The Effect of Different Altitude Conditions on the Quality Characteristics of Turnips (Brassica rapa)
Abstract
1. Introduction
2. Materials and Methods
2.1. Plant Material and Field Experiment
2.2. Quality Trait Analysis
2.3. Statistical Analysis
3. Results
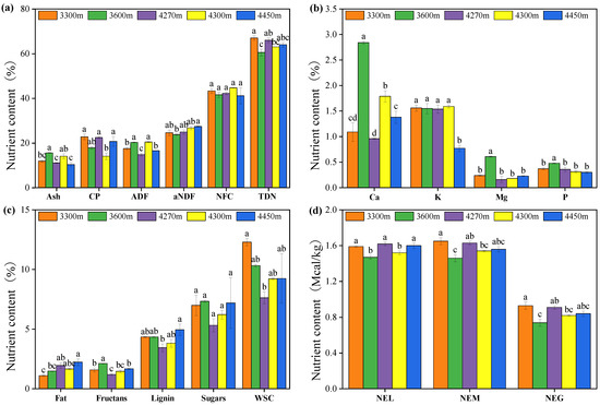
3.1. Nutritional Quality of Turnip at Different Altitudes
3.2. Forage Value of Turnip at Different Altitudes
3.3. Physical and Chemical Properties of Soils at Different Altitudes
3.4. Effect of Different High-Altitude Areas on Correlation Analysis of Turnip Quality
4. Discussion
5. Conclusions
Supplementary Materials
Author Contributions
Funding
Data Availability Statement
Acknowledgments
Conflicts of Interest
References
- Jiang, L.; Wang, Y.; Luo, D.; Wang, Y.; Zhang, L.; Zhao, W.; Wang, S.; Nie, X. The feasibility analysis of planting high-quality and high-yield turnips in Xizang. Xizang Sci. Technol. 2023, 45, 88–92+101. [Google Scholar]
- Zhang, Y.J.; Zhang, X.Q.; Wang, X.Y.; Liu, N.; Kan, H.M. Establishing the carrying capacity of the grasslands of China: A review. Rangel. J. 2014, 36, 1–9. [Google Scholar] [CrossRef]
- Sun, J.; Zhou, T.C.; Liu, M.; Chen, Y.C.; Liu, G.H.; Xu, M.; Shi, P.L.; Peng, F.; Tsunekawa, A.; Liu, Y.; et al. Water and heat availability are drivers of the aboveground plant carbon accumulation rate in alpine grasslands on the Tibetan Plateau. Glob. Ecol. Biogeogr. 2020, 29, 50–64. [Google Scholar]
- Liu, M.; Zhu, T.B.; Tian, Y.Q.; Xu, X.L.; Wang, Y.F. Plant functional groups shift their nitrogen uptake during restoration of degraded alpine grasslands. Land Degrad. Dev. 2022, 33, 2898–2910. [Google Scholar]
- Liu, M.; Xu, X.L.; Wanek, W.; Sun, J.; Bardgett, R.D.; Tian, Y.Q.; Cui, X.Y.; Jiang, L.L.; Ma, Z.Q.; Kuzyakov, Y.; et al. Nitrogen availability in soil controls uptake of different nitrogen forms by plants. New Phytol. 2025, 245, 1450–1467. [Google Scholar]
- Yu, C.L.; Liu, M.; Song, M.H.; Xu, X.L.; Zong, N.; Zhu, J.F.; Shi, P.L. Nitrogen enrichment enhances the competition for nitrogen uptake between Stipa purpurea and microorganisms in a tibetan alpine steppe. Plant Soil 2023, 488, 503–516. [Google Scholar]
- Shang, Z.H.; Gibb, M.J.; Leiber, F.; Ismail, M.; Ding, L.M.; Guo, X.S.; Long, R.J. The sustainable development of grassland-livestock systems on the Tibetan plateau: Problems, strategies and prospects. Rangel. J. 2014, 36, 267–296. [Google Scholar]
- Shi, Y.; Ma, Y.L.; Ma, W.H.; Liang, C.Z.; Zhao, X.Q.; Fang, J.Y.; He, J.S. Large scale patterns of forage yield and quality across Chinese grasslands. Chin. Sci. Bull. 2013, 58, 1187–1199. [Google Scholar]
- Zhang, X.; Jiang, L.; Su, D.; Wang, S.; Dorji, T.; Li, Y.; Zhou, H. Analysis of the cureent development status of artificial grassland in the Tibet Autonomous Region. Grassl. Turf 2024, 44, 202–207. [Google Scholar]
- Chen, D.D.; Li, Q.; Liu, Z.; He, F.Q.; Chen, X.; Xu, S.X.; Zhao, X.Q.; Zhao, L. Variations of Forage Yield and Nutrients with Altitude Gradients and Their Influencing Factors in Alpine Meadow of Sanjiangyuan, China. J. Soil Sci. Plant Nutr. 2020, 20, 2164–2174. [Google Scholar]
- Ferrante, A.; Mariani, L. Agronomic Management for Enhancing Plant Tolerance to Abiotic Stresses: High and Low Values of Temperature, Light Intensity, and Relative Humidity. Horticulturae 2018, 4, 21. [Google Scholar] [CrossRef]
- Bhattacharya, A. Effect of Low Temperature Stress on Photosynthesis and Allied Traits: A Review. In Physiological Processes in Plants Under Low Temperature Stress; Bhattacharya, A., Ed.; Springer: Singapore, 2022; pp. 199–297. [Google Scholar]
- Ibrahim, I.A.; Jabbour, A.A.; Abdulmajeed, A.M.; Elhady, M.E.; Almaroai, Y.A.; Hashim, A.M. Adaptive Responses of Four Medicinal Plants to High Altitude Oxidative Stresses through the Regulation of Antioxidants and Secondary Metabolites. Agronomy 2022, 12, 3032. [Google Scholar] [CrossRef]
- Wu, X.J.; Xiao, J.P. Response and Adaptive Mechanism of Flavonoids in Pigmented Potatoes at Different Altitudes. Plant Cell Physiol. 2024, 65, 1184–1196. [Google Scholar] [PubMed]
- Zhang, Z.J.; Li, X.H.; Ming, R.; Lu, Y.Y.; Lin, Q.W.; Yang, Y.F.; Liao, J.L.; Li, Y.J.; Mao, L.L.; Huang, Y.; et al. Microscopical Observation and Transcriptome Analysis Reveal the Effects of High-Altitude Ecosystem in the Qualities of Different Genetic Varieties Brassica napus Resources. Ecol. Evol. 2024, 14, e70616. [Google Scholar]
- Yin, X.; Wang, Q.L.; Chen, Q.; Xiang, N.; Yang, Y.Q.; Yang, Y.P. Genome-Wide Identification and Functional Analysis of the Calcineurin B-like Protein and Calcineurin B-like Protein-Interacting Protein Kinase Gene Families in Turnip (Brassica rapa var. rapa). Front. Plant Sci. 2017, 8, 1191. [Google Scholar]
- Li, X.; Zhao, W.; Ga, S.; Deng, C.; Zhao, M.; Ren, Y. Analysis of turnip nutrient at different altitudes. Xinjiang Agric. Sci. 2024, 61, 652–664. [Google Scholar]
- Tao, Y.; Qiu, J.; Lin, H.; Chen, D. Comparative Studies on Quality and Nutrient Value of the Tubers of Three Brassica Vegetables Among Turnip Radish and Kohlrahi. Spec. Wild Econ. Anim. Plant Res. 2002, 37–40. [Google Scholar] [CrossRef]
- Chu, B.Q.; Chen, C.; Li, J.J.; Chen, X.J.; Li, Y.H.; Tang, W.M.; Jin, L.; Zhang, Y. Effects of Tibetan turnip (Brassica rapa L.) on promoting hypoxia-tolerance in healthy humans. J. Ethnopharmacol. 2017, 195, 246–254. [Google Scholar]
- Tang, W.; Chu, B.; Gao, W.; Wu, C.; Gong, L.; Dai, X.; Zhang, Y. Comparative Studies of Chemical Compositions and Antioxidant Capacity of Low- Polarity Components from Tibetan turnip (Brassica rapa var L.) and Maca (Lepidium meyenii Walp). Nat. Prod. Res. Dev. 2015, 27, 674–680. [Google Scholar]
- Francisco, M.; Cartea, M.E.; Soengas, P.; Velasco, P. Effect of Genotype and Environmental Conditions on Health-Promoting Compounds in Brassica rapa. J. Agric. Food Chem. 2011, 59, 2421–2431. [Google Scholar]
- Paul, S.; Geng, C.A.; Yang, T.H.; Yang, Y.P.; Chen, J.J. Phytochemical and Health-Beneficial Progress of Turnip (Brassica rapa). J. Food Sci. 2019, 84, 19–30. [Google Scholar] [CrossRef] [PubMed]
- Dejanovic, G.M.; Asllanaj, E.; Gamba, M.; Raguindin, P.F.; Itodo, O.A.; Minder, B.; Bussler, W.; Metzger, B.; Muka, T.; Glisic, M.; et al. Phytochemical characterization of turnip greens (Brassica rapa ssp. rapa): A systematic review. PLoS ONE 2021, 16, e0247032. [Google Scholar] [CrossRef] [PubMed]
- Zhang, R. Xizang: Breeding of High Quality and High Yield Turnip Varieties. Xinhua News Agency. 2024. Available online: http://tibet.news.cn/20240815/676ec34bd3e747878c30fe54868037a5/c.html (accessed on 15 August 2024).
- Chen, M.; Nie, X.; Zhang, X.; Wang, Z.; Song, Z.; Wang, A.; Wang, Q.; Wang, S.; Li, Y.; Sique, D.; et al. Study on Screening the Suitable Forage Grass for Artificial Grass Establishment in Nagqu, Xizang. Acta Agrestia Sin. 2023, 31, 2897–2904. [Google Scholar]
- Li, J.; Zhuoma, Q.; Wang, Z.; Jing, Z. Comparative Analysis of Growing Development of Different Turnip Varieties in Tibet. Hubei Agric. Sci. 2019, 58, 80–82+86. [Google Scholar]
- Kang, H.; Yang, Y.; Meng, Y. Functional Differentiation of the Duplicated Gene BrrCIPK9 in Turnip (Brassica rapa var. rapa). Genes 2024, 15, 405. [Google Scholar] [CrossRef]
- Zhang, L.; Zha, L.; Fan, B.; Li, W.; Fu, M.; Wang, F. Comparative Analysis of Total Flavonoids and Saponins Content and Antioxidant Activities of Brassica rapa L. from Different Regions in Tibet. Food Res. Dev. 2020, 41, 53–58. [Google Scholar]
- Cao, W.; Xuan, Z. Study on Agronomic Traits of Turnip from Different Provenances. Xinjiang Agric. Sci. 2019, 56, 1072–1082. [Google Scholar]
- Wang, Y.; Li, J.; Wang, B.; Zhang, Y.; Geng, J. Research on Measurement of Crude Fat, Crude Fiber and Ash Contents in Sorghum Using Near—Infrared Reflectance Spectroscopy Method. J. Chin. Cereals Oils Assoc. 2020, 35, 181–185. [Google Scholar]
- Li, Y.; Jiang, M.; Jiang, J.; Zhang, J.; Zhou, X.; Sun, C.; Yang, L. Construction of three kinds of determination model of rapeseed quality with near-infrared spectroscopy. Acta Agric. Shanghai 2018, 34, 99–103. [Google Scholar]
- Li, X.; Zhang, L.X.; Zhang, Y.; Wang, D.; Wang, X.F.; Yu, L.; Zhang, W.; Li, P.W. Review of NIR spectroscopy methods for nondestructive quality analysis of oilseeds and edible oils. Trends Food Sci. Technol. 2020, 101, 172–181. [Google Scholar] [CrossRef]
- Clark, D.H.; Mayland, H.F.; Lamb, R.C. Mineral analysis of forages with near-infrared reflectance spectroscopy. Agron. J. 1987, 79, 485–490. [Google Scholar] [CrossRef]
- Aydin, I.; Algan, D.; Pak, B.; Ocak, N. Similarity analysis with respect to some quality indicators and quality categories based on relative forage quality ranges of desirable rangeland forages. Fresenius Environ. Bull. 2019, 28, 5926–5936. [Google Scholar]
- Wang, Z.; Pingcuoraoji Liu, Y.; Chen, F.; Xia, Q.; Hai, M. Research progress in chemical constituents and biological activities of Brassica rapa L. Cent. South Pharm. 2023, 21, 2391–2399. [Google Scholar]
- Liu, X.J.; Tahir, M.; Li, C.H.; Chen, C.; Xin, Y.F.; Zhang, G.J.; Cheng, M.J.; Yan, Y.H. Mixture of Alfalfa, Orchardgrass, and Tall Fescue Produces Greater Biomass Yield in Southwest China. Agronomy 2022, 12, 2425. [Google Scholar] [CrossRef]
- Capstaff, N.M.; Miller, A.J. Improving the Yield and Nutritional Quality of Forage Crops. Front. Plant Sci. 2018, 9, 535. [Google Scholar]
- Zhang, Y.F.; Chen, T.; Yun, H.B.; Chen, C.Y.; Liu, Y.Z. Below-Ground Growth of Alpine Plants, Not Above-Ground Growth, Is Linked to the Extent of Its Carbon Storage. Plants 2021, 10, 2680. [Google Scholar] [CrossRef]
- Zhao, Z.G.; Zhang, Y.F.; Chen, T.; Cui, X.; Wu, Q.B.; An, L.Z. The effect and implication of human disturbances on altitudinal variation of non-structural carbohydrates in Kobresia pygmaea. Acta Physiol. Plant. 2014, 36, 2511–2519. [Google Scholar] [CrossRef]
- Guo, X.S.; Ding, L.M.; Long, R.J.; Qi, B.; Shang, Z.H.; Wang, Y.P.; Cheng, X.Y. Changes of chemical composition to high altitude results in Kobresia littledalei growing in alpine meadows with high feeding values for herbivores. Anim. Feed. Sci. Technol. 2012, 173, 186–193. [Google Scholar] [CrossRef]
- Jiang, Y.; Ma, J.; He, M.; Ma, G.; Shaogouti, A.; Xuan, Z. Determination and Evaluation of Major Nutrients in Fleshy Roots of Turnip Germplasm Resources. North. Hortic. 2024, 14–19. [Google Scholar] [CrossRef]
- Hong, M.; Gao, M.; Lu, D.; Hu, H. New Forage Grading Index: Its Establishment and Comparative Study on the Evaluation of Forage Quality with the Grading Index-2001 (GI_(2001)) and Relative Feed Value (RFV). Acta Zoonutrimenta Sin. 2011, 23, 1296–1302. [Google Scholar]
- Liu, L.; Jia, Y.; Fan, W.; Yin, Q.; Cheng, Q.; Wang, Z. An investigation of the main environmental factors affecting the natural drying of alfalfa for hay, and hay quality. Acta Pratacult. Sin. 2022, 31, 121–132. [Google Scholar]
- Jin, P.; Liu, M.; Xu, X.L.; Sun, Y.; Kuzyakov, Y.; Gunina, A. Gross mineralization and nitrification in degraded alpine grassland soil. Rhizosphere 2023, 27, 100778. [Google Scholar]
- Dongshan, X. Comparative Analysis of Mineral Elements Content in Main Winter Forages and Feeds in Enshi State. J. Anhui Agric. Sci. 2007, 35, 10307–10308. [Google Scholar]
- Yang, D.; Li, J.; He, L.; Xue, L. Studies on seasonal dynamic of calcium-magnesium in soil-grass-goat in Xiangxi areas. Ecol. Environ. Sci. 2010, 19, 1300–1305. [Google Scholar]
- Wang, J.; Liu, J.; Zhu, R.; You, J.; Han, W.; Zhong, P.; Di, G.; Shen, Z. Comprehensive evaluation of productivity and nutritional value of 7 new varieties (strains) of Leymus chinensis. Heilongjiang Anim. Sci. Vet. Med. 2021, 116–122. [Google Scholar] [CrossRef]
- Peng, A.; Li, X.; Wang, H.; Li, C.; Li, X.; Yan, Y.; Zhang, X. Production performance and relative feed value of eight annual forage crops. Pratacult. Sci. 2019, 36, 510–521. [Google Scholar]





| Location | Longitude | Latitude | Altitude (m) | MAT (°C) | MAP (yr−1) | Frost-Free Period |
|---|---|---|---|---|---|---|
| Linzhi County | 94°44′ E | 29°46′ N | 3300 | 8.5 | 654 | 175 |
| Lhasa City | 91°20′ E | 29°40′ N | 3600 | 7.5 | 425 | 125 |
| Rutog County | 79.70° E | 33.39° N | 4270 | 0.1 | 73.4 | 95 |
| Damxung County | 90°45′ E | 29°31′ N | 4300 | 1.3 | 456.8 | 62 |
| Nagqu City | 92°06′ E | 31°16′ N | 4450 | −2.1 | 406.2 | 0 |
| Parameters | 3300 m | 3600 m | 4270 m | 4300 m | 4450 m |
|---|---|---|---|---|---|
| pH | 7.14 ± 0.17 c | 8.18 ± 0.16 a | 7.42 ± 0.12 bc | 7.66 ± 0.06 b | 7.29 ± 0.13 bc |
| SOC (%) | 2.80 ± 0.32 a | 0.95 ± 0.02 c | 1.13 ± 0.12 c | 1.73 ± 0.13 b | 8.00 ± 0.13 c |
| AP (mg/kg) | 122 ± 4.65 a | 58.10 ± 14.04 b | 30.43 ± 1.49 c | 22.03 ± 2.63 c | 13.53 ± 0.77 c |
| AK (g/kg) | 0.25 ± 0.05 a | 0.05 ± 0.003 b | 0.08 ± 0.01 b | 0.10 ± 0.01 b | 0.11 ± 0.02 b |
| TP (%) | 0.25 ± 0.02 a | 0.10 ± 0.01 b | 0.08 ± 0.003 b | 0.07 ± 0.01 b | 0.03 ± 0.003 c |
| TN (%) | 0.26 ± 0.02 a | 0.11 ± 0.003 c | 0.13 ± 0.01 c | 0.18 ± 0.01 b | 0.10 ± 0.01 c |
| TK (%) | 1.89 ± 0.08 c | 2.24 ± 0.04 a | 1.71 ± 0.05 d | 2.06 ± 0.02 b | 1.96 ± 0.02 bc |
| NH4+-N (mg/kg) | 4.08 ± 1.12 a | 0.38 ± 0.23 b | 5.36 ± 1.03 a | 1.02 ± 0.14 b | 1.09 ± 0.49 b |
| NO3−-N (mg/kg) | 11.89 ± 1.21 b | 20.83 ± 7.03 b | 63.26 ± 1.20 a | 9.26 ± 0.60 b | 9.93 ± 0.72 b |
| MBC (mg/kg) | 986.62 ± 63.19 a | 392.00 ± 34.67 c | 463.76 ± 88.72 c | 746.49 ± 23.81 ab | 560.42 ± 138.82 bc |
| MBN (mg/kg) | 78.26 ± 5.32 a | 37.29 ± 2.89 c | 44.02 ± 9.75 c | 71.82 ± 2.40 ab | 51.96 ± 11.84 bc |
| Zn (mg/kg) | 105.42 ± 2.74 a | 73.78 ± 1.33 b | 77.12 ± 4.28 b | 81.09 ± 7.24 b | 28.49 ± 6.62 c |
| Cu (mg/kg) | 18.61 ± 1.88 b | 19.02 ± 1.99 b | 29.16 ± 1.92 a | 3.80 ± 0.06 d | 13.10 ± 1.85 c |
| Mn (%) | 0.13 ± 0.01 a | 0.07 ± 0.001 c | 0.09 ± 0.01 b | 0.08 ± 0.01 bc | 0.03 ± 0.005 d |
| CaO (%) | 7.19 ± 0.28 b | 4.19 ± 1.04 d | 11.36 ± 0.28 a | 5.94 ± 0.14 bc | 5.53 ± 0.14 cd |
| Index | NH4+-N | NO3−-N | MBC | MBN | TK | Zn | Cu | CaO | TP | TN | SOC | AP | AK | pH |
|---|---|---|---|---|---|---|---|---|---|---|---|---|---|---|
| Fat | −0.117 | 0.284 | −0.597 | −0.496 | −0.258 | −0.873 | 0.013 | 0.184 | −0.887 * | −0.766 | 0.538 | −0.895 * | 0.538 | −0.082 |
| ADF | −0.768 | −0.633 | 0.075 | 0.163 | 0.903 * | 0.205 | −0.683 | −0.782 | 0.008 | 0.085 | −0.318 | 0.06 | −0.318 | 0.684 |
| Ca | −0.785 | −0.322 | −0.461 | −0.431 | 0.938 * | −0.081 | −0.274 | −0.749 | −0.238 | −0.406 | −0.292 | −0.086 | −0.292 | 0.936 * |
| P | −0.1 | 0.198 | −0.4 | −0.522 | 0.463 | 0.338 | 0.46 | −0.214 | 0.256 | −0.167 | −0.586 | 0.413 | −0.586 | 0.695 |
| K | 0.305 | 0.285 | 0.188 | 0.185 | 0.053 | 0.896 * | 0.168 | 0.248 | 0.493 | 0.471 | −0.963 ** | 0.439 | −0.963 ** | 0.335 |
| Mg | −0.55 | −0.192 | −0.449 | −0.528 | 0.789 | −0.007 | 0.087 | −0.635 | 0.014 | −0.35 | −0.255 | 0.21 | −0.255 | 0.799 |
| TDN | 0.864 | 0.291 | 0.592 | 0.508 | −0.887 * | 0.331 | 0.373 | 0.722 | 0.525 | 0.601 | 0.138 | 0.393 | 0.138 | −0.914 * |
| Index | NH4+-N | NO3−-N | MBC | MBN | TK | Zn | Cu | CaO | TP | TN | SOC | AP | AK | pH |
|---|---|---|---|---|---|---|---|---|---|---|---|---|---|---|
| Fat | −0.004 | 0.028 | −0.158 | −0.351 | 0.338 | 0.291 | 0.504 | −0.249 | 0.482 | 0.006 | −0.273 | 0.651 | −0.273 | 0.361 |
| CP | −0.42 | −0.229 | −0.257 | −0.377 | 0.715 | 0.16 | 0.147 | −0.593 | 0.254 | −0.14 | −0.274 | 0.443 | −0.274 | 0.662 |
| Lignin | −0.321 | −0.069 | −0.388 | −0.281 | −0.102 | −0.942 * | −0.263 | −0.08 | −0.824 | −0.646 | 0.763 | −0.827 | 0.763 | −0.171 |
| Sugars | 0.524 | 0.577 | −0.015 | 0.113 | −0.691 | 0.032 | 0.089 | 0.768 | −0.307 | 0.011 | −0.168 | −0.487 | −0.168 | −0.34 |
| Fructan | −0.466 | −0.211 | −0.349 | −0.222 | 0.047 | −0.932 * | −0.417 | −0.227 | −0.832 | −0.622 | 0.753 | −0.831 | 0.753 | −0.087 |
| ADF | 0.193 | −0.389 | 0.696 | 0.72 | −0.456 | −0.148 | −0.372 | 0.112 | 0.167 | 0.467 | 0.673 | 0.042 | 0.673 | −0.884 * |
| aNDF | −0.102 | −0.264 | 0.162 | 0.262 | −0.322 | −0.66 | −0.427 | 0.026 | −0.452 | −0.13 | 0.829 | −0.539 | 0.829 | −0.596 |
| Altitude | Jun | Jul | Aug | Jun–Aug | Jun | Jul | Aug | Jun–Aug | |
|---|---|---|---|---|---|---|---|---|---|
| Ash | −0.429 | 0.394 | 0.338 | 0.278 | 0.347 | 0.303 | 0.774 | 0.986 * | 0.896 * |
| Fat | 0.946 * | −0.762 | −0.842 | −0.795 | −0.804 | 0.109 | −0.035 | −0.432 | −0.202 |
| CP | −0.191 | −0.328 | −0.236 | −0.244 | −0.28 | −0.572 | −0.969 ** | −0.765 | −0.940 * |
| Lignin | −0.092 | −0.47 | −0.211 | −0.156 | −0.306 | −0.852 | 0.066 | −0.022 | −0.237 |
| Sugars | −0.438 | −0.198 | 0.05 | 0.07 | −0.047 | −0.77 | 0.287 | 0.374 | 0.076 |
| Fructan | −0.454 | −0.215 | −0.068 | −0.092 | −0.139 | −0.518 | 0.484 | 0.683 | 0.386 |
| WSC | −0.866 | 0.435 | 0.659 | 0.657 | 0.573 | −0.586 | −0.02 | 0.257 | −0.05 |
| ADF | −0.33 | 0.444 | 0.46 | 0.446 | 0.455 | 0.205 | 0.908 * | 0.943 * | 0.898 * |
| aNDF | 0.761 | −0.23 | −0.206 | −0.107 | −0.187 | 0.094 | 0.195 | −0.344 | −0.071 |
| Ca | −0.249 | −0.059 | −0.057 | −0.101 | −0.073 | 0.003 | 0.775 | 0.916 * | 0.772 |
| P | −0.64 | −0.015 | −0.02 | −0.114 | −0.048 | −0.177 | 0.102 | 0.577 | 0.282 |
| K | −0.542 | 0.776 | 0.633 | 0.554 | 0.677 | 0.563 | 0.133 | 0.464 | 0.455 |
| Mg | −0.493 | −0.193 | −0.128 | −0.188 | −0.176 | −0.336 | 0.412 | 0.729 | 0.434 |
| NFC | −0.153 | 0.923 * | 0.84 | 0.85 | 0.889 * | 0.639 | 0.329 | 0.251 | 0.446 |
| TDN | −0.068 | 0.218 | 0.249 | 0.273 | 0.247 | −0.112 | −0.843 | −0.824 | −0.784 |
| Altitude | Jun | Jul | Aug | Jun–Aug | Jun | Jul | Aug | Jun–Aug | |
|---|---|---|---|---|---|---|---|---|---|
| Ash | 0.614 | 0.191 | 0.151 | 0.232 | 0.196 | 0.441 | 0.458 | −0.04 | 0.289 |
| Fat | −0.775 | −0.101 | 0.012 | −0.059 | −0.058 | −0.577 | −0.173 | 0.318 | −0.076 |
| CP | −0.683 | −0.072 | 0.031 | −0.032 | −0.032 | −0.445 | 0.272 | 0.665 | 0.314 |
| Lignin | 0.887 * | −0.715 | −0.712 | −0.637 | −0.699 | −0.067 | 0.082 | −0.385 | −0.184 |
| Sugars | 0.637 | 0.147 | −0.072 | −0.056 | 0.024 | 0.749 | −0.205 | −0.464 | −0.096 |
| Fructan | 0.855 | −0.642 | −0.629 | −0.551 | −0.618 | −0.042 | 0.241 | −0.244 | −0.042 |
| WSC | 0.357 | 0.37 | 0.142 | 0.13 | 0.236 | 0.785 | −0.263 | −0.362 | −0.056 |
| ADF | 0.236 | 0.106 | 0.232 | 0.324 | 0.211 | −0.22 | −0.32 | −0.637 | −0.516 |
| aNDF | 0.731 | −0.341 | −0.285 | −0.185 | −0.281 | −0.081 | −0.081 | −0.58 | −0.352 |
| Ca | 0.805 | −0.466 | −0.473 | −0.399 | −0.453 | 0.111 | 0.495 | 0 | 0.227 |
| P | −0.903 * | 0.205 | 0.31 | 0.238 | 0.247 | −0.416 | 0.049 | 0.543 | 0.174 |
| K | −0.939 * | 0.68 | 0.765 | 0.713 | 0.723 | −0.127 | 0.224 | 0.62 | 0.366 |
| Mg | −0.734 | 0.234 | 0.327 | 0.275 | 0.276 | −0.259 | 0.504 | 0.842 | 0.551 |
| NFC | 0.327 | 0.349 | 0.2 | 0.215 | 0.27 | 0.549 | −0.473 | −0.614 | −0.336 |
| TDN | −0.812 | 0.436 | 0.401 | 0.305 | 0.391 | 0.026 | −0.118 | 0.409 | 0.17 |
Disclaimer/Publisher’s Note: The statements, opinions and data contained in all publications are solely those of the individual author(s) and contributor(s) and not of MDPI and/or the editor(s). MDPI and/or the editor(s) disclaim responsibility for any injury to people or property resulting from any ideas, methods, instructions or products referred to in the content. |
© 2025 by the authors. Licensee MDPI, Basel, Switzerland. This article is an open access article distributed under the terms and conditions of the Creative Commons Attribution (CC BY) license (https://creativecommons.org/licenses/by/4.0/).
Share and Cite
Jin, P.; Liu, M.; Chen, M.; Zhao, W.; Zhang, X.; Mou, T.; A., W.; Wang, Z.; Xu, X.; Jiang, L. The Effect of Different Altitude Conditions on the Quality Characteristics of Turnips (Brassica rapa). Agronomy 2025, 15, 750. https://doi.org/10.3390/agronomy15030750
Jin P, Liu M, Chen M, Zhao W, Zhang X, Mou T, A. W, Wang Z, Xu X, Jiang L. The Effect of Different Altitude Conditions on the Quality Characteristics of Turnips (Brassica rapa). Agronomy. 2025; 15(3):750. https://doi.org/10.3390/agronomy15030750
Chicago/Turabian StyleJin, Peng, Min Liu, Meirong Chen, Weiwai Zhao, Xuemin Zhang, Tao Mou, Wang A., Zongsong Wang, Xingliang Xu, and Lili Jiang. 2025. "The Effect of Different Altitude Conditions on the Quality Characteristics of Turnips (Brassica rapa)" Agronomy 15, no. 3: 750. https://doi.org/10.3390/agronomy15030750
APA StyleJin, P., Liu, M., Chen, M., Zhao, W., Zhang, X., Mou, T., A., W., Wang, Z., Xu, X., & Jiang, L. (2025). The Effect of Different Altitude Conditions on the Quality Characteristics of Turnips (Brassica rapa). Agronomy, 15(3), 750. https://doi.org/10.3390/agronomy15030750

