Effect of Flat Planting Without Film Mulching and Phosphorus Fertilization on Soil Phosphorus Dynamics and Nutrient Uptake in Faba Bean in Alpine Cropping Systems
Abstract
1. Introduction
2. Materials and Methods
2.1. Site Description
2.2. Experimental Design and Field Management
2.3. Sampling and Measurement
2.3.1. Aboveground N, P Uptake and N/P Ratio
2.3.2. Soil Available Phosphorus and Total Phosphorus
2.3.3. Soil Phosphorus Fractions
2.4. Statistical Analysis
3. Results
3.1. Soil Phosphorus Fraction Content
3.2. Soil Phosphorus Pool
3.2.1. Soil Available Phosphorus and Total Phosphorus
3.2.2. Composition of Soil Active Phosphorus Fractions
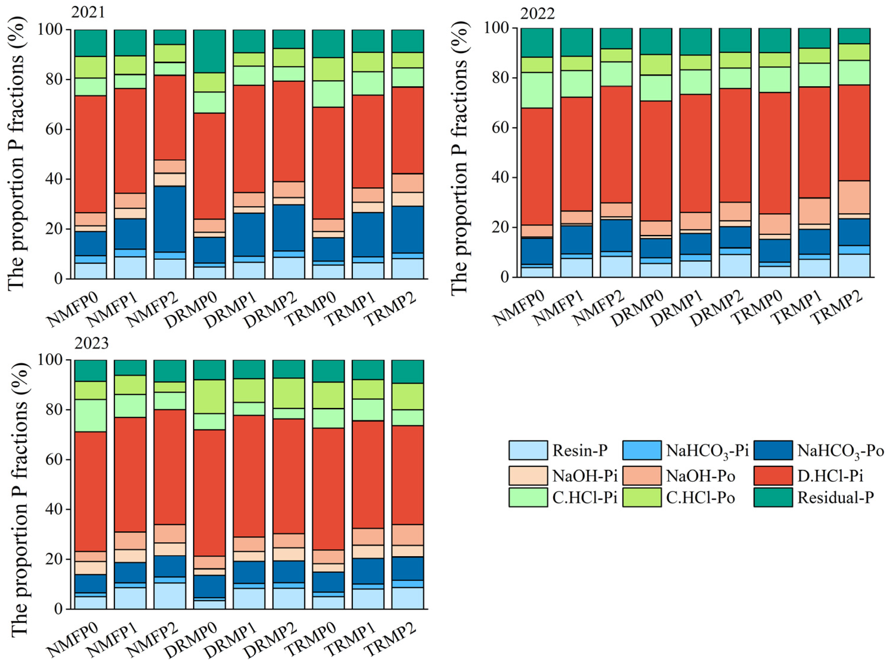
3.2.3. The Proportion of Soil Phosphorus Fractions
3.3. Faba Bean N, P Uptake and N/P Ratio
3.4. Relationships Between Aboveground N, P Uptake, Plant N/P Ratio, and Soil P Fractions
4. Discussion
4.1. Effects of P Fertilization and Mulching on Soil P Fractions
4.2. Drivers of Soil TP and AP Accumulation
4.3. The Relationships Between Soil P Transformation and Aboveground N, P Uptake
5. Conclusions
Supplementary Materials
Author Contributions
Funding
Data Availability Statement
Conflicts of Interest
References
- Ma, B.; Zhang, Y.; Fan, Y.F.; Zhang, L.; Li, X.Y.; Zhang, Q.Q.; Shu, Q.Y.; Huang, J.R.; Chen, G.Y.; Li, Q.; et al. Genetic improvement of phosphate-limited photosynthesis for high yield in rice. Proc. Natl. Acad. Sci. USA 2024, 121, e2404199121. [Google Scholar] [CrossRef]
- Li, Y.L.; Xu, Z.; Zhang, L.; Chen, W.z.; Feng, G. Dynamics between soil fixation of fertilizer phosphorus and biological phosphorus mobilization determine the phosphorus budgets in agroecosystems. Agric. Ecosyst. Environ. 2024, 375, 109174. [Google Scholar] [CrossRef]
- Liang, M.X.; Zheng, Y.; Johnson, D.; Burslem, D.F.R.P.; Shi, L.Q.; Zhang, J.J.; Yu, S.X.; Liu, X.B. Long-term stability of sapling dynamics is regulated by soil phosphorus availability in subtropical forest. J. Ecol. 2024, 112, 673–686. [Google Scholar] [CrossRef]
- Stapanian, M.A.; Schumacher, W.; Gara, B.; Monteith, S.E. Negative effects of excessive soil phosphorus on floristic quality in ohio wetlands. Sci. Total Environ. 2016, 551–552, 556–562. [Google Scholar] [CrossRef] [PubMed]
- Gu, Y.J.; Qiu, Y.X.; Zhou, W.D.; Han, C.L.; Siddique, K.H.M. Enhancing faba bean yields in alpine agricultural regions: The impact of plastic film mulching and phosphorus fertilization on soil dynamics. Agronomy 2024, 14, 447. [Google Scholar] [CrossRef]
- Lai, Z.L.; Zhang, H.; Ding, X.H.; Liao, Z.Q.; Zhang, C.; Yu, J.; Pei, S.Z.; Dou, Z.Y.; Li, Z.J.; Fan, J.L. Ridge-furrow film mulch with nitrogen fertilization improves grain yield of dryland maize by promoting root growth, plant nitrogen uptake and re-mobilization. Soil Tillage Res. 2024, 241, 106118. [Google Scholar] [CrossRef]
- Liu, J.; Li, C.Y.; Xing, Y.W.; Wang, Y.; Xue, Y.L.; Wang, C.R.; Dang, T.H. Effects of long-term fertilization on soil organic phosphorus fractions and wheat yield in farmland of loess plateau. J. Appl. Ecol. 2020, 31, 157–164. [Google Scholar] [CrossRef]
- Yang, F.K.; He, B.L.; Dong, B.; Zhang, G.P. Autumn film mulched ridge microfurrow planting improves yield and nutri-ent-use efficiency of potatoes in dryland farming. Agronomy 2023, 13, 1563. [Google Scholar] [CrossRef]
- Wang, L.; Li, X.G.; Lv, J.T.; Fu, T.T.; Ma, Q.J.; Song, W.Y.; Wang, Y.P.; Li, F.M. Continuous plastic-film mulching increases soil aggregation but decreases soil pH in semiarid areas of China. Soil Tillage Res. 2017, 167, 46–53. [Google Scholar] [CrossRef]
- Devau, N.; Hinsinger, P.; Cadre, E.L.; Colomb, B.; Frédéric, G. Fertilization and pH effects on processes and mechanisms controlling dissolved inorganic phosphorus in soils. Geochim. et Cosmochim. Acta 2011, 75, 2980–2996. [Google Scholar] [CrossRef]
- Shao, L.Y.; Peng, Y.; Liu, H.Y.; Zhao, R.N.; Jiang, L.C.; Li, Y.; Han, P.; Jiang, Y.; Wei, C.Z.; Han, X.G.; et al. Applied phos-phorus is maintained in labile and moderately occluded fractions in a typical meadow steppe with the addition of multiple nutrients. J. Environ. Manag. 2023, 345, 118807. [Google Scholar] [CrossRef] [PubMed]
- Zhu, Y.; Gao, Z.Z.; Liu, L.J.; Li, J.; Zhu, T.B.; Ma, J.M.; Deluca, T.H.; Duan, M. Nitrogen-fixing plants enhance soil phosphorus availability by promoting transformations among phosphorus fractions in a subtropical karst forest. Forests 2025, 16, 360. [Google Scholar] [CrossRef]
- Wang, R.X.; Su, L.Z.; Li, D.J.; Yang, Z.K.; Feng, R.; Zheng, Y.; Tang, L. Rhizosphere microbial carbon utilization stimulates soil phosphorus fraction transformation in response to maize (Zea mays L.) and soybean (Glycine max.) interspecific interactions. Plant Soil 2024, 1–20. [Google Scholar] [CrossRef]
- Wu, Y.H.; Liu, J.Z.; Lu, H.Y.; Wu, C.X.; Kerr, P. Periphyton: An important regulator in optimizing soil phosphorus bioavailability in paddy fields. Environ. Sci. Pollut. Res. Int. 2016, 23, 21377–21384. [Google Scholar] [CrossRef]
- Han, B.; He, Y.C.; Zhou, J.; Wang, Y.F.; Shi, L.N.; Lin, Z.R.; Yu, L.; Zhang, W.T.; Geng, Y.Y.; Shao, X.Q. Non-linear responses of the plant phosphorus pool and soil available phosphorus to short-term nitrogen addition in an alpine meadow. J. Integr. Agric. 2024, 24, 815–826. [Google Scholar] [CrossRef]
- Jian, Z.J.; Zeng, L.X.; Lei, L.; Frey, B.; Liu, C.F.; Shen, Y.F.; Zhang, J.J.; Xiao, W.F.; Li, M.H. Fungi stimulate organic phosphorus fraction transformation in subtropical masson pine plantation soils after nine years of thinning and understory removal. Ecol. Process. 2025, 14, 23. [Google Scholar] [CrossRef]
- Sowinski, J. Intercropping maize (Zea mays L.) and field beans (Vicia faba L.) for forage, increases protein production. Sci. Rep. 2024, 14, 16419. [Google Scholar] [CrossRef]
- Pu, Y.; Dai, K.; Li, J.Z.; Wang, Y.; Lin, S.; Liu, M.J. Optimized nitrogen application rate based on soil residual nitrogen signifi-cantly increased the yield and biological nitrogen fixation of fresh faba bean as vegetables. Crop Sci. 2025, 65, e70013. [Google Scholar] [CrossRef]
- Pu, Y.; Dai, K.; Li, J.Z.; Zhang, L.M.; Lin, S.; Liu, M.J. Enhancement of the economic value and quality of flue-cured tobacco by optimized N application rate of the previous cultivation of faba bean. Ind. Crops Prod. 2025, 228, 120942. [Google Scholar] [CrossRef]
- Wu, S.J.; Zhang, T.T.; Li, Z.H.; Liu, X.; Liu, Z.H.; Lv, C.X.; Lu, J.P.; Ma, J.J.; Xu, Z.Q.; Jia, Y.L. Effect of short-term nitrogen addi-tion on N and P stoichiometry of herbaceous leaves and roots in the understory of larix principis-rupprechtii plantation in northern China. Forests 2025, 16, 320. [Google Scholar] [CrossRef]
- Wang, W.Q.; Sardans, J.; Tong, C.; Wang, C.; Ouyang, L.M.; Bartrons, M.; Peñuelas, J. Typhoon enhancement of N and P re-lease from litter and changes in the litter N:P ratio in a subtropical tidal wetland. Environ. Res. Lett. 2016, 11, 014003. [Google Scholar] [CrossRef]
- Zhang, Z.; Wang, Z.Y.; Ye, S.M.; Wang, S.Q. Dynamic changes of soil aggregate-associated phosphorus adsorp-tion-desorption characteristics in a chronosequence of chinese fir plantations. Soil Tillage Res. 2025, 249, 106479. [Google Scholar] [CrossRef]
- Jiang, Y.B.; Kuang, D.X.; Han, C.; Deng, H.; Liu, K.L.; Huang, S.S.; Li, W.; Zhong, W.H. Enhancement of soil phosphorus min-eralization and phosphorus availability by labile carbon in organic amendments through boosting copiotrophic phos-phatase-producing bacteria. Plant Soil 2025, 1–17. [Google Scholar] [CrossRef]
- Gu, Y.J.; Han, C.L.; Fan, J.W.; Shi, X.P.; Kong, M.; Shi, X.Y.; Siddique, K.H.M.; Zhao, Y.Y.; Li, F.M. Alfalfa forage yield, soil water and P availability in response to plastic film mulch and P fertilization in a semiarid environment. Field Crops Res. 2018, 215, 94–103. [Google Scholar] [CrossRef]
- Mao, J.H.; Wang, J.S.; Liao, J.Q.; Xu, X.L.; Tian, D.; Zhang, R.Y.; Peng, J.L.; Niu, S.L. Plant nitrogen uptake preference and drivers in natural ecosystems at the global scale. New Phytol. 2025, 246, 972–983. [Google Scholar] [CrossRef]
- Han, J.C.; Schlingmann, M.; Gasche, R.; Garcia-Franco, N.; Wiesmeier, M.; Kiese, R.; Ostler, U.; Rennenberg, H.; Dannenmann, M. High importance of organic fertilizer nitrogen applied to temperate grassland for plant nitrogen uptake in the years following fertilization. Agric. Ecosyst. Environ. 2025, 389, 109653. [Google Scholar] [CrossRef]
- Tiessen, H.; Moir, J.O. Characterization of available P by sequential extraction: Chemical Rubber Company Press. Soil Sampl. Methods Anal. 1993, 7, 5–229. [Google Scholar]
- Mahmood, M.; Ahmed, W.; Ayyoub, A.; Elrys, A.S.; Mustafa, A.; Li, W.D.; Xu, Z.W. Impacts of land use change on soil car-bon storage and phosphorus fractions in tropics. Catena 2024, 247, 108550. [Google Scholar] [CrossRef]
- Gong, J.R.; Zhang, S.P.; Li, Y.; Lambers, H.; Zhang, W.Y.; Zhang, S.Q.; Dong, X.D.; Yang, G.S.; Wang, R.J.; Yan, C.Y. Increasing phosphorus availability reduces grassland soil N2O emission: Plants and microbes move from mutualism to self-reliance. Agric. Ecosyst. Environ. 2025, 389, 109695. [Google Scholar] [CrossRef]
- Wang, Y.Y.; Luo, D.H.; Xiong, Z.Y.; Wang, Z.F.; Gao, M. Changes in rhizosphere phosphorus fractions and phos-phate-mineralizing microbial populations in acid soil as influenced by organic acid exudation. Soil Tillage Res. 2023, 225, 105543. [Google Scholar] [CrossRef]
- Yu, Q.S.; Ma, S.H.; Ni, X.F.; Ni, X.L.; Guo, Z.M.; Tan, X.P.; Zhong, M.Y.; Hanif, M.A.; Zhu, J.L.; Ji, C.J. Long-term phosphorus addition inhibits phosphorus transformations involved in soil arbuscular mycorrhizal fungi and acid phosphatase in two tropical rainforests. Geoderma 2022, 425, 116076. [Google Scholar] [CrossRef]
- Huang, Y.L.; Dai, Z.M.; Lin, J.H.; Qi, Q.; Luo, Y.; Randy, A.D.; Xu, J.M. Contrasting effects of carbon source recalcitrance on soil phosphorus availability and communities of phosphorus solubilizing microorganisms. J. Environ. Man-Agement 2021, 298, 113426. [Google Scholar] [CrossRef] [PubMed]
- Kunito, T.; Hiruta, N.; Miyagishi, Y.; Sumi, H.; Moro, H. Changes in phosphorus fractions caused by increased microbial ac-tivity in forest soil in a short-term incubation study. Chem. Speciat. Bioavailab. 2018, 30, 9–13. [Google Scholar] [CrossRef]
- Wang, F.C.; Liu, Q.; Hu, X.F.; Fang, X.M.; Wang, S.N.; Chen, F.S. Divergent responses of soil microbial community to long-term nitrogen and phosphorus additions in a subtropical chinese fir plantation. Catena 2024, 242, 108132. [Google Scholar] [CrossRef]
- Xu, H.D.; Sun, J.N.; Zhao, Z.Q.; Gao, Y.; Tian, L.J.; Wei, X.M. Long-term straw return promotes soil phosphorus cycling by enhancing soil microbial functional genes responsible for phosphorus mobilization in the rice rhizosphere. Agric. Ecosyst. Environ. 2025, 381, 109422. [Google Scholar] [CrossRef]
- Mittal, V.; Singh, O.; Nayyar, H.; Kaur, J.; Tewari, R. Stimulatory effect of phosphate-solubilizing fungal strains (Aspergillus awamori and Penicillium citrinum) on the yield of chickpea (Cicer arietinum L. cv. GPF2). Soil Biol. Biochem. 2008, 40, 718–727. [Google Scholar] [CrossRef]
- Li, H.; Lin, J.T.; Shao, Q.; Zhang, B.B.; Wang, Y.T.; Wang, L.K.; Feng, H.J.; Lou, Y.H.; Wang, H.; Yang, Q.G.; et al. Microbial groups containing alkaline phosphatase accelerate soil phosphate mineralization in two soil patterns with contrasting pH levels. J. Soils Sediments 2024, 24, 3694–3706. [Google Scholar] [CrossRef]
- Lee, J.I.; Oh, J.S.; Yoo, S.C.; Jho, E.H.; Lee, C.G.; Park, S.J. Removal of phosphorus from water using calcium-rich organic waste and its potential as a fertilizer for rice growth. J. Environ. Chem. Eng. 2022, 10, 107367. [Google Scholar] [CrossRef]
- Maltais-Landry, G.; Scow, K.; Brennan, E. Soil phosphorus mobilization in the rhizosphere of cover crops has little effect on phosphorus cycling in california agricultural soils. Soil Biol. Biochem. 2014, 78, 255–262. [Google Scholar] [CrossRef]
- Wang, J.; Zhao, L.; Wang, B.Z.; Mo, F.; Wang, N.; Liu, S.T.; Song, Y.; Ren, A.T.; Mei, F.J.; Wang, Y.; et al. Plastic film mulching ensures maize climate resilience: A perspective of temperature suitability and optimal sowing period window. Soil Tillage Res. 2025, 252, 106611. [Google Scholar] [CrossRef]
- Quan, H.; Feng, H.; Zhang, T.B.; Wu, L.H.; Dong, Q.G.; Siddique, K.H.M. Response of soil water, temperature, and maize productivity to different irrigation practices in an arid region. Soil Tillage Res. 2024, 237, 105962. [Google Scholar] [CrossRef]
- Sing, H.V. Soil carbon sequestration and rhizospheric microbial population in apricot orchards following plastic film mulching under cold arid region. Int. J. Hortic. 2013, 3, 35–41. [Google Scholar] [CrossRef]
- Shen, G.T.; Guber, A.; Khosrozadeh, S.; Ghaderi, N.; Kravchenko, A.; Blagodatskaya, E. Plant-microbial interplay for organic nitrogen mediated by functional specificity of root compartments. Rhizosphere 2025, 33, 101024. [Google Scholar] [CrossRef]
- Chen, F.Y.; Peng, X.C.; Liu, X.C.; Chen, B.D.; Chen, L.D.; Lu, T.T.; Gong, Y. Effects of low-molecular-weight organic acids on the transport of polystyrene nanoplastics in saturated goethite-coated sand columns. Water 2024, 16, 3500. [Google Scholar] [CrossRef]
- Pan, W.K.; Tang, S.; Zhou, J.J.; Wanek, W.; Gregory, A.S.; Ge, T.; Marsden, K.A.; Chadwick, D.R.; Yong, Y.C.; Wu, L.H.; et al. Long-term manure and mineral fertilisation drive distinct pathways of soil organic nitrogen decomposition: Insights from a 180-year-old study. Soil Biol. Biochem. 2025, 207, 109840. [Google Scholar] [CrossRef]
- Yang, Z.Q.; He, G.X.; Yang, Q.S.; Zhang, D.D.; Zhang, Y.; Wen, S.Z.; Yang, X.S.; Yang, L.L.; Ji, L. Nitrogen enrichment stimu-lates nutrient cycling genes of rhizosphere soil bacteria in the phoebe bournei young plantations. J. Environ. Manag. 2024, 371, 123101. [Google Scholar] [CrossRef]
- Moersdorf, M.A.; Baggesen, N.S.; Yoccoz, N.G.; Michelsen, A.; Elberling, B.; Ambus, P.L.; Cooper, E.J. Deepened winter snow significantly influences the availability and forms of nitrogen taken up by plants in high arctic tundra. Soil Biol. Bio-Chem. 2020, 135, 222–234. [Google Scholar] [CrossRef]
- Huang, Z.R.; Wu, Q.H.; Chen, Z.L.; Wu, G.F.; Li, J.Q.; Zhou, W.L.; Pan, X.Y.; Zhang, X.X.; Ao, J.H.; Chen, D.W. Varying phosphate fertilizers exerted different effects on inorganic phosphorus transformation, tobacco growth, and phosphorus use efficiency in purple soil. J. Soil Sci. Plant Nutr. 2023, 23, 3991–4003. [Google Scholar] [CrossRef]
- Sui, L.; Tang, C.Y.; Cheng, K.; Yang, F. Biochar addition regulates soil phosphorus fractions and improves release of availa-ble phosphorus under freezing-thawing cycles. Sci. Total Environ. 2022, 848, 157748. [Google Scholar] [CrossRef]
- Zhang, Z.M.; Cao, Y.R.; Sun, M.S.; Wang, L.C.; Yang, H.Q. Phenological shifts drive rhizosphere microbial community dy-namics in subtropical woody bamboo (Chimonobambusa utilis (Keng) P. C. Keng): pH and total phosphorus as main drivers. Rhizosphere 2025, 34, 101072. [Google Scholar] [CrossRef]
- Waldrip, H.M.; Campbell, T.N.; Koziel, J.A.; Watts, D.B.; Torbert, H. Legacy phosphorus in alabama hartsells soil after long-term amendment with broiler litter. J. Environ. Qual. 2023, 52, 897–906. [Google Scholar] [CrossRef]
- Zhang, Y.Q.; Pang, D.B.; Chen, L.; Wu, M.Y.; Ma, J.P.; Li, X.B. Response of ammonia-oxidizing archaea to nitrogen enrich-ment and of plant litter inputs in desert steppe topsoil. J. Soil Sci. Plant Nutr. 2025, 25, 13–26. [Google Scholar] [CrossRef]
- Matkala, L.; Salemaa, M.; Bäck, J. Soil total phosphorus and nitrogen explain vegetation community composition in a northern forest ecosystem near a phosphate massif. Biogeosciences 2020, 17, 1535–1556. [Google Scholar] [CrossRef]
- Hu, B.; Jia, Y.; Zhao, Z.H.; Li, F.M.; Siddique, K.H.M. Soil P availability, inorganic P fractions and yield effect in a calcareous soil with plastic-film-mulched spring wheat. Field Crops Res. 2012, 137, 221–229. [Google Scholar] [CrossRef]
- Tie, L.; Peñuelas, J.; DeHuang, C.; Sardans, J.; Bose, A.K.; Ouyang, S.N.; Kong, X.Y.; Guo, Y.; Wu, Y.J.; Cheng, W.; et al. Phosphorus limitation of Pinus massoniana reforestation increases with stand development: Evidence from plant, leaf litter, and soil. Plant Soil 2024, 504, 817–832. [Google Scholar] [CrossRef]
- Bashir, O.; Bangroo, S.A.; Neiko, N.B.; Kumar, S.; Rasool, R.; Mir, A.H.; Amjid, S.; Reshi, O.; Jan, R.; Gani, I.; et al. Effect of land use change on total phosphorus and its fractions in north-western Himalayas. Int. J. Plant Soil Sci. 2022, 34, 1214–1220. [Google Scholar] [CrossRef]
- Cui, H.; Shutes, B.; Hou, S.N.; Wang, X.Y.; Zhu, H. Long-term organic fertilization increases phosphorus content but reduces its release in soil aggregates. Appl. Soil Ecol. 2024, 203, 105684. [Google Scholar] [CrossRef]
- Li, H.; Huang, G.; Meng, Q.; Ma, L.; Yuan, L.; Wang, F.; Zhang, W.; Cui, Z.; Shen, J.; Chen, X. Integrated soil and plant phos-phorus management for crop and environment in China. A review. Plant Soil 2011, 349, 157–167. [Google Scholar] [CrossRef]
- Gannett, M.; Tommaso, A.D.; Sparks, J.P.; Kao-Kniffin, J. Microbial nitrogen immobilization reduces competitive advantage of nitrophilous plants with soybean. Plant Soil 2024, 508, 819–838. [Google Scholar] [CrossRef]
- Cleveland, C.C.; Townsend, A.R. Nutrient additions to a tropical rain forest drive substantial soil carbon dioxide losses to the atmosphere. Proc. Natl. Acad. Sci. USA 2006, 103, 10316–10321. [Google Scholar] [CrossRef]
- Shi, J.Y.; Gong, J.R.; Li, X.B.; Zhang, Z.H.; Zhang, W.Y.; Li, Y.; Song, L.Y.; Zhang, S.Q.; Dong, J.J.; Baoyin, T.G.T. Plant-microbial linkages regulate soil organic carbon dynamics under phosphorus application in a typical temperate grassland in north-ern China. Agric. Ecosyst. Environ. 2022, 335, 108006. [Google Scholar] [CrossRef]
- Kong, F.X.; Jiu, A.M.; Kan, Z.R.; Zhou, J.; Yang, H.S.; Li, F.M. Deep tillage combined with straw biochar return increases rice yield by improving nitrogen availability and root distribution in the subsoil. Field Crops Res. 2024, 315, 109481. [Google Scholar] [CrossRef]
- Meilhoc, E.; Boscari, A.; Pauly, N.; Lepetit, M.; Frendo, P.; Bruand, C.; Puppo, A.; Brouquisse, R. Oxygen and derived reactive species in legume-rhizobia interactions: Paradoxes and dual roles. J. Exp. Bot. 2025, eraf160. [Google Scholar] [CrossRef] [PubMed]
- Li, H.; Liu, H.J.; Wang, C.; Zeng, Y.; Kant, S.; Wang, X.H.; Hammond, J.P.; Ding, G.D.; Cai, H.M.; Wang, S.L.; et al. Genome-wide association study identified BnaPAP17 genes involved in exogenous ATP utilization and regulating phosphorous content in Brassica napus. Plant Cell Rep. 2024, 43, 296. [Google Scholar] [CrossRef] [PubMed]
- Tierney, J.A.; Wurzburger, N. Phosphorus controls symbiotic nitrogen fixation in fire-dependent longleaf pine savannas. J. Ecol. 2024, 112, 2057–2068. [Google Scholar] [CrossRef]
- Zhang, J.X.; Liu, X.W.; Wu, Q.; Qiu, Y.Z.; Chi, D.C.; Xia, G.M.; Arthur, E. Mulched drip irrigation and maize straw biochar in-crease peanut yield by regulating soil nitrogen, photosynthesis and root in arid regions. Agric. Water Manag. 2023, 289, 108565. [Google Scholar] [CrossRef]
- Mei, L.L.; Yang, X.; Zhang, S.Q.; Zhang, T.; Guo, J.X. Arbuscular mycorrhizal fungi alleviate phosphorus limitation by re-ducing plant N:P ratios under warming and nitrogen addition in a temperate meadow ecosystem. Sci. Total Environ. 2019, 686, 1129–1139. [Google Scholar] [CrossRef]
- Luo, X.L.; Wang, D.W.; Liu, Y.T.; Qiu, Y.Z.; Zheng, J.L.; Xia, G.M.; Elbeltagi, A.; Chi, D.C. Partial substitution of phosphorus fertilizer with iron-modified biochar improves root morphology and yield of peanut under film mulching. Front. Plant Sci. 2024, 15, 1459751. [Google Scholar] [CrossRef]
- Sugiyama, A.; Shitan, N.; Yazaki, K. Involvement of a soybean ATP-binding cassette-type transporter in the secretion of genistein, a signal flavonoid in legume-rhizobium symbiosis. Plant Physiol. 2007, 144, 2000–2008. [Google Scholar] [CrossRef]
- Wang, J.W.; Niu, W.Q.; Guo, L.L.; Liu, L.; Li, Y.; Dyck, M. Drip irrigation with film mulch improves soil alkaline phosphatase and phosphorus uptake. Agric. Water Manag. 2018, 201, 258–267. [Google Scholar] [CrossRef]
- Liu, X.; Bol, R.; An, T.T.; Xu, Y.D.; Peng, C.; Li, S.Y.; Wang, J.K. Fungal necromass carbon contributes to organic carbon se-questration within soil macroaggregates under manure application combined with plastic film mulching. J. Soil Sediments 2024, 24, 1899–1909. [Google Scholar] [CrossRef]
- Zhang, K.P.; Li, Z.X.; Li, Y.F.; Wan, P.X.; Chai, N.; Li, M.; Wei, H.H.; Kuzyakov, Y.; Filimonenko, E.; Alharbi, S.A.; et al. Contrasting impacts of plastic film mulching and nitrogen fertilization on soil organic matter turnover. Geoderma 2023, 440, 116714. [Google Scholar] [CrossRef]
- Zhang, G.X.; Meng, W.H.; Pan, W.H.; Han, J.; Liao, Y.C. Effect of soil water content changes caused by ridge-furrow plastic film mulching on the root distribution and water use pattern of spring maize in the loess plateau. Agric. Water Manag. 2022, 261, 107338. [Google Scholar] [CrossRef]
- Sharmin, S.; Wang, Q.Y.; Islam, M.R.; Wang, W.Q.; Enyoh, C.E. Microplastic contamination of non-mulched agricultural soils in Bangladesh: Detection, characterization, source apportionment and probabilistic health risk assessment. J. Xenobiotics 2024, 14, 812–826. [Google Scholar] [CrossRef] [PubMed]
- Xu, Y.W.; Xiong, B.Y.; Huang, Y.M.M.; Xu, J.M.; He, Y.; Lu, Z.J. Exploring additives beyond phthalates: Release from plastic mulching films, biodegradation and occurrence in agricultural soils. Sci. Total Environ. 2024, 918, 170763. [Google Scholar] [CrossRef] [PubMed]
- Qi, Y.L.; Ossowicki, A.; Yang, X.M.; Lwanga, E.H.; Garbeva, P. Effects of plastic mulch film residues on wheat rhizosphere and soil properties. J. Hazard. Mater. 2020, 387, 121711. [Google Scholar] [CrossRef]
- Sun, Q.; Shen, T.; Wei, M.L.; Xie, M.M.; Wang, G.; Liu, D.Y. Evaluating the impact of traditional and biodegradable mulch film residues on heavy metal dynamics and maize productivity: Insights from arbuscular mycorrhizal fungi community analysis. Agronomy 2025, 15, 780. [Google Scholar] [CrossRef]






| Year | Total P (% P2O5) | Available P (% P2O5) | Available P/Total P (%) |
|---|---|---|---|
| 2021 | 4.96 | 3.26 | 65.7 |
| 2022 | 6.84 | 5.47 | 80.0 |
| 2023 | 5.59 | 3.94 | 70.4 |
| Average | 5.80 | 4.22 | 72.0 |
Disclaimer/Publisher’s Note: The statements, opinions and data contained in all publications are solely those of the individual author(s) and contributor(s) and not of MDPI and/or the editor(s). MDPI and/or the editor(s) disclaim responsibility for any injury to people or property resulting from any ideas, methods, instructions or products referred to in the content. |
© 2025 by the authors. Licensee MDPI, Basel, Switzerland. This article is an open access article distributed under the terms and conditions of the Creative Commons Attribution (CC BY) license (https://creativecommons.org/licenses/by/4.0/).
Share and Cite
Zhou, W.; Xu, Q.; Su, M.; Han, C.; Gu, Y. Effect of Flat Planting Without Film Mulching and Phosphorus Fertilization on Soil Phosphorus Dynamics and Nutrient Uptake in Faba Bean in Alpine Cropping Systems. Agronomy 2025, 15, 2037. https://doi.org/10.3390/agronomy15092037
Zhou W, Xu Q, Su M, Han C, Gu Y. Effect of Flat Planting Without Film Mulching and Phosphorus Fertilization on Soil Phosphorus Dynamics and Nutrient Uptake in Faba Bean in Alpine Cropping Systems. Agronomy. 2025; 15(9):2037. https://doi.org/10.3390/agronomy15092037
Chicago/Turabian StyleZhou, Weidi, Qiuyun Xu, Man Su, Chenglong Han, and Yanjie Gu. 2025. "Effect of Flat Planting Without Film Mulching and Phosphorus Fertilization on Soil Phosphorus Dynamics and Nutrient Uptake in Faba Bean in Alpine Cropping Systems" Agronomy 15, no. 9: 2037. https://doi.org/10.3390/agronomy15092037
APA StyleZhou, W., Xu, Q., Su, M., Han, C., & Gu, Y. (2025). Effect of Flat Planting Without Film Mulching and Phosphorus Fertilization on Soil Phosphorus Dynamics and Nutrient Uptake in Faba Bean in Alpine Cropping Systems. Agronomy, 15(9), 2037. https://doi.org/10.3390/agronomy15092037
