Soil Texture Mediates the Short-Term Response of Particulate and Mineral-Associated Organic Carbon to Straw Return in the Loess Plateau
Abstract
1. Introduction
2. Materials and Methods
2.1. Study Area and Experimental Design
2.1.1. Study Area
2.1.2. Experimental Design
2.2. Analysis of Basic Soil Properties and Organic Carbon Fractions
2.3. Statistical Analysis
3. Results
3.1. Basic Physical and Chemical Properties of Soil
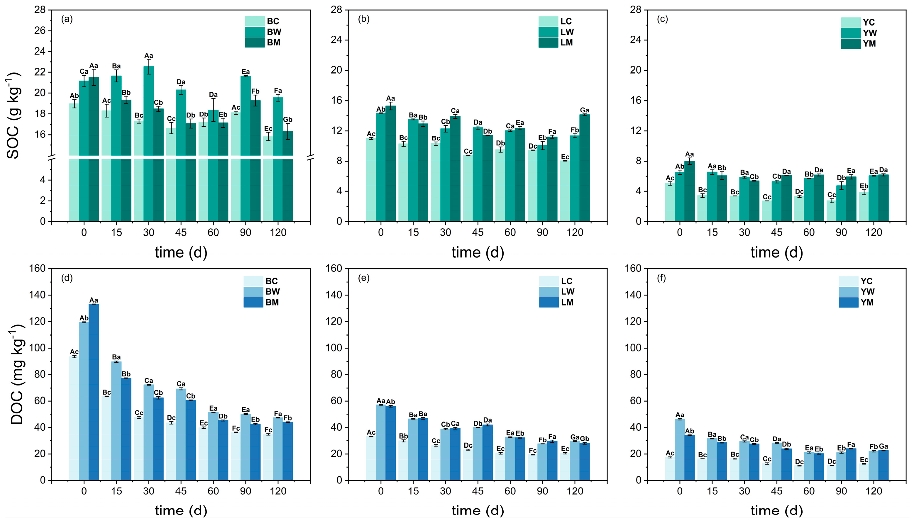
3.2. Effects of Straw Incorporation and Soil Texture on SOC and DOC
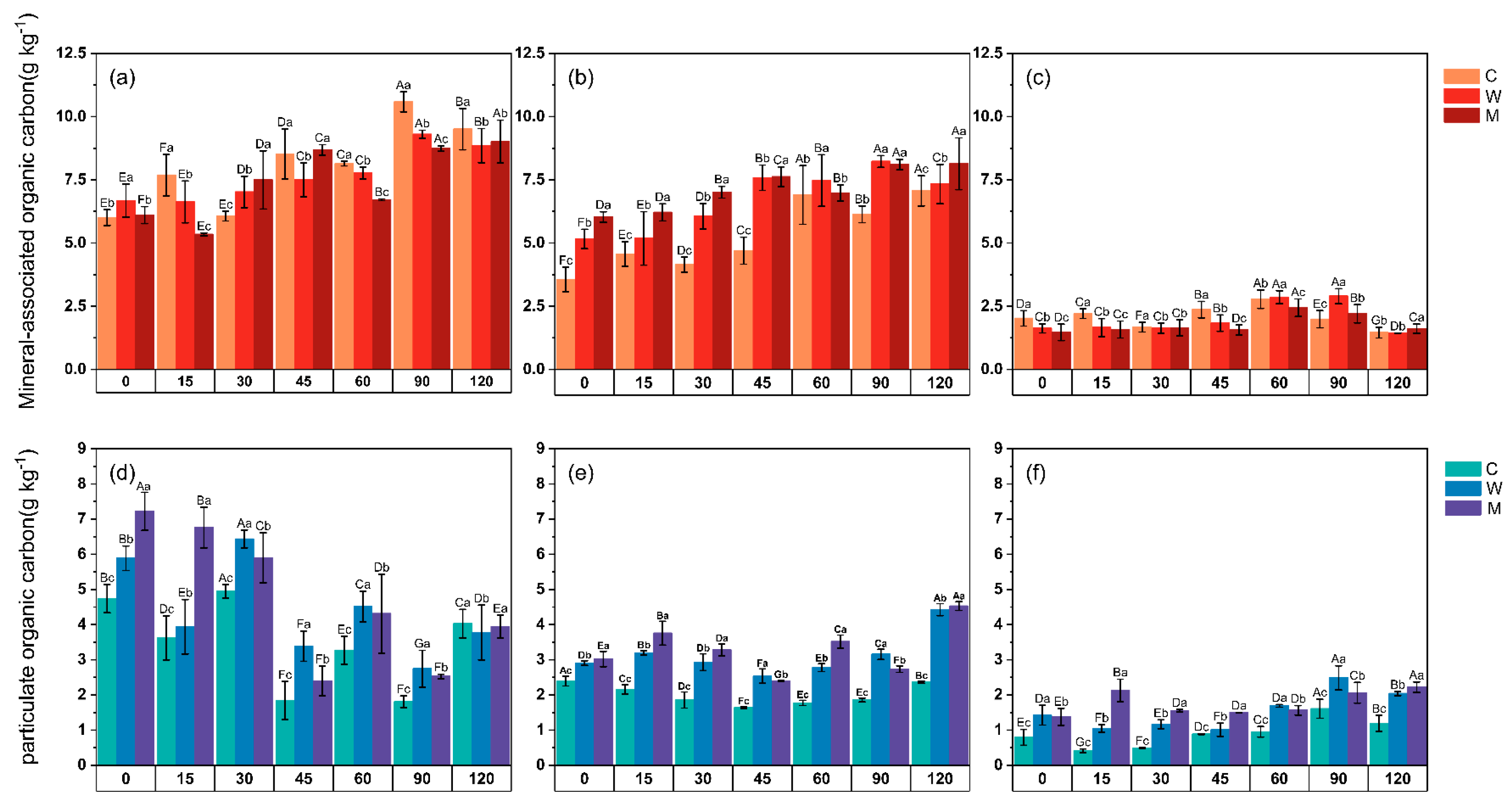
3.3. Effects of Straw Returning to Fields and Soil Texture on POC and MAOC Content
3.4. Joint Regulation of Carbon Fraction Proportions and Turnover by Straw Incorporation and Soil Texture
3.5. Regulation of Soil Organic Carbon Components by Straw Incorporation and Soil Texture
4. Discussion
4.1. Driving Role of Straw Incorporation in Soil Carbon Cycling
4.2. The Role of Soil Texture in Shaping Carbon Retention Patterns
4.3. Synergistic Regulation of Soil Organic Carbon by Straw and Texture in the Loess Plateau
5. Conclusions
Author Contributions
Funding
Data Availability Statement
Acknowledgments
Conflicts of Interest
References
- Zhu, C.; Zhong, W.; Han, C.; Deng, H.; Jiang, Y. Driving Factors of Soil Organic Carbon Sequestration under Straw Returning across China’s Uplands. J. Environ. Manag. 2023, 335, 117590. [Google Scholar] [CrossRef]
- Xin, J.; Yan, L.; Cai, H. Response of Soil Organic Carbon to Straw Return in Farmland Soil in China: A Meta-Analysis. J. Environ. Manag. 2024, 359, 121051. [Google Scholar] [CrossRef]
- Zhang, J.; Zhang, F.; Yang, L. Continuous Straw Returning Enhances the Carbon Sequestration Potential of Soil Aggregates by Altering the Quality and Stability of Organic Carbon. J. Environ. Manag. 2024, 358, 120903. [Google Scholar] [CrossRef]
- Zhen, L.; Wei, Y.-J.; Xiao, Y. Comprehensive Analysis of Ecological Restoration Technologies in Typical Ecologically Vulnerable Regions around the World. Sustainability 2021, 13, 13290. [Google Scholar] [CrossRef]
- Sun, L.; Wang, R.; Li, J.; Wang, Q.; Lyu, W.; Wang, X.; Cheng, K.; Mao, H.; Zhang, X. Reasonable Fertilization Improves the Conservation Tillage Benefit for Soil Water Use and Yield of Rain-Fed Winter Wheat: A Case Study from the Loess Plateau, China. Field Crops Res. 2019, 242, 107589. [Google Scholar] [CrossRef]
- Yin, Y.; Yuan, Y.; Zhang, X.; Huhe; Cheng, Y.; Borjigin, S. Comparison of the Responses of Soil Fungal Community to Straw, Inorganic Fertilizer, and Compost in a Farmland in the Loess Plateau. Microbiol. Spectr. 2022, 10, e0223021. [Google Scholar] [CrossRef]
- Zeng, J.; Li, X.; Song, R.; Xie, H.; Li, X.; Liu, W.; Liu, H.; Du, Y.; Xu, M.; Ren, C.; et al. Mechanisms of Litter Input Changes on Soil Organic Carbon Dynamics: A Microbial Carbon Use Efficiency-Based Perspective. Sci. Total Environ. 2024, 949, 175092. [Google Scholar] [CrossRef] [PubMed]
- Zhang, M.; Cheng, G.; Feng, H.; Sun, B.; Zhao, Y.; Chen, H.; Chen, J.; Dyck, M.; Wang, X.; Zhang, J.; et al. Effects of Straw and Biochar Amendments on Aggregate Stability, Soil Organic Carbon, and Enzyme Activities in the Loess Plateau, China. Environ. Sci. Pollut. Res. 2017, 24, 10108–10120. [Google Scholar] [CrossRef] [PubMed]
- Wang, X.; Jia, Z.; Liang, L.; Zhao, Y.; Yang, B.; Ding, R.; Wang, J.; Nie, J. Changes in Soil Characteristics and Maize Yield under Straw Returning System in Dryland Farming. Field Crops Res. 2018, 218, 11–17. [Google Scholar] [CrossRef]
- Guan, X.-K.; Wei, L.; Turner, N.C.; Ma, S.-C.; Yang, M.-D.; Wang, T.-C. Improved Straw Management Practices Promote in Situ Straw Decomposition and Nutrient Release, and Increase Crop Production. J. Clean. Prod. 2020, 250, 119514. [Google Scholar] [CrossRef]
- Liu, J.; Qiu, H.; He, S.; Tian, G. Long-Term Mulched Drip Irrigation Facilitates Soil Organic Carbon Stabilization and the Dominance of Microbial Stochastic Assembly Processes. Agric. Water Manag. 2024, 302, 109008. [Google Scholar] [CrossRef]
- Wang, X.; He, C.; Liu, B.; Zhao, X.; Liu, Y.; Wang, Q.; Zhang, H. Effects of Residue Returning on Soil Organic Carbon Storage and Sequestration Rate in China’s Croplands: A Meta-Analysis. Agronomy 2020, 10, 691. [Google Scholar] [CrossRef]
- Jensen, J.L.; Eriksen, J.; Thomsen, I.K.; Munkholm, L.J.; Christensen, B.T. Cereal Straw Incorporation and Ryegrass Cover Crops: The Path to Equilibrium in Soil Carbon Storage Is Short. Eur. J. Soil Sci. 2022, 73, e13173. [Google Scholar] [CrossRef]
- Kirkby, C.A.; Richardson, A.E.; Wade, L.J.; Batten, G.D.; Blanchard, C.; Kirkegaard, J.A. Carbon-Nutrient Stoichiometry to Increase Soil Carbon Sequestration. Soil Biol. Biochem. 2013, 60, 77–86. [Google Scholar] [CrossRef]
- An, T.; Schaeffer, S.; Zhuang, J.; Radosevich, M.; Li, S.; Li, H.; Pei, J.; Wang, J. Dynamics and Distribution of 13C-Labeled Straw Carbon by Microorganisms as Affected by Soil Fertility Levels in the Black Soil Region of Northeast China. Biol. Fertil. Soils 2015, 51, 605–613. [Google Scholar] [CrossRef]
- Zhou, R.; Chen, W.; Gunina, A.; Kumar, A.; Wang, M.; Kuzyakov, Y.; Tian, J. Carbon Sequestration through Straw Amendment: Multi-Pool Dynamics within Soil Organic Carbon. Geoderma 2025, 461, 117471. [Google Scholar] [CrossRef]
- Wang, X.; Wang, L.; Ren, J.; Wang, L.; Tao, Y.; Zhang, Y. Nitrogen Availability Regulates the Effects of Straw Incorporation on Soil Organic Carbon Functional Pools. Soil Biol. Biochem. 2026, 212, 110017. [Google Scholar] [CrossRef]
- Sokol, N.W.; Whalen, E.D.; Jilling, A.; Kallenbach, C.; Pett-Ridge, J.; Georgiou, K. Global Distribution, Formation and Fate of Mineral-Associated Soil Organic Matter under a Changing Climate: A Trait-Based Perspective. Funct. Ecol. 2022, 36, 1411–1429. [Google Scholar] [CrossRef]
- Mao, H.-R.; Cotrufo, M.F.; Hart, S.C.; Sullivan, B.W.; Zhu, X.; Zhang, J.; Liang, C.; Zhu, M. Dual Role of Silt and Clay in the Formation and Accrual of Stabilized Soil Organic Carbon. Soil Biol. Biochem. 2024, 192, 109390. [Google Scholar] [CrossRef]
- Franzluebbers, A.J.; Arshad, M.A. Particulate Organic Carbon Content and Potential Mineralization as Affected by Tillage and Texture. Soil Sci. Soc. Am. J. 1997, 61, 1382–1386. [Google Scholar] [CrossRef]
- García, G.V.; Wyngaard, N.; Reussi Calvo, N.I.; San Martino, S.; Covacevich, F.; Studdert, G.A. Soil Survey Reveals a Positive Relationship between Aggregate Stability and Anaerobically Mineralizable Nitrogen. Ecol. Indic. 2020, 117, 106640. [Google Scholar] [CrossRef]
- Jia, X.-X.; Yang, Y.; Zhang, C.-C.; Shao, M.-A.; Huang, L.-M. A State-Space Analysis of Soil Organic Carbon in China’s Loess Plateau. Land Degrad. Dev. 2017, 28, 983–993. [Google Scholar] [CrossRef]
- Zhu, Y.; Dong, M.; Wang, X.; Chen, D.; Zhang, Y.; Liu, X.; Yang, K.; Luo, H. Spatiotemporal Distribution Characteristics of Soil Organic Carbon and Its Influencing Factors in the Loess Plateau. Agronomy 2025, 15, 2260. [Google Scholar] [CrossRef]
- Fan, T.; Zhang, Y.; Hu, K.; Xu, S.; Zhang, A.; Xue, S.; Han, J.; Wang, X. Changes in Soil Organic Carbon and Microbial Community in Saline Soil Following Different Forms of Straw Incorporation. Eur. J. Soil Sci. 2024, 75, e13457. [Google Scholar] [CrossRef]
- Food and Agriculture Organization of the United Nations. World Reference Base for Soil Resources 2014: International Soil Classification System for Naming Soils and Creating Legends for Soil Maps; FAO, Ed.; World Soil Resources Reports; FAO: Rome, Italy, 2014; ISBN 978-92-5-108369-7. [Google Scholar]
- Jiang, C.; Yu, W. Maize Production and Field CO2 Emission under Different Straw Return Rates in Northeast China. Plant Soil Environ. 2019, 65, 198–204. [Google Scholar] [CrossRef]
- Hu, L.; Li, S.; Li, K.; Huang, H.; Wan, W.; Huang, Q.; Li, Q.; Li, Y.; Deng, H.; He, T. Effects of Two Types of Straw Biochar on the Mineralization of Soil Organic Carbon in Farmland. Sustainability 2020, 12, 10586. [Google Scholar] [CrossRef]
- Bingeman, C.W.; Varner, J.E.; Martin, W.P. The Effect of the Addition of Organic Materials on the Decomposition of an Organic Soil. Soil Sci. Soc. Am. J. 1953, 17, 34–38. [Google Scholar] [CrossRef]
- Jin, Z.; Shah, T.; Zhang, L.; Liu, H.; Peng, S.; Nie, L. Effect of Straw Returning on Soil Organic Carbon in Rice–Wheat Rotation System: A Review. Food Energy Secur. 2020, 9, e200. [Google Scholar] [CrossRef]
- Zhang, X.; Chang, F.; Zhang, H.; Wang, X.; Li, H.; Song, J.; Kan, Z.; Du, Z.; Zhou, J.; Chen, J.; et al. Divergent Responses of Particulate and Mineral-Associated Organic Carbon with Soil Depth under Straw Interlayer in Saline-Alkali Soil. Agric. Ecosyst. Environ. 2024, 371, 109073. [Google Scholar] [CrossRef]
- Jiang, N.; Bah, H.; Zhou, M.; Xu, P.; Zhang, B.; Zhu, B. Effects of Straw and Biochar Amendment on Hydrological Fluxes of Dissolved Organic Carbon in a Subtropical Montane Agricultural Landscape. Environ. Pollut. 2022, 296, 118751. [Google Scholar] [CrossRef]
- Gmach, M.R.; Kaiser, K.; Cherubin, M.R.; Cerri, C.E.P.; Lisboa, I.P.; Vasconcelos, A.L.S.; Siqueira-Neto, M. Soil Dissolved Organic Carbon Responses to Sugarcane Straw Removal. Soil Use Manag. 2021, 37, 126–137. [Google Scholar] [CrossRef]
- Bonner, M.T.L.; Castro, D.; Schneider, A.N.; Sundström, G.; Hurry, V.; Street, N.R.; Näsholm, T. Why Does Nitrogen Addition to Forest Soils Inhibit Decomposition? Soil Biol. Biochem. 2019, 137, 107570. [Google Scholar] [CrossRef]
- Minuț, M.; Diaconu, M.; Roșca, M.; Cozma, P.; Bulgariu, L.; Gavrilescu, M. Screening of Azotobacter, Bacillus and Pseudomonas Species as Plant Growth-Promoting Bacteria. Processes 2022, 11, 80. [Google Scholar] [CrossRef]
- Liang, C. Soil Microbial Carbon Pump: Mechanism and Appraisal. Soil Ecol. Lett. 2020, 2, 241–254. [Google Scholar] [CrossRef]
- Woolf, D.; Lehmann, J. Microbial Models with Minimal Mineral Protection Can Explain Long-Term Soil Organic Carbon Persistence. Sci. Rep. 2019, 9, 6522. [Google Scholar] [CrossRef]
- Heckman, K.; Hicks Pries, C.E.; Lawrence, C.R.; Rasmussen, C.; Crow, S.E.; Hoyt, A.M.; von Fromm, S.F.; Shi, Z.; Stoner, S.; McGrath, C.; et al. Beyond Bulk: Density Fractions Explain Heterogeneity in Global Soil Carbon Abundance and Persistence. Glob. Change Biol. 2022, 28, 1178–1196. [Google Scholar] [CrossRef] [PubMed]
- Ning, Y.; Chen, Z.; Xu, R.; Yang, Y.; Wang, S.; Zhou, D. Bio-Regulatory Mechanisms of Straw Incorporation in Haplic Phaeozem Region: Soil Ecosystem Responses Driven by Multi-Factor Interactions. Agriculture 2025, 15, 2195. [Google Scholar] [CrossRef]
- Benbi, D.K.; Toor, A.S.; Kumar, S. Management of Organic Amendments in Rice-Wheat Cropping System Determines the Pool Where Carbon Is Sequestered. Plant Soil 2012, 360, 145–162. [Google Scholar] [CrossRef]
- Chen, L.; Sun, S.; Yao, B.; Peng, Y.; Gao, C.; Qin, T.; Zhou, Y.; Sun, C.; Quan, W. Effects of Straw Return and Straw Biochar on Soil Properties and Crop Growth: A Review. Front. Plant Sci. 2022, 13, 986763. [Google Scholar] [CrossRef]
- Pan, F.F.; Pan, S.; Tang, J.; Chen, B.H. Continuous Biogas Slurry Substitution of Chemical Fertilizer with Wheat/Maize Straw Return Alters Surface and Subsoil Physicochemical and Aggregate Properties Differently. Eurasian Soil Sci. 2024, 57, 1369–1380. [Google Scholar] [CrossRef]
- Bai, T.; Ran, C.; Ma, Q.; Miao, Y.; Li, S.; Lan, H.; Li, X.; Chen, Q.; Zhang, Q.; Shao, X. The Application of Straw Return with Nitrogen Fertilizer Increases Rice Yield in Saline–Sodic Soils by Regulating Rice Organ Ion Concentrations and Soil Leaching Parameters. Agronomy 2024, 14, 2807. [Google Scholar] [CrossRef]
- He, W.; Wang, H.; Ye, W.; Tian, Y.; Hu, G.; Lou, Y.; Pan, H.; Yang, Q.; Zhuge, Y. Distinct Stabilization Characteristics of Organic Carbon in Coastal Salt-Affected Soils with Different Salinity under Straw Return Management. Land Degrad. Dev. 2022, 33, 2246–2257. [Google Scholar] [CrossRef]
- Salonen, A.-R.; de Goede, R.; Creamer, R.; Heinonsalo, J.; Soinne, H. Soil Organic Carbon Fractions and Storage Potential in Finnish Arable Soils. Eur. J. Soil Sci. 2024, 75, e13527. [Google Scholar] [CrossRef]
- de Lima, R.P.; Tormena, C.A.; Menillo, R.B.; La Scala Júnior, N.; da Silva, A.R.; Souza, Z.M.; Cerri, C.E.P.; Cherubin, M.R. Correlation of Total Organic C, Particulate and Mineral-Associated C Fractions with Strength Indicators in Oxisols. Soil Sci. Soc. Am. J. 2025, 89, e70141. [Google Scholar] [CrossRef]
- Razzaghi, F.; Obour, P.B.; Arthur, E. Does Biochar Improve Soil Water Retention? A Systematic Review and Meta-Analysis. Geoderma 2020, 361, 114055. [Google Scholar] [CrossRef]
- Deveci, H.; Önler, B.; Erdem, T. Modeling the Effect of Soil Type Change on Irrigation Water Requirements of Sunflower and Wheat Using CROPWAT 8.0. Water 2025, 17, 1437. [Google Scholar] [CrossRef]
- Gholami, L.; Karimi, N.; Kavian, A. Soil and Water Conservation Using Biochar and Various Soil Moisture in Laboratory Conditions. Catena 2019, 182, 104151. [Google Scholar] [CrossRef]
- Gutierrez, M.M.; Liu, S.C.; Dip, S.A.; Hettiarachchi, G.M.; Derby, M.M.; Hansen, R.R. Impact of Soil Texture on Biosurfactant-Mediated Soil Wetting and Water Retention. Agric. Environ. Lett. 2025, 10, e70043. [Google Scholar] [CrossRef]
- Yang, J.H.; Liu, H.Q.; Zhang, J.P.; Rahma, A.E.; Lei, T.W. Lab Simulation of Soil Erosion on Cultivated Soil Slopes with Wheat Straw Incorporation. Catena 2022, 210, 105865. [Google Scholar] [CrossRef]
- Tian, J.; Dungait, J.A.J.; Hou, R.; Deng, Y.; Hartley, I.P.; Yang, Y.; Kuzyakov, Y.; Zhang, F.; Cotrufo, M.F.; Zhou, J. Microbially Mediated Mechanisms Underlie Soil Carbon Accrual by Conservation Agriculture under Decade-Long Warming. Nat. Commun. 2024, 15, 377. [Google Scholar] [CrossRef] [PubMed]



| Soil Types | Phaeozems | Anthrosols | Arenosols | |
|---|---|---|---|---|
| pH | 8.09 ± 0.02 | 8.34 ± 0.01 | 8.46 ± 0.01 | |
| Soil organic carbon (g·kg−1) | 18.98 ± 0.40 | 10.98 ± 0.14 | 5.05 ± 0.23 | |
| Total Nitrogen (g·kg−1) | 1.30 ± 0.01 | 0.80 ± 0.01 | 0.31 ± 0.01 | |
| Electrical Conductivity (μS·cm−1) | 131.27 ± 2.15 | 107.87 ± 3.53 | 106.21 ± 5.12 | |
| Soil Machinery Components (%) | Sand (0.05–2 mm %) | 45.90 ± 3.15 | 49.08 ± 1.21 | 73.55 ± 0.06 |
| Silt (0.002–0.05 mm %) | 39.65 ± 2.11 | 34.10 ± 1.37 | 19.49 ± 0.34 | |
| Clay (<0.002 mm %) | 14.45 ± 2.54 | 16.82 ± 0.43 | 6.96 ± 0.55 | |
| Soil Types | Treatment Code | Straw Amendment | Incubation Period |
|---|---|---|---|
| Phaeozems | BC | No straw | 0, 15, 30, 45, 60, 90, 120 |
| BW | Wheat straw | 0, 15, 30, 45, 60, 90, 120 | |
| BM | Maize straw | 0, 15, 30, 45, 60, 90, 120 | |
| Arenosols | YC | No straw | 0, 15, 30, 45, 60, 90, 120 |
| YW | Wheat straw | 0, 15, 30, 45, 60, 90, 120 | |
| YM | Maize straw | 0, 15, 30, 45, 60, 90, 120 | |
| Anthrosols | LC | No straw | 0, 15, 30, 45, 60, 90, 120 |
| LW | Wheat straw | 0, 15, 30, 45, 60, 90, 120 | |
| LM | Maize straw | 0, 15, 30, 45, 60, 90, 120 |
| Soil Types | Incubation Period (Day) | pH | TN (g kg−1) | EC (μS cm−1) | Specific Surface Area (m2 g−1) | Average Pore Diameter (nm) | Mesoporous Volume (cm3 g−1) |
|---|---|---|---|---|---|---|---|
| BC | 0 | 8.09 ± 0.02 | 1.30 ± 0.01 | 131.27 ± 2.15 | 15.00 | 13.60 | 0.0313 |
| 120 | 7.71 ± 0.12 | 1.20 ± 0.04 | 504 ± 21.12 | 17.30 | 12.77 | 0.0326 | |
| BW | 0 | 7.96 ± 0.08 | 1.35 ± 0.02 | 183.4 ± 5.32 | 13.65 | 14.29 | 0.0317 |
| 120 | 7.75 ± 0.22 | 1.32 ± 0.05 | 358.4 ± 7.11 | 16.23 | 12.71 | 0.0320 | |
| BM | 0 | 7.88 ± 0.02 | 1.30 ± 0.07 | 214.2 ± 5.63 | 15.21 | 13.27 | 0.0313 |
| 120 | 7.58 ± 0.11 | 1.15 ± 0.10 | 412.3 ± 9.45 | 17.14 | 13.63 | 0.0348 | |
| LC | 0 | 8.34 ± 0.01 | 0.80 ± 0.01 | 107.87 ± 3.53 | 25.83 | 11.38 | 0.0436 |
| 120 | 8.15 ± 0.05 | 0.72 ± 0.03 | 198.8 ± 3.41 | 26.44 | 11.27 | 0.0441 | |
| LW | 0 | 8.32 ± 0.31 | 0.81 ± 0.01 | 127.96 ± 7.85 | 24.83 | 11.20 | 0.0410 |
| 120 | 8.46 ± 0.01 | 0.76 ± 0.17 | 107.66 ± 4.22 | 25.59 | 10.90 | 0.0435 | |
| LM | 0 | 8.24 ± 0.01 | 0.85 ± 0.01 | 149.8 ± 3.01 | 23.90 | 11.20 | 0.0401 |
| 120 | 8.43 ± 0.04 | 0.80 ± 0.01 | 132.86 ± 4.15 | 25.79 | 11.02 | 0.0443 | |
| YC | 0 | 8.46 ± 0.01 | 0.31 ± 0.01 | 106.21 ± 5.12 | 12.56 | 12.62 | 0.0228 |
| 120 | 8.05 ± 0.21 | 0.28 ± 0.17 | 137.76 ± 8.82 | 13.09 | 11.51 | 0.0227 | |
| YW | 0 | 8.13 ± 0.02 | 0.32 ± 0.03 | 117.81 ± 1.53 | 11.96 | 11.47 | 0.0197 |
| 120 | 8.23 ± 0.01 | 0.33 ± 0.02 | 97.02 ± 5.68 | 12.49 | 11.15 | 0.0205 | |
| YM | 0 | 8.02 ± 0.14 | 0.34 ± 0.01 | 143.5 ± 1.75 | 12.20 | 12.23 | 0.0211 |
| 120 | 8.23 ± 0.22 | 0.33 ± 0.01 | 116.13 ± 4.11 | 11.03 | 11.47 | 0.0215 |
| Source of Variation | df | Mean Square | F Value | Significance |
|---|---|---|---|---|
| Soil Types (S) | 2 | 1385.721 | 1259.743 | *** |
| Straw Treatment (T) | 2 | 218.447 | 198.588 | *** |
| Incubation Period (D) | 6 | 52.176 | 47.436 | *** |
| S × T | 4 | 53.713 | 48.823 | *** |
| S × D | 12 | 8.635 | 7.85 | *** |
| T × D | 12 | 3.146 | 2.86 | ** |
| S × T × D | 24 | 1.779 | 1.617 | * |
| Residual | 126 | 1.1 |
| Soil Types | Treatment | Period (Days) | MAOC/SOC (%) | POC/SOC (%) | POC/MAOC (%) |
|---|---|---|---|---|---|
| Anthrosols | LC | 0 | 0.88 ± 0.03 | 0.12 ± 0.03 | 0.14 ± 0.01 |
| 15 | 0.93 ± 0.02 | 0.07 ± 0.02 | 0.08 ± 0.02 | ||
| 30 | 0.92 ± 0.01 | 0.08 ± 0.01 | 0.08 ± 0.01 | ||
| 45 | 0.96 ± 0.01 | 0.04 ± 0.01 | 0.05 ± 0.00 | ||
| 60 | 0.95 ± 0.01 | 0.06 ± 0.01 | 0.06 ± 0.03 | ||
| 90 | 0.95 ± 0.02 | 0.05 ± 0.02 | 0.05 ± 0.02 | ||
| 120 | 0.82 ± 0.02 | 0.18 ± 0.01 | 0.23 ± 0.02 | ||
| LW | 0 | 0.83 ± 0.04 | 0.17 ± 0.01 | 0.21 ± 0.04 | |
| 15 | 0.91 ± 0.01 | 0.09 ± 0.01 | 0.10 ± 0.02 | ||
| 30 | 0.91 ± 0.02 | 0.09 ± 0.02 | 0.10 ± 0.02 | ||
| 45 | 0.92 ± 0.02 | 0.08 ± 0.02 | 0.09 ± 0.00 | ||
| 60 | 0.92 ± 0.03 | 0.08 ± 0.03 | 0.09 ± 0.03 | ||
| 90 | 0.92 ± 0.02 | 0.08 ± 0.02 | 0.08 ± 0.02 | ||
| 120 | 0.74 ± 0.02 | 0.26 ± 0.01 | 0.35 ± 0.02 | ||
| LM | 0 | 0.82 ± 0.03 | 0.18 ± 0.03 | 0.21 ± 0.03 | |
| 15 | 0.86 ± 0.03 | 0.14 ± 0.01 | 0.16 ± 0.03 | ||
| 30 | 0.92 ± 0.01 | 0.08 ± 0.01 | 0.09 ± 0.02 | ||
| 45 | 0.93 ± 0.02 | 0.07 ± 0.02 | 0.07 ± 0.02 | ||
| 60 | 0.91 ± 0.02 | 0.09 ± 0.02 | 0.10 ± 0.02 | ||
| 90 | 0.94 ± 0.01 | 0.06 ± 0.01 | 0.07 ± 0.01 | ||
| 120 | 0.93 ± 0.00 | 0.17 ± 0.00 | 0.19 ± 0.04 |
| Soil Types | Treatment | Period (Days) | MAOC/SOC (%) | POC/SOC (%) | POC/MAOC (%) |
|---|---|---|---|---|---|
| Phaeozems | BC | 0 | 0.75 ± 0.03 | 0.25 ± 0.03 | 0.33 ± 0.03 |
| 15 | 0.80 ± 0.04 | 0.20 ± 0.04 | 0.25 ± 0.04 | ||
| 30 | 0.71 ± 0.06 | 0.29 ± 0.06 | 0.40 ± 0.06 | ||
| 45 | 0.89 ± 0.02 | 0.11 ± 0.02 | 0.12 ± 0.02 | ||
| 60 | 0.81 ± 0.00 | 0.19 ± 0.00 | 0.23 ± 0.00 | ||
| 90 | 0.90 ± 0.02 | 0.10 ± 0.02 | 0.11 ± 0.02 | ||
| 120 | 0.75 ± 0.06 | 0.25 ± 0.06 | 0.34 ± 0.06 | ||
| BW | 0 | 0.73 ± 0.00 | 0.27 ± 0.00 | 0.38 ± 0.00 | |
| 15 | 0.77 ± 0.01 | 0.23 ± 0.01 | 0.29 ± 0.09 | ||
| 30 | 0.65 ± 0.04 | 0.35 ± 0.04 | 0.53 ± 0.11 | ||
| 45 | 0.80 ± 0.02 | 0.20 ± 0.02 | 0.25 ± 0.02 | ||
| 60 | 0.74 ± 0.04 | 0.26 ± 0.04 | 0.36 ± 0.04 | ||
| 90 | 0.86 ± 0.01 | 0.14 ± 0.01 | 0.17 ± 0.01 | ||
| 120 | 0.75 ± 0.02 | 0.25 ± 0.02 | 0.33 ± 0.02 | ||
| BM | 0 | 0.66 ± 0.03 | 0.34 ± 0.03 | 0.52 ± 0.03 | |
| 15 | 0.69 ± 0.04 | 0.31 ± 0.04 | 0.45 ± 0.04 | ||
| 30 | 0.78 ± 0.04 | 0.22 ± 0.04 | 0.28 ± 0.01 | ||
| 45 | 0.88 ± 0.01 | 0.12 ± 0.01 | 0.13 ± 0.01 | ||
| 60 | 0.77 ± 0.01 | 0.23 ± 0.01 | 0.31 ± 0.01 | ||
| 90 | 0.88 ± 0.02 | 0.12 ± 0.02 | 0.13 ± 0.02 | ||
| 120 | 0.80 ± 0.03 | 0.20 ± 0.03 | 0.25 ± 0.10 |
| Soil Types | Treatment | Period (Days) | MAOC/SOC (%) | POC/SOC (%) | POC/MAOC (%) |
|---|---|---|---|---|---|
| Arenosols | YC | 0 | 0.64 ± 0.04 | 0.36 ± 0.04 | 0.56 ± 0.04 |
| 15 | 0.68 ± 0.06 | 0.32 ± 0.06 | 0.48 ± 0.02 | ||
| 30 | 0.86 ± 0.02 | 0.14 ± 0.02 | 0.16 ± 0.02 | ||
| 45 | 0.75 ± 0.02 | 0.25 ± 0.02 | 0.34 ± 0.02 | ||
| 60 | 0.77 ± 0.04 | 0.23 ± 0.04 | 0.30 ± 0.04 | ||
| 90 | 0.73 ± 0.02 | 0.27 ± 0.02 | 0.37 ± 0.02 | ||
| 120 | 0.72 ± 0.01 | 0.28 ± 0.01 | 0.38 ± 0.08 | ||
| YW | 0 | 0.62 ± 0.02 | 0.38 ± 0.02 | 0.61 ± 0.02 | |
| 15 | 0.64 ± 0.02 | 0.36 ± 0.02 | 0.57 ± 0.02 | ||
| 30 | 0.71 ± 0.03 | 0.29 ± 0.03 | 0.41 ± 0.05 | ||
| 45 | 0.74 ± 0.03 | 0.26 ± 0.03 | 0.36 ± 0.03 | ||
| 60 | 0.75 ± 0.04 | 0.25 ± 0.04 | 0.34 ± 0.01 | ||
| 90 | 0.70 ± 0.02 | 0.30 ± 0.02 | 0.44 ± 0.02 | ||
| 120 | 0.66 ± 0.03 | 0.34 ± 0.03 | 0.52 ± 0.01 | ||
| YM | 0 | 0.68 ± 0.04 | 0.32 ± 0.04 | 0.48 ± 0.04 | |
| 15 | 0.63 ± 0.02 | 0.37 ± 0.02 | 0.59 ± 0.01 | ||
| 30 | 0.69 ± 0.03 | 0.31 ± 0.03 | 0.45 ± 0.01 | ||
| 45 | 0.75 ± 0.02 | 0.25 ± 0.02 | 0.33 ± 0.02 | ||
| 60 | 0.77 ± 0.02 | 0.23 ± 0.02 | 0.29 ± 0.08 | ||
| 90 | 0.75 ± 0.02 | 0.25 ± 0.02 | 0.33 ± 0.16 | ||
| 120 | 0.55 ± 0.00 | 0.45 ± 0.00 | 0.83 ± 0.04 |
| Treatment | ) | , Days) | , Days) | Amplitude (A) | R2 |
|---|---|---|---|---|---|
| BC | 0.74 ± 0.03 | 78.53 ± 6.48 | 30.46 ± 6.85 | 0.15 ± 0.03 | 0.33 |
| BW | 0.73 ± 0.00 | 90.36 ± 7.42 | 17.33 ± 4.43 | 0.13 ± 0.03 | 0.32 |
| BM | 0.74 ± 0.03 | 84.28 ± 9.15 | 30.72 ± 9.45 | 0.13 ± 0.04 | 0.38 |
| LC | 0.84 ± 0.03 | 53.46 ± 4.82 | 36.33 ± 5.13 | 0.12 ± 0.01 | 0.60 |
| LW | 0.80 ± 0.04 | 52.93 ± 5.18 | 35.38 ± 5.43 | 0.14 ± 0.02 | 0.58 |
| LM | 0.82 ± 0.03 | 86.68 ± 8.13 | 50.82 ± 9.15 | 0.12 ± 0.01 | 0.58 |
| YC | 0.69 ± 0.04 | 62.90 ± 7.04 | 25.85 ± 6.86 | 0.09 ± 0.02 | 0.37 |
| YW | 0.65 ± 0.02 | 56.64 ± 5.08 | 23.41 ± 4.46 | 0.11 ± 0.02 | 0.55 |
| YM | 0.59 ± 0.04 | 62.23 ± 3.89 | 28.98 ± 3.83 | 0.20 ± 0.02 | 0.62 |
Disclaimer/Publisher’s Note: The statements, opinions and data contained in all publications are solely those of the individual author(s) and contributor(s) and not of MDPI and/or the editor(s). MDPI and/or the editor(s) disclaim responsibility for any injury to people or property resulting from any ideas, methods, instructions or products referred to in the content. |
© 2026 by the authors. Licensee MDPI, Basel, Switzerland. This article is an open access article distributed under the terms and conditions of the Creative Commons Attribution (CC BY) license.
Share and Cite
Wang, Q.; Sun, Y.; Fan, S.; Lian, X.; Zhou, Y.; Wang, L.; Xu, C.; Hu, F.; Du, W.; Lv, J. Soil Texture Mediates the Short-Term Response of Particulate and Mineral-Associated Organic Carbon to Straw Return in the Loess Plateau. Agronomy 2026, 16, 647. https://doi.org/10.3390/agronomy16060647
Wang Q, Sun Y, Fan S, Lian X, Zhou Y, Wang L, Xu C, Hu F, Du W, Lv J. Soil Texture Mediates the Short-Term Response of Particulate and Mineral-Associated Organic Carbon to Straw Return in the Loess Plateau. Agronomy. 2026; 16(6):647. https://doi.org/10.3390/agronomy16060647
Chicago/Turabian StyleWang, Qiqi, Yujiao Sun, Shubo Fan, Xiaohui Lian, Yulong Zhou, Leiqi Wang, Chenyang Xu, Feinan Hu, Wei Du, and Jialong Lv. 2026. "Soil Texture Mediates the Short-Term Response of Particulate and Mineral-Associated Organic Carbon to Straw Return in the Loess Plateau" Agronomy 16, no. 6: 647. https://doi.org/10.3390/agronomy16060647
APA StyleWang, Q., Sun, Y., Fan, S., Lian, X., Zhou, Y., Wang, L., Xu, C., Hu, F., Du, W., & Lv, J. (2026). Soil Texture Mediates the Short-Term Response of Particulate and Mineral-Associated Organic Carbon to Straw Return in the Loess Plateau. Agronomy, 16(6), 647. https://doi.org/10.3390/agronomy16060647

