Effects of Maize Residue Biochar Amendments on Soil Properties and Soil Loss on Acidic Hutton Soil
Abstract
1. Introduction
2. Materials and Methods
2.1. Soil and Biochar Preparation
2.2. Experimental Design, Treatments, and Incubation Procedure
Incubation Experiment
2.3. Soil and Biochar Analysis
2.4. Soil Loss
2.5. Statistical Analysis
3. Results and Discussion
3.1. Biochar and Soil Properties
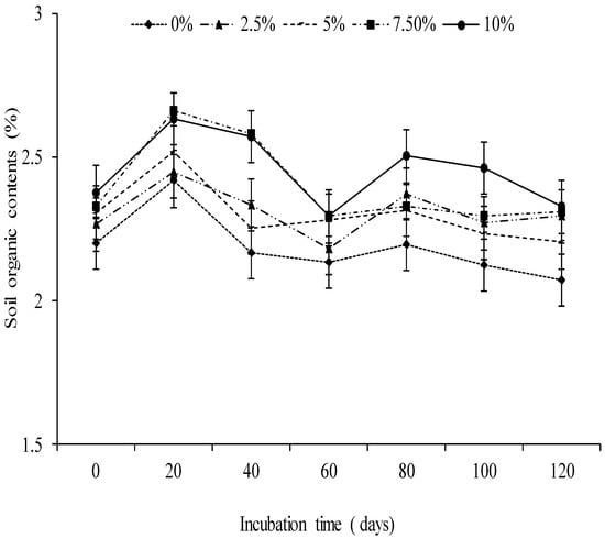
3.2. Effects of Biochar on Chemical Properties
3.3. Effects of Biochar on Physical Properties
4. Conclusions
Author Contributions
Funding
Conflicts of Interest
References
- Fox, R.C.; Rowntree, K.M. Redistribution, restitution and reform: Prospects for the land in the Eastern Cape Province, South Africa. In Land Degradation; Conacher, A.J., Ed.; Kluwer Academic Publishers: Dordrecht, The Netherlands, 2001. [Google Scholar]
- Hoffman, M.T.; Ashwell, A. Nature Divided: Land Degradation in South Africa. 1-168; University of Cape Town Press: Cape Town, South Africa, 2001. [Google Scholar]
- Le Roux, J.J. Monitoring Soil Erosion in South Africa at a Regional Scale; ARC-ISCW Report No GW/A/2011/23 Project GW 59/004 Task 50 FEBRUARY; ARC-Institute for Soil, Climate and Water: Pretoria, South Africa, 2011. [Google Scholar]
- Barnard, R.O.; du Preez, C.C. Soil fertility in South Africa: The last twenty-five years. S. Afr. J. Plant Soil 2004, 21, 301–315. [Google Scholar] [CrossRef]
- Bot, A.; Benites, J. The Importance of Soil Organic Matter Key to Drought-Resistant Soil and Sustained Crop Production; FAO Soils Bulletin: Rome, Italy, 2005; 80p. [Google Scholar]
- De Meyer, A.; Poesen, J.; Isabirye, M.; Deckers, J.; Rates, D. Soil erosion rate in tropical villages: A case study from Lake Victoria Basin, Uganda. Catena 2011, 84, 89–98. [Google Scholar] [CrossRef]
- Schroeder, B.L.; Robinson, J.B.; Wallace, M.; Turner, P. Soil acidification: Occurrence and effects in the South African sugar industry. In Proceedings of the South African Sugar Technologists Association; South African Sugar Technologists’ Association: eThekwini, South Africa, 1994. [Google Scholar]
- Goulding, K.W.T. Soil acidification and the importance of liming agricultural soils with particular reference to the United Kingdom. Soil Use Manag. 2016, 32, 390–399. [Google Scholar] [CrossRef] [PubMed]
- Lal, R.; Follett, R. Soils and climate change. In Soil Carbon Sequestration and the Greenhouse Effect, 2nd ed.; Lal, R., Follett, R., Eds.; SSSA Special Publication: Madison, WI, USA, 2009; Volume 57. [Google Scholar]
- Lei, O.; Zhang, R. Effects of biochars derived from different feedstocks and pyrolysis temperatures on soil physical and hydraulic properties. J. Soils Sediments 2013, 13, 1561–1572. [Google Scholar] [CrossRef]
- Jien, S.; Wang, C. Effects of biochar on soil properties and erosion potential in a highly weathered soil. Catena 2013, 110, 225–233. [Google Scholar] [CrossRef]
- Dai, Z.; Zhang, X.; Tang, C.; Muhammad, N.; Wu, J.; Brookes, P.C.; Xu, J. Potential role of biochars in decreasing soil acidification—A critical review. Sci. Total Environ. 2017, 581–582, 601–611. [Google Scholar] [CrossRef] [PubMed]
- Lehmann, J.; Rillig, M.C.; Thies, J.; Masiello, C.A.; Hockaday, W.C.; Crowley, D. Biochar effects on soil biota—A review. Soil Biol. Biochem. 2011, 43, 1812–1836. [Google Scholar] [CrossRef]
- Sika, M.; Hardie, A. Effect of pine wood biochar on ammonium nitrate leaching and availability in a South African sandy soil. Eur. J. Soil Sci. 2014, 65, 113–119. [Google Scholar] [CrossRef]
- Jeffery, S.; Verheijen, F.G.A.; van der Velde, M.; Bastos, A.C. A quantitative review of the effects of biochar application to soils on crop productivity using meta-analysis. Agric. Ecosyst. Environ. 2011, 144, 175–187. [Google Scholar] [CrossRef]
- Gwenzi, W.; Chaukura, N.; Mukome, F.N.D.; Machado, S.; Nyamasoka, B. Biochar production and applications in sub-Saharan Africa: Opportunities, constraints, risks and uncertainties. J. Environ. Manag. 2015, 150, 250–261. [Google Scholar] [CrossRef] [PubMed]
- Laird, D.A.; Fleming, P.; Davis, D.D.; Horton, R.; Wang, B.Q.; Karlen, D.L. Impact of biochar amendments on the quality of a typical midwestern agricultural soil. Geoderma 2010, 158, 443–449. [Google Scholar] [CrossRef]
- International Biochar Initiative (IBI). Climate Change and Biochar. Available online: http://www.biochar-international.org/biochar/carbon (accessed on 16 January 2017).
- Turmel, M.S.; Speratti, A.; Baudron, F.; Verhulst, N.; Govaerts, B. Crop residue management and soil health: A systems analysis. Agric. Syst. 2015, 134, 6–16. [Google Scholar] [CrossRef]
- Leach, M.; Fairhead, J.; Fraser, J. Green grabs and biochar: Revaluing African soils and farming in the new carbon economy. J. Peasant Stud. 2012, 39, 285–307. [Google Scholar] [CrossRef]
- Verheijen, F.G.A.; Jeffery, S.; Bastos, A.C.; Van der Velde, M.; Diafas, I. Biochar Application to Soils: A Critical Scientific Review of Effects on Soil Properties, Processes and Functions; EUR 24099 EN; Office for the Official Publications of the European Communities: Luxembourg, 2010. [Google Scholar]
- Raboin, L.M.; Razafimahafaly, A.H.D.; Rabenjarisoa, M.B.; Rabary, B.; Dusserre, J.; Becquer, T. Improving the fertility of tropical acid soils: Liming versus biochar application? A long-term comparison in the highlands of Madagascar. Field Crops Res. 2016, 199, 99–108. [Google Scholar] [CrossRef]
- Nguyen, D.H.; Scheer, C.; Rowlings, D.W.; Grace, P.R. Rice husk biochar and crop residue amendment in subtropical cropping soils: Effect on biomass production, nitrogen use efficiency and greenhouse gas emissions. Boil. Fertil. Soils 2016, 52, 261–270. [Google Scholar] [CrossRef]
- Haider, G.; Steffens, D.; Mosera, G.; Müllera, C.; Kammann, C.I. Biochar reduced nitrate leaching and improved soil moisture content without yield improvements in a four-year field study. Agric. Ecosyst. Environ. 2017, 237, 80–94. [Google Scholar] [CrossRef]
- Hansen, V.; Müller-Stover, D.; Imparato, V.; Kroh, P.H.; Jensen, L.S.; Dolmer, A.; Hauggaard-Nielsen, H. The effects of straw or straw-derived gasification biochar applications on soil quality and crop productivity: A farm case study. J. Environ. Manag. 2017, 186, 88–95. [Google Scholar] [CrossRef] [PubMed]
- Malinska, K.; Golanska, M.; Caceres, R.; Rorat, A.; Weisser, P.; Slezak, E. Biochar amendment for integrated composting and vermicomposting of sewage sludge—The effect of biochar on the activity of Eisenia fetida and the obtained vermicompost. Bioresour. Technol. 2017, 225, 206–214. [Google Scholar] [CrossRef] [PubMed]
- Shareef, T.M.E.; Zhao, B. Review Paper: The Fundamentals of Biochar as a Soil Amendment Tool and Management in Agriculture Scope: An Overview for Farmers and Gardeners. J. Agric. Chem. Environ. 2017, 6, 38–61. [Google Scholar] [CrossRef]
- Tammeorg, P.; Bastos, A.C.; Jeffery, S.; Rees, F.; Kern, J.; Graber, E.R.; Ventura, M.; Kibblewhite, M.G.; Amaro, A.; Budai, A.; et al. Biochars in soils: Towards the required level of scientific understanding. J. Environ. Eng. Landsc. Manag. 2017, 25, 192–207. [Google Scholar] [CrossRef]
- Liu, X.H.; Han, F.P.; Zhang, X.C. Effect of biochar on soil aggregates in the loess plateau: Results from incubation experiments. Int. J. Agric. Biol. 2012, 14, 975–979. [Google Scholar]
- Mukherjee, A.; Lal, R.; Zimmerman, A.R. Effects of biochar and other amendments on the physical properties and greenhouse gas emissions of an artificially degraded soil. Sci. Total Environ. 2014, 487, 26–36. [Google Scholar] [CrossRef] [PubMed]
- Chan, K.; Van Zwieten, L.; Meszaros, I.; Downie, A.; Joseph, S. Agronomic values of green waste biochar as a soil amendment. Aust. J. Soil Res. 2007, 45, 629. [Google Scholar] [CrossRef]
- Asai, H.; Samson, B.K.; Stephan, H.M.; Songyikhangsuthor, K.; Homma, K.; Kiyono, Y.; Inoue, Y.; Shiraiwa, T.; Horie, T. Biochar amendment techniques for upland rice production in Northern Laos 1. Soil physical properties, leaf SPAD and grain yield. Field Crop. Res. 2009, 111, 81–89. [Google Scholar] [CrossRef]
- Makoto, K.; Tamai, Y.; Kim, Y.S.; Koike, T. Buried charcoal layer and ectomycorrhizae cooperatively promote the growth of Larix gmelinii seedlings. Plant Soil 2010, 327, 143–152. [Google Scholar] [CrossRef]
- Rutigliano, F.A.; Romano, M.; Marzaioli, R.; Baglivo, I.; Baronti, S.; Miglietta, F.; Castaldi, S. Effect of biochar addition on soil microbial community in a wheat crop. Eur. J. Biol. 2014, 60, 9–15. [Google Scholar] [CrossRef]
- Lehmann, J. Bio-energy in the black Front. Ecol. Environ. 2007, 5, 381–387. [Google Scholar] [CrossRef]
- Yousaf, B.; Liu, G.; Wang, R.; Abbas, Q.; Imtiaz, M.; Liu, R. Investigating the biochar effects on C-mineralization and sequestration of carbon in soil compared with conventional amendments using the stable isotope (d13C) approach. CB Bioenergy 2016, 1085–1099. [Google Scholar] [CrossRef]
- Bruun, S.; Harmer, S.L.; Bekiaris, G.; Christel, W.; Zuin, L.; Hu, Y.; Jensen, L.S.; Lombi, E. The effect of different pyrolysis temperatures on the speciation and availability in soil of P in biochar produced from the solid fraction of manure. Chemosphere 2017, 169, 377–386. [Google Scholar] [CrossRef] [PubMed]
- Nalivata, P.C.; Munthali, M.W.; Makumba, W.I.; Mbewe, E.; Manase, H. Integrated Soil Fertility Management in Sub-Saharan Africa. Fertil. Use Optim. Sub-Saharan Afr. 2017, 25–39. [Google Scholar] [CrossRef]
- Lehmann, J.; Gaunt, J.; Rondon, M. Bio-char sequestration in terrestrial ecosystems—A review. Mitig. Adapt. Strateg. Glob. Chang. 2006, 11, 403–427. [Google Scholar] [CrossRef]
- Teutscherova, N.; Vazquez, E.; Masaguer, A.; Navas, M.; Scow, K.M.; Schmid, R.; Benito, M. Comparison of lime- and biochar-mediated pH changes in nitrification and ammonia oxidizers in degraded acid soil. Biol. Fertil. Soils 2017, 53, 811–821. [Google Scholar] [CrossRef]
- Department of Environmental Affairs. UKAID, Research Report. Assessment of the Potential to Produce Biochar and Its Application to South African Soils as a Mitigation Measure; Department of Environmental Affairs: Pretoria, South Africa, 2015. [Google Scholar]
- Ronsse, F.; Van Hecke, S.; Nachenius, R.; Prins, W. Production and characterization of slow pyrolysis biochar: Influence of feedstock type and pyrolysis conditions. Gcb Bioenergy 2013, 104–115. [Google Scholar] [CrossRef]
- Nartey, O.D.; Zhao, B. Biochar Preparation, Characterization, and Adsorptive Capacity and Its Effect on Bioavailability of Contaminants: An Overview. Adv. Mater. Sci. Eng. 2014, 12. [Google Scholar] [CrossRef]
- Muzangwa, L.; Chiduza, C.; Muchaonyerwa, P. Biomass production, weed suppression, nitrogen and phosphorus uptake in white oat (Avena sativa L.) and grazing vetch (Vicia dasycarpa L.) cover crop bicultures under an irrigated no-tillage system. S. Afr. J. Plant Soil 2012, 29, 135–141. [Google Scholar] [CrossRef]
- Dube, E.; Chiduza, C.; Muchaonyerwa, P. Conservation agriculture effects on plant nutrients and maize grain yield after four years of maize-winter cover crop rotations. S. Afr. J. Plant Soil 2013, 30, 227–232. [Google Scholar] [CrossRef]
- Sohi, S.; Lopez-Capel, E.; Krull, E.; Bol, R. Biochar, climate change and soil: A review to guide future research. CSIRO Land Water Sci. Rep. 2009, 5, 17–31. [Google Scholar]
- Soil Classification Working Group. Soil Classification: A Taxonomic System for South Africa; Memoirs on the Agricultural Natural Resources of South Africa. No 15; Soil Classification Working Group: Pretoria, South Africa, 1991. [Google Scholar]
- World Reference Base for Soil Resources (WRB). International Soil Classification System for Naming Soils and Creating Legends for Soil Maps; World Soil Resources Reports; Food and Agriculture Organization of the United Nations: Rome, Italy, 2014. [Google Scholar]
- Liu, Z.; Dugan, B.; Masiello, C.A.; Barnes, R.T.; Gallagher, M.E.; Gonnermann, H. Impacts of biochar concentration and particle size on hydraulic conductivity and DOC leaching of biochar-sand mixtures. J. Hydrol. 2016, 533, 461–472. [Google Scholar] [CrossRef]
- Dane, J.H.; Hopmans, J.W. Water retention and storage. In Methods of Soil Analysis Part 4 (Physical Methods); SSSA Book Ser. No 5; Dane, J.H., Topp, C.G., Eds.; SSSA: Madison, WI, USA; pp. 671–720.
- Agri Laboratory Association of Southern Africa. Soil Handbook; Agri Laboratory Association of Southern Africa: Pretoria, South Africa, 2004. [Google Scholar]
- Okalebo, J.R.; Gathua, K.W.; Woomer, P.L. Laboratory Methods of Soil and Plant Analysis: A Working Manual; TSBF-KARI-UNESCO: Nairobi, Kenya, 2002. [Google Scholar]
- Solaiman, Z.M.; Murphy, D.V.; Abbott, L.K. Biochars influence seed germination andearly growth of seedlings. Plant Soil 2012, 353, 273–287. [Google Scholar] [CrossRef]
- ASTM. D1762-84: Standard Method for Chemical Analysis of Wood Charcoal; American Society for Testing and Materials International: West Conshohocken, PA, USA, 2007. [Google Scholar]
- LECO. Truspec CN Carbo/Nitrogen Determinator Instructions Manual; LECO Corporation: St Joseph, MI, USA, 2003. [Google Scholar]
- Witt, C.; Biker, U.; Galicia, C.C.; Ottow, J.C.G. Dynamics of soil microbial biomass and nitrogen availability in a flooded rice soil amended with different C and N sources. Biol. Fertil. Soils 2000. [Google Scholar] [CrossRef]
- Anderson, J.M.; Ingram, J.S.I. Tropical Soil Bioloy and Fertility. A Handbook of Methods; ACB International: Wallingford, UK, 1993; pp. 68–71. [Google Scholar]
- Hardie, M.; Clothier, B.; Bound, S.; Oliver, G.; Close, D. Does biochar influence soil physical properties and soil water availability? Plant Soil 2014, 376, 347–361. [Google Scholar] [CrossRef]
- Le Bissonnais, Y. Aggregate stability and assessment of soil crustability and erodibility: I. Theory and methodology. Eur. J. Soil Sci. 1996, 47, 425–437. [Google Scholar] [CrossRef]
- Martin, C.; Pohl, M.; Alewell, C.; Korner, C.; Rixen, C. Interrill erosion at disturbed alpine sites: Effects of plant functional diversity and vegetation cover. Basic Appl. Ecol. 2010, 11, 619–626. [Google Scholar] [CrossRef]
- Nciizah, A.; Wakindiki, I.I.C. Rainfall pattern effects on crusting, infiltration and erodibility in some South African soils with various texture and mineralogy. Water SA 2014, 40, 57–63. [Google Scholar] [CrossRef]
- Parwada, C.; Van Tol, J. The nature of soil erosion and possible conservation strategies in Ntabelanga area, Eastern Cape Province, South Africa. Acta Agric. Scand. Sect. B Soil Plant Sci. 2016. [Google Scholar] [CrossRef]
- Yuan, J.H.; Xu, R.K.; Wang, N.; Li, J.Y. Amendment of acid soils with crop residues and biochars. Pedosphere 2011, 21, 302–308. [Google Scholar] [CrossRef]
- Sohi, S.P.; Krull, E.; Lopez-Capel, E.; Bol, R. A review of biochar and its use and function in soil. Adv. Agron. 2010, 105, 47–82. [Google Scholar]
- Curaqueo, G.; Meier, S.; Khan, N.; Cea, M.; Navia, R. Use of biochar on two volcanic soils: Effects on soil properties and barley yield. J. Soil Sci. Plant Nutr. 2014, 14, 911–924. [Google Scholar] [CrossRef]
- Chintala, R.; Mollinedo, J.; Schumacher, T.E.; Malo, D.D.; Julson, J.L. Effect of biochar on chemical properties of acidic soil. Arch. Agron. Soil Sci. 2014, 60, 393–404. [Google Scholar] [CrossRef]
- Obia, A.; Cornelissen, G.; Mulder, J.; Dorsch, P. Effect of Soil pH Increase by Biochar on NO, N2O and N2 Production during Denitrification in Acid Soils. PLoS ONE 2015, 1–19. [Google Scholar] [CrossRef] [PubMed]
- Chaiyaraksa, C.; Jaipong, T.; Tamnao, P.; Imjai, A. Durian and angosteen Shell-Derived Biochar Amendment on the Removal of Zinc, Lead and Cadmium. Thammasat Int. J. Sci. Technol. 2017, 22, 88–97. [Google Scholar] [CrossRef]
- Abrishamkesh, S.; Gorji, M.; Asadi, H.; Bagheri-Marandi, G.H.; Pourbabaee, A.A. Effects of rice husk biochar application on the properties of alkaline soil and lentil growth. Plant Soil Environ. 2015, 61, 475–482. [Google Scholar] [CrossRef]
- Singh, B.P.; Cowie, A.L. Long-term influence of biochar on native organic carbon mineralisation in a low-carbon clayey soil. Sci. Rep. 2014, 4, 3687. [Google Scholar] [CrossRef] [PubMed]
- Luo, Y.; Durenkamp, M.; De Nobili, M.; Lin, Q.; Brookes, P.C. Short term soil priming effects and the mineralization of biochar following its incorporation to soils of different pH. Soil Boil. Biochem. 2011, 43, 2304–2314. [Google Scholar] [CrossRef]
- Smith, J.L.; Collins, H.P.; Bailey, V.L. The effect of young biochar on soil respiration. Soil Boil. Biochem. 2010, 42, 2345–2347. [Google Scholar] [CrossRef]
- Kuzyakov, Y.; Subbotina, I.; Chen, H.; Bogomolova, I.; Xu, X. Black carbon decomposition and incorporation into soil microbial biomass estimated by 14C labeling. Soil Boil. Biochem. 2009, 41, 210–219. [Google Scholar] [CrossRef]
- Joseph, S.D.; Camps-Arbestain, M.; Lin, Y.; Munroe, P.; Chia, C.H.; Hook, J.; van Zwieten, L.; Kimber, S.; Cowie, A.; Singh, B.P.; et al. An investigation into the reactions of biochar in soil. Aust. J. Soil Res. 2010, 48, 501–515. [Google Scholar] [CrossRef]
- Githinji, L. Effect of biochar application rate on soil physical and hydraulic properties of a sandy loam. Arch. Agron. Soil Sci. 2014, 60, 457–470. [Google Scholar] [CrossRef]
- Hseu, Z.Y.; Jien, S.H.; Chien, W.H.; Liou, R.C. Impacts of biochar on physical properties and erosion potential of a mudstone slope land soil. Sci. World J. 2014. [Google Scholar] [CrossRef] [PubMed]
- Six, J.; Bossuyt, H.; Degryze, S.; Denef, K. A history of research on the link between (micro)aggregates, soil biota, and soil organic matter dynamics. Soil Till. Res. 2004, 79, 7–31. [Google Scholar] [CrossRef]
- Hati, K.M.; Swarup, A.; Dwivedi, A.K.; Misra, A.K.; Bandyopadhyay, K.K. Changes in soil physical properties and organic carbon status at the topsoil horizon of a vertisol of central India after 28 years of continuous cropping, fertilization and manuring. Agric. Ecosyst. Environ. 2007, 119, 127–134. [Google Scholar] [CrossRef]
- Ma, N.; Zhang, L.; Zhang, Y.; Yang, L.; Yu, C.; Yin, G.; Doane, T.A.; Wu, Z.; Zhu, P.; Ma, X. Biochar Improves Soil Aggregate Stability and Water Availability in a Mollisol after Three Years of Field Application. PLoS ONE 2016, 11, e0154091. [Google Scholar] [CrossRef] [PubMed]
- Glaser, B.; Lehmann, J.; Zech, W. Ameliorating physical and chemical Thsoproperties of highly weathered soils in the tropics with charcoal—A review. Biol. Fertil. Soils. 2002, 35, 219–230. [Google Scholar] [CrossRef]
- Abrol, V.; Ben-Hur, M.; Verheijen, F.G.A.; Keizer, J.J.; Martins, M.A.S.; Tenaw, H.; Tchehansky, L.; Graber, E.R. Biochar effects on soil water infiltration and erosion under seal formation conditions: Rainfall simulation experiment. J. Soils Sediments 2016, 16, 2709–2719. [Google Scholar] [CrossRef]
- Sadeghi, S.H.; Hazbavi, Z.; Harchegani, M.K. Controllability of runoff and soil loss fromsmall plots treated by vinasseproduced Biochar. Sci. Total Environ. 2016, 541, 483–490. [Google Scholar] [CrossRef] [PubMed]








| % (w/w) | Estimated Biochar kg−1 Soil (g) | Estimated t ha−1 (15 cm Depth) |
|---|---|---|
| 2.5 | 25 | 50 |
| 5 | 50 | 100 |
| 7.5 | 75 | 150 |
| 10 | 100 | 200 |
| Properties | Soil | Feed-Stock Material | Maize Biochar |
|---|---|---|---|
| Sand (%) | 41 | - | - |
| Silt (%) | 33.6 | - | - |
| Clay (%) | 25.4 | - | - |
| Field capacity (m3/m3) | 0.36 | - | - |
| pH | 4.1 | - | 9.42 |
| EC (m S m−1) | 80.9 | - | 2.61 |
| SOC (%) | 2.2 | - | - |
| TN (%) | 0.16 | 1.62 | 1.92 |
| TOC (%) | 2.69 | 45.26 | 46.89 |
| C/N | 16.77 | 27.94 | 24.42 |
| Exc. Ca (mg kg−1) | 221 | 0.3 | 0.27 |
| Exc. Mg (mg kg−1) | 79 | 0.34 | 0.17 |
| Exc. K (mg kg−1) | 125–221 | 1.12 | 0.45 |
| Exc. Na (mg kg−1) | 5.9 | 121.9 | 1419.5 |
| Ash Content (%) | - | - | 43.34 |
| Volatile Matter (%) | - | - | 8.57 |
| Source of Variation | pH | EC | MWD | SOC | Bulk Density | Porosity | Soil Loss | |
|---|---|---|---|---|---|---|---|---|
| Biochar Rate (BR) | p | 0.0001 * | ns | 0.0001 * | 0.0001 * | 0.0001 * | 0.0001 * | 0.0001 * |
| f (4119) | 253.79 | ns | 49.38 | 8.93 | 853.45 | 853.45 | 613.5 | |
| Time (T) | p | 0.0001 * | ns | 0.0001 * | 0.0001 * | 0.0001 * | 0.0001 * | 0.0001 * |
| f (7119) | 15.57 | 1.16 | 151.00 | 9.27 | 40.84 | 40.84 | 418.9 | |
| T × BR | p | 0.0001 * | ns | 0.0001 * | ns | 0.0001 * | 0.0001 * | 0.0001 * |
| f (39,119) | 12.38 | 1.02 | 9.93 | 0.70 | 6.57 | 0.57 | 16.2 | |
| CV | 3.32 | 10.3 | 17.40 | 6.73 | 1.17 | 5.28 | 4.20 |
© 2018 by the authors. Licensee MDPI, Basel, Switzerland. This article is an open access article distributed under the terms and conditions of the Creative Commons Attribution (CC BY) license (http://creativecommons.org/licenses/by/4.0/).
Share and Cite
Nyambo, P.; Taeni, T.; Chiduza, C.; Araya, T. Effects of Maize Residue Biochar Amendments on Soil Properties and Soil Loss on Acidic Hutton Soil. Agronomy 2018, 8, 256. https://doi.org/10.3390/agronomy8110256
Nyambo P, Taeni T, Chiduza C, Araya T. Effects of Maize Residue Biochar Amendments on Soil Properties and Soil Loss on Acidic Hutton Soil. Agronomy. 2018; 8(11):256. https://doi.org/10.3390/agronomy8110256
Chicago/Turabian StyleNyambo, Patrick, Thembalethu Taeni, Cornelius Chiduza, and Tesfay Araya. 2018. "Effects of Maize Residue Biochar Amendments on Soil Properties and Soil Loss on Acidic Hutton Soil" Agronomy 8, no. 11: 256. https://doi.org/10.3390/agronomy8110256
APA StyleNyambo, P., Taeni, T., Chiduza, C., & Araya, T. (2018). Effects of Maize Residue Biochar Amendments on Soil Properties and Soil Loss on Acidic Hutton Soil. Agronomy, 8(11), 256. https://doi.org/10.3390/agronomy8110256

