Long-Term Combined Organic and Inorganic Fertilization Alters Soil Phosphorus Fractions and Peanut Uptake
Abstract
1. Introduction
2. Materials and Methods
2.1. Study Site Description
2.2. Experimental Design
2.3. Sample Collection and Analytical Methods
2.3.1. Soil Properties Determination and Plant Sample Analysis
2.3.2. Phosphorus Fractionation
2.4. Data Analysis
3. Results
3.1. Soil Chemical Properties
3.2. Soil Phosphorus Availability
3.3. Soil Phosphorus Fractionation
3.4. The Analysis of the Correlation Between Soil Phosphorus Fractionation and Soil Chemical Properties
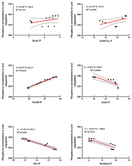
3.5. Soil Phosphorus Fractionation and Peanut Phosphorus Uptake
4. Discussion
4.1. Effects of Long-Term Biochar Application on Soil Phosphorus Availability
4.2. Effects of Long-Term Straw Incorporation on Soil Phosphorus Availability
4.3. Effects of Long-Term Pig Manure Application on Soil Phosphorus Availability
5. Conclusions
Author Contributions
Funding
Data Availability Statement
Acknowledgments
Conflicts of Interest
References
- Kolahchi, Z.; Jalali, M. Phosphorus Movement and Retention by Two Calcareous Soils. Soil Sediment Contam. Int. J. 2013, 22, 21–38. [Google Scholar] [CrossRef]
- Wu, Q.; Yang, L.; Liang, H.; Yin, L.; Chen, D.; Shen, P. Integrated analyses reveal the response of peanut to phosphorus deficiency on phenotype, transcriptome and metabolome. BMC Plant Biol. 2022, 22, 524. [Google Scholar] [CrossRef]
- George, T.S.; Hinsinger, P.; Turner, B.L. Phosphorus in soils and plants—Facing phosphorus scarcity. Plant Soil 2016, 401, 1–6. [Google Scholar] [CrossRef]
- Zhang, N.; Wang, Q.; Chen, Y.; Zhang, S.; Zhang, X.; Feng, G.; Gao, H.; Peng, C.; Zhu, P. Phosphorus Distribution within Aggregates in Long-Term Fertilized Black Soil: Regulatory Mechanisms of Soil Organic Matter and pH as Key Impact Factors. Agronomy 2024, 14, 936. [Google Scholar] [CrossRef]
- Pu, J.; Jiang, N.; Zhang, Y.; Guo, L.; Huang, W.; Chen, L. Effects of various straw incorporation strategies on soil phosphorus fractions and transformations. GCB Bioenergy 2022, 15, 88–98. [Google Scholar] [CrossRef]
- Cai, P.X.; Wang, H.X.; Zhao, Z.H.; Li, X.; Wang, Y.; Zhan, X.M.; Han, X.R. Effects of Straw Addition on Soil Priming Effects Under Different Tillage and Straw Return Modes. Plants 2024, 13, 3188. [Google Scholar] [CrossRef] [PubMed]
- Zhao, Z.H.; Geng, P.; Wang, X.; Li, X.; Cai, P.X.; Zhan, X.M.; Han, X.R. Improvement of Active Organic Carbon Distribution and Soil Quality with the Combination of Deep Tillage and No-Tillage Straw Returning Mode. Agronomy 2023, 13, 2398. [Google Scholar] [CrossRef]
- Cao, D.; Lan, Y.; Sun, Q.; Yang, X.; Chen, W.; Meng, J.; Wang, D.; Li, N. Maize straw and its biochar affect phosphorus distribution in soil aggregates and are beneficial for improving phosphorus availability along the soil profile. Eur. J. Soil Sci. 2021, 72, 2165–2179. [Google Scholar] [CrossRef]
- Zhao, Y.; Qamar, S.A.; Qamar, M.; Bilal, M.; Iqbal, H.M.N. Sustainable remediation of hazardous environmental pollutants using biochar-based nanohybrid materials. J. Environ. Manag. 2021, 300, 113762. [Google Scholar] [CrossRef]
- Li, X.; Li, J.; Zhao, Z.H.; Zhou, K.Y.; Zhan, X.M.; Wang, Y.; Liu, N.; Han, X.R.; Li, X. Soil Organic Carbon and Humus Characteristics: Response and Evolution to Long-Term Direct/Carbonized Straw Return to Field. Agronomy 2024, 14, 2400. [Google Scholar] [CrossRef]
- Jiang, J.; Yuan, M.; Xu, R.; Bish, D.L. Mobilization of phosphate in variable-charge soils amended with biochars derived from crop straws. Soil Tillage Res. 2015, 146, 139–147. [Google Scholar] [CrossRef]
- Yang, F.; Sui, L.; Tang, C.; Li, J.; Cheng, K.; Xue, Q. Sustainable advances on phosphorus utilization in soil via addition of biochar and humic substances. Sci. Total Environ. 2021, 768, 145106. [Google Scholar] [CrossRef]
- Rombel, A.; Krasucka, P.; Oleszczuk, P. Sustainable biochar-based soil fertilizers and amendments as a new trend in biochar research. Sci. Total Environ. 2022, 816, 151588. [Google Scholar] [CrossRef]
- Chen, L.; Sun, S.; Yao, B.; Peng, Y.; Gao, C.; Qin, T.; Zhou, Y.; Sun, C.; Quan, W. Effects of straw return and straw biochar on soil properties and crop growth: A review. Front. Plant Sci. 2022, 13, 986763. [Google Scholar] [CrossRef] [PubMed]
- Xue, Q.Y.; Shamsi, I.H.; Sun, D.S.; Ostermann, A.; Zhang, Q.C.; Zhang, Y.S.; Lin, X.Y. Impact of manure application on forms and quantities of phosphorus in a Chinese Cambisol under different land use. J. Soils Sediments 2013, 13, 837–845. [Google Scholar] [CrossRef]
- Jin, Y.; Liang, X.; He, M.; Liu, Y.; Tian, G.; Shi, J. Manure biochar influence upon soil properties, phosphorus distribution and phosphatase activities: A microcosm incubation study. Chemosphere 2016, 142, 128–135. [Google Scholar] [CrossRef]
- Bi, Q.-F.; Li, K.-J.; Zheng, B.-X.; Liu, X.-P.; Li, H.-Z.; Jin, B.-J.; Ding, K.; Yang, X.-R.; Lin, X.-Y.; Zhu, Y.-G. Partial replacement of inorganic phosphorus (P) by organic manure reshapes phosphate mobilizing bacterial community and promotes P bioavailability in a paddy soil. Sci. Total Environ. 2020, 703, 134977. [Google Scholar] [CrossRef] [PubMed]
- Hunt, J.F.; Ohno, T.; He, Z.; Honeycutt, C.W.; Dail, D.B. Inhibition of phosphorus sorption to goethite, gibbsite, and kaolin by fresh and decomposed organic matter. Biol. Fertil. Soils 2007, 44, 277–288. [Google Scholar] [CrossRef]
- Lehmann, J.; Lan, Z.; Hyland, C.; Sato, S.; Solomon, D.; Ketterings, Q.M. Long-term dynamics of phosphorus forms and retention in manure-amended soils. Environ. Sci. Technol. 2005, 39, 6672–6680. [Google Scholar] [CrossRef] [PubMed]
- Mokgolo, M.J.; Mzezewa, J.; Odhiambo, J.J.O. Poultry and cattle manure effects on sunflower performance, grain yield and selected soil properties in Limpopo Province, South Africa. S. Afr. J. Sci. 2019, 115, 1–7. [Google Scholar] [CrossRef]
- Rayne, N.; Aula, L. Livestock Manure and the Impacts on Soil Health: A Review. Soil Syst. 2020, 4, 64. [Google Scholar] [CrossRef]
- Xie, M.; Wang, Z.; Xu, X.; Zheng, X.; Liu, H.; Shi, P. Quantitative Estimation of the Nutrient Uptake Requirements of Peanut. Agronomy 2020, 10, 119. [Google Scholar] [CrossRef]
- Murphy, J.; Riley, J.P. A modified single solution method for the determination of phosphate in natural waters. Anal. Chim. Acta 1962, 27, 31–36. [Google Scholar] [CrossRef]
- Olsen, S.R. Estimation of Available Phosphorus in Soils by Extraction with Sodium Bicarbonate; US Department of Agriculture: Washington, DC, USA, 1954.
- Hedley, M.J.; Stewart, J.W.B.; Chauhan, B.S. Changes in Inorganic and Organic Soil Phosphorus Fractions Induced by Cultivation Practices and by Laboratory Incubations. Soil Sci. Soc. Am. J. 1982, 46, 970–976. [Google Scholar] [CrossRef]
- Hong, C.; Lu, S. Does biochar affect the availability and chemical fractionation of phosphate in soils? Environ. Sci. Pollut. Res. 2018, 25, 8725–8734. [Google Scholar] [CrossRef] [PubMed]
- Borges, B.M.M.N.; Strauss, M.; Camelo, P.A.; Sohi, S.P.; Franco, H.C.J. Re-use of sugarcane residue as a novel biochar fertilizer—Increased phosphorus use efficiency and plant yield. J. Clean. Prod. 2020, 262, 121406. [Google Scholar] [CrossRef]
- Cui, H.-J.; Wang, M.K.; Fu, M.-L.; Ci, E. Enhancing phosphorus availability in phosphorus-fertilized zones by reducing phosphate adsorbed on ferrihydrite using rice straw-derived biochar. J. Soils Sediments 2011, 11, 1135–1141. [Google Scholar] [CrossRef]
- Huang, Z.; Zhang, X.; Peñuelas, J.; Sardans, J.; Jin, Q.; Wang, C.; Yang, L.; Fang, Y.; Li, Z.; Wang, W. Industrial and agricultural waste amendments interact with microorganism activities to enhance P availability in rice-paddy soils. Sci. Total Environ. 2023, 901, 166364. [Google Scholar] [CrossRef]
- Chen, G.; Yuan, J.; Chen, H.; Zhao, X.; Wang, S.; Zhu, Y.; Wang, Y. Animal manures promoted soil phosphorus transformation via affecting soil microbial community in paddy soil. Sci. Total Environ. 2022, 831, 154917. [Google Scholar] [CrossRef]
- Li, Q.; Li, A.; Huang, Z.; Zhong, Z.; Bian, F.; Zhang, X. Effects of Long-Term Chemical and Organic Fertilizer Application on Soil Phosphorus Fractions in Lei Bamboo Plantations. Sustainability 2022, 14, 15658. [Google Scholar] [CrossRef]
- Glaser, B.; Lehr, V.-I. Biochar effects on phosphorus availability in agricultural soils: A meta-analysis. Sci. Rep. 2019, 9, 9338. [Google Scholar] [CrossRef] [PubMed]
- Zhang, L.; Chang, L.; Liu, H.; de Jesús Puy Alquiza, M.; Li, Y. Biochar application to soils can regulate soil phosphorus availability: A review. Biochar 2025, 7, 13. [Google Scholar] [CrossRef]
- Mohan, D.; Abhishek, K.; Sarswat, A.; Patel, M.; Singh, P.; Pittman, C.U. Biochar production and applications in soil fertility and carbon sequestration—A sustainable solution to crop-residue burning in India. RSC Adv. 2018, 8, 508–520. [Google Scholar] [CrossRef]
- Nyawade, S.O.; Karanja, N.N.; Gachene, C.K.K.; Gitari, H.I.; Schulte-Geldermann, E.; Parker, M.L. Short-term dynamics of soil organic matter fractions and microbial activity in smallholder potato-legume intercropping systems. Appl. Soil Ecol. 2019, 142, 123–135. [Google Scholar] [CrossRef]
- Jien, S.-H.; Wang, C.-S. Effects of biochar on soil properties and erosion potential in a highly weathered soil. Catena 2013, 110, 225–233. [Google Scholar] [CrossRef]
- Kamran, M.A.; Nkoh, J.N.; Xu, R.-K.; Jiang, J. Enhancing phosphorus availability in two variable charge soils by the amendments of crop straw biochars. Arab. J. Geosci. 2020, 13, 429. [Google Scholar] [CrossRef]
- Negassa, W.; Leinweber, P. How does the Hedley sequential phosphorus fractionation reflect impacts of land use and management on soil phosphorus: A review. J. Plant Nutr. Soil Sci. 2009, 172, 305–325. [Google Scholar] [CrossRef]
- Carneiro, J.S.d.S.; Ribeiro, I.C.A.; Nardis, B.O.; Barbosa, C.F.; Lustosa Filho, J.F.; Melo, L.C.A. Long-term effect of biochar-based fertilizers application in tropical soil: Agronomic efficiency and phosphorus availability. Sci. Total Environ. 2021, 760, 143955. [Google Scholar] [CrossRef]
- Zhou, L.; Zhao, T.L.; Thu, N.; Zhao, H.M.; Zheng, Y.; Tang, L. The Synergistic Effects of Different Phosphorus Sources: Ferralsols Promoted Soil Phosphorus Transformation and Accumulation. Agronomy 2024, 14, 2372. [Google Scholar] [CrossRef]
- Mahmood, M.; Tian, Y.; Ma, Q.; Ahmed, W.; Mehmood, S.; Hui, X.; Wang, Z. Changes in Phosphorus Fractions and Its Availability Status in Relation to Long Term P Fertilization in Loess Plateau of China. Agronomy 2020, 10, 1818. [Google Scholar] [CrossRef]
- Nziguheba, G.; Palm, C.A.; Buresh, R.J.; Smithson, P.C. Soil phosphorus fractions and adsorption as affected by organic and inorganic sources. Plant Soil 1997, 198, 159–168. [Google Scholar] [CrossRef]
- Sun, Q.; Qiu, H.; Hu, Y.; Wei, X.; Chen, X.; Ge, T.; Wu, J.; Su, Y. Cellulose and lignin regulate partitioning of soil phosphorus fractions and alkaline phosphomonoesterase encoding bacterial community in phosphorus-deficient soils. Biol. Fertil. Soils 2018, 55, 31–42. [Google Scholar] [CrossRef]
- Jiang, B.; Shen, J.; Sun, M.; Hu, Y.; Jiang, W.; Wang, J.; Li, Y.; Wu, J. Soil phosphorus availability and rice phosphorus uptake in paddy fields under various agronomic practices. Pedosphere 2021, 31, 103–115. [Google Scholar] [CrossRef]
- Maarastawi, S.A.; Frindte, K.; Bodelier, P.L.E.; Knief, C. Rice straw serves as additional carbon source for rhizosphere microorganisms and reduces root exudate consumption. Soil Biol. Biochem. 2019, 135, 235–238. [Google Scholar] [CrossRef]
- Damon, P.M.; Bowden, B.; Rose, T.; Rengel, Z. Crop residue contributions to phosphorus pools in agricultural soils: A review. Soil Biol. Biochem. 2014, 74, 127–137. [Google Scholar] [CrossRef]
- Li, X.; Wen, Q.; Zhang, S.; Li, N.; Yang, J.; Romanyà, J.; Han, X. Long-term changes in organic and inorganic phosphorus compounds as affected by long-term synthetic fertilisers and pig manure in arable soils. Plant Soil 2022, 472, 239–255. [Google Scholar] [CrossRef]
- Shi, X.; Gu, D.; Yang, H.; Li, Y.; Jiang, Y.; Zhan, N.; Cui, X. Effect of Exogenous Organic Matter on Phosphorus Forms in Middle-High Fertility Cinnamon Soil. Plants 2024, 13, 1313. [Google Scholar] [CrossRef]
- Reeve, J.R.; Endelman, J.B.; Miller, B.E.; Hole, D.J. Residual Effects of Compost on Soil Quality and Dryland Wheat Yield Sixteen Years after Compost Application. Soil Sci. Soc. Am. J. 2012, 76, 278–285. [Google Scholar] [CrossRef]
- Srivastava, P.; Singh, P.K.; Singh, R.; Bhadouria, R.; Singh, D.K.; Singh, S.; Afreen, T.; Tripathi, S.; Singh, P.; Singh, H.; et al. Relative availability of inorganic N-pools shifts under land use change: An unexplored variable in soil carbon dynamics. Ecol. Indic. 2016, 64, 228–236. [Google Scholar] [CrossRef]
- Thangarajan, R.; Bolan, N.S.; Tian, G.; Naidu, R.; Kunhikrishnan, A. Role of organic amendment application on greenhouse gas emission from soil. Sci. Total Environ. 2013, 465, 72–96. [Google Scholar] [CrossRef]
- Waldrip, H.M.; He, Z.; Erich, M.S. Effects of poultry manure amendment on phosphorus uptake by ryegrass, soil phosphorus fractions and phosphatase activity. Biol. Fertil. Soils 2011, 47, 407–418. [Google Scholar] [CrossRef]








| Treatments | Total N | Alkali-Hydrolysable Nitrogen | Total P | Available P | Total K | pH | Organic Matter | TOC | CEC |
|---|---|---|---|---|---|---|---|---|---|
| (g/kg) | (mg/kg) | (g/kg) | (mg/kg) | (g/kg) | (g/kg) | (g/kg) | (cmol/kg) | ||
| Pre-experiment | 0.86 | 51.3 | 0.425 | 4.6 | 40.45 | 5.5 | 13.3 | 7.71 | 8.32 |
| Treatments | BIO | BF | CS | PMC | |
|---|---|---|---|---|---|
| Fertilizer types | |||||
| Mineral fertilizer rates | N | 75.0 | 0 | 37.5 | 10.5 |
| P2O5 | 72.0 | 0 | 73.5 | 22.5 | |
| K2O | 88.5 | 0 | 70.5 | 43.5 | |
| Organic resource rates | Biochar | 1500 | 0 | 0 | 0 |
| Biochar-based compound fertilizer | 0 | 750 | 0 | 0 | |
| Corn stalk | 0 | 0 | 4500 | 0 | |
| Pig manure compost | 0 | 0 | 0 | 6000 | |
| Total NPK input rates | N | 82.5 | 82.5 | 82.5 | 82.5 |
| P2O5 | 82.5 | 82.5 | 82.5 | 82.5 | |
| K2O | 97.5 | 97.5 | 97.5 | 97.5 | |
Disclaimer/Publisher’s Note: The statements, opinions and data contained in all publications are solely those of the individual author(s) and contributor(s) and not of MDPI and/or the editor(s). MDPI and/or the editor(s) disclaim responsibility for any injury to people or property resulting from any ideas, methods, instructions or products referred to in the content. |
© 2025 by the authors. Licensee MDPI, Basel, Switzerland. This article is an open access article distributed under the terms and conditions of the Creative Commons Attribution (CC BY) license (https://creativecommons.org/licenses/by/4.0/).
Share and Cite
Zhou, K.; Li, H.; Li, X.; Zhou, B.; Wei, X.; Wang, Y.; Liu, N.; Li, X.; Zhan, X.; Han, X. Long-Term Combined Organic and Inorganic Fertilization Alters Soil Phosphorus Fractions and Peanut Uptake. Agronomy 2025, 15, 2104. https://doi.org/10.3390/agronomy15092104
Zhou K, Li H, Li X, Zhou B, Wei X, Wang Y, Liu N, Li X, Zhan X, Han X. Long-Term Combined Organic and Inorganic Fertilization Alters Soil Phosphorus Fractions and Peanut Uptake. Agronomy. 2025; 15(9):2104. https://doi.org/10.3390/agronomy15092104
Chicago/Turabian StyleZhou, Keyao, Haoxiang Li, Xiao Li, Bingbing Zhou, Xuezeng Wei, Ying Wang, Ning Liu, Xue Li, Xiumei Zhan, and Xiaori Han. 2025. "Long-Term Combined Organic and Inorganic Fertilization Alters Soil Phosphorus Fractions and Peanut Uptake" Agronomy 15, no. 9: 2104. https://doi.org/10.3390/agronomy15092104
APA StyleZhou, K., Li, H., Li, X., Zhou, B., Wei, X., Wang, Y., Liu, N., Li, X., Zhan, X., & Han, X. (2025). Long-Term Combined Organic and Inorganic Fertilization Alters Soil Phosphorus Fractions and Peanut Uptake. Agronomy, 15(9), 2104. https://doi.org/10.3390/agronomy15092104

