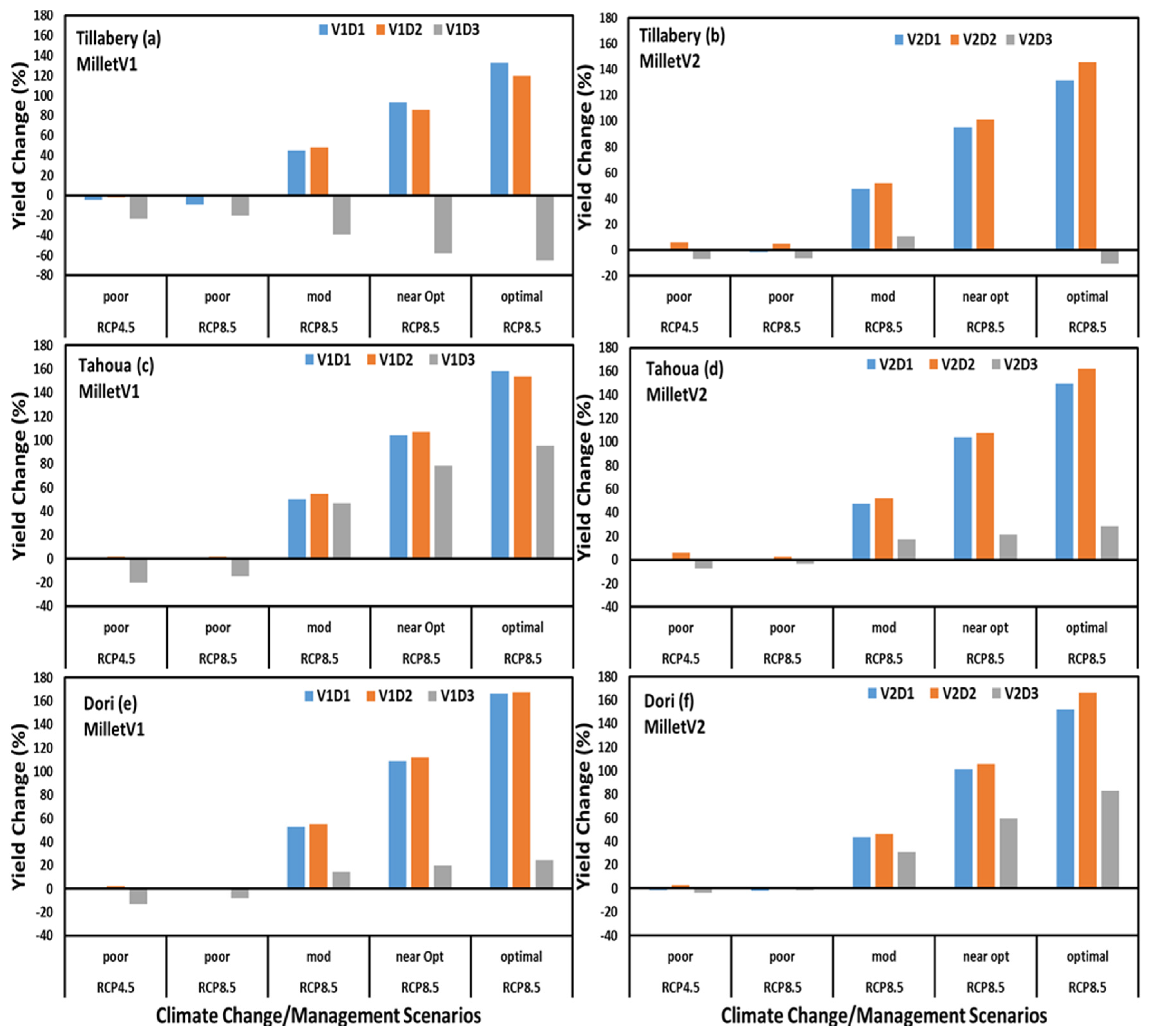
Figure 11 presents the simulated millet ensemble grain yield change for the Sahelian agro-ecological zone (Illustrated by Dori, Tahoua and Tillabery locations). The results show that projected temperature and precipitation changes have little to no impact on millet yield in the Sahel locations except for Tillabery location (see Figure 12 and Supplementary Figures S4 and S5). Even so, changing millet cultivar (to V2) will lead to a 5% improvement in millet yields for mid planting date under RCP4.5 (See Figure 11 and Figure 12 and Supplementary Figure S5 and Table S3). Changing planting dates has only a moderate impact on yield except for D3, which results in a 20% yield loss due to the very short growing season in the Sahel (see also [3,45]). Finally, as with other crops in all zones, raising soil fertility from poor to moderate and optimal improves millet yields by 40% and 126% under RCP8.5.

5. Conclusions

Analyses of climate change impacts consistently show that cereal yields may decrease by as much as 10% by the middle of this century in semi-arid West Africa. Yet, studies also suggest that much of the yield loss can be mitigated using adaptation measures. In this paper, we used an ensemble of nine bias-corrected GCMs downscaled with one regional climate model to assess cereal yield response to RCP4.5 and RCP8.5 scenarios at six locations in three agro-ecological zones in the Niger River Basin. We used AquaCrop process-based crop model for yield prediction and investigated the effects of changing sowing dates, cultivar, and fertility treatment on yield change. The major findings are the following:
  • There is strong consensus among all models that mean surface temperature in the Niger Basin will increase by between 1.3 °C and 2.3 °C in the Southern Guinea Zone and the Northern Guinea Zone respectively.
  • The average ensemble Basin rainfall shows an increase of about 5% for Southern Guinea Zone, 10–20% for Northern Guinea Zone, and 10–15% for the Sahelian zone although there is much less agreement among the models across the locations.
  • Climate change effects on maize and sorghum yields are mostly positive (2–6% increase) in the Southern Guinea Zone whereas in the Northern Guinea Zone it is mostly negative (7–20% decrease). Despite increased rainfall, millet yield at the Sahelian Zone generally showed no change under current farmers’ level of fertilization, except at Tillabery where a future yield decrease of up to 10% occurred.
  • Changing planting dates results in significant positive yield change in all agro-ecological zones except for the Sahelian zone where delaying planting to late planting date (D3) leads to crop failures. In addition, changing crop cultivar results in significant positive yield change in all agro-ecological zones.
  • Increasing soil fertility is the single most important adaptation farmers in the Niger Basin can make in response to climate change. For all crops and zones investigated, crop yields increased by 20%, 70%, and 180% for moderate fertility, near optimal fertility and optimal fertility under 8.5 scenarios for both cultivars, and planting dates.
  • Finally, the effects of climate change on crop yields are considerable and pose serious risks not just to farmers but regional food security, especially given rapidly growing population in West Africa which necessitates increasing food production several folds. Ultimately, the solution lies in mitigating the causes of climate change. In the meantime, this study suggests that yield losses can be substantially alleviated through several adaptation measures, notably changing planting dates, changing crop cultivars and most importantly, increasing fertilizer use on farms. These changes are well within the ability of policy makers and a majority of smallholder farmers.
This research has significant implication for agricultural management in that it paves the way for proactive planning regarding projected climate changes and impending impacts on the food security of the region. Our next step is to use an ensemble of crop and climate models to assess the projected impact of climate change and adaptation options at each grid cell in the Basin for various crops to obtain more robust results.

Supplementary Materials

The following are available online at https://www.mdpi.com/2073-4395/8/2/11/s1. Figure S1: Cereals yield (a,b) and population (c) trend comparison. Source: FAOSTAT, 2017; Figure S2: Decreasing rainfall (a) and increasing yields (b) at Dori in Burkina Faso; Figure S3: NTarla sorghum yield ensemble (9 GCMs) under rcp4.5 and 8.5 for future period, 2021/25-2050 relative to the baseline periods, 1981/85-2010; Figure S4: Tillabery millet yield ensemble (9 GCMs) under rcp4.5 and 8.5 for future period, 2021/25-2050 relative to the baseline period, 1981/85-2010; Figure S5: Dori millet yield ensemble (9 GCMs) under rcp4.5 and 8.5 for future period, 2021/25-2050 relative to the baseline period, 1981/85-2010; Table S1: Southern Guinea Savanna (Makurdi) average simulated maize and sorghum grain yield change for the future period (2025-2050) relative to the historical period (1985-2010); Table S2: Northern Guinea Savanna (Samaru illustrated) average simulated maize and sorghum grain yield change for the future period (2021-2050) relative to the current period (1981-2010); Table S3: Sahelian zone (Dori and Tahoua illustrated) average simulated millet grain yield change for the future period (2021-2050) relative to the current period (1981-2010).

Acknowledgments

We acknowledge the Institute for Agricultural Research, Ahmadu Bello University (I.A.R/ABU) Zaria, and Kaduna Agricultural Development Project, Benue Agricultural and Rural Development Authority (BNARDA); Center for Agriculture, Hydrology, Meteorology (AGRHYMET); Agricultural Research Station of the Institut D’Economie Rurale (IER), N’Tarla, Mali; Food and Agriculture Organization of the United Nations (FAO); AgMERRA and CORDEX Africa for providing meteorological, crop and soil data analyzed in this study. The authors are grateful to O. Ogunsola (University of Oklahoma), Mrs Beida Lele (University of Oklahoma), B. Dogo (Kaduna State University, Nigeria), E. H. Abdou (University of Oklahoma), T. Yami (University of Oklahoma), and N. Adikuru (Federal University of Technolgy, Owerri, Nigeria) for their valuable input in the data analysis and proof reading of the manuscript. We thank also the two anonymous reviewers whose extensive review and edits greatly improved the paper.

Author Contributions

Ado A. Yusuf and Bouba Traore conceived and designed the experiments and provided the crop and climate data; Uvirkaa Akumaga and Claudio Piani analyzed the data; Aondover Tarhule contributed materials/analysis tools; Uvirkaa Akumaga wrote the paper and Aondover Tarhule reviewed the paper.

Conflicts of Interest

The authors declare no conflict of interest.

References

  1. Schlenker, W.; Lobell, D.B. Robust negative impacts of climate change on African agriculture. Environ. Res. Lett. 2010, 5, 1–8. [Google Scholar] [CrossRef]
  2. Rosenzweig, C.; Elliott, J.; Deryng, D.; Ruane, A.C.; Muller, C.; Arneth, A.; Boote, K.J.; Folberth, C.; Glotter, M.; Khabarov, N.; et al. Assessing agricultural risks of climate change in the 21st century in a global gridded crop model intercomparison. Proc. Natl. Acad. Sci. USA 2013, 111, 3268–3273. [Google Scholar] [CrossRef] [PubMed]
  3. Sultan, B.; Guan, K.; Kouressy, M.; Biasutti, M.; Piani, C.; Hammer, G.L.; McLean, G.; Lobell, D.B. Robust features of future climate change impacts on sorghum yields in West Africa. Environ. Res. Lett. 2014, 9, 1–13. [Google Scholar] [CrossRef]
  4. International Food Policy Research Institute (IFPRI). Climate Change: Impact on Agriculture and Costs of Adaptation; International Food Policy Research Institute: Washington, DC, USA, 2009; pp. 1–16. [Google Scholar]
  5. Müller, C.; Bondeau, A.; Popp, A.; Waha, K.; Fader, M. Climate Change Impacts on Agricultural Yields. Background Note to the World Development Report 2010; Potsdam Institute for Climate Impact Research: Potsdam, Germany, 2010. [Google Scholar]
  6. Thornton, P.K.; Jones, P.G.; Ericksen, P.J.; Challinor, A.J. Agriculture and food systems in sub-Saharan Africa in a 4 °C+ world. Philos. Trans. R. Soc. A 2011, 369, 117–136. [Google Scholar] [CrossRef] [PubMed]
  7. Sanchez, P.A. Tripling crop yields in tropical Africa. Nat. Geosci. 2010, 3, 299–300. [Google Scholar] [CrossRef]
  8. Knox, J.; Hess, T.; Daccache, A.; Wheeler, T. Climate Change impacts on crop productivity in Africa and South Asia. Environ. Res. Lett. 2012, 7, 1–8. [Google Scholar] [CrossRef]
  9. FAO. FAO Statistics. 2017. Available online: http://www.fao.org (accessed on 7 February 2017).
  10. FAO. The State of Food Insecurity in the World: Eradicating World Hunger-Taking Stock Ten Years after the World Food Summit; FAO: Rome, Italy, 2006; pp. 4–41. [Google Scholar]
  11. UN (United Nations, Department of Economic and Social Affairs, Population Division). World Population Prospects: The 2012 Revision, Key Findings and Advance Tables; Working Paper No. ESA/P/WP.227; United Nations: New York, NY, USA, 2013; pp. 1–50. [Google Scholar]
  12. Rockström, J.; Falkenmark, M. Comment on increasing water harvesting in Africa: Meeting global food needs requires strategies for storing rainwater and retaining soil moisture to bridge dry spells. Nature 2015, 519, 283–285. [Google Scholar] [CrossRef] [PubMed]
  13. Tingem, M.; Rivington, M. Adaptation for crop agriculture to climate change in Cameroon: Turning on the heat. Mitig. Adapt. Strateg. Glob. Chang. 2009, 14, 153–168. [Google Scholar] [CrossRef]
  14. Lahmar, R.; Bationo, B.D.; Lamso, D.; Guero, Y.; Tittonell, P. Tailoring conservation agriculture technologies to West African semi-arid zones: Building on traditional local practices for soil restoration. Field Crop. Res. 2012, 132, 158–167. [Google Scholar] [CrossRef]
  15. Blanc, E. The impact of climate change on crop yields in Sub-Saharan Africa. Am. J. Clim. Chang. 2012, 1, 1–13. [Google Scholar] [CrossRef]
  16. Challinor, A.J.; Wtson, J.; Lobell, D.B.; Howden, S.M.; Smith, D.R.; Chhetri, N. A meta-analysis of crop yield under climate change and adaptation. Nat. Clim. Chang. 2014, 4, 287–291. [Google Scholar] [CrossRef]
  17. Raes, D.; Steduto, P.; Hsiao, T.C.; Fereres, E. AquaCrop—The FAO crop model to simulate yield response to water: II. Main Algorithms and Software description. Agron. J. 2009, 101, 438–447. [Google Scholar] [CrossRef]
  18. Hsiao, T.C.; Heng, L.K.; Steduto, P.; Rojas, B.; Raes, D.; Fereres, E. AquaCrop—The FAO crop model to simulate yield response to water: III. Parameterization and testing for maize. Agron. J 2009, 101, 448–459. [Google Scholar] [CrossRef]
  19. Araya, A.; Kaesstra, S.D.; Stroosnijder, L. Simulating yield response to water of Teff (Eragrostis tef) with FAO’s AquaCrop model. Field Crop. Res. 2010, 116, 196–204. [Google Scholar] [CrossRef]
  20. Van Gaelen, H.; Tsegay, A.; Delbecque, N.; Shrestha, N.; Garcia, M.; Fajardo, H.; Miranda, R.; Vanuytrecht, E.; Abrha, B.; Dies, J.; et al. Semi-quantitative approach for modelling crop response to soil fertility: Evaluation of the AquaCrop procedure. J. Agric. Sci. 2015, 153, 1218–1233. [Google Scholar] [CrossRef]
  21. Akumaga, U.; Tarhule, A.; Yusuf, A.A. Validation and testing of the FAO AquaCrop model under different levels of nitrogen fertilizer on rainfed maize in Nigeria, West Africa. Agric. For. Meteorol. 2017, 232, 225–234. [Google Scholar] [CrossRef]
  22. Tarhule, A.; Zume, J.T.; Grijsen, J.; Talbi-Jordan, A.; Guero, A.; Dessouassi, R.Y.; Doffou, H.; Kone, S.; Coulibaly, B.; Harshadeep, N.R. Exploring temporal hydroclimatic variability in the Niger Basin (1901–2006) using observed and gridded data. Int. J. Climatol. 2015, 35, 520–539. [Google Scholar] [CrossRef]
  23. Andersen, I.; Dione, O.; Jarosewich-Holder, M.; Olivry, J.C. The Niger River Basin: A Vision for Sustainable Management; Golitzen, K.G., Ed.; World Bank: Washington, DC, USA, 2005; Available online: www.worldbank.org (accessed on 12 August 2017).
  24. Tarhule, A. Climate Change Adaptation in Developing Countries: Beyond Rhetoric. In Climate Variabilty: Some Aspects, Challenges and Prospects; Hannachi, A., Ed.; InTech: Croatia, Balkans, 2011. [Google Scholar]
  25. Tarhule, A.; Saley-Bana, Z.; Lamb, P.J. Rainwatch: A Prototype GIS for Rainfall Monitoring in West Africa. Bull. Am. Meteorol. Soc. 2009, 90, 1607–1614. [Google Scholar] [CrossRef]
  26. Adejuwon, J.O. Food crop production in Nigeria II. Potentials effects of climate change. Clim. Res. 2006, 32, 229–245. [Google Scholar]
  27. Jalloh, A.; Nelson, G.C.; Thomas, T.S.; Zougmore, R.; Roy-Macauley, H. (Eds.) West African Agriculture and Climate Change: A Comprehensive Analysis; International Food Policy Research Institute: Washington, DC, USA, 2013; pp. 1–363. [Google Scholar]
  28. Steduto, P.; Hsiao, T.C.; Raes, D.; Fereres, E. AquaCrop—The FAO crop model to simulate yield response to water: I. Concepts and underlying principles. Agron. J. 2009, 101, 426–437. [Google Scholar]
  29. FAO. The ETo Calculator: Reference Manual, Version 3.2. 2012. Available online: http://www.fao.org/nr/water/docs/ReferenceManualV32.pdf (accessed on 30 April 2014).
  30. Nikulin, G.; Jones, C.; Giorgi, F.; Asrar, G.; Buchner, M.; Cerezo-Mota, R.; Christensen, O.B.; Deque, M.; Fernandez, J.; Hansler, A.; et al. Precipitation climatology in an ensemble of CORDEX-Africa Regional climate simulation. J. Clim. 2012, 25, 6057–6078. [Google Scholar] [CrossRef]
  31. Gbobaniyi, E.; Sarr, A.; Sylla, M.B.; Diallo, I.; Lennard, C.; Dosio, A.; Dhiediou, A.; Kamga, A.; Klutse, N.A.B.; Hewitson, B. Climatology, annual cycle and interannual variability of precipitation and temperature in CORDEX simulations over West Africa. Int. J. Climatol. 2014, 34, 2241–2257. [Google Scholar] [CrossRef]
  32. Piani, C.; Weedon, G.P.; Best, M.; Gomes, S.M.; Viterbo, P.; Hagemann, S.; Haerter, J.O. Statistical bias correction of global simulated daily precipitation and temperature for the application of hydrological models. J. Hydrol. 2010, 395, 199–215. [Google Scholar] [CrossRef]
  33. Haerter, J.O.; Eggert, B.; Moseley, C.; Piani, C.; Berg, P. Statistical precipitation bias correction of gridded model data using point measurements. Geophys. Res. Lett. 2015, 42, 1919–1929. [Google Scholar] [CrossRef]
  34. Heng, L.K.; Evett, S.R.; Howell, T.A.; Hsiao, T.C. Validating the FAO AquaCrop model for irrigated and water deficit field Maize. Agron. J. 2009, 101, 488–498. [Google Scholar] [CrossRef]
  35. Willmott, C.J. On the validation of models. Phys. Geogr. 1981, 2, 184–194. [Google Scholar]
  36. Willmott, C.J. Some comments on the evaluation of model performance. Bull. Am. Meteorol. Soc. 1982, 63, 1309–1313. [Google Scholar] [CrossRef]
  37. Jamieson, P.D.; Porter, J.R.; Wilson, D.R. A test of the computer simulation model ARC-WHEAT1 on wheat crops grown in New Zealand. Field Crop. Res. 1991, 27, 337–350. [Google Scholar] [CrossRef]
  38. Singh, J.; Knapp, H.V.; Demissie, M. Hydrologic Modeling of the Iroquois River Watershed Using HSPF and SWAT; ISWS CR 2004-08; Illinois State Water Survey: Champaign, IL, USA, 2004. [Google Scholar]
  39. IPCC. Climate Change 2014: Synthesis Report. Contribution of Working Groups I, II, III to the Fifth Assessment Report of the Intergovernmental Panel on Climate Change; Cambridge University Press: Cambridge, UK, 2014. [Google Scholar]
  40. Washington, R.; Hawcroft, M. Climate Change in West African Agriculture: Recent Trends, Current Projections, Crop—Climate Suitability, and Prospects for Improved Climate Model Information; CGIAR Research Program on Climate Change, Agriculture and Food Security (CCAFS): Copenhagen, Denmark, 2012; Volume 303. [Google Scholar]
  41. Butt, T.A.; McCarl, B.A.; Angerer, J.; Dyke, P.T.; Stuth, J.W. The economic and food security implications of climate change in Mali. Clim. Chang. 2005, 68, 355–378. [Google Scholar] [CrossRef]
  42. Rockstrom, J.; Hatibu, N.; Oweis, T.; Wani, S.P. Managing water in rainfed agriculture. In Water for Food, Water for Life: A Comprehensive Assessment of Water Management in Agriculture; Molden, D., Ed.; International Water Management Institute (IWMI): Colombo, Sri Lanka, 2007; pp. 315–348. [Google Scholar]
  43. Jones, P.G.; Thornton, P.K. The potential impacts of climate change on maize production in Africa and Latin America in 2055. Glob. Environ. Chang. 2003, 13, 51–59. [Google Scholar] [CrossRef]
  44. Roudier, P.; Sultan, B.; Quirion, P.; Berg, A. The impact of future climate change on West African crop Yields: What does the recent literature say? Glob. Environ. Chang. 2011, 21, 1073–1083. [Google Scholar] [CrossRef]
  45. Traore, B.; Decheemaeker, K.; Van Wijk, M.T.; Corbeels, M.; Supit, I.; Giller, K.E. Modelling cereal crops to assess future climate risk for family food self-sufficiency in Southern Mali. Field Crop. Res. 2017, 201, 133–145. [Google Scholar] [CrossRef]
Figure 1. The location of the Niger Basin in West Africa showing study locations (red dots) and agro-ecological zones.
Figure 1. The location of the Niger Basin in West Africa showing study locations (red dots) and agro-ecological zones.
Agronomy 08 00011 g001
Figure 2. Bias correction transform functions for temperature (top panels) and precipitation (bottom panels).
Figure 2. Bias correction transform functions for temperature (top panels) and precipitation (bottom panels).
Agronomy 08 00011 g002
Figure 3. Cumulative distribution functions (CDFs) for the N’Tarla station. Minimum daily temperatures are in the top panel while precipitation values are in the bottom. Red CDFs are raw model data, green CDFs are bias corrected and blue CDFs are observed.
Figure 3. Cumulative distribution functions (CDFs) for the N’Tarla station. Minimum daily temperatures are in the top panel while precipitation values are in the bottom. Red CDFs are raw model data, green CDFs are bias corrected and blue CDFs are observed.
Agronomy 08 00011 g003
Figure 4. Flowchart showing the various climate change adaptation scenarios. Note, EP = early planting (D1); MP = mid planting (D2); LP = late planting (D3); V1 = long duration (110–125 DAP); V2 = medium duration cultivar (105–110); Mod = moderate fertility; Nopt = near optimal fertility; and Opt = optimal fertility. Note: Sorghum V1 = 130–145 DAP; V2 = 110–125, DAP.
Figure 4. Flowchart showing the various climate change adaptation scenarios. Note, EP = early planting (D1); MP = mid planting (D2); LP = late planting (D3); V1 = long duration (110–125 DAP); V2 = medium duration cultivar (105–110); Mod = moderate fertility; Nopt = near optimal fertility; and Opt = optimal fertility. Note: Sorghum V1 = 130–145 DAP; V2 = 110–125, DAP.
Agronomy 08 00011 g004
Figure 5. Maize yield ensemble (9 GCMs) change under RCP4.5 and 8.5 scenarios for future period, 2021/25–2050 relative to the baseline period, 1981/85–2010.
Figure 5. Maize yield ensemble (9 GCMs) change under RCP4.5 and 8.5 scenarios for future period, 2021/25–2050 relative to the baseline period, 1981/85–2010.
Agronomy 08 00011 g005
Figure 6. Makurdi maize yield ensemble (9 GCMs) for poor fertility under RCP4.54.5 and 8.5 for future period, 2021/25–2050 relative to the baseline period, 1981/85–2010.
Figure 6. Makurdi maize yield ensemble (9 GCMs) for poor fertility under RCP4.54.5 and 8.5 for future period, 2021/25–2050 relative to the baseline period, 1981/85–2010.
Agronomy 08 00011 g006
Figure 7. Makurdi sorghum yield ensemble (9 GCMs) for poor fertility under RCP4.5 and 8.5 for future period, 2021/25–2050 relative to the baseline periods, 1981/85–2010.
Figure 7. Makurdi sorghum yield ensemble (9 GCMs) for poor fertility under RCP4.5 and 8.5 for future period, 2021/25–2050 relative to the baseline periods, 1981/85–2010.
Agronomy 08 00011 g007
Figure 8. Samaru maize yield ensemble (9 GCMs) for poor fertility under RCP4.5 and 8.5 for future period, 2021/25–2050 relative to the baseline period, 1981/85–2010.
Figure 8. Samaru maize yield ensemble (9 GCMs) for poor fertility under RCP4.5 and 8.5 for future period, 2021/25–2050 relative to the baseline period, 1981/85–2010.
Agronomy 08 00011 g008
Figure 9. Sorghum yield ensemble (9 GCMs) change under RCP4.5 and 8.5 scenarios for future period, 2021/25–2050 relative to the baseline period, 1981/85–2010.
Figure 9. Sorghum yield ensemble (9 GCMs) change under RCP4.5 and 8.5 scenarios for future period, 2021/25–2050 relative to the baseline period, 1981/85–2010.
Agronomy 08 00011 g009
Figure 10. Samaru sorghum yield ensemble (9 GCMs) poor fertility under RCP4.5 and 8.5 for future period, 2021/25–2050 relative to the baseline period, 1981/85–2010.
Figure 10. Samaru sorghum yield ensemble (9 GCMs) poor fertility under RCP4.5 and 8.5 for future period, 2021/25–2050 relative to the baseline period, 1981/85–2010.
Agronomy 08 00011 g010
Figure 11. Millet yield ensemble (9 GCMs) change under RCP4.5 and 8.5 scenarios for future period, 2021/25–2050, relative to the baseline period, 1981/85–2010.
Figure 11. Millet yield ensemble (9 GCMs) change under RCP4.5 and 8.5 scenarios for future period, 2021/25–2050, relative to the baseline period, 1981/85–2010.
Agronomy 08 00011 g011
Figure 12. Tahoua millet yield ensemble (9 GCMs) for poor fertility under RCP4.5 and 8.5 for future period, 2021/25–2050 relative to the baseline period, 1981/85–2010.
Figure 12. Tahoua millet yield ensemble (9 GCMs) for poor fertility under RCP4.5 and 8.5 for future period, 2021/25–2050 relative to the baseline period, 1981/85–2010.
Agronomy 08 00011 g012
Table 1. Crop data sources.
Table 1. Crop data sources.
Study SiteAgroecologicalData SourcePeriod
MakurdiSouthern GuineaBNARDA1985–2010
SamaruNorthern GuineaI.A.R/ABU Zaria/KADP1980–2010
N’TarlaNorthern GuineaIER NTarla1985–2010
Tillabery and TahouaSahelAGRHYMET1980–2010
DoriSahelFAO1980–2010
Note: Institute for Agricultural Research, Ahmadu Bello University (I.A.R/ABU) Zaria/Kaduna State Agricultural Development Project (KADP); Benue Agricultural and Rural Development Authority (BNARDA); Center for Agriculture, Hydrology, Meteorology (AGRHYMET); Agricultural Research Station of the Institut D’Economie Rurale (IER), N’Tarla, Mali, and Food and Agriculture Organization of the United Nations (FAO).
Table 2. Model evaluation statistics for maize and sorghum based on poor soil fertility, 1981/85–2010.
Table 2. Model evaluation statistics for maize and sorghum based on poor soil fertility, 1981/85–2010.
StatisticsMakurdi (BNARDA vs. Simulated) Southern GuineaSamaru (KADP vs. Simulated) Northern GuineaN’Tarla (N’Tarla vs. Simulated) Northern Guinea
Sorghum YMaize YSorghum YMaize YSorghum Y
d0.3790.9780.8580.8210.948
RMSE, t ha−10.2910.0960.3750.2100.355
NRMSE (%)19.4047.5316.92113.94420.622
MAE, t ha−10.2550.0850.0760.1660.283
MBE, t ha−10.0640.005−0.0120.091−0.058
Ratings are: Excellent, NRMSE < 10% of mean observed; Good, 10% < NRMSE < 20%; Satisfactory, 20% < NRMSE < 30%; Unsatisfactory, NRMSE > 30% {Threshold based on the recommendation by [37] and [38]}. Very good, d ≥ 0.9; Good, d ranges between 0.80–0.89; Moderate good, d ranges between 0.65–0.79; Moderate poor, d ranges between 0.50–0.64; Poor, d ranges between 0.25–0.49; Very poor, d < 0.25 (Threshold based on AquaCrop version 5.0 model’s evaluation, p. 45).
Table 3. Model evaluation statistics for millet based on poor soil fertility, 1981/85–2010.
Table 3. Model evaluation statistics for millet based on poor soil fertility, 1981/85–2010.
StatisticsDori (FAO vs. Simulated) Sahelian ZoneTahoua (Agryhmet vs. Simulated) Sahelian ZoneTillabery (Agryhmet vs. Simulated) Sahelian Zone
Millet YieldMillet YieldMillet Yield
d0.7580.7400.731
RMSE, t ha−10.1310.0630.071
NRMSE (%)21.41215.77617.348
MAE, t ha−10.1130.0420.0567
MBE, t ha−1−0.0110.007 0.026
Ratings are: Excellent, NRMSE < 10%; Good, 10% < NRMSE < 20%; Satisfactory, 20% < NRMSE < 30%; Unsatisfactory, NRMSE > 30% {Threshold based on the recommendation by [37] and [38]}. Very good, d ≥ 0.9; Good, d ranges between 0.80–0.89; Moderate good, d ranges between 0.65–0.79; Moderate poor, d ranges between 0.50–0.64; Poor, d ranges between 0.25–0.49; Very poor, d < 0.25 (Threshold based on AquaCrop version 5.0 model’s evaluation, p. 45).
Table 4. Multi model ensemble temperature change relative to the baseline, 1976/80-2005.
Table 4. Multi model ensemble temperature change relative to the baseline, 1976/80-2005.
Agroecological ZoneLocationTmin Ensemble Change (°C)Tmax Ensemble Change (°C)Period
RCP4.5RCP8.5RCP4.5RCP8.5
Southern GuineaMakurdi1.11.41.21.42025–2050
Northern GuineaSamaru2.52.91.82.22021–2050
N’tarla1.51.91.82.32025–2050
Sahelian ZoneTillabery1.72.11.82.22025–2050
Tahoua2.42.91.82.12021–2050
Dori2.42.91.82.12021–2050
Table 5. Multi model ensemble precipitation change relative to the baseline, 1976/80-2005.
Table 5. Multi model ensemble precipitation change relative to the baseline, 1976/80-2005.
Agro-ecological ZoneLocationPCP Ensemble Change (%)PCP Change (%) Range by Nine ModelsPeriod
RCP4.5RCP8.5RCP4.5RCP8.5
Southern GuineaMakurdi4.54.4−7 to +22−8 to +282025–2050
Northern GuineaSamaru10.515.42 to 294 to 342021–2050
N’tarla12.026.53 to 282 to 332025–2050
Sahelian ZoneTillabery2.02.8−52 to 33−50 to 342025–2050
Tahoua12.518.76 to 313 to 402021–2050
Dori10.312.9−12 to 20−0.2 to 222021–2050
Table 6. Southern Guinea Savanna (Makurdi) average simulated maize and sorghum grain yield change for the future period (2025–2050) relative to the historical period (1985–2010).
Table 6. Southern Guinea Savanna (Makurdi) average simulated maize and sorghum grain yield change for the future period (2025–2050) relative to the historical period (1985–2010).
MaizeClimate ScenariosClimate ScenariosSorghumClimate ScenariosClimate Scenarios
AdaptationFactorBaselineRcp4.5Y∆ (%)Rcp8.5Y∆ (%)BaselineRcp4.5Y∆ (%)Rcp8.5Y∆ (%)
FertilityP1.281.333.71.333.91.581.643.31.622.5
M***2.0358.8***2.5661.9
NP***2.82120.0***3.60127.4
OP***3.62182.9***4.81203.6
CultivarV11.281.323.11.333.91.571.623.21.602.0
V21.281.344.71.344.71.601.653.31.653.0
Planting DD11.281.323.11.333.91.581.590.31.580.0 a
D21.281.333.91.333.91.581.654.21.633.2
D31.281.344.71.333.91.581.675.51.654.3
Note: * indicates no scenarios investigated. All results are significant at p < 0.05, except a.
Table 7. Northern Guinea Savanna (Samaru) average simulated maize and sorghum grain yield change for the future period (2021–2050) relative to the historical period (1981–2010).
Table 7. Northern Guinea Savanna (Samaru) average simulated maize and sorghum grain yield change for the future period (2021–2050) relative to the historical period (1981–2010).
MaizeClimate ScenariosClimate ScenariosSorghumClimate ScenariosClimate Scenarios
FactorBaselineRcp4.5Y∆ (%)Rcp8.5Y∆ (%)BaselineRcp4.5Y∆ (%)Rcp8.5Y∆ (%)
P1.631.36−16.31.33−18.11.3801.272−7.81.252−9.3
M***2.0526.0***1.98343.7
NP***2.8474.6***2.774101.1
OP***3.66125.0***3.659165.2
V11.631.35−17.31.33−18.21.3621.264−7.21.240−9.0
V21.631.38−15.41.34−17.91.3971.281−8.31.264−9.5
D11.631.36−16.41.31−19.61.3801.251−9.31.231−10.8
D21.631.35−17.11.33−18.51.3801.280−7.21.252−9.3
D31.631.38−15.41.37−16.01.3801.285−6.81.273−7.7
Note: * indicates no scenarios investigated. All results are significant at p < 0.05.

Share and Cite

MDPI and ACS Style

Akumaga, U.; Tarhule, A.; Piani, C.; Traore, B.; Yusuf, A.A. Utilizing Process-Based Modeling to Assess the Impact of Climate Change on Crop Yields and Adaptation Options in the Niger River Basin, West Africa. Agronomy 2018, 8, 11. https://doi.org/10.3390/agronomy8020011

AMA Style

Akumaga U, Tarhule A, Piani C, Traore B, Yusuf AA. Utilizing Process-Based Modeling to Assess the Impact of Climate Change on Crop Yields and Adaptation Options in the Niger River Basin, West Africa. Agronomy. 2018; 8(2):11. https://doi.org/10.3390/agronomy8020011

Chicago/Turabian Style

Akumaga, Uvirkaa, Aondover Tarhule, Claudio Piani, Bouba Traore, and Ado A. Yusuf. 2018. "Utilizing Process-Based Modeling to Assess the Impact of Climate Change on Crop Yields and Adaptation Options in the Niger River Basin, West Africa" Agronomy 8, no. 2: 11. https://doi.org/10.3390/agronomy8020011

APA Style

Akumaga, U., Tarhule, A., Piani, C., Traore, B., & Yusuf, A. A. (2018). Utilizing Process-Based Modeling to Assess the Impact of Climate Change on Crop Yields and Adaptation Options in the Niger River Basin, West Africa. Agronomy, 8(2), 11. https://doi.org/10.3390/agronomy8020011

Note that from the first issue of 2016, this journal uses article numbers instead of page numbers. See further details here.

Article Metrics

Back to TopTop