Monitoring Rice Blast Disease Progression Through the Fusion of Time-Series Hyperspectral Imaging and Deep Learning
Abstract
1. Introduction
2. Materials and Methods
2.1. Experimental Design
2.1.1. Rice Cultivation and Artificial Inoculation
2.1.2. Definition of the Disease Infection Process
2.1.3. Experimental Setup
2.2. Data Collection
2.2.1. Acquisition of Leaf Reflectance Spectra
2.2.2. Dataset Construction
2.3. Model Development
2.3.1. Dimensionality Reduction in Spectral Data
2.3.2. Autoformer Model
2.3.3. Multi-Scale Convolution
2.3.4. Adaptive Decomposition
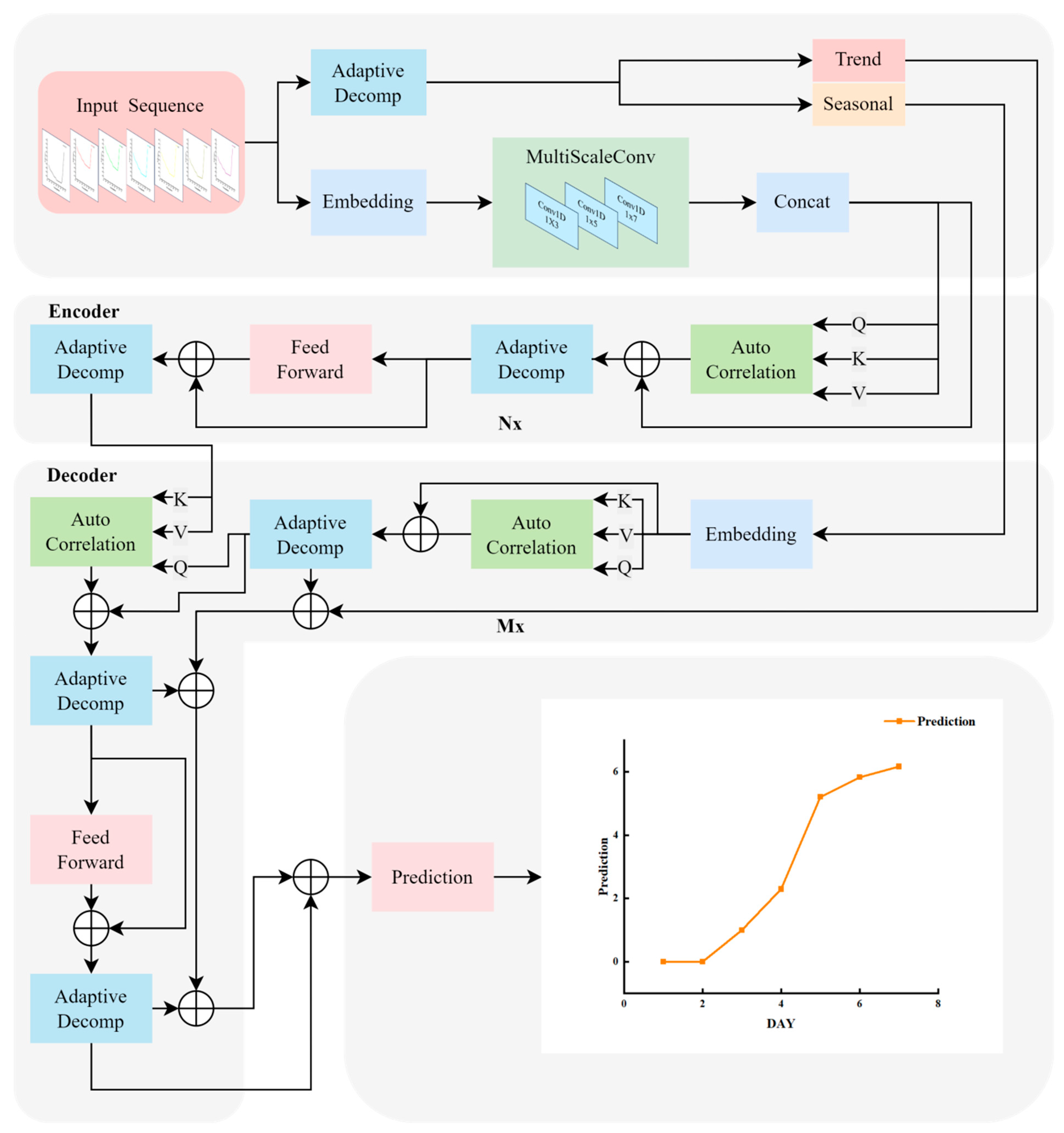
2.3.5. Architecture of the AutoMSD Model
2.4. Model Training and Evaluation
2.4.1. Model Training
2.4.2. Model Evaluation
3. Results
3.1. Dimensionality Reduction in Spectral Data Analysis
3.1.1. Analysis of Dimensionality Reduction Results Using Pearson Correlation
3.1.2. Analysis of RF Dimensionality Reduction Results
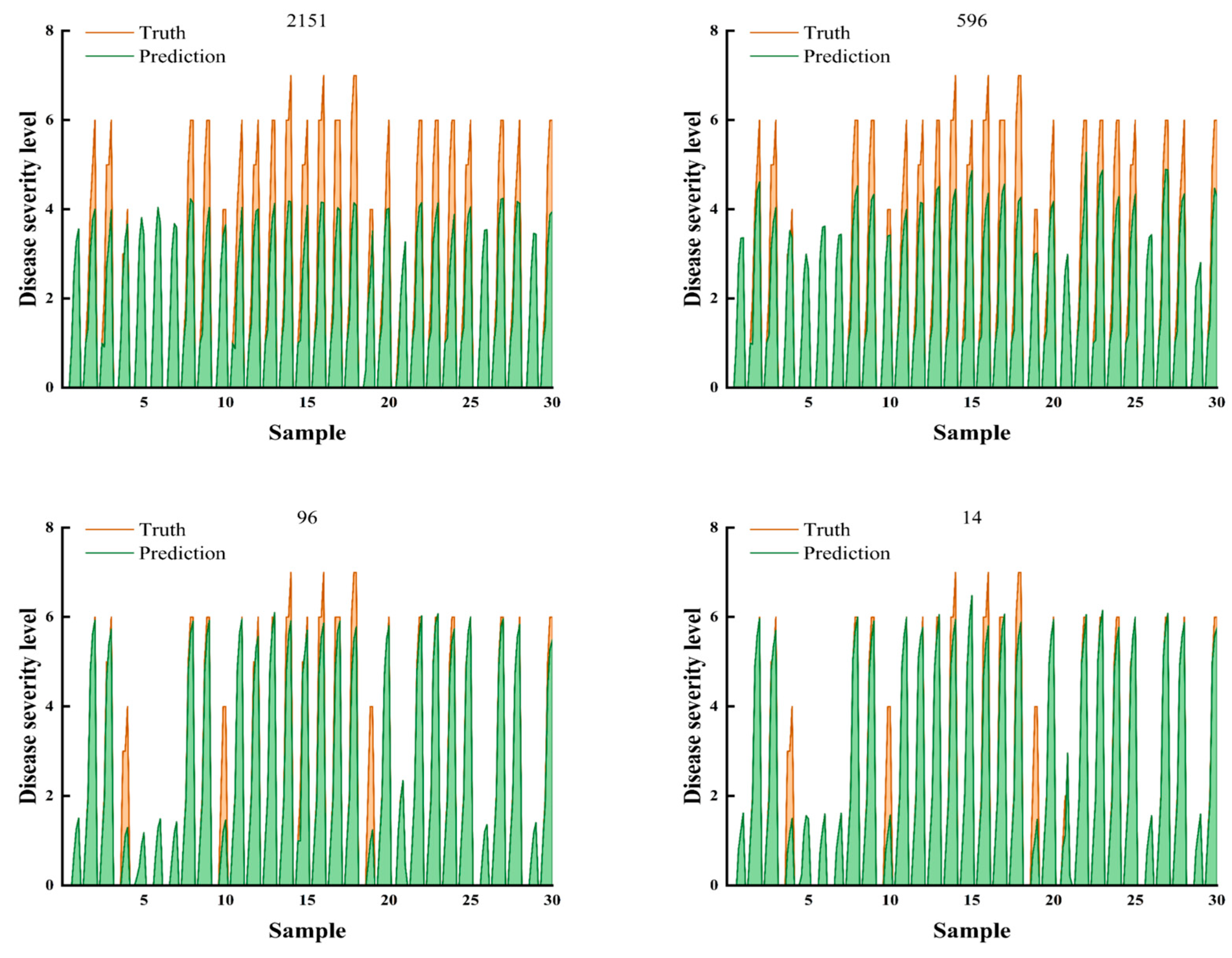
3.2. Autoformer Modeling Analysis
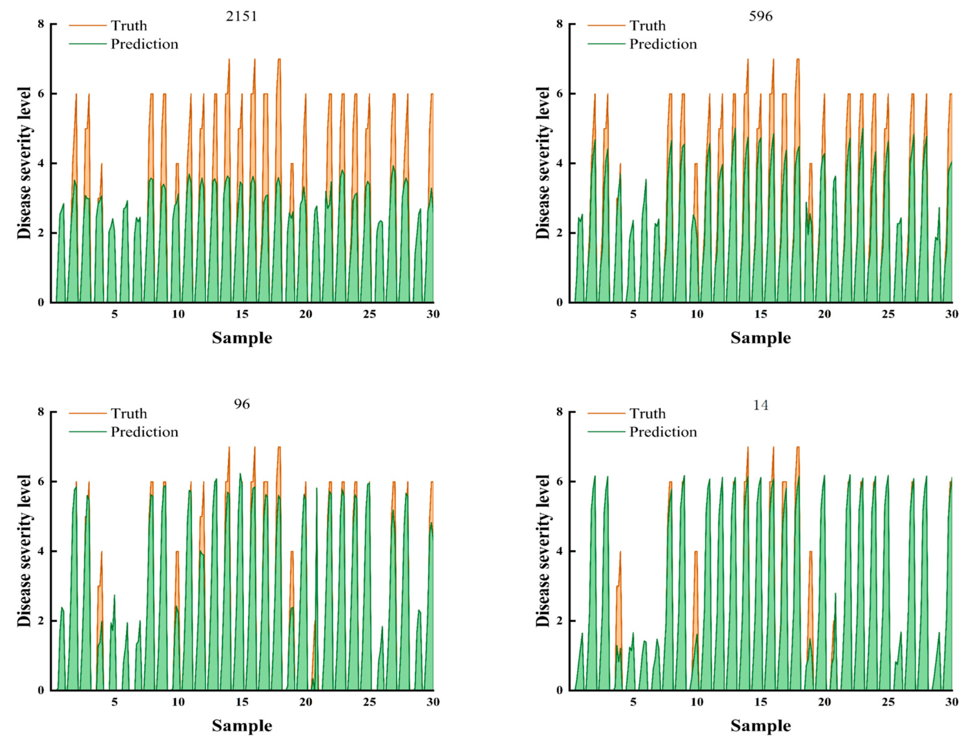
3.3. AutoMSD Modeling Analysis
4. Discussion
4.1. Effectiveness of the Proposed AutoMSD Model in Rice Blast Prediction
4.2. Technical Advantages of Multi-Scale Convolution and Adaptive Decomposition
4.3. Model Evaluation and Comparative Analysis
4.4. Limitations and Future Work
5. Conclusions
Supplementary Materials
Author Contributions
Funding
Data Availability Statement
Conflicts of Interest
References
- Wang, G.L.; Valent, B. Durable resistance to rice blast. Science 2017, 355, 906–907. [Google Scholar] [CrossRef]
- Zhang, H.F.; Yang, J.; Liu, M.X.; Xu, X.Z.; Yang, L.Y.; Liu, X.Y.; Peng, Y.L.; Zhang, Z.G. Early molecular events in the interaction between Magnaporthe oryzae and rice. Phytopathol. Res. 2024, 6, 9. [Google Scholar] [CrossRef]
- Shahriar, S.A.; Imtiaz, A.A.; Hossain, M.B.; Husna, A.; Eaty, M.N.K. Review: Rice blast disease. Annu. Res. Rev. Biol. 2020, 35, 50–64. [Google Scholar] [CrossRef]
- Wu, J.; Kou, Y.J.; Bao, J.D.; Li, Y.; Tang, M.Z.; Zhu, X.L.; Ponaya, A.; Xiao, G.; Li, J.B.; Li, C.Y.; et al. Comparative genomics identifies the Magnaporthe oryzae avirulence effector AvrPi9 that triggers Pi9-mediated blast resistance in rice. New Phytol. 2015, 206, 1463–1475. [Google Scholar] [CrossRef] [PubMed]
- Xiao, G.; Wang, W.J.; Liu, M.X.; Li, Y.; Liu, J.B.; Franceschetti, M.; Yi, Z.F.; Zhu, X.Y.; Zhang, Z.G.; Lu, G.D.; et al. The Piks allele of the NLR immune receptor Pik breaks the recognition of AvrPik effectors of rice blast fungus. J. Integr. Plant Biol. 2023, 65, 810–824. [Google Scholar] [CrossRef] [PubMed]
- Xuan, G.T.; Li, Q.K.; Shao, Y.Y.; Shi, Y.K. Early diagnosis and pathogenesis monitoring of wheat powdery mildew caused by blumeria graminis using hyperspectral imaging. Comput. Electron. Agric. 2022, 197, 106921. [Google Scholar] [CrossRef]
- Deng, J.; Wang, R.; Yang, L.J.; Lv, X.; Yang, Z.Q.; Zhang, K.; Zhou, C.Y.; Pengju, L.; Wang, Z.F.; Abdullah, A.; et al. Quantitative estimation of wheat stripe rust disease index using unmanned aerial vehicle hyperspectral imagery and innovative vegetation indices. IEEE Trans. Geosci. Remote Sens. 2023, 61, 1–11. [Google Scholar] [CrossRef]
- Liang, X.Y.; Zhang, Z.T.; Yang, S.; Chen, X.; Yao, Z.F.; Song, H.B. Hyperspectral imaging-based lightweight detection method for rapid detection of Fusarium head blight severity in wheat. J. Agric. Mach. 2025, 56, 218–227. [Google Scholar]
- Lin, F.F.; Li, B.R.; Zhou, R.Y.; Chen, H.Z.; Zhang, J.C. Early detection of rice sheath blight using hyperspectral remote sensing. Remote Sens. 2024, 16, 2047. [Google Scholar] [CrossRef]
- Zhang, G.S.; Xu, T.Y.; Tian, Y.W. Hyperspectral imaging-based classification of rice leaf blast severity over multiple growth stages. Plant Methods 2022, 18, 123. [Google Scholar] [CrossRef]
- Tian, L.; Wang, Z.Y.; Xue, B.W.; Li, D.; Zheng, H.B.; Yao, X.; Zhu, Y.; Cao, W.X.; Cheng, T. A disease-specific spectral index tracks Magnaporthe oryzae infection in paddy rice from ground to space. Remote Sens. Environ. 2023, 285, 113384. [Google Scholar] [CrossRef]
- Su, J.Y.; Liu, C.J.; Hu, X.P.; Xu, X.M.; Guo, L.; Chen, W.H. Spatio-temporal monitoring of wheat yellow rust using UAV multispectral imagery. Comput. Electron. Agric. 2019, 167, 105035. [Google Scholar] [CrossRef]
- Hassan, M.A.; Yang, M.J.; Rasheed, A.; Jin, X.L.; Xia, X.C.; Xiao, Y.G.; He, Z.H. Time-series multispectral indices from unmanned aerial vehicle imagery reveal senescence rate in bread wheat. Remote Sens. 2018, 10, 809. [Google Scholar] [CrossRef]
- Kim, Y.; Roh, J.H.; Kim, H.Y. Early forecasting of rice blast disease using long short-term memory recurrent neural networks. Sustainability 2018, 10, 34. [Google Scholar] [CrossRef]
- Guo, W.; Dang, M.J.; Jia, X.; He, Q.; Gao, C.F.; Dong, P. Grade classification of wheat stripe rust disease based on deep learning. J. South China Agric. Univ. 2023, 44, 604–612. [Google Scholar]
- Verma, T.; Dubey, S. Prediction of diseased rice plant using video processing and LSTM-simple recurrent neural network with comparative study. Multimed. Tools Appl. 2021, 80, 29267–29298. [Google Scholar] [CrossRef]
- Guo, Z.Q.; Chen, X.H.; Li, M.; Chi, Y.C.; Shi, D.Y. Construction and validation of peanut leaf spot disease prediction model based on long time series data and deep learning. Agronomy 2024, 14, 294. [Google Scholar] [CrossRef]
- Hochreiter, S.; Schmidhuber, J. Long short-term memory. Neural Comput. 1997, 9, 1735–1780. [Google Scholar] [CrossRef]
- Wen, Q.S.; Zhou, T.; Zhang, C.L.; Chen, W.Q.; Ma, Z.Q.; Yan, J.C.; Sun, L. Transformers in time series: A survey. In Proceedings of the International Joint Conference on Artificial Intelligence (IJCAI), Macao, China, 19–25 August 2023. [Google Scholar]
- Liang, Y.X.; Xia, Y.T.; Ke, S.Y.; Wang, Y.W.; Wen, Q.S.; Zhang, J.B.; Zheng, Y.; Zimmermann, R. Airformer: Predicting nationwide air quality in China with transformers. In Proceedings of the AAAI Conference on Artificial Intelligence, Washington, DC, USA, 7–14 February 2023; Volume 37, pp. 14329–14337. [Google Scholar]
- Vaswani, A.; Shazeer, N.; Parmar, N.; Uszkoreit, J.; Jones, L.; Gomez, A.N.; Kaiser, L.; Polosukhin, I. Attention is all you need. In Proceedings of the 31st Conference on Neural Information Processing Systems (NIPS 2017), Long Beach, CA, USA, 4–7 December 2017; pp. 5998–6008. [Google Scholar]
- Wu, H.X.; Xu, J.H.; Wang, J.M.; Long, M.S. Autoformer: Decomposition transformers with auto-correlation for long-term series forecasting. Adv. Neural Inf. Process. Syst. 2021, 34, 22419–22430. [Google Scholar]
- Zhou, T.; Ma, Z.Q.; Wen, Q.S.; Wang, X.; Sun, L.; Jin, R. FEDformer: Frequency enhanced decomposed transformer for long-term series forecasting. arXiv 2022, arXiv:2201.12740. [Google Scholar] [CrossRef]
- Liu, S.Z.; Yu, H.; Liao, C.; Li, J.G.; Lin, W.Y.; Liu, A.X.; Dustdar, S. Pyraformer: Low-complexity pyramidal attention for long-range time series modeling and forecasting. In Proceedings of the International Conference on Learning Representations, Virtual, 25 April 2022. [Google Scholar]
- Zhou, H.Y.; Zhang, S.H.; Peng, J.Q.; Zhang, S.; Li, J.X.; Xiong, H.; Zhang, W.C. Informer: Beyond efficient transformer for long sequence time-series forecasting. In Proceedings of the AAAI Conference on Artificial Intelligence, New York, NY, USA, 7–12 February 2020. [Google Scholar]
- Zhu, X.Y.; Chen, S.; Yang, J.Y.; Zhou, S.C.; Zeng, L.X.; Han, J.L.; Su, J.; Wang, L.; Pan, Q.H. The identification of Pi50(t), a new member of the rice blast resistance Pi2/Pi9 multigene family. Theor. Appl. Genet. 2012, 124, 1295–1304. [Google Scholar] [CrossRef]
- Greer, C.A.; Webster, R.K. Occurrence, distribution, epidemiology, cultivar reaction, and management of rice blast disease in California. Plant Dis. 2001, 85, 1096–1102. [Google Scholar] [CrossRef]
- Ham, J.; Chen, Y.C.; Crawford, M.M.; Ghosh, J. Investigation of the random forest framework for classification of hyperspectral data. IEEE. Trans. Geosci. Remote Sens. 2005, 43, 492–501. [Google Scholar] [CrossRef]
- Kirch, W. (Ed.) Pearson’s correlation coefficient. In Encyclopedia of Public Health; Springer: Dordrecht, The Netherlands, 2008; pp. 1090–1091. [Google Scholar]
- Liu, T.; Li, Z.M.; Feng, S.; Wang, W.Q.; Yuan, Q.Y.; Xu, T.Y. Classification detection of hyperspectral rice blast disease based on LMPSO-SVM. Trans. Chin. Soc. Agric. Mach. 2023, 54, 208–216. [Google Scholar]
- Wang, A.L.; Wang, Y.; Chen, Y.S. Hyperspectral image classification based on convolutional neural network and random forest. Remote Sens. Lett. 2019, 10, 1086–1094. [Google Scholar] [CrossRef]
- Speiser, J.L.; Miller, M.E.; Tooze, J.; Ip, E. A comparison of random forest variable selection methods for classification prediction modeling. Expert Syst. Appl. 2019, 134, 93–101. [Google Scholar] [CrossRef] [PubMed]
- Tan, K.; Wang, H.M.; Chen, L.H.; Du, Q.; Du, P.J.; Pan, C.C. Estimation of the spatial distribution of heavy metal in agricultural soils using airborne hyperspectral imaging and random forest. J. Hazard. Mater. 2020, 382, 120987. [Google Scholar] [CrossRef]
- Cui, Z.C.; Chen, W.L.; Chen, Y.X. Multi-scale convolutional neural networks for time sies classification. arXiv 2016, arXiv:1603.06995. [Google Scholar]
- Chen, W.; Shi, K. Multi-scale attention convolutional neural network for time series classification. Neural Net. 2021, 136, 126–140. [Google Scholar] [CrossRef]
- Qian, B.; Xiao, Y.; Zheng, Z.J.; Zhou, M.; Zhuang, W.Q.; Li, S.; Ma, Q.L. Dynamic multi-scale convolutional neural network for time series classification. IEEE Access 2020, 8, 109732–109746. [Google Scholar] [CrossRef]
- Deng, Z.F.; Wang, B.B.; Xu, Y.L.; Xu, T.T.; Liu, C.X.; Zhu, Z.L. Multi-scale convolutional neural network with time-cognition for multi-step short-term load forecasting. IEEE Access 2019, 7, 88058–88071. [Google Scholar] [CrossRef]
- Zhang, S.W.; Wang, Z.; Wang, Z.L. Prediction of wheat stripe rust disease by combining knowledge graph and bidirectional long short term memory network. Trans. Chin. Soc. Agric. Eng. 2020, 36, 172–178. [Google Scholar]









| Model | MSE | MAE | RMSE | Prediction |
|---|---|---|---|---|
| Autoformer + 2151 + 2 day | 3.519 | 1.317 | 1.876 | 23.33% |
| Autoformer + 2151 + 3 day | 2.395 | 1.031 | 1.547 | 44.67% |
| Autoformer + 2151 + 4 day | 1.438 | 0.625 | 1.199 | 50.83% |
| Autoformer + 596 + 2 day | 2.915 | 1.210 | 1.707 | 36.67% |
| Autoformer + 596 + 3 day | 1.384 | 0.763 | 1.177 | 54.00% |
| Autoformer + 596 + 4 day | 0.498 | 0.381 | 0.705 | 82.22% |
| Autoformer + 96 + 2 day | 2.739 | 1.131 | 1.655 | 37.33% |
| Autoformer + 96 + 3 day | 0.736 | 0.502 | 0.858 | 68.89% |
| Autoformer + 96 + 4 day | 0.460 | 0.337 | 0.678 | 87.78% |
| Autoformer + 14 + 2 day | 2.657 | 1.052 | 1.630 | 37.50% |
| Autoformer + 14 + 3 day | 0.507 | 0.391 | 0.712 | 74.17% |
| Autoformer + 14 + 4 day | 0.501 | 0.320 | 0.707 | 78.89% |
| Model | MSE | MAE | RMSE | Prediction |
|---|---|---|---|---|
| AutoMSD + 2151 + 2 day | 2.521 | 1.103 | 1.588 | 39.17% |
| AutoMSD + 2151 + 3 day | 2.257 | 0.981 | 1.502 | 48.67% |
| AutoMSD + 2151 + 4 day | 1.899 | 0.811 | 1.378 | 48.67% |
| AutoMSD + 596 + 2 day | 2.289 | 1.003 | 1.513 | 44.67% |
| AutoMSD + 596 + 3 day | 1.703 | 0.848 | 1.305 | 50.67% |
| AutoMSD + 596 + 4 day | 0.429 | 0.338 | 0.655 | 88.33% |
| AutoMSD + 96 + 2 day | 2.429 | 1.056 | 1.558 | 42.67% |
| AutoMSD + 96 + 3 day | 0.473 | 0.345 | 0.688 | 86.67% |
| AutoMSD + 96 + 4 day | 0.507 | 0.327 | 0.712 | 74.17% |
| AutoMSD + 14 + 2 day | 2.468 | 1.093 | 1.571 | 40.67% |
| AutoMSD + 14 + 3 day | 0.487 | 0.355 | 0.698 | 84.44% |
| AutoMSD + 14 + 4 day | 0.425 | 0.278 | 0.652 | 88.33% |
Disclaimer/Publisher’s Note: The statements, opinions and data contained in all publications are solely those of the individual author(s) and contributor(s) and not of MDPI and/or the editor(s). MDPI and/or the editor(s) disclaim responsibility for any injury to people or property resulting from any ideas, methods, instructions or products referred to in the content. |
© 2026 by the authors. Licensee MDPI, Basel, Switzerland. This article is an open access article distributed under the terms and conditions of the Creative Commons Attribution (CC BY) license.
Share and Cite
Wang, W.; Zhang, Y.; Huang, H.; Liu, T.; Zeng, M.; Fu, Y.; Shu, H.; Yang, J.; Yu, L. Monitoring Rice Blast Disease Progression Through the Fusion of Time-Series Hyperspectral Imaging and Deep Learning. Agronomy 2026, 16, 136. https://doi.org/10.3390/agronomy16010136
Wang W, Zhang Y, Huang H, Liu T, Zeng M, Fu Y, Shu H, Yang J, Yu L. Monitoring Rice Blast Disease Progression Through the Fusion of Time-Series Hyperspectral Imaging and Deep Learning. Agronomy. 2026; 16(1):136. https://doi.org/10.3390/agronomy16010136
Chicago/Turabian StyleWang, Wenjuan, Yufen Zhang, Haoyi Huang, Tao Liu, Minyue Zeng, Youqiang Fu, Hua Shu, Jianyuan Yang, and Long Yu. 2026. "Monitoring Rice Blast Disease Progression Through the Fusion of Time-Series Hyperspectral Imaging and Deep Learning" Agronomy 16, no. 1: 136. https://doi.org/10.3390/agronomy16010136
APA StyleWang, W., Zhang, Y., Huang, H., Liu, T., Zeng, M., Fu, Y., Shu, H., Yang, J., & Yu, L. (2026). Monitoring Rice Blast Disease Progression Through the Fusion of Time-Series Hyperspectral Imaging and Deep Learning. Agronomy, 16(1), 136. https://doi.org/10.3390/agronomy16010136
