Biochar Silicon Content Divergently Regulates N2O Emissions and Cadmium Availability in Acidic Soils
Abstract
1. Introduction
2. Materials and Methods
2.1. Soil Sampling and Biochar Preparation
2.2. Experimental Design and Laboratory Incubation
2.3. Measurement of N2O Emissions
2.4. Determination of Soil Physicochemical Properties and Microbial Functional Genes
2.5. Statistical Analyses
3. Results
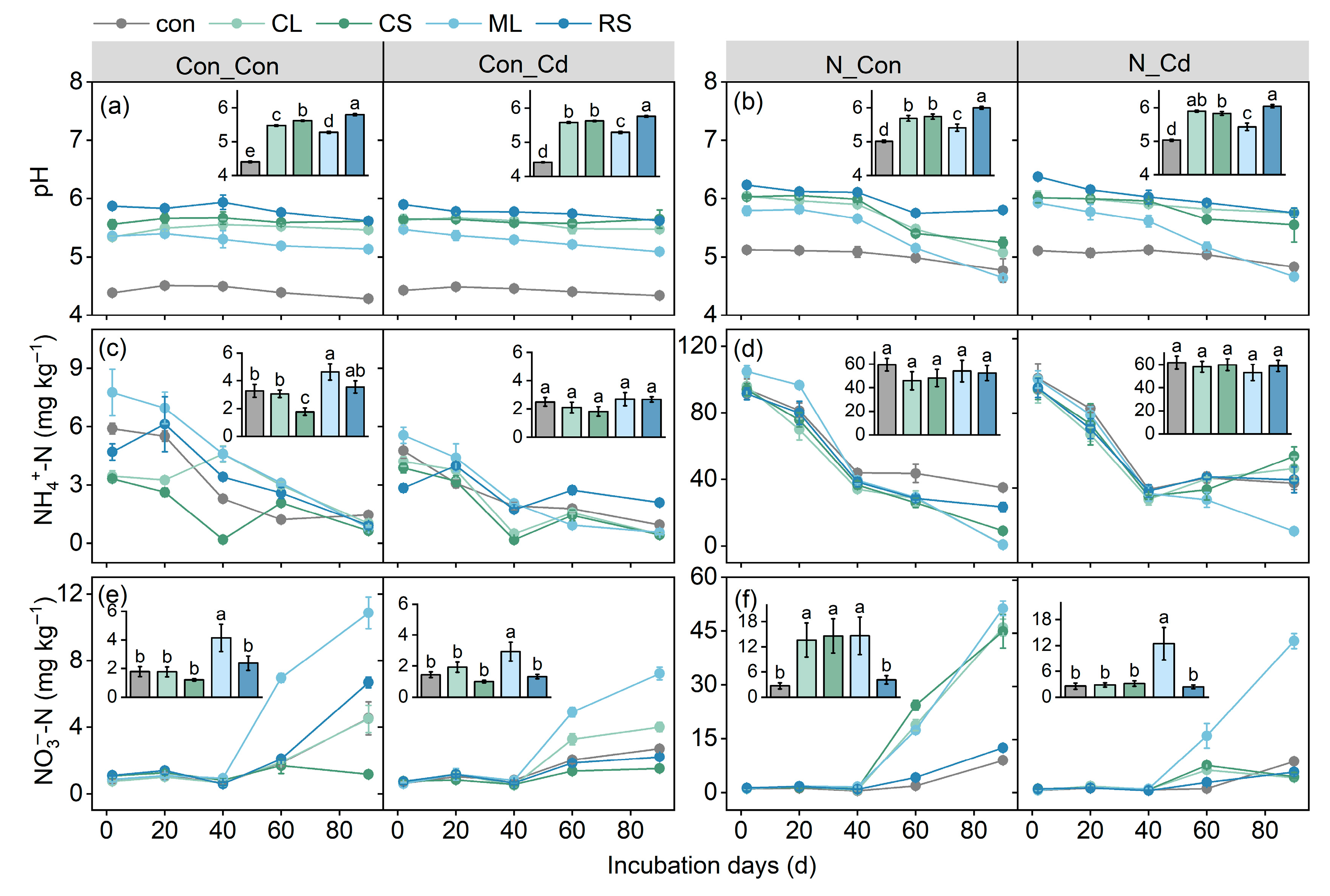
3.1. Soil pH and N Transformation Dynamics Under Biochar, N, and Cd Addition
3.2. N2O Emissions and Functional Gene Responses to Biochar, N, and Cd Addition
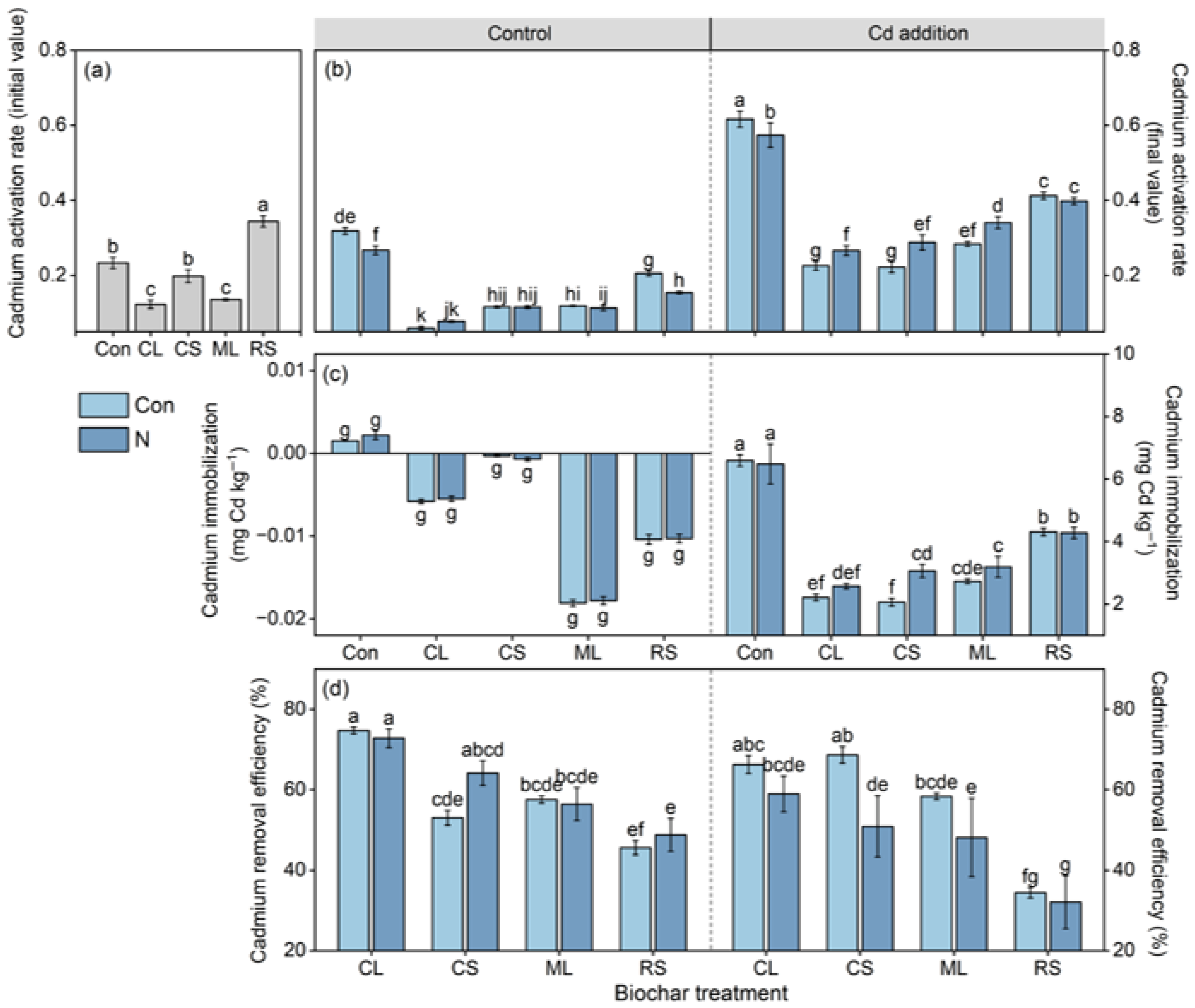
3.3. Effects of Biochar on Cd Immobilization and Removal Efficiency
3.4. Integrated Variable Relationships of N2O Emissions and Cd Mobilization
4. Discussion
5. Conclusions
Supplementary Materials
Author Contributions
Funding
Data Availability Statement
Acknowledgments
Conflicts of Interest
References
- Adnan, M.; Xiao, B.; Ali, M.U.; Xiao, P.; Zhao, P.; Wang, H.; Bibi, S. Heavy metals pollution from smelting activities: A threat to soil and groundwater. Ecotoxicol. Environ. Saf. 2024, 274, 116189. [Google Scholar] [CrossRef]
- Ashraf, S.; Munir, B.; Ahmad, S.R.; Irshad, M.K.; Akram, W.; Ashraf, S.; Majid, Z.; Irfan, Z. Coupling of biochar and silicon for Phyto-management of Cd contaminated soil using Brachiaria mutica. Results Eng. 2024, 24, 102929. [Google Scholar] [CrossRef]
- Change, I.P.O.C. Climate change 2007: The physical science basis. Agenda 2007, 6, 333. [Google Scholar]
- Clemens, S.; Aarts, M.G.; Thomine, S.; Verbruggen, N. Plant science: The key to preventing slow cadmium poisoning. Trends Plant Sci. 2013, 18, 92–99. [Google Scholar] [CrossRef]
- Huang, Y.; He, C.; Shen, C.; Guo, J.; Mubeen, S.; Yuan, J.; Yang, Z. Toxicity of cadmium and its health risks from leafy vegetable consumption. Food Funct. 2017, 8, 1373–1401. [Google Scholar] [CrossRef] [PubMed]
- Liu, Y.-Q.; Chen, Y.; Li, Y.-Y.; Ding, C.-Y.; Li, B.-L.; Han, H.; Chen, Z.-J. Plant growth-promoting bacteria improve the Cd phytoremediation efficiency of soils contaminated with PE–Cd complex pollution by influencing the rhizosphere microbiome of sorghum. J. Hazard. Mater. 2024, 469, 134085. [Google Scholar] [CrossRef]
- Zhao, F.-J.; Ma, Y.; Zhu, Y.-G.; Tang, Z.; McGrath, S.P. Soil contamination in China: Current status and mitigation strategies. Environ. Sci. Technol. 2015, 49, 750–759. [Google Scholar] [CrossRef] [PubMed]
- Tian, H.; Xu, R.; Canadell, J.G.; Thompson, R.L.; Winiwarter, W.; Suntharalingam, P.; Davidson, E.A.; Ciais, P.; Jackson, R.B.; Janssens-Maenhout, G. A comprehensive quantification of global nitrous oxide sources and sinks. Nature 2020, 586, 248–256. [Google Scholar] [CrossRef] [PubMed]
- Arias, P.; Bellouin, N.; Coppola, E.; Jones, R.; Krinner, G.; Marotzke, J.; Naik, V.; Palmer, M.; Plattner, G.-K.; Rogelj, J. Climate Change 2021: The Physical Science Basis. Contribution of Working Group I to the Sixth Assessment Report of the Intergovernmental Panel on Climate Change; Technical Summary; Cambridge University Press: Cambridge, UK, 2021. [Google Scholar]
- Li, Y.; Wang, Z.; Ju, X.; Wu, D. Disproportional oxidation rates of ammonia and nitrite deciphers the heterogeneity of fertilizer-induced N2O emissions in agricultural soils. Soil Biol. Biochem. 2024, 191, 109325. [Google Scholar] [CrossRef]
- Wang, J.; Wang, S. Preparation, modification and environmental application of biochar: A review. J. Clean. Prod. 2019, 227, 1002–1022. [Google Scholar] [CrossRef]
- Joseph, S.; Cowie, A.L.; Van Zwieten, L.; Bolan, N.; Budai, A.; Buss, W.; Cayuela, M.L.; Graber, E.R.; Ippolito, J.A.; Kuzyakov, Y. How biochar works, and when it doesn’t: A review of mechanisms controlling soil and plant responses to biochar. GCB Bioenergy 2021, 13, 1731–1764. [Google Scholar] [CrossRef]
- He, L.; Zhong, H.; Liu, G.; Dai, Z.; Brookes, P.C.; Xu, J. Remediation of heavy metal contaminated soils by biochar: Mechanisms, potential risks and applications in China. Environ. Pollut. 2019, 252, 846–855. [Google Scholar] [CrossRef]
- Pérez-Esteban, J.; Escolástico, C.; Moliner, A.; Masaguer, A.; Ruiz-Fernández, J. Phytostabilization of metals in mine soils using Brassica juncea in combination with organic amendments. Plant Soil 2014, 377, 97–109. [Google Scholar] [CrossRef]
- Lahori, A.H.; Zhanyu, G.; Zhang, Z.; Ronghua, L.; Mahar, A.; Awasthi, M.K.; Feng, S.; Sial, T.A.; Kumbhar, F.; Ping, W. Use of biochar as an amendment for remediation of heavy metal-contaminated soils: Prospects and challenges. Pedosphere 2017, 27, 991–1014. [Google Scholar] [CrossRef]
- Xu, X.; He, C.; Yuan, X.; Zhang, Q.; Wang, S.; Wang, B.; Guo, X.; Zhang, L. Rice straw biochar mitigated more N2O emissions from fertilized paddy soil with higher water content than that derived from ex situ biowaste. Environ. Pollut. 2020, 263, 114477. [Google Scholar] [CrossRef] [PubMed]
- Azzi, E.S.; Li, H.; Cederlund, H.; Karltun, E.; Sundberg, C. Modelling biochar long-term carbon storage in soil with harmonized analysis of decomposition data. Geoderma 2024, 441, 116761. [Google Scholar] [CrossRef]
- Rambhatla, N.; Panicker, T.F.; Mishra, R.K.; Manjeshwar, S.K.; Sharma, A. Biomass pyrolysis for biochar production: Study of kinetics parameters and effect of temperature on biochar yield and its physicochemical properties. Results Eng. 2025, 25, 103679. [Google Scholar] [CrossRef]
- Tian, J.; Li, X.; Ding, W.; Shuai, K.; Zhen, Q.; She, D. Enhanced removal of cadmium from aqueous environments and soil during electrokinetic remediation using Si-Mg modified sawdust-based biochar as an adsorbent and permeable reactive barrier material. Chem. Eng. J. 2025, 508, 161178. [Google Scholar] [CrossRef]
- Wang, S.; Hafeez, A.; Zhang, T.; Rao, M.J.; Li, S.; Cai, K. Silicon-modified Solidago canadensis L. biochar suppresses soilborne disease and improves soil quality. Biochar 2025, 7, 3. [Google Scholar] [CrossRef]
- Zhang, H.-Z.; Yang, J.-L.; Sun, Y.-Q.; Song, X.-D.; Zang, G.-L. Terrestrial biogeochemical silicon cycle in tropical regions: A review. Pedosphere 2025, in press. [Google Scholar] [CrossRef]
- Cai, D. Research and application development of silicon fertilizer at home and abroad. Phos. Comp. Fert. 2017, 32, 37–39. [Google Scholar]
- Cai, T.; Liu, X.; Zhang, J.; Tie, B.; Lei, M.; Wei, X.; Peng, O.; Du, H. Silicate-modified oiltea camellia shell-derived biochar: A novel and cost-effective sorbent for cadmium removal. J. Clean. Prod. 2021, 281, 125390. [Google Scholar] [CrossRef]
- Gao, Y.; Wang, B.; Luo, L.; Deng, B.; Shad, N.; Hu, D.; Aly, H.M.; Zhang, L. Effects of hydroxyapatite and modified biochar derived from Camellia oleifera fruit shell on soil Cd contamination and N2O emissions. Ind. Crops Prod. 2022, 177, 114476. [Google Scholar] [CrossRef]
- Wang, B.; Gao, Y.; Lai, X.; Luo, L.; Zhang, X.; Hu, D.; Shen, Z.; Hu, S.; Zhang, L. The effects of biochar derived from feedstock with different Si and Al concentration on soil N2O and CO2 emissions. Environ. Pollut. 2023, 317, 120731. [Google Scholar] [CrossRef]
- Liao, J.; Hu, A.; Zhao, Z.; Liu, X.; Jiang, C.; Zhang, Z. Biochar with large specific surface area recruits N2O-reducing microbes and mitigate N2O emission. Soil Biol. Biochem. 2021, 156, 108212. [Google Scholar] [CrossRef]
- Zhang, F.; Wang, X.; Yin, D.; Peng, B.; Tan, C.; Liu, Y.; Tan, X.; Wu, S. Efficiency and mechanisms of Cd removal from aqueous solution by biochar derived from water hyacinth (Eichornia crassipes). J. Environ. Manag. 2015, 153, 68–73. [Google Scholar] [CrossRef] [PubMed]
- Carter, M.R.; Gregorich, E.G. Soil Sampling and Methods of Analysis; CRC Press: Boca Raton, FL, USA, 2007. [Google Scholar]
- Ding, Y.; Liu, Y.; Liu, S.; Li, Z.; Tan, X.; Huang, X.; Zeng, G.; Zhou, Y.; Zheng, B.; Cai, X. Competitive removal of Cd(ii) and Pb(ii) by biochars produced from water hyacinths: Performance and mechanism. RSC Adv. 2016, 6, 5223–5232. [Google Scholar] [CrossRef]
- Wu, P.; Xie, M.; Clough, T.J.; Yuan, D.; Wu, S.; He, X.; Hu, C.; Zhou, S.; Qin, S. Biochar-derived persistent free radicals and reactive oxygen species reduce the potential of biochar to mitigate soil N2O emissions by inhibiting nosZ. Soil Biol. Biochem. 2023, 178, 108970. [Google Scholar] [CrossRef]
- Zama, E.F.; Reid, B.J.; Arp, H.P.H.; Sun, G.-X.; Yuan, H.-Y.; Zhu, Y.-G. Advances in research on the use of biochar in soil for remediation: A review. J. Soils Sediments 2018, 18, 2433–2450. [Google Scholar] [CrossRef]
- He, Y.; Yang, Y.; Lin, Q.; Jin, T.; Zang, X.; Yun, T.; Ding, Z.; Rekaby, S.A.; Zhao, Z.; Eissa, M.A. Physio-biochemical evaluation of Si-rich biochar amendment to improve the salt stress tolerance of Grand Nain and Williams banana genotypes. Ind. Crops Prod. 2023, 204, 117333. [Google Scholar] [CrossRef]
- Aghoghovwia, M.P.; Hardie, A.G.; Rozanov, A.B. Characterisation, adsorption and desorption of ammonium and nitrate of biochar derived from different feedstocks. Environ. Technol. 2022, 43, 774–787. [Google Scholar] [CrossRef] [PubMed]
- Kuypers, M.M.; Marchant, H.K.; Kartal, B. The microbial nitrogen-cycling network. Nat. Rev. Microbiol. 2018, 16, 263–276. [Google Scholar] [CrossRef]
- Kammann, C.; Ippolito, J.; Hagemann, N.; Borchard, N.; Cayuela, M.L.; Estavillo, J.M.; Fuertes-Mendizabal, T.; Jeffery, S.; Kern, J.; Novak, J. Biochar as a tool to reduce the agricultural greenhouse-gas burden–knowns, unknowns and future research needs. J. Environ. Eng. Landsc. Manag. 2017, 25, 114–139. [Google Scholar] [CrossRef]
- Hu, H.-W.; Chen, D.; He, J.-Z. Microbial regulation of terrestrial nitrous oxide formation: Understanding the biological pathways for prediction of emission rates. FEMS Microbiol. Rev. 2015, 39, 729–749. [Google Scholar] [CrossRef]
- Liu, L.; Yang, X.; Ahmad, S.; Li, X.; Ri, C.; Tang, J.; Ellam, R.M.; Song, Z. Silicon (Si) modification of biochars from different Si-bearing precursors improves cadmium remediation. Chem. Eng. J. 2023, 457, 141194. [Google Scholar] [CrossRef]
- Li, A.; Lu, T.; Zhang, Y.; Deng, S.; Duan, X.; Qiu, G. Mechanisms for synergistically enhancing cadmium remediation performance of biochar: Silicon activation and functional group effects. Bioresour. Technol. 2024, 404, 130913. [Google Scholar] [CrossRef]
- Lee, S.-J.; Park, J.H.; Ahn, Y.-T.; Chung, J.W. Comparison of heavy metal adsorption by peat moss and peat moss-derived biochar produced under different carbonization conditions. Water Air Soil Pollut. 2015, 226, 9. [Google Scholar] [CrossRef]
- Kumarathilaka, P.; Bundschuh, J.; Seneweera, S.; Marchuk, A.; Ok, Y.S. Iron modification to silicon-rich biochar and alternative water management to decrease arsenic accumulation in rice (Oryza sativa L.). Environ. Pollut. 2021, 286, 117661. [Google Scholar] [CrossRef] [PubMed]
- Gao, L.-Y.; Deng, J.-H.; Huang, G.-F.; Li, K.; Cai, K.-Z.; Liu, Y.; Huang, F. Relative distribution of Cd2+ adsorption mechanisms on biochars derived from rice straw and sewage sludge. Bioresour. Technol. 2019, 272, 114–122. [Google Scholar] [CrossRef]





| Factors | ML Biochar | RS Biochar | CL Biochar | CS Biochar |
|---|---|---|---|---|
| pH | 8.50 ± 0.01 | 9.98 ± 0.00 | 8.39 ± 0.02 | 10.49 ± 0.03 |
| SOC (g kg−1) | 456.68 ± 14.54 | 410.75 ± 6.36 | 526.01 ± 4.61 | 453.40 ± 16.22 |
| TN (g kg−1) | 75.81 ± 8.07 | 38.46 ± 3.24 | 42.26 ± 1.27 | 9.74 ± 0.72 |
| DOC (mg kg−1) | 426.17 ± 37.92 | 2231.33 ± 125.00 | 269.55 ± 14.52 | 1358.04 ± 148.02 |
| NH4+-N (mg kg−1) | 12.47 ± 0.07 | 3.45 ± 0.11 | 2.82 ± 0.22 | 2.79 ± 0.11 |
| NO3−-N (mg kg−1) | 0.46 ± 0.05 | 0.09 ± 0.01 | 0.18 ± 0.02 | 0.63 ± 0.01 |
| TCd (mg kg−1) | 0.15 ± 0.00 | 0.04 ± 0.00 | 0.06 ± 0.00 | 0.013 ± 0.00 |
| ACd (mg kg−1) | 0.02 ± 0.00 | 0.01 ± 0.00 | 0.007 ± 0.00 | 0.003 ± 0.00 |
| TSi (g kg−1) | 24.03 ± 0.23 | 31.37 ± 0.38 | 4.43 ± 0.29 | 5.90 ± 0.40 |
Disclaimer/Publisher’s Note: The statements, opinions and data contained in all publications are solely those of the individual author(s) and contributor(s) and not of MDPI and/or the editor(s). MDPI and/or the editor(s) disclaim responsibility for any injury to people or property resulting from any ideas, methods, instructions or products referred to in the content. |
© 2025 by the authors. Licensee MDPI, Basel, Switzerland. This article is an open access article distributed under the terms and conditions of the Creative Commons Attribution (CC BY) license.
Share and Cite
Xu, X.; Xie, X.; Huang, H.; Yu, Y.; Lai, X.; Zhang, L. Biochar Silicon Content Divergently Regulates N2O Emissions and Cadmium Availability in Acidic Soils. Agronomy 2026, 16, 75. https://doi.org/10.3390/agronomy16010075
Xu X, Xie X, Huang H, Yu Y, Lai X, Zhang L. Biochar Silicon Content Divergently Regulates N2O Emissions and Cadmium Availability in Acidic Soils. Agronomy. 2026; 16(1):75. https://doi.org/10.3390/agronomy16010075
Chicago/Turabian StyleXu, Xintong, Xixian Xie, Hongyuan Huang, Yadi Yu, Xiaoqin Lai, and Ling Zhang. 2026. "Biochar Silicon Content Divergently Regulates N2O Emissions and Cadmium Availability in Acidic Soils" Agronomy 16, no. 1: 75. https://doi.org/10.3390/agronomy16010075
APA StyleXu, X., Xie, X., Huang, H., Yu, Y., Lai, X., & Zhang, L. (2026). Biochar Silicon Content Divergently Regulates N2O Emissions and Cadmium Availability in Acidic Soils. Agronomy, 16(1), 75. https://doi.org/10.3390/agronomy16010075

