The Effects of the Application of Organic Manure in Combination with Nitrogen Fertilizer on the Physicochemical Properties of Waxy Maize Starch
Abstract
1. Introduction
2. Materials and Methods
2.1. Experimental Site and Materials
2.2. Experimental Design
2.3. Total Starch and Amylopectin Contents
2.4. Starch Isolation
2.5. Starch Morphology and Granule Size Distribution
2.6. Starch Crystalline Structure
2.7. Starch Ordered Degree
2.8. Starch Swelling Potential and Solubility
2.9. Iodine-Binding Strength, Blue Value, and λmax of Starch
2.10. Starch Pasting Properties
2.11. Starch Thermal Properties
2.12. In Vitro Digestibility of Starch
2.13. Statistical Analysis
3. Results
3.1. Starch and Sugar Contents
3.2. Starch Granule Morphology and Size Distribution
3.3. Crystalline Structure and Degree of Ordering
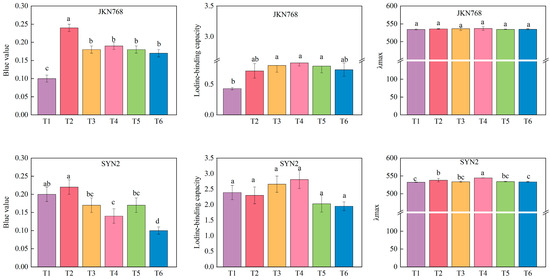
3.4. Blue Value, Swelling Power, and Solubility
3.5. Pasting Properties and Thermal Properties
3.6. In Vitro Starch Digestibility
3.7. Correlation Analysis
4. Discussion
5. Conclusions
Author Contributions
Funding
Data Availability Statement
Conflicts of Interest
References
- Zheng, H.J.; Wang, H.; Yang, J.H.; Wu, J.; Shi, B.; Cai, R.; Xu, Y.B.; Wu, A.Z.; Luo, L.J. Genetic diversity and molecular evolution of Chinese waxy maize germplasm. PLoS ONE 2013, 8, e66606. [Google Scholar] [CrossRef] [PubMed]
- Wu, X.Y.; Long, W.J.; Chen, D.; Zhou, G.Y.; Du, J.; Wu, S.Y.; Cai, Q. Waxy allele diversity in waxy maize landraces of Yunnan Province, China. J. Integr. Agric. 2022, 21, 578–585. [Google Scholar]
- Hsieh, C.F.; Liu, W.C.; Whaley, J.K.; Shi, Y.C. Structure and functional properties of waxy starches. Food Hydrocoll. 2019, 94, 238–254. [Google Scholar] [CrossRef]
- Luo, J.Y.; He, C.M.; Yan, S.J.; Jiang, C.L.; Chen, A.; Li, K.; Zhu, Y.L.; Gui, S.T.; Yang, N.; Xiao, Y.J.; et al. A metabolic roadmap of waxy corn flavor. Mol. Plant 2024, 12, 1883–1898. [Google Scholar] [CrossRef]
- Wang, J.; Wen, Z.R.; Fu, P.X.; Lu, W.P.; Lu, D.L. Effects of nitrogen rates on the physicochemical properties of waxy maize starch. Starch-Stärke 2019, 71, 1900146. [Google Scholar] [CrossRef]
- Huang, S.J.; Zha, F.C.; Zhu, Z.; Zhou, L.H.; Zheng, Q.H.; Wang, C.L. Characterization of eating quality and starch properties of two Wx alleles japonica rice cultivars under different nitrogen treatments. J. Integr. Agric. 2020, 19, 988–998. [Google Scholar] [CrossRef]
- Tao, K.Y.; Yu, W.W.; Prakash, S.; Gilbert, R.G. High-amylose rice: Starch molecular structural features controlling cooked rice texture and preference. Carbohydr. Polym. 2019, 219, 251–260. [Google Scholar] [CrossRef]
- Englys, H.N.; Kingman, S.; Cummings, J. Classification and measurement of nutritionally important starch fractions. Eur. J. Clin. Nutr. 1992, 46, S33–S50. [Google Scholar]
- Guo, K.; Liang, W.X.; Wang, S.J.; Guo, D.W.; Liu, F.L.; Persson, S.; Herburger, K.; Petersen, B.L.; Liu, X.X.; Blennow, A.; et al. Strategies for starch customization: Agricultural modification. Carbohydr. Polym. 2023, 321, 121336. [Google Scholar] [CrossRef]
- Kaplan, M.; Karaman, K.; Kardes, Y.M.; Kale, H. Phyticacid content and starch properties of maize (Zea mays L.): Effects of irrigation process and nitrogen fertilizer. Food Chem. 2019, 283, 375–380. [Google Scholar] [CrossRef]
- Wu, X.R.; Guo, K.; Liang, W.X.; Wang, Q.; Zhai, M.M.; Li, J.Y.; Herburger, K.; Wang, Z.H.; Zhong, Y.Y.; Han, Q.F. Optimizing planting density enhances the multi-scale structural characteristics and in vitro digestibility of maize starch via modulating the size distribution of granules. Int. J. Biol. Macromol. 2024, 280, 136004. [Google Scholar] [CrossRef] [PubMed]
- Xu, J.C.; Chen, L.; Guo, X.B.; Liang, Y.; Xie, F.W. Understanding the multi-scale structure and digestibility of different waxy maize starches. Int. J. Biol. Macromol. 2020, 144, 252–258. [Google Scholar] [CrossRef] [PubMed]
- Singh, N.; Pal, N.; Mahajan, G.; Singh, S.; Shevkani, K. Rice grain and starch properties: Effects of nitrogen fertilizer application. Carbohydr. Polym. 2011, 86, 219–225. [Google Scholar] [CrossRef]
- Nowotnaa, A.; Gambus, H.; Kratsch, G.; Krawontka, J.; Gambus, F.; Sabat, R.; Ziobro, R. Effect of nitrogen fertilization on the physico-chemical properties of starch isolated from German triticale varieties. Starch-Stärke 2007, 59, 397–399. [Google Scholar] [CrossRef]
- Yang, X.Y.; Bi, J.; Gilbert, R.G.; Li, G.H.; Liu, Z.H.; Wang, S.H.; Ding, Y.F. Amylopection chain length distribution in grains of japonica rice as affected by nitrogen fertilizer and genotype. J. Cereal Sci. 2016, 71, 230–238. [Google Scholar] [CrossRef]
- Zhou, T.Y.; Chen, L.; Wang, W.L.; Xu, W.J.; Zhang, W.Y.; Zhang, H.; Liu, L.J.; Wang, Z.Q.; Gu, J.F.; Yang, J.C. Effects of application of rapeseed cake as organic fertilizer on rice quality at high yield level. J. Sci. Food Agric. 2020, 102, 1832–1841. [Google Scholar] [CrossRef]
- Dupont, M.; Altenbach, S.B. Molecular and biochemical impacts of environmental factors on wheat grain development and protein synthesis. J. Cereal Sci. 2003, 38, 133–146. [Google Scholar] [CrossRef]
- Li, G.H.; Hu, Q.Q.; Shi, Y.G.; Cui, K.H.; Nie, L.X.; Huang, J.L.; Peng, S.B. Low nitrogen application enhances starch-metabolizing enzyme activity and improves accumulation and translocation of non-structural carbohydrates in rice stems. Front. Plant Sci. 2018, 9, 1128. [Google Scholar] [CrossRef] [PubMed]
- Zhou, T.Y.; Zhou, Q.; Li, E.P.; Yuan, L.M.; Wang, W.L.; Zhang, H.; Liu, L.J.; Wang, Z.Q.; Yang, J.C.; Gu, J.F. Effects of nitrogen fertilizer on structure and physicochemical properties of ‘super’rice starch. Carbohydr. Polym. 2020, 239, e116237. [Google Scholar] [CrossRef]
- Zhou, T.Y.; Li, Z.K.; Li, E.P.; Wang, W.L.; Yuan, L.M.; Zhang, H.; Liu, L.G.; Wang, Z.Q.; Gu, G.F.; Yang, J.C. Optimization of nitrogen fertilization improves rice quality by affecting the structure and physicochemical properties of starch at high yield levels. J. Integr. Agric. 2021, 21, 1576–1592. [Google Scholar]
- Zhao, T.C.; He, A.B.; Khan, M.N.; Yin, Q.; Song, S.K.; Nie, L.X. Coupling of reduced inorganic fertilizer with plant-based organic fertilizer as a promising fertilizer management strategy for colored rice in tropical regions. J. Integr. Agric. 2024, 23, 93–107. [Google Scholar] [CrossRef]
- Custodio, M.C.; Cuevas, R.P.; Ynion, J.; Laborte, A.G.; Velasco, M.L.; Demont, M. Rice quality: How is it defined by consumers, industry, food scientists, and geneticists? Trends Food Sci. Technol. 2019, 92, 122–137. [Google Scholar] [CrossRef] [PubMed]
- Zhang, W.T.; Xiong, Y.X.; Li, Y.P.; Qiu, Y.C.; Huang, G.H. Effects of organic amendment incorporation on maize (Zea mays L.) growth, yield and water-fertilizer productivity under arid conditions. Agric. Water Manag. 2022, 269, 107663. [Google Scholar] [CrossRef]
- Wen, J.L.; Li, Z.Y.; Yao, J.F.; Wang, S.; Liu, Y.; Liu, Y. The combined application of organic and inorganic fertilizers improved the quality of colored wheat by physicochemical properties and rheological characteristics of starch. Int. J. Biol. Macromol. 2024, 282, 137175. [Google Scholar] [CrossRef]
- Zhai, L.C.; Zhang, L.H.; Cui, Y.Z.; Zhai, L.F.; Zheng, M.J.; Yao, Y.R.; Zhang, J.T.; Hou, W.B.; Wu, L.Y.; Jia, X.L. Combined application of organic fertilizer and chemical fertilizer alleviates the kernel position effect in summer maize by promoting post-silking nitrogen uptake and dry matter accumulation. J. Integr. Agric. 2024, 23, 1179–1194. [Google Scholar] [CrossRef]
- Lou, F.; Zuo, Y.P.; Li, M.; Dai, X.M.; Wang, J.; Han, J.L.; Wu, S.; Li, X.L.; Duan, H.J. Effects of organic fertilizer substitution of partial chemical fertilizer nitrogen on yield, quality and nitrogen utilization of waxy maize. Acta Agron. Sin. 2024, 50, 1053–1064. [Google Scholar]
- Lu, D.L.; Lu, W.P. Effects of protein removal on the physicochemical properties of waxy maize flours. Starch-Stärke 2012, 64, 874–881. [Google Scholar] [CrossRef]
- Liang, W.X.; Blennow, A.; Herburger, K.; Zhong, Y.Y.; Wen, X.X.; Liu, Y.; Liao, Y.C. Effects of supplemental irrigation on winter wheat starch structure and properties under ridge-furrow tillage and flat tillage. Carbohydr. Polym. 2021, 270, 118310. [Google Scholar] [CrossRef]
- Xu, A.H.; Lin, L.S.; Guo, K.; Liu, T.X.; Yin, Z.T.; Wei, C.X. Physicochemical properties of starches from vitreous and floury endosperms from the same maize kernels. Food Chem. 2019, 291, 149–156. [Google Scholar] [CrossRef]
- Zou, J.; Xu, M.J.; Tang, W.; Wen, L.R.; Yang, B. Modification of structural, physicochemical and digestive properties of normal maize starch by thermal treatment. Food Chem. 2020, 309, 125733. [Google Scholar] [CrossRef]
- Fiedorowicz, M.; Rebilas, K. Physicochemical properties of waxy corn starch and corn amylopection illuminated with lin-early polarised visible light. Carbohydr. Polym. 2002, 50, 315–319. [Google Scholar] [CrossRef]
- Wang, Z.T.; Qu, L.L.; Li, J.; Niu, S.D.; Guo, J.; Lu, D.L. Effects of exogenous salicylic acid on starch physicochemical properties and in vitro digestion under heat stress during the grain-filling stage in waxy maize. Int. J. Biol. Macromol. 2024, 254, 127765. [Google Scholar] [CrossRef] [PubMed]
- Xiong, R.Y.; Tan, X.M.; Yang, T.Y.; Pan, X.H.; Zeng, Y.J.; Huang, S.; Shang, Q.Y.; Zhang, J.; Zeng, Y.H. Relation of cooked rice texture to starch structure and physicochemical properties under different nitrogen managements. Carbohydr. Polym. 2022, 295, 119882. [Google Scholar] [CrossRef]
- Xu, L.; Shi, Y.X.; Xi, S.L.; Yu, A.H.; Lu, B.S.; Zhao, J.R. Breeding of a new type of fresh maize and its representative variety JKN 768. Plant Genet. Resour. 2023, 24, 317–324. [Google Scholar]
- Chen, L.; Xie, H.; Wang, G.L.; Yuan, L.M.; Qian, X.Q.; Wang, W.L.; Xu, Y.J.; Zhang, W.Z.; Zhang, H.; Liu, L.J.; et al. Reducing environmental risk by improving crop management practices at high crop yield levels. Field Crop Res. 2021, 265, 10812. [Google Scholar] [CrossRef]
- Zhang, M.; Yao, Y.L.; Tian, Y.H.; Ceng, K.; Zhao, M.; Zhao, M.; Yin, B. Increasing yield and N use efficiency with organic fertilizer in Chinese intensive rice cropping systems. Field Crop Res. 2018, 227, 102–109. [Google Scholar] [CrossRef]
- Tao, J.C.; Wan, C.X.; Leng, J.J.; Dai, S.R.; Wu, Y.X.; Lei, X.H.; Wang, J.L.; Yang, Q.H.; Wang, P.K.; Gao, J.F. Effects of biochar coupled with chemical and organic fertilizer application on physicochemical properties and in vitro digestibility of common buckwheat (Fagopyrum esculentum Moench) starch. Int. J. Biol. Macromol. 2023, 246, 125591. [Google Scholar] [CrossRef]
- Nitika; Punia, D.; Khetarpaul, N. Physico-chemical characteristics, nutrient composition and consumer acceptability of wheat varieties grown under organic and inorganic farming conditions. Int. J. Food Sci. Nutr. 2008, 59, 224–245. [Google Scholar] [CrossRef]
- Gelaye, Y. Effect of combined application of organic manure and nitrogen fertilizer rates on yield and yield components of potato: A review. Cogent Food Agric. 2023, 9, 2217603. [Google Scholar] [CrossRef]
- Chen, J.W.; Chen, Y.; Watson-Lazowski, A.; Hawkins, E.; Barclay, J.E.; Fahy, B.; Bowers, R.D.; Corbin, K.; Warren, F.J.; Blennow, A.; et al. Wheat myosinresembling chiloroplast protein controls B-type starch granule initiation timing during endosperm development. Plant Physiol. 2024, 196, 1980–1996. [Google Scholar] [CrossRef]
- Guo, K.; Lin, L.S.; Li, E.; Zhong, Y.Y.; Petersen, B.L.; Blennow, A.; Bian, X.F.; Wei, C.X. Effects of growth temperature on multi-scale structure of root tuber starch in sweet potato. Carbohydr. Polym. 2022, 298, 120136. [Google Scholar] [CrossRef]
- Duan, W.X.; Zhang, H.Y.; Xie, B.T.; Wang, B.Q.; Zhang, L.M. Impacts of nitrogen fertilization rate on the root yield, starch yield and starch physicochemical properties of the sweet potato cultivar Jishu 25. PLoS ONE 2019, 14, e0221351. [Google Scholar] [CrossRef]
- Warren, F.J.; Gidley, M.J.; Flanagan, B.M. Infrared spectroscopy as a tool to characterise starch ordered structure-A joint FTIR-ATR, NMR, XRD and DSC study. Carbohydr. Polym. 2016, 139, 35–42. [Google Scholar] [CrossRef]
- Wang, M.; Sun, M.Q.; Zhang, Y.Y.; Chen, Y.; Wu, Y.W.; Yang, J. Effect of microwave irradiation-retrogradation treatment on the digestive and physicochemical properties of starches with different crystallinity. Food Chem. 2019, 298, 125015. [Google Scholar] [CrossRef] [PubMed]
- Kaur, L.; Singh, J.; McCarthy, O.J.; Singh, H. Physico-chemical, rheological and structural properties of fractionated potato starches. J. Food Eng. 2007, 82, 383–394. [Google Scholar] [CrossRef]
- Zhu, D.W.; Zhang, H.C.; Guo, B.W.; Xu, K.; Dai, Q.G.; Wei, C.X.; Zhou, G.S.; Huo, Z.Y. Effects of nitrogen level on structure and physicochemical properties of rice starch. Food Hydrocoll. 2017, 63, 525–532. [Google Scholar] [CrossRef]
- Zhang, X.Y.; Shen, Q.; Yang, Y.; Zhang, F.; Wang, C.; Liu, Z.Y.; Zhao, Q.Y.; Wang, X.R.; Diao, X.M.; Cheng, R.H. Structural, functional and mechanistic insights uncover the role of starch in foxtail millet cultivars with different congee-making quality. Int. J. Biol. Macromol. 2023, 242, 125107. [Google Scholar] [CrossRef] [PubMed]
- Zhu, D.W.; Zhang, H.C.; Guo, B.W.; Xu, K.; Dai, Q.G.; Wei, C.X.; Wei, H.Y.; Gao, H.; Hu, Y.J.; Cui, P.Y.; et al. Effect of nitrogen management on the structure and physicochemical properties of rice starch. J. Agric. Food Chem. 2016, 64, 8019–8025. [Google Scholar] [CrossRef]
- Zhang, W.L.; Yang, Q.H.; Xia, M.J.; Bai, W.M.; Wang, P.K.; Gao, X.L.; Li, J.; Feng, B.L.; Gao, J.F. Effects of nitrogen level on the physicochemical properties of Tartary buckwheat (Fagopyrum tataricum (L.) Gaertn.) starch. Int. J. Biol. Macromol. 2019, 129, 799–808. [Google Scholar] [CrossRef]
- Singh, S.; Singh, N.; Isono, N.; Noda, T. Relationship of granule size distribution and amylopection structure with pasting, thermal, and retrogradation properties in wheat starch. J. Agric. Food Chem. 2010, 58, 1180–1188. [Google Scholar] [CrossRef]
- Miao, M.; Hamake, B.R. Food matrix effects for modulating starch bioavailability. Annu. Rev. Food Sci. Technol. 2021, 12, 169–191. [Google Scholar] [CrossRef] [PubMed]
- Qiao, D.L.; Tu, W.Y.; Zhang, B.J.; Wang, R.; Li, N.N.; Nishinari, K.; Riffat, S.; Jiang, F.T. Understanding the multi-scale structure and digestion rate of water chestnut starch. Food Hydrocoll. 2019, 91, 311–318. [Google Scholar] [CrossRef]
- Li, N.N.; Cai, Z.X.; Guo, Y.; Xu, T.; Qiao, D.L.; Zhang, B.J.; Zhao, S.M.; Huang, Q.L.; Niu, M.; Jia, C.H.; et al. Hierarchical structure and slowly digestible features of rice starch following microwave cooking with storage. Food Chem. 2019, 295, 475–483. [Google Scholar] [CrossRef] [PubMed]
- Fuentes-Zaragoza, E.; Riquelme-Navarrete, M.J.; Sánchez-Zapata, E.; Pérez-Álvarez, J.A. Resistant starch as functional ingredient: A review. Food Res. Int. 2010, 43, 931–942. [Google Scholar] [CrossRef]
- Miao, M.; Zhang, T.; Mu, W.M.; Jiang, B. Effect of controlled gelatinization in excess water on digestibility of waxy maize starch. Food Chem. 2010, 119, 41–48. [Google Scholar] [CrossRef]








| Cultivar | Treatment | Protein (%) | Sugar (%) | Total Starch (%) | Starch/ Sugar | Amylopectin (%) | Amylose (%) |
|---|---|---|---|---|---|---|---|
| JNK768 | T1 | 7.33 cd | 10.33 c | 40.84 c | 3.95 c | 39.9 c | 0.93 a |
| T2 | 8.27 ab | 13.26 a | 47.17 b | 3.56 c | 46.3 ab | 0.88 b | |
| T3 | 8.78 a | 11.80 b | 48.47 b | 4.11 b | 47.6 ab | 0.86 b | |
| T4 | 9.25 bc | 11.56 b | 51.51 a | 4.46 b | 50.64 a | 0.87 b | |
| T5 | 7.67 bc | 11.28 bc | 48.31 c | 4.11 b | 47.39 b | 0.92 a | |
| T6 | 7.92 d | 6.67 d | 39.94 d | 5.99 a | 39.01 c | 0.94 a | |
| SYN2 | T1 | 6.63 c | 6.78 b | 46.09 c | 6.80 b | 45.19 c | 0.9 ab |
| T2 | 8.29 a | 9.83 a | 48.11 b | 5.50 c | 47.18 c | 0.93 a | |
| T3 | 8.07 ab | 9.81 a | 51.85 a | 5.69 c | 50.94 a | 0.91 ab | |
| T4 | 7.9 b | 10.35 a | 50.59 a | 4.89 d | 49.66 a | 0.92 ab | |
| T5 | 6.82 c | 10.62 a | 49.78 b | 4.59 d | 48.85 b | 0.92 a | |
| T6 | 6.19 d | 6.13 b | 46.29 c | 7.55 a | 45.39 c | 0.90 b |
| Cultivar | Treatment | D(4, 3) | D(3, 2) | d (0.1) μm | d (0.5) μm | d (0.9) μm |
|---|---|---|---|---|---|---|
| JNK768 | T1 | 14.13 b | 10.92 b | 8.37 c | 14.01 b | 23.04 b |
| T2 | 14.09 b | 10.87 b | 9.00 b | 14.38 ab | 23.03 b | |
| T3 | 14.33 b | 11.13 b | 9.26 a | 14.81 a | 23.65 a | |
| T4 | 14.65 ab | 11.38 b | 9.05 b | 14.66 ab | 23.75 a | |
| T5 | 14.40 ab | 13.02 a | 8.60 c | 14.10 b | 22.92 b | |
| T6 | 13.96 b | 10.58 b | 8.09 d | 13.16 c | 22.61 b | |
| SYN2 | T1 | 13.74 ab | 10.49 a | 8.04 c | 13.76 ab | 22.76 a |
| T2 | 13.97 a | 10.92 ab | 8.68 b | 13.84 a | 22.35 b | |
| T3 | 13.86 a | 11.03 ab | 8.89 a | 13.85 a | 22.23 c | |
| T4 | 13.61 b | 11.17 a | 8.53 b | 13.72 ab | 22.24 c | |
| T5 | 13.82 ab | 11.38 a | 8.22 c | 13.52 b | 22.10 d | |
| T6 | 13.54 b | 10.36 b | 7.99 c | 12.71 c | 21.75 a |
| Cultivar | Treatment | PV (cP) | TV (cP) | FV (cP) | BD (cP) | SB (cP) | Ptemp (°C) |
|---|---|---|---|---|---|---|---|
| JNK768 | T1 | 1250 d | 378.33 d | 508.00 d | 871.67 a | 129.67 d | 73.8 ab |
| T2 | 1350.33 ab | 549 a | 717.33 a | 801.33 b | 168.33 a | 75.08 ab | |
| T3 | 1385.67 a | 486 b | 650.33 b | 899.67 a | 164.33 b | 75.57 a | |
| T4 | 1300.33 c | 450 c | 601.67 c | 850.33 ab | 151.67 c | 75.03 ab | |
| T5 | 1307.67 bc | 432.67 c | 627 bc | 875 a | 194.33 b | 74.98 ab | |
| T6 | 1265 cd | 457.33 bc | 617.33 bc | 807.67 b | 160 bc | 73.47 b | |
| SYN2 | T1 | 1098.67 bc | 236.33 d | 338.67 e | 862.33 a | 102.33 c | 72.63 b |
| T2 | 1150.67 a | 331.33 a | 451.67 a | 819.33 ab | 120.33 a | 75.33 a | |
| T3 | 1118.67 ab | 324.33 a | 435.67 b | 794.33 b | 111.33 abc | 75.07 a | |
| T4 | 1123.67 ab | 291.33 b | 410.67 c | 832.33 ab | 119.33 a | 75.55 a | |
| T5 | 1060.67 c | 219.67 e | 328 e | 841 a | 108.33 bc | 75.03 a | |
| T6 | 924 d | 269.33 c | 386 d | 654.67 c | 116.67 ab | 72.3 b |
| Cultivar | Treatment | To (°C) | Tp (°C) | Tc (°C) | ΔHgel (J/g) | ΔHret (J/g) | R (%) |
|---|---|---|---|---|---|---|---|
| JNK768 | T1 | 64.89 d | 70.34 c | 76.33 c | 6.59 e | 3.08 d | 47.57 a |
| T2 | 68.60 a | 72.46 a | 77.91 b | 12.33 a | 5.23 a | 42.47 b | |
| T3 | 67.65 ab | 72.41 a | 78.45 ab | 11.63 b | 4.30 b | 37.05 d | |
| T4 | 67.56 b | 72.31 a | 79.32 a | 11.59 b | 4.42 b | 38.23 cd | |
| T5 | 67.14 bc | 72.05 a | 78.31 ab | 8.95 c | 3.75 c | 41.90 bc | |
| T6 | 66.55 c | 71.25 b | 77.80 b | 8.26 d | 3.31 d | 40.04 bcd | |
| SYN2 | T1 | 67.45 c | 69.75 d | 76.04 d | 4.72 b | 2.31 d | 49.02 a |
| T2 | 69.54 a | 73.52 a | 79.01 a | 7.29 a | 3.70 a | 50.92 a | |
| T3 | 69.34 ab | 73.26 ab | 78.63 ab | 5.52 b | 2.37 b | 43.07 bc | |
| T4 | 68.15 bc | 72.98 ab | 78.68 ab | 5.33 b | 2.19 b | 40.98 c | |
| T5 | 68.05 c | 72.41 b | 78.17 bc | 5.01 b | 2.15 b | 43.00 bc | |
| T6 | 67.44 c | 71.13 c | 77.60 c | 4.52 b | 2.10 b | 46.68 ab |
Disclaimer/Publisher’s Note: The statements, opinions and data contained in all publications are solely those of the individual author(s) and contributor(s) and not of MDPI and/or the editor(s). MDPI and/or the editor(s) disclaim responsibility for any injury to people or property resulting from any ideas, methods, instructions or products referred to in the content. |
© 2025 by the authors. Licensee MDPI, Basel, Switzerland. This article is an open access article distributed under the terms and conditions of the Creative Commons Attribution (CC BY) license (https://creativecommons.org/licenses/by/4.0/).
Share and Cite
Lou, F.; Liu, L.; Zhang, W.; Ji, P.; Li, X.; Tao, P.; Zhang, Y. The Effects of the Application of Organic Manure in Combination with Nitrogen Fertilizer on the Physicochemical Properties of Waxy Maize Starch. Agronomy 2025, 15, 1525. https://doi.org/10.3390/agronomy15071525
Lou F, Liu L, Zhang W, Ji P, Li X, Tao P, Zhang Y. The Effects of the Application of Organic Manure in Combination with Nitrogen Fertilizer on the Physicochemical Properties of Waxy Maize Starch. Agronomy. 2025; 15(7):1525. https://doi.org/10.3390/agronomy15071525
Chicago/Turabian StyleLou, Fei, Linxiao Liu, Wenxin Zhang, Pengtao Ji, Xiangling Li, Peijun Tao, and Yuechen Zhang. 2025. "The Effects of the Application of Organic Manure in Combination with Nitrogen Fertilizer on the Physicochemical Properties of Waxy Maize Starch" Agronomy 15, no. 7: 1525. https://doi.org/10.3390/agronomy15071525
APA StyleLou, F., Liu, L., Zhang, W., Ji, P., Li, X., Tao, P., & Zhang, Y. (2025). The Effects of the Application of Organic Manure in Combination with Nitrogen Fertilizer on the Physicochemical Properties of Waxy Maize Starch. Agronomy, 15(7), 1525. https://doi.org/10.3390/agronomy15071525

