Effects of Contour Antislope Terracing on Preferential Soil Flow in Sloping Cropland in the Alpine Valley Area of Southwest China
Abstract
1. Introduction
2. Study Area and Research Methodology
2.1. Study Area
2.2. Materials and Methods
2.2.1. Plot Layout and Soil Sampling
2.2.2. Dye Tracer Experiment
2.2.3. Determination of Water Infiltration Curve
2.2.4. Calculation of Soil Macropore Quantity
2.2.5. Statistical Analysis
3. Results and Analysis
3.1. Characteristics of Preferential Flow in Different Soil Profiles
3.2. Soil Vertical Profile Staining Area Ratio
3.2.1. The Variation Pattern of Soil Staining Area
3.2.2. The Variation Pattern of Average Dyeing Area Ratio
3.3. The Relationship Between Soil Structure, Macropores, and Preferential Flow with and Without Measures
3.3.1. Soil Moisture Infiltration Curve
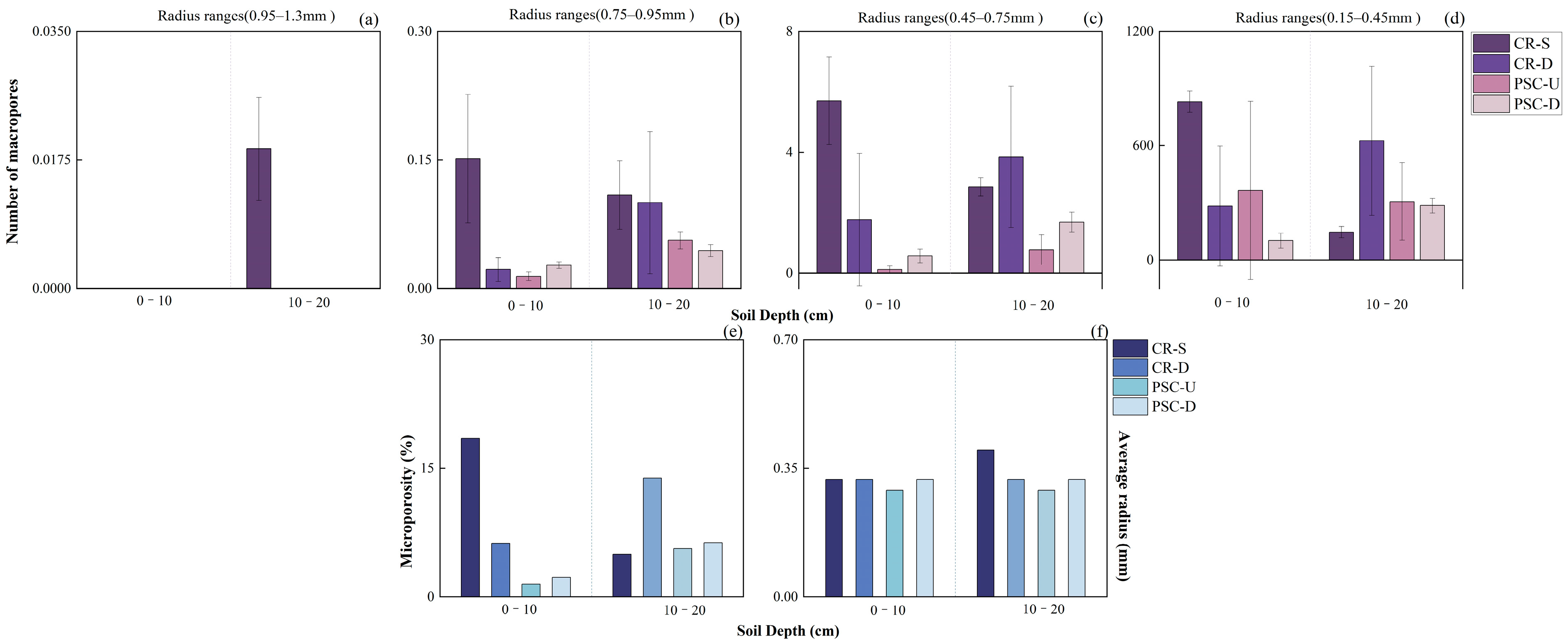
3.3.2. Characteristics of Soil Macropore Quantity
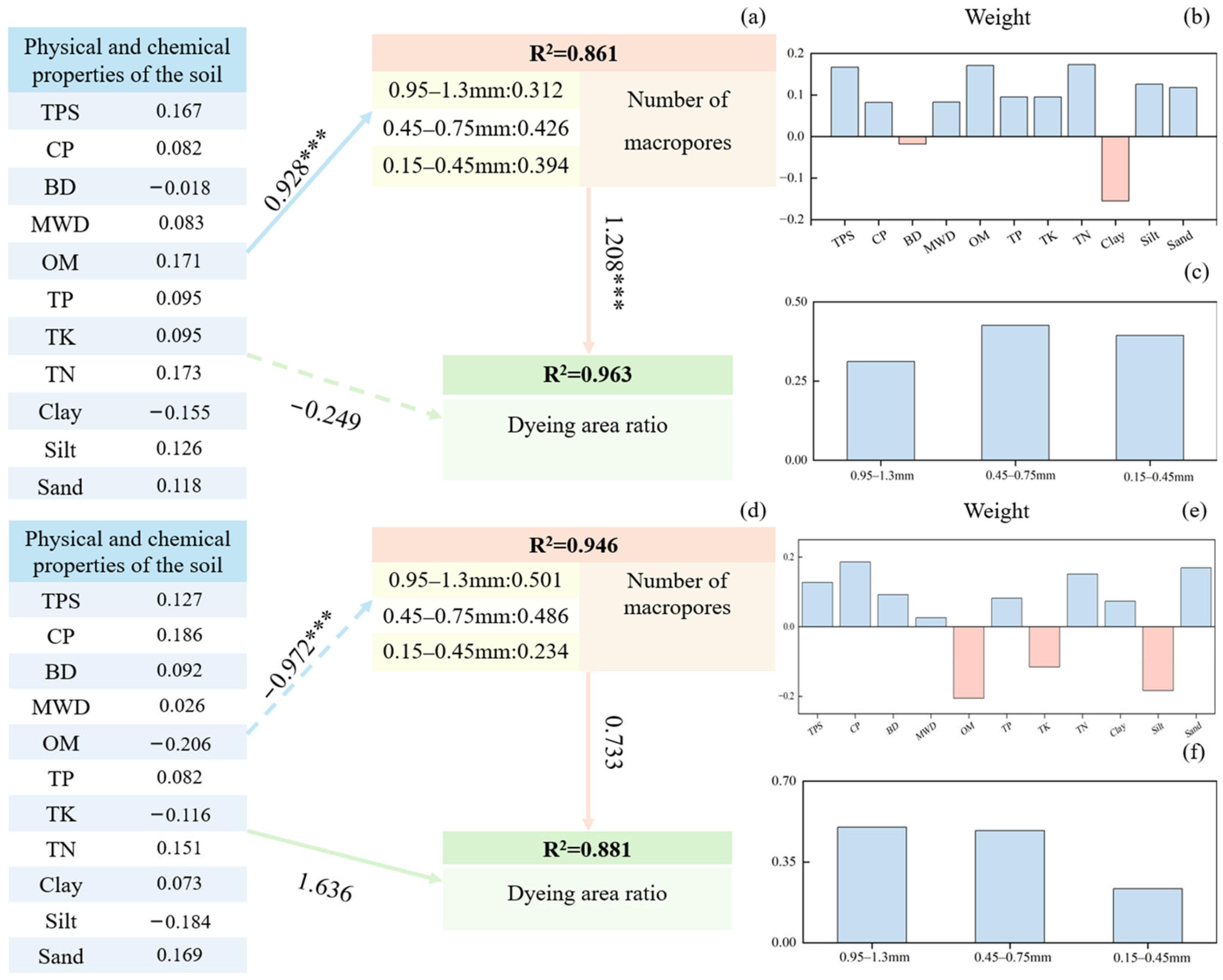
3.3.3. The Relationship Between Preferential Flow and Macropores
3.3.4. Comparative Analysis of the Relationship Between Soil Structure, Macropores, and Preferential Flow
4. Discussion
4.1. The Impact of Land Leveling on Preferential Flow
4.2. The Impact of Land Leveling on Soil Macropores
4.3. Investigation into the Formation Mechanisms of Preferential Flow
5. Conclusions
Author Contributions
Funding
Data Availability Statement
Acknowledgments
Conflicts of Interest
References
- Beven, K.; Germann, P. Macropores and water flow in soils revisited. Water Resour. Res. 2013, 49, 3071–3092. [Google Scholar] [CrossRef]
- Rao, C.; Dong, W.; Su, X.; Lv, H.; Shen, X. Experimental study on the influence mechanism of freeze–thaw action on the preferential flow pattern in vadose zone. J. Hydrol. 2025, 660, 133389. [Google Scholar] [CrossRef]
- Liao, Y.; Pan, T.; Deng, Y.; Yang, M.; Yang, G.; Yu, X.; Huang, Y. Comparing of soil matrix infiltration and preferential flow across different land use types in karst landscapes: Implications for soil and water conservation. CATENA 2025, 256, 109127. [Google Scholar] [CrossRef]
- Karup, D.; Moldrup, P.; Paradelo, M.; Katuwal, S.; Norgaard, T.; Greve, M.H.; de Jonge, L.W. Water and solute transport in agricultural soils predicted by volumetric clay and silt contents. J. Contam. Hydrol. 2016, 192, 194–202. [Google Scholar] [CrossRef] [PubMed]
- Villatoro-Sánchez, M.; Le Bissonnais, Y.; Moussa, R.; Rapidel, B. Temporal dynamics of runoff and soil loss on a plot scale under a coffee plantation on steep soil (Ultisol), Costa Rica. J. Hydrol. 2015, 523, 409–426. [Google Scholar] [CrossRef]
- Meng, S.H.; Zeng, Y.F.; Wu, Q. Unraveling the mechanisms of dual-permeability flow in weakly cemented sandstones: An in-depth exploration of matrix-fracture interactions. J. Hydrol. 2025, 661, 133731. [Google Scholar] [CrossRef]
- Sanders, E.C.; Abou Najm, M.R.; Mohtar, R.H.; Kladivko, E.; Schulze, D. Field method for separating the contribution of surface-connected preferential flow pathways from flow through the soil matrix. Water Resour. Res. 2012, 48, W04534. [Google Scholar] [CrossRef]
- Wang, D.; Niu, J.; Yang, T.; Miao, Y.; Zhang, L.; Chen, X.; Fan, Z.; Dai, Z.; Wu, H.; Yang, S.; et al. Soil water infiltration characteristics of reforested areas in the paleo-periglacial eastern Liaoning mountainous regions, China. CATENA 2024, 234, 107613. [Google Scholar] [CrossRef]
- Han, J.; Li, J.; Chen, Q.; Zhang, X. Long-term conservation tillage breaks the plough pan and promotes the development of preferential flow. Geoderma 2025, 458, 117329. [Google Scholar] [CrossRef]
- Liu, B. Mechanism of watershed environmental degradation impacts on debris flows along mountainous railway. Bull. Soil Water Conserv. 2025, 45, 124–135. [Google Scholar]
- Du, B.; Wang, Y.; Fang, Z.; Liu, G.; Tian, Z.; Ullah, K.; Cao, M. Assessing the impact of precipitation variability on landslide hazards in urbanized regions. Int. J. Appl. Earth Obs. Geoinf. 2025, 136, 104360. [Google Scholar] [CrossRef]
- Wang, R.L.; Liu, X.Y.; Xu, Q.J.; Hou, L.; Wang, K.Q. Response of soil nutrients and enzyme activities to contour reverse-slope land preparation in slope forest land of central Yunnan Province. J. Zhejiang A&F Univ. 2024, 41, 769–777. [Google Scholar]
- Li, Q.Q.; Xu, Q.J.; Hou, L.; Wang, R.L.; Wang, K.Q. Structure evaluation of the improved soil with contour reverse-slope terrace based on soil aggregates property. Sci. Soil Water Conserv. 2024, 22, 93–101. [Google Scholar]
- Yang, L.J. Soil Improvement Effect of Farmland Based on Contour Reverse Slope Terrace. Heilongjiang Sci. 2024, 15, 28–31. [Google Scholar]
- Feng, H.; Han, X.; Biswas, A.; Zhang, M.; Zhu, Y.; Ji, Y.; Lu, X.; Chen, X.; Yan, J.; Zou, W. Long-term organic material application enhances black soil productivity by improving aggregate stability and dissolved organic matter dynamics. Field Crops Res. 2025, 328, 109946. [Google Scholar] [CrossRef]
- Liu, X.W.; Zhao, Y.Y.; Wang, K.Q.; Ma, C.X.; Duan, X.; Zhang, Y. Effects of Site Preparation Years of Contour Reverse slope Terrace on Soil Improvement and Corn Yield in Sloping Farmland. J. Soil Water Conserv. 2022, 36, 307–315. [Google Scholar]
- Zhang, S.; Liu, Y.; Yang, M.; Tian, P.; Mu, X.; Zhao, G. Impact of vegetation restoration on preferential flow and soil infiltration capacity in the hilly region of the Loess Plateau. J. Hydrol. Reg. Stud. 2025, 59, 102333. [Google Scholar] [CrossRef]
- Hou, F.; Cheng, J.; Guan, N. Influence of rock fragments on preferential flow in stony soils of karst graben basin, southwest China. CATENA 2023, 220, 106684. [Google Scholar] [CrossRef]
- Yan, Y.J.; Yang, Y.Q.; Dai, Q.H. Effects of preferential flow on soil nutrient transport in karst slopes after recultivation. Environ. Res. Lett. 2023, 18, 034012. [Google Scholar] [CrossRef]
- Wan, Y.P.; Zhao, Y.Y.; Duan, X.; Wang, K.Q.; Zhu, M.X.; Lu, H.X.; Tu, X.Y.; Du, Y.X. Influence of alternated drying and wetting on the characteristics of soil preferential flow formation in Honghe Arid Valley. Chin. J. Appl. Ecol. 2021, 32, 2397–2406. [Google Scholar]
- Kan, X.; Cheng, J.; Hou, F. Response of Preferential Soil Flow to Different Infiltration Rates and Vegetation Types in the Karst Region of Southwest China. Water 2020, 12, 1778. [Google Scholar] [CrossRef]
- Hou, F.; Cheng, J.; Zhang, H.; Wang, X.; Shi, D.; Guan, N. Response of preferential flow to soil−root−rock fragment system in karst rocky desertification areas. Ecol. Indic. 2024, 165, 112234. [Google Scholar] [CrossRef]
- Guan, N.; Cheng, J.H.; Hou, F.; Zeng, H.Z.; Shen, Z.Y.; Zhao, M.Y.; Qin, J.M. Characteristics and influencing factors of soil preferential flow in typical stands of Karst area in southwest China. Chin. J. Appl. Ecol. 2023, 34, 31–38. [Google Scholar]
- Li, Y.; Liu, D.D.; Che, L.L. Response of Soil Infiltration Characteristies to Human Trampling in Karst Mountain Forests. J. Soil Water Conserv. 2021, 35, 96–105. [Google Scholar]
- Hu, J.; Ren, Y.; Tang, M.; Zhang, Z.; Yang, K.; Zhen, Q.; Han, F. Effects of vegetation restoration on infiltration patterns and preferential flow in semi-arid areas with shallowly buried soft bedrock (Pisha sandstone) in China. J. Hydrol. 2025, 661, 133546. [Google Scholar] [CrossRef]
- Hu, J.; Yang, S.; Wang, B.; Deng, H.; Wang, M.; Li, J.; Zhao, S.; Shen, B.; Gao, X.; Yang, K. Effect of pore structure characteristics on gas-water seepage behaviour in deep carbonate gas reservoirs. Geoenergy Sci. Eng. 2024, 238, 212881. [Google Scholar] [CrossRef]
- Zhang, X.S.; Chen, X.B.; Ni, X.Q.; Liu, Y.X.; Yi, X.; Xu, H.; Yang, T. Interaction between soil moisture and aggregate characteristies under slope land preparation. Trans. Chin. Soc. Agric. Eng. 2025, 41, 163–174. [Google Scholar]
- Huang, B.Y.; Liu, Z.K. Soil and Water Conservation Effects of Contour Reverse Slope Terraces on Red Clay Sloping Farmland against Short and Heavy Rainfall. Geofluids 2023, 2023, 9479632. [Google Scholar] [CrossRef]
- Li, D.K.; Wu, X.L.; Chen, M.; Wang, W.F. Features of preferential flow and its effects on solute transport on typical farmland in Hainan Province under different rainfall intensities. Bull. Soil Water Conserv. 2025, 45, 86–97. [Google Scholar]
- Yan, J.L.; Zhao, W.Z.; Zhang, Y.Y. Characteristics of the preferential flow and its response to irrigation amount in oasis cropland. Chin. J. Appl. Ecol. 2015, 26, 1454–1460. [Google Scholar]
- Shipitalo, M.J.; Nuutinen, V.; Butt, K.R. Interaction of earthworm burrows and cracks in a clayey, subsurface-drained, soil. Appl. Soil Ecol. 2004, 26, 209–217. [Google Scholar] [CrossRef]
- Wang, W.; Zhang, H.J.; Cheng, J.H.; Wu, Y.H.; Du, S.C.; Wang, R. Macropore characteristics and its relationships with the preferential flaw in broad leaved forest soils of Simian Mountain. Chin. J. Appl. Ecol. 2010, 21, 1217–1223. [Google Scholar]
- Sun, L.; Zhang, H.J.; Cheng, J.H.; Wang, B.Y.; Ma, X.J.; Lu, X.Y.; Zhang, J.Y. Soil Macropore Characterisics Under Citrus Land in Jiang jin City, Chongqing. J. Soiland Water Conserv. 2012, 26, 194–198. [Google Scholar]
- Zhang, Y.; Wang, K.Q.; Duan, X.; Liu, X.W.; Zhao, L.Y.; Zhao, Y.Y. Response of crop water use efficiency to soil water changes on contour-reverse slope. J. Northwest A&F Univ. 2022, 50, 112–125. [Google Scholar]
- Qi, Z.H.; Wang, Y.Q.; Wang, Y.J.; Li, T.; Wang, Y.J.; He, X.C. Effect of Root System on Macropores Distribution and Saturated Permeability of Surface Soil. J. Soiland Water Conserv. 2021, 35, 94–100+107. [Google Scholar]
- Dai, L.C.; Fu, R.Y.; Guo, X.W.; Du, Y.G.; Zhang, F.W.; Cao, G.M. Variations in and factors controlling soil hydrological properties across different slope aspects in alpine meadows. J. Hydrol. 2023, 616, 128756. [Google Scholar] [CrossRef]
- Zhao, Y.X.; Wang, X.F.; Wen, Y.Q. The Correlation Between Soil Aggregate Stability and Organic Carbon Retention in Industrial and Mining Wastelands with Different Forest Ages. For. Eng. 2025, 1–13. [Google Scholar]
- Zhu, Y.; Sun, L.; Jamshidi, A.H.; Liu, X.; Zheng, Y.; Fan, Z. Effect of forest conversion on soil water infiltration in the Dabie mountainous area, China. J. Hydrol. Reg. Stud. 2025, 59, 102351. [Google Scholar] [CrossRef]









| Treatment | Hillslope Position | Longitude and Latitude | Altitude/m | Slope (°) | Aspect of Slope | Grow Crops |
|---|---|---|---|---|---|---|
| Contour Reverse-Step (CR) | Upslope | 26.090° N | 2361.4 | 18 | East by north | Corn |
| Downhill | 99.5116° W | 2351.6 | 11 | |||
| Primary Sloping Cropland (PSC) | Upslope | 26.091° N | 2372.6 | 18 | ||
| Downhill | 99.518° W | 2361.2 | 11 |
| Area | Soil Depth (cm) | Total Porosity (%) | Capillary Porosity (%) | Bulk Density (g·cm−3) | Clay (%) | Silt (%) | Sand (%) | MDW (mm) | Organic Matter (%) | Total Phosphorus (g·kg−1) | Total Nitrogen (g·kg−1) | Total Potassium (g·kg−1) |
|---|---|---|---|---|---|---|---|---|---|---|---|---|
| CR | 0–10 | 63.42 ± 2.64 a | 50.27 ± 3.91 a | 1.34 ± 0.05 a | 25.73 ± 5.46 b | 55.00 ± 5.40 a | 19.27 ± 0.64 a | 2.85 ± 0.06 a | 14.17 ± 0.53 a | 0.30 ± 0.01 a | 0.49 ± 0.01 a | 9.91 ± 0.27 a |
| 10–20 | 60.50 ± 1.64 a | 46.44 ± 2.58 a | 1.37 ± 0.09 a | 33.87 ± 4.47 a | 52.45 ± 3.31 a | 13.69 ± 3.37 a | 2.76 ± 0.03 a | 11.49 ± 0.74 a | 0.25 ± 0.07 a | 0.43 ± 0.01 a | 10.00 ± 0.16 a | |
| PSC | 0–10 | 59.08 ± 3.22 a | 47.57 ± 4.99 a | 1.33 ± 0.09 a | 42.27 ± 3.64 a | 41.46 ± 4.26 b | 16.28 ± 0.71 b | 2.73 ± 0.11 a | 6.89 ± 0.37 b | 0.20 ± 0.02 b | 0.26 ± 0.07 b | 2.05 ± 0.81 b |
| 10–20 | 53.77 ± 6.72 a | 36.97 ± 5.97 a | 1.30 ± 0.07 a | 41.05 ± 9.69 a | 49.01 ± 6.95 a | 9.93 ± 4.09 a | 2.69 ± 0.05 a | 8.66 ± 0.32 b | 0.17 ± 0.01 a | 0.23 ± 0.03 b | 3.96 ± 3.52 b |
| Slope Position | Degrees of Freedom | Mean Square | F | p |
|---|---|---|---|---|
| Uphill | 3 | 1747.18 | 3.657 | 0.029 |
| Downhill | 3 | 949.51 | 2.088 | 0.119 |
| Area | Independent Variable | Simple Correlation Coefficient with Y | Path Coefficient (Direct Action) | Indirect Path Coefficient (Indirect Action) | |||
|---|---|---|---|---|---|---|---|
| R1 | R2 | R3 | R4 | ||||
| CR-S | 0.613 | 1.851 | - | 1.334 | −1.553 | −1.666 | |
| 0.108 | −2.444 | −1.762 | - | −0.809 | −1.249 | ||
| 0.871 | 9.669 | −8.112 | −3.200 | - | 9.456 | ||
| 0.802 | −8.237 | −7.413 | −4.209 | 8.055 | - | ||
| CR-D | - | - | - | - | - | - | |
| −0.572 | −3.001 | - | - | 2.608 | 2.707 | ||
| −0.221 | −7.487 | - | 6.506 | - | 7.465 | ||
| −0.269 | 9.904 | - | 8.933 | 9.874 | - | ||
| PSC-U | - | - | - | - | - | - | |
| −0.818 | −0.725 | - | - | 0.624 | 0.239 | ||
| −0.752 | −0.096 | - | 0.082 | - | 0.010 | ||
| −0.356 | −0.322 | - | 0.011 | 0.033 | - | ||
| PSC-D | - | - | - | - | - | - | |
| −0.702 | 2.546 | - | - | 2.538 | 2.380 | ||
| −0.829 | −4.209 | - | 4.197 | - | 4.083 | ||
| −0.779 | 0.923 | - | 0.863 | 0.895 | - | ||
Disclaimer/Publisher’s Note: The statements, opinions and data contained in all publications are solely those of the individual author(s) and contributor(s) and not of MDPI and/or the editor(s). MDPI and/or the editor(s) disclaim responsibility for any injury to people or property resulting from any ideas, methods, instructions or products referred to in the content. |
© 2025 by the authors. Licensee MDPI, Basel, Switzerland. This article is an open access article distributed under the terms and conditions of the Creative Commons Attribution (CC BY) license (https://creativecommons.org/licenses/by/4.0/).
Share and Cite
Zhai, M.; Zhao, Y.; Wang, K.; Xiang, J.; Wang, Z.; Pan, Y.; Li, S. Effects of Contour Antislope Terracing on Preferential Soil Flow in Sloping Cropland in the Alpine Valley Area of Southwest China. Agronomy 2025, 15, 2101. https://doi.org/10.3390/agronomy15092101
Zhai M, Zhao Y, Wang K, Xiang J, Wang Z, Pan Y, Li S. Effects of Contour Antislope Terracing on Preferential Soil Flow in Sloping Cropland in the Alpine Valley Area of Southwest China. Agronomy. 2025; 15(9):2101. https://doi.org/10.3390/agronomy15092101
Chicago/Turabian StyleZhai, Miaomiao, Yangyi Zhao, Keqin Wang, Jindong Xiang, Zhenchao Wang, Yaxin Pan, and Sanjian Li. 2025. "Effects of Contour Antislope Terracing on Preferential Soil Flow in Sloping Cropland in the Alpine Valley Area of Southwest China" Agronomy 15, no. 9: 2101. https://doi.org/10.3390/agronomy15092101
APA StyleZhai, M., Zhao, Y., Wang, K., Xiang, J., Wang, Z., Pan, Y., & Li, S. (2025). Effects of Contour Antislope Terracing on Preferential Soil Flow in Sloping Cropland in the Alpine Valley Area of Southwest China. Agronomy, 15(9), 2101. https://doi.org/10.3390/agronomy15092101

