Next Article in Journal
Variability of Grassland Soils’ Properties in Comparison to Soils of Other Ecosystems
Previous Article in Journal
The Relationship Between the Germination of Silky Bent Grass (Apera spica-venti (L.) Beauv.) Diaspores and Their Age, Place of Occurrence, and Action of Stimulating Substances
Previous Article in Special Issue
Effects of Nitrogen Fertilizer Management on Cadmium Concentration in Brown Rice
 
 
Font Type:
Arial Georgia Verdana
Font Size:
Aa Aa Aa
Line Spacing:
Column Width:
Background:
Article

Genome-Wide Identification of Heavy Metal ATPase Family in Aegilops tauschii and Functional Verification of AetHMA4 and AetHMA8

1
College of Horticulture and Plant Protection, Henan University of Science and Technology, Luoyang 471023, China
2
Key Laboratory of Tree Breeding of Zhejiang Province, Research Institute of Subtropical Forestry, Chinese Academy of Forestry, Hangzhou 311400, China
*
Authors to whom correspondence should be addressed.
Agronomy 2025, 15(3), 714; https://doi.org/10.3390/agronomy15030714
Submission received: 15 February 2025 / Revised: 6 March 2025 / Accepted: 13 March 2025 / Published: 15 March 2025

Abstract

Aegilops tauschii, a monocotyledonous annual grass, recognized as a pivotal progenitor of modern wheat (Triticum aestivum L.), serves as the D-genome donor in hexaploid wheat. This diploid species (2n = 2x = 14, DD) harbors a substantial reservoir of genetic diversity, particularly in terms of biotic and abiotic stress resistance traits. The extensive allelic variation present in its genome has been increasingly utilized for wheat genetic enhancement, particularly through introgression breeding programs aimed at improving yield potential and stress resilience. Heavy metal ATPases (HMAs), which belong to the P-type ATPase superfamily and are also known as P1B-type ATPases, play a crucial role in transporting heavy metals and maintaining metal ion homeostasis in plant cells. HMAs have been extensively studied in model plants like Arabidopsis thaliana and rice. However, this family has not been reported in A. tauschii. Here, we conducted the genome-wide identification and bioinformatics analysis of the AetHMA gene family in A. tauschii, resulting in the discovery of a total of nine AetHMA members. Among AetHMA genes, six pairs are large-block duplication genes, which mainly occur among the four genes of AetHMA2, AetHMA4, AetHMA8, and AetHMA9. Additionally, there is one pair that consists of tandem duplication genes (AetHMA6: AetHMA7). All AetHMAs can be classified into six groups (I–VI), which are further divided into two branches: the copper subclasses and the zinc subclasses. Initially, A. tauschii was grown in a 1/2 Hoagland nutrient solution and subsequently exposed to four heavy metals: zinc (Zn), copper (Cu), manganese (Mn), and cadmium (Cd). Following this treatment, the expression profiles of nine AetHMA genes were assessed. The results indicated that, under zinc and manganese stress, the HMA family members exhibited enhanced expression in the leaves, whereas the expression of most members in the roots was downregulated. In the roots, except for AetHMA2, AetHMA5, and AetHMA8, the expression levels of other members were upregulated in response to Cd exposure. Furthermore, AetHMA4 diminishes the tolerance of yeast to Mn by increasing the absorption of Mn, while AetHMA8 increases the tolerance of yeast to Cd by reducing the absorption of Cd. This study provides experimental data regarding the function of the AetHMA gene in the transport, regulation, and detoxification of heavy metal elements in A. tauschii.

1. Introduction

The advancement of the global economy is causing rapid changes in urban functional areas like industrial and residential zones, resulting in significant pollution, especially from heavy metals [1], which has resulted in the heavy metal contamination of approximately 20% of China’s arable land [CCICED, 2015 and FAO, 2018] [2,3]. This heavy metal pollution has become a critical global environmental concern. Certain metal ions, such as zinc (Zn), copper (Cu), manganese (Mn), and molybdenum (Mo), are essential trace elements for plant growth and are involved in the synthesis of ATP, DNA, RNA, and other vital processes [4]. Moreover, these elements are involved in cellular redox reactions, which are vital for plant physiological functions. Certain heavy metal ions, including cadmium (Cd), lead (Pb), and mercury (Hg), are non-essential and toxic to plants [5]. Excessively high cadmium concentrations in soil can severely hinder plant growth, leading to diminished root development and bud chlorosis [6]. Additionally, it induces oxidative stress in plant cells and modulates the activity of various antioxidant enzymes, including peroxidase (POD) and catalase (CAT) [7,8]. While a deficiency in essential trace elements can impede plant growth, excessive metal accumulation can be detrimental to plant development [9]. Zinc is an essential micronutrient for all organisms, playing a key role in the synthesis of more than 300 enzymes [10]. In plants, it is integral to critical processes including antioxidant defense, respiration, and auxin synthesis, thereby significantly contributing to growth and development [11,12]. However, excessive zinc levels can lead to toxicity, disrupting nutrient absorption and redistribution, as well as adversely affecting metabolic processes such as photosynthesis, transpiration, and protein synthesis [13]. Excessive manganese accumulation results in the appearance of brown spots or necrosis on plant leaves, while simultaneously inhibiting root growth. This phenomenon is particularly pronounced in acidic soils, where the manganese concentration in plants is more likely to exceed the critical toxic threshold [14,15]. Cu, although vital for plant growth and development, becomes detrimental at elevated concentrations. Toxic levels of Cu can impair normal metabolic functions and disrupt various physiological and biochemical processes in plants [16]. Specifically, excessive Cu can hinder root and stem growth and diminish pigment levels in leaves and other tissues, thereby adversely affecting overall plant growth, nutrient uptake, and photosynthetic efficiency [17]. Therefore, plant cells contain numerous transmembrane transporters that participate in maintaining ionic balance inside and outside the cells to uphold ionic homeostasis within the cells [18].
P-type ATPase constitutes a superfamily of transporters that facilitate the translocation of metal cations across membranes by hydrolyzing ATP. Heavy metal transport ATPase (HMA), a member of the P-type ATPase superfamily and known as P1B-type ATPase or CPx-ATPase [19], selectively absorbs and transports essential metal ions, including certain heavy metals. The transport of metal cations like Cu2+, Ag+, Zn2+, and Cd2+ across membranes is facilitated by energy from plant ATP hydrolysis [20]. Experimental studies have shown that the HMA gene family contains conserved motifs common to P-type ATPases, such as DKTGT, GDGxNDxP, PxxK, and S/TGE [21]. It contains six to eight transmembrane fragments (TMs), an HP locus, a CPx/SPC motif essential for metal transport [22], and a proposed transition metal binding domain at the N- and/or C-terminus [23]. HMAs are found in both prokaryotes and eukaryotes. Sequence alignment reveals two main groups of these ATPases: the Cu subclass responsible for Cu and Ag transport, and the Zn subclass involved in transporting Zn, Co, Cd, and Pb [23,24,25,26]. Previous studies have identified eight heavy metal ATPase genes (HMA1–8) in Arabidopsis thaliana [12,13]. Following this, HMA genes were similarly identified and cloned in other plants, with 9 genes in rice, 11 genes in maize [26], 21 genes in peanut [5], and 21 genes in flax [27]. The HMA genes have been demonstrated to fulfill specific functions across numerous species. In A. thaliana, both AtHMA1 and AtHMA6 (PAA1) are situated within the chloroplast membrane [28]. AtHMA1 is essential for transporting Cu ions into the chloroplast stroma, while AtHMA6 acts as a functional homolog of the cyanobacterial protein CtaA, primarily involved in Cu acquisition [29]. AtHMA6 facilitates Cu transport to essential sites, differing from mechanisms that prevent Cu toxicity through sequestration or the removal of excess Cu [30]. AtHMA2 and AtHMA4 are localized at the plasma membrane and involved in xylem zinc loading/unloading, increasing cadmium sensitivity and affecting cadmium detoxification in Arabidopsis [20,31]. The tonoplast transporter HMA3 (P1B-type heavy metal ATPase 3) is essential for metal transport and homeostasis in plants [23,32]. AtHMA3 aids in heavy metal detoxification through vacuolar sequestration [33]. AtHMA5 is essential for Cu translocation from roots to shoots and is vital for root Cu tolerance [34,35]. AtHMA7 (RAN1) is associated with Cu transport [36]. AtHMA8 (PAA2), situated on the thylakoid membrane, facilitates Cu transport across thylakoids [37].
Aegilops tauschii Coss. (2n = 2x = 14, DD) is an annual herb in the Poaceae family. Due to its drought tolerance and strong adaptability, it is categorized as a highly invasive non-native weed, causing significant damage in widespread areas of wheat cultivation and presenting a considerable challenge for wheat breeding [38]. A. tauschii is considered the progenitor of the DD genome in wheat. Its DD genome is genetically rich, and breeding programs can enhance wheat’s tolerance to drought, salt, and high temperatures [39]. Outstanding genetic resources and germplasm can offer a novel research avenue for developing new wheat varieties. Studying A. tauschii’s stress response to heavy metals can lay the groundwork for future wheat breeding efforts. Therefore, a bioinformatics analysis of the A. tauschii HMA gene family was conducted using whole-genome data. Next, we subjected A. tauschii to stress using four heavy metal ions (Cu, Zn, Mn, and Cd) and analyzed the expression data of the HMA gene family in A. tauschii using quantitative real-time PCR (qRT-PCR) technology. The AetHMA4 and AetHMA8 genes were further selected and subsequently transferred into yeast cells for heterologous expression. This study aims to establish a theoretical basis for further research on the role of HMA genes in the heavy metal resistance of A. tauschii.

2. Materials and Methods

2.1. Identification and Physicochemical Characterization of the HMA Gene in A. tauschii

Genome-wide data for A. tauschii (v4.0) was downloaded from the Ensembl Plants (https://plants.ensembl.org/index.html, accessed on 28 March 2024) database. A. thaliana HMA member gene sequences and protein coding sequences [27] were obtained from the Arabidopsis Information Resource (TAIR) (https://www.arabidopsis.org, accessed on 28 March 2024). HMA member gene sequences and protein coding sequences were retrieved from Oryza sativa (v7.0), Brachypodium distachyon (version 3.1), Populus trichocarpa (version 3.1), Zea mays (Zm-B73-REFERENCE-NAM-5.0.55), Triticum aestivum (v2.2), and Linum usitatissimum (version 1.0) in the phytozome V13 database (https://phytozome-next.jgi.doe.gov, accessed on 28 March 2024).
HMA gene sequences from Arabidopsis were used for BLAST (NCBI blast, v2.7.11) alignment in the A. tauschii genome database to identify HMA gene family members in A. tauschii. Subsequently, these sequences were uploaded to the NCBI Conserved Domain Database (https://www.ncbi.nlm.nih.gov/cdd/, accessed on 10 April 2024) for further screening of candidate HMA gene sequences. Upon excluding sequences lacking the conserved domains of HMA (E1–E2 ATPase, PF00122; hydrolase, PF00702), nine members of the AetHMAs family were identified.
The physical properties of the nine AetHMA gene family proteins were evaluated using the ProtParam online tool of the Expasy (https://web.expasy.org/protparam/, accessed on 12 April 2024), analyzing parameters like protein length, molecular weight, isoelectric point, instability index, aliphatic index, and grand average of hydropathicity. The Cell-Ploc 2.0 online tool (http://www.csbio.sjtu.edu.cn/bioinf/Cell-PLoc-2/, accessed on 12 April 2024) was used to predict the subcellular localization of the nine A. tauschii HMA genes.

2.2. Phylogenetic Tree Construction of HMAs

Protein sequences of HMA gene families from A. tauschii, A. thaliana, O. sativa, B. distachyon, P. trichocarpa, Z. mays, T. aestivum, and L. usitatissimum were aligned using MEGA 6 software, and a Maximum Likelihood phylogenetic tree was constructed with 1000 bootstrap replicates. The Arabidopsis HMA gene family was categorized into distinct branches, and the phylogenetic tree was refined using the iTOL (Version 7) online tool (https://itol.embl.de/, accessed on 14 March 2025).

2.3. Chromosomal Mapping of the HMA Gene in A. tauschii

The chromosome density file was obtained through screening using the genome and gene annotation files of A. tauschii, providing specific physical information about its HMA gene. The Gene Location Visualize function in Tbtools (Version 2.154) [40] using GTF/GFF files was employed to demonstrate the specific location of the AetHMA genes on the chromosome.

2.4. The Collinearity of the A. tauschii HMA Genes with Other Species

The genome and annotation files of A. tauschii were processed using Tbtools (Version 2.154), and the resulting data were visualized to conduct a collinearity analysis among its own genomes. To understand the evolutionary relationship of HMA genes among different plants, the genome and gene annotation files of Z. mays, B. distachyon, and T. aestivum were obtained from the phytozome V13 database (https://phytozome-next.jgi.doe.gov, accessed on 15 April 2024), and TBtools software was used to analyze collinearity among HMA gene family members in Z. mays, B. distachyon, and T. aestivum.

2.5. Identification of Cis-Regulatory Elements in the HMA Genes of A. tauschii

The 2000 bp upstream sequences of the translation initiation site of AetHMA genes were analyzed for cis-acting elements using PlantCARE (https://bioinformatics.psb.ugent.be/webtools/plantcare/html/, accessed on 15 April 2024). The prediction results were visually displayed using the Tbtools software (Version 2.154).

2.6. AetHMAs Gene Domain Analysis

The conserved motifs of the AetHMA gene protein sequence were analyzed using the online tool MEME (Multiple EM for Motif Elicitation, Version 5.5.7, https://meme-suite.org/meme/tools/meme, accessed on 15 April 2024), configured to identify 10 motifs with default settings for other parameters. The gene structures and conserved motif maps were visualized utilizing the “Visualize Gene Structure” function of Tbtools (Version 2.154).

2.7. Plant Materials and Growth Conditions

The seeds of A. tauschii were preserved in our laboratory, and the analytical-grade chemical reagents used for heavy metal stress treatment included CdCl2, CuCl2, MnCl2, and ZnCl2. All chemical reagents utilized are of domestic analytical grade (Tianjin Kaitong Chemical Reagent Co., Ltd., Tianjin, China).
A. tauschii seeds were surface-sterilized using 75% alcohol and subsequently sown in a substrate comprising nutrient soil and perlite in a 3:1 ratio for germination. Three days post germination, uniformly sized seedlings were relocated to a growth chamber maintained at 26 degrees Celsius under a photoperiod of 14 h light and 10 h darkness, and were hydroponically cultivated using a 1/2 concentration of Hoagland nutrient solution. Single additions of 100 μmol/L CdCl2, 100 μmol/L CuCl2, 100 μmol/L MnCl2, and 100 μmol/L ZnCl2 were made to the nutrient solution. Seedlings aged 45 days were subjected to these treatments for a duration of four days, with untreated plants serving as controls. Samples were collected at six time intervals: 0 h, 6 h, 12 h, 24 h, 48 h, and 96 h, comprising five seedlings per time point. The samples were rapidly frozen in liquid nitrogen and subsequently stored at −80 °C for further analysis.
The total RNA from A. tauschii leaves and roots was extracted utilizing the total RNA plant extraction kit (TRNpure Fast Plant Total RNA Kit, NOBELAB, Beijing, China). Reverse transcription was performed using the M5 Super plus qPCR RT kit with gDNA remover (Mei5bio, Beijing, China) to synthesize first-strand cDNA from the total RNA. The reverse transcription products were used for qRT-PCR with fluorescence detection. The qRT-PCR experiment employed the SYBR fluorescent dye method.

2.8. qRT-PCR and Data Analysis

EF1-alpha served as the internal reference gene [41], with primers for qRT-PCR designed via Primer3 (Version 4.1.0, https://primer3.ut.ee/, accessed on 17 April 2024) based on cDNA and CDS sequences (Table S1). Fluorescence quantitative PCR (CFX96 Touch Real-Time PCR Detection System, Bio-Rad, California, USA) data were analyzed using the 2−ΔΔCt method [42], with each sample tested in triplicate to ensure accuracy. Column charts illustrating gene expression levels were constructed using GraphPad Prism 9.

2.9. The Heterologous Expression of AetHMA4 and AetHMA8 in Yeast

To construct the pYES2-AetHMA4 and pYES2-AetHMA8 yeast expression vector, AetHMA4 and AetHMA8 were amplified using specific primers (Table S1) containing the pYES2 homology arm (underlined). The PCR product was purified and ligated into the pYES2 vector. Sequencing of positive colonies confirmed the construction of the pYES2-AetHMA4 and pYES2-AetHMA8 vector. The plasmids pYES2-AetHMA4 and pYES2-AetHMA8, along with pYES2 empty vector, were transferred into INVSc1 yeast cells.
Yeasts with recombinant and empty vectors were pre-cultured in SC-Ura liquid medium with galactose for 24 h. The OD600 values were equalized, diluted tenfold with sterile water, and spotted on SC-Ura solid medium with varying metal ion concentrations to assess yeast growth.
Transgenic yeast and yeast harboring an empty vector were cultured in SC-Ura (containing galactose) liquid medium. The SC-Ura (containing galactose) liquid medium was supplemented with 200 µmol/L MnCl2 or 100 µmol/L CdCl2. The treatment duration was four days, and three biological replicates were performed. Subsequently, the samples underwent centrifugation and were thoroughly washed with deionized water. All samples were dried at 65 °C until they achieved a constant weight. Subsequently, the samples were then digested with a mixture of 65% HNO3 and 30% H2O2 (6:1, v/v). The heavy metal concentration was quantified using inductively coupled plasma mass spectrometry (ICP-OES, iCAP-7400, ThermoFisher, Waltham, MA, USA) [43].

3. Results

3.1. Identification and Physicochemical Properties of the AetHMA Gene Family

Using the A. thaliana HMA (AtHMA1-8) protein sequence as a reference, nine HMA genes (AetHMA1-AetHMA9) were identified in A. tauschii’s genome. These proteins exhibit protein lengths from 498 (AetHMA5) to 1051 (AetHMA6) amino acids, molecular weights from 52,501.78 Da (AetHMA5) to 114,152.8 Da (AetHMA6), and theoretical pIs ranging from 5.4 (AetHMA4) to 7.51 (AetHMA8), with most having a pI below seven. Of the nine HMA members, AetHMA2 and AetHMA6 have instability coefficients exceeding 40, classifying them as unstable proteins. In contrast, the remaining seven members have coefficients below 40, indicating they are stable proteins with high in vitro stability. The aliphatic coefficients range from 85.56 (AetHMA6) to 103.83 (AetHMA1). The average hydrophilicity ranges from −0.193 (AetHMA6) to 0.312 (AetHMA3). Only the average hydrophilicity of AetHMA6 is negative, indicating that it is a hydrophilic protein, while the other eight AetHMA members are all hydrophobic proteins (Table 1). Subcellular localization predictions reveal that AetHMA8 is situated in the chloroplast, whereas the other AetHMA proteins are found in the cell membrane. AetHMA6 is localized to both the cell membrane and the nucleus.

3.2. Phylogenetic Analysis of Proteins of the HMA Family Genes in A. tauschii

A phylogenetic analysis was performed using the MEGA 6.0 software on the HMA family reported in A. thaliana, P. trichocarpa, B. distachyon, L. usitatissimum, O. sativa, Z. mays, and T. aestivum as well as the HMA family identified from A. tauschii (Figure 1).
Based on their phylogenetic relationships [44,45], the HMA family members are divided into six subfamilies. Subfamilies I, V, and VI are the smallest, comprising only 11 members of the species used in constructing the phylogenetic tree. Notably, both subfamilies I and V include one HMA member from A. tauschii. In contrast, subfamilies II, III, and IV are more extensive, containing 21, 22, and 20 members, respectively. Subfamily II features three HMA members from A. tauschii, whereas subfamilies III and IV each include two HMA members from A. tauschii.

3.3. Analysis of Chromosomal Locations of HMA Genes in A. tauschii

The analysis of chromosomal locations revealed an uneven distribution of the nine AetHMA members across the seven chromosomes of A. tauschii (Figure 2). The nine members were primarily localized on four chromosomes (Chr2, Chr5, Chr6, Chr7). Of these, Chromosome 7 harbored the highest number of HMA gene family members, totaling five. Chromosome 6 contained two members, while both Chromosome 2 and Chromosome 5 each contained one member.

3.4. Analysis of Collinearity in the HMA Gene Family of A. tauschii

To investigate the evolution of the heavy metal ATPase gene family in A. tauschii, we analyzed collinearities within A. tauschii and between A. tauschii and Z. mays, B. distachyon, and T. aestivum. This analysis aimed to identify gene duplication events, including tandem and segmental duplications, in each species. The collinearity analysis within A. tauschii revealed (Figure 3A) that there were six pairs of large segmental duplication genes (AetHMA2: AetHMA4; AetHMA2: AetHMA8; AetHMA2: AetHMA9; AetHMA4: AetHMA8; AetHMA4: AetHMA9; AetHMA8: AetHMA9) and one pair of tandem duplication genes (AetHMA6: AetHMA7). The analysis suggests that large segmental duplication genes play a more significant role in driving the evolution of this family compared to tandem duplication genes.
The collinearity analysis among species revealed (Figure 3) a total of 28,069 whole-genome collinear blocks between A. tauschii and Z. mays, which included three pairs of HMA collinear genes (0.01%) (Figure 3B); a total of 29,239 whole-genome collinear blocks between A. tauschii and B. distachyon, which included four pairs of HMA collinear genes (0.013%) (Figure 3C); and a total of 94,429 whole-genome collinear blocks between A. tauschii and T. aestivum, which included 14 pairs of HMA collinear genes (0.014%) (Figure 3D). The findings indicated a significantly higher collinearity rate between A. tauschii and wheat compared to B. distachyon and Z. mays.

3.5. Analysis of Cis-Acting Elements in the AetHMA Gene Family of A. tauschii

Cis-acting elements can reflect gene transcriptional regulation to a certain extent. The 2000 bp upstream sequences of each A. tauschii member were extracted and analyzed using the PlantCARE website, with visualization performed via TBtools (Figure 4). The findings indicated that the HMA family in A. tauschii possesses several promoters.
The upstream promoter regions of its members include cis-acting elements associated with five hormone types: abscisic acid (37), gibberellin (5), auxin (9), MeJA (46), and salicylic acid (1) responsiveness elements. Induction involves elements responsive to low temperatures (11), anaerobic conditions (20), defense and stress (4), and drought (11).
Plant growth and development involve various regulatory elements, including those responsive to light (105), specific to endosperm expression (2), inducible under anoxic conditions (9), involved in cell cycle regulation (1), related to meristem expression (11), and specific to roots (1). The HMA family of A. tauschii likely plays a crucial role in environmental stress management, hormone regulation, and plant growth and development.

3.6. Analysis of HMA Gene Family Structure in A. tauschii

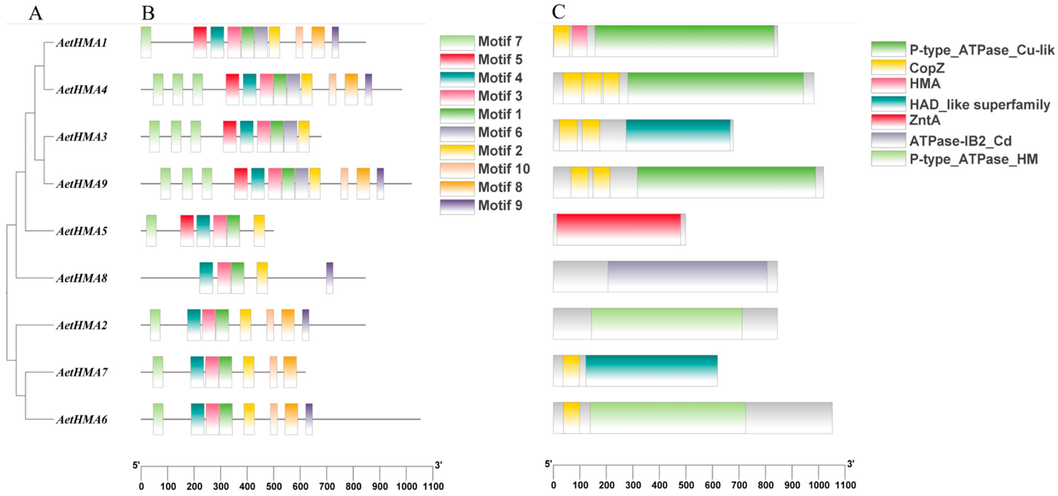
The gene structure of the HMA gene family in A. tauschii was examined through the analysis of conserved motifs. Utilizing the optimal phylogenetic model of the HMA gene family from A. thaliana, a phylogenetic tree for AetHMA was constructed. As illustrated in Figure 5A, the nine members of the HMA gene family in A. tauschii were categorized into two distinct branches. Specifically, AetHMA1, AetHMA4, AetHMA3, AetHMA9, AetHMA5, and AetHMA8 comprise one branch, whereas AetHMA2, AetHMA7, and AetHMA6 constitute the other branch.
Through the structural analysis of the nine HMA genes in A. tauschii, a total of 10 motifs were identified. According to the MEME prediction results, it can be found that the longest motifs include Motif 3, Motif 4, Motif 5, and Motif 6, each comprising 50 amino acids, while the shortest motif is Motif 9, which consists of 26 amino acids (Table S2). As illustrated in Figure 5B, members within the same branch display similar motif compositions. AetHMA2, AetHMA7, and AetHMA6 share Motif 1, Motif 2, Motif 3, Motif 4, Motif 7, Motif 8, and Motif 10, demonstrating significant conservation among these family members. The conserved domains of HMA family members in A. tauschii were also depicted in Figure 5C. The analysis of the domains indicates that AetHMA5 and AetHMA8 are likely associated with the transport of Zn2+ and Cd2+.

3.7. Expression Analysis of the HMA Gene Family in A. tauschii Under Different Heavy Metal Stresses

To evaluate the responses of the AetHMA gene family to heavy metal stress at various time intervals (0 h, 6 h, 12 h, 24 h, 48 h, 96 h), root and leaf samples were collected under treatment with four types of heavy metal ions (100 μmol/L). A quantitative analysis was conducted on nine members of the AetHMA family.
As the expression level of AetHMA7 was very low in all samples, it was not analyzed. The results of the qRT-PCR analysis indicated that, in the roots, all members of the AetHMA gene family responded to Cd stress, with the exception of AetHMA2, AetHMA5, and AetHMA8 (Figure 6). Conversely, in the leaves, the expression levels of AetHMA4, AetHMA6, and AetHMA8 were elevated, suggesting that the HMA family of A. tauschii is more actively involved in Cd regulation in the roots.
Under Zn stress, the AetHMA members exhibited greater activity in the leaves, with all members demonstrating relatively high expression levels after both 48 and 96 h. In contrast, in the roots, only AetHMA8 and AetHMA9 exhibited positive regulatory effects on Zn stress, while the expression levels of the other members were suppressed.
During Mn treatment, only AetHMA2 responded to Mn stress in the roots, exhibiting positive regulation, while the expression levels of the other members were suppressed. In the leaves, with the exception of AetHMA2 and AetHMA3, whose gene expression levels were comparable to those of the control group, the expression levels of the remaining members were significantly elevated.
During Cu treatment, the expression levels of AetHMA members in the roots were entirely inhibited. In contrast, in the leaves, only AetHMA6 and AetHMA9 exhibited gradually increasing expression levels over time under Cu induction, indicating that these two members may be involved in processes such as Cu transport, regulation, and detoxification within the cells of A. tauschii.

3.8. Heterologous Expression of AetHMA8 in Yeast to Enhance Tolerance to Metal Ions

The results revealed that, under Mn stress (200 μmol/L), the growth of the yeast strain carrying pYES2-AetHMA4 was inferior to the empty vector, whereas the growth of the yeast with pYES2-AetHMA8 was similar to the empty vector. Under Cd stress (100 μmol/L), the yeast strain with pYES2-AetHMA8 exhibited enhanced growth ability compared to the empty vector. This suggests that AetHMA4 is negatively regulated in yeast cells for Mn, while AetHMA8 boosts the resistance of yeast cells to Cd (Figure 7A).
To investigate the transport capabilities of the AetHMA4 and AetHMA8 genes for different metals in transgenic yeast, the concentrations of Mn (Figure 7B) and Cd (Figure 7C) in yeast were measured before and after stress, respectively. Under heavy metal stress, yeast transformed with the pYES2-AetHMA4 recombinant vector exhibited elevated manganese concentrations compared to those carrying the pYES2 vector. In contrast, yeast transformed with the pYES-AetHMA8 recombinant vector exhibited a reduction in cadmium concentration compared to those carrying the pYES2 vector. These results further demonstrate that AetHMA4 diminishes the tolerance of yeast to Mn by increasing the absorption of Mn, while AetHMA8 increases the tolerance of yeast to Cd by reducing the absorption of Cd.

4. Discussion

4.1. Analysis of the HMA Gene Family Members in A. tauschii

In this study, we conducted an in-depth analysis of the whole-genome data of common A. tauschii. We identified 9 HMA genes in common A. tauschii, aligning with previous findings in diploid plants such as Arabidopsis (8 genes) [27], rice (9 genes) [28], and flax (12 genes) [29]. In contrast, tetraploid plants like peanut (21 genes) [5], soybean (20 genes) [45], and rapeseed (31 genes) [46] exhibit a significantly higher number of HMA genes, indicating that polyploidy may contribute to the expansion of the HMA gene family. Polyploid organisms undergo extensive duplications throughout genetic evolution, and gene duplication is considered the primary driving force behind the evolution of both the genome and genetic system, serving as a crucial source for the expansion of this gene family [45].
Axelsen and Palmgren [14] categorized the HMA gene family proteins into two subclasses based on their heavy metal ion transport specificity: the Cu subclass, which transports ions such as Cu and Ag, and the Zn subclass, which transports ions like Zn, Co, Cd, and Pb. Members of the Cu subclass contain three domains: E1-E2 ATPase (PF00122), heavy metal-associated domain (PF00403), and haloacid dehalogenase-like hydrolase (PF00702) [47]. The Zn subclass contains either both E1-E2 ATPase and haloacid dehalogenase-like hydrolase domains or solely the E1-E2 ATPase domain.
Through multiple sequence alignment analysis, it was found that the HMA genes of A. tauschii harbor specific conserved motifs such as DKTGT, TGE, CPC, and GDG, which are characteristic of P1B-ATPases (Table S2). These conserved motifs are crucial for mediating the metal transport of the HMA proteins in A. tauschii.

4.2. The AetHMA Gene Family Influences the Heavy Metal Tolerance of A. tauschii

The results of the qRT-PCR analysis indicated that the expression levels of all members in the leaves were upregulated 2 to 3 days post treatment. In contrast, the roots demonstrate that only AetHMA8 and AetHMA9 respond to zinc induction, suggesting that these two genes play a primary role in zinc accumulation, regulation, and transport in A. tauschii. Dawar et al. [8] have already demonstrated the critical roles of AtHMA2 and AtHMA4 in regulating zinc ion homeostasis in A. thaliana. AetHMA3, AetHMA4, AetHMA9, and OsHMA9 are situated on the same branch of the phylogenetic tree. OsHMA9 is a metal efflux transporter that preserves the ionic homeostasis of Zn2+ in rice plants by extruding excess Zn2+ from the cytoplasm [48]. Moreover, AtHMA1 alleviates the toxicity induced by zinc ions through decreasing their accumulation within chloroplasts [49]. AtHMA1 and AetHMA8 share homology, and the subcellular localization prediction points to AetHMA8 being situated in chloroplasts, implying its potential role in zinc regulation akin to AtHMA1. AetHMA5 and AtHMA6 are homologous genes, with AtHMA6 demonstrating a significant sequence similarity to both AtHMA5 and AtHMA8. Nonetheless, the exact functionality of AtHMA6 remains to be clarified. Therefore, more research is needed to determine the specific regulatory role of AetHMA5 in relation to zinc [20,24].
Manganese is an essential trace element important for plant growth and development, significantly contributing to multiple processes. Nevertheless, excessive levels of these essential trace metal elements can induce toxicity in plants, leading to decreased yields and agricultural losses [50]. Manganese treatment significantly upregulated the majority of AetHMA genes, suggesting their active role in manganese regulation and transport. Despite extensive research on manganese regulation by the MTP and NRAMP gene families, the specific mechanisms of their involvement in Mn regulation and transport remain unclear. For instance, MTP8 has the ability to chelate Mn within the vacuole, thus facilitating Mn detoxification [51]. AtNRAMP1 enhances the affinity for Mn in A. thaliana. Under conditions of low Mn availability, the growth rate of A. thaliana diminishes, and the accumulation of Mn decreases. This is crucial for Mn uptake in A. thaliana [52], providing important insights for future studies on Mn transport and regulation by the HMA gene family. Upon introducing AetHMA4 into yeast, it was found that the growth conditions resembled the expression level in roots, yet differed from leaf expression levels. In the research by Beard et al., it was demonstrated that Mn serves as a crucial cofactor in plant photosynthesis [15]. However, further research is needed to determine whether this relationship is specifically related to photosynthesis. Simultaneously, the concentration of accumulated manganese was assessed. The results revealed that AetHMA4 diminished the tolerance of yeast to Mn by increasing the absorption of Mn, further validating that AetHMA4 exerts a negative regulatory effect on manganese. However, the specific mechanism by which it enhances the absorption of manganese in yeast necessitates further investigation.
The expression levels of the HMA genes in A. tauschii exhibited significant differences in response to Cd treatment. The results indicated that only AetHMA4, AetHMA6, and AetHMA8 responded to Cd in both roots and leaves. The expression levels of other members of the A. tauschii HMA gene family were markedly low in the leaves, whereas some members were expressed in the roots, suggesting that these three HMA genes represent the primary participants in processes such as cadmium regulation, transport, and detoxification. AtHMA3 [33] and OsHMA3 [53] have been confirmed to participate in Cd detoxification through vacuolar sequestration. AetHMA6, a homolog of AtHMA3 and OsHMA3, implies that it might also play a role in Cd detoxification by maintaining ionic balance in cells through vacuolar sequestration. Nevertheless, additional studies are necessary to elucidate the precise mechanism by which AetHMA6 contributes to Cd detoxification. AetHMA4 is a homolog of OsHMA4 and OsHMA5. Previous experimental studies indicate that OsHMA4 through OsHMA9 are classified as Cu/silver transporters [31]. However, AetHMA4 has also shown a response to Cd, necessitating further investigation to ascertain the specific mechanisms involved. The studies also indicated that the HMA gene family typically demonstrates two types of substrate specificity: Cu2+/Ag+ and Zn2+/Co2+/Cd2+/Pb2+. AetHMA8, as a homologous gene of AtHMA1 and OsHMA1, suggests that it could also belong to the Zn subclass, playing a direct role in the regulation and Cd detoxification in A. tauschii, and contributing to the maintenance of ionic homeostasis among cells. AetHMA8 was introduced into yeast for heterologous expression, and the heavy metal content was subsequently measured. The results indicated that AetHMA8 enhanced the tolerance of yeast to Cd, further corroborating that AetHMA8 plays a regulatory role in Cd.
Under Cu stress, only the expression of AetHMA9 was upregulated in the leaves. For the remaining AetHMA members, the differences in their expression levels in both roots and leaves, when compared to those of the control group (0 h), were relatively minor. Among these, AetHMA1 exhibited minimal expression, suggesting that, in A. tauschii, only the AetHMA9 gene is implicated in the regulation, transport, or detoxification of Cu in the leaves. AtHMA5 and AetHMA9 are homologous genes with similar genetic sequences. AtHMA5 exhibits all the essential structural features of a P-type ATPase required for Cu transport. By interacting with Cu metallochaperones (ATX1-like copper), it confers A. thaliana with a detoxification mechanism against Cu [35]. The role of OsHMA4 is to sequester Cu into the vacuoles of peripheral cells. This mechanism controls Cu transport from roots to shoots, preventing excess Cu accumulation in rice grains [54]. AetHMA9 and OsHMA4 are clustered on the same branch in the phylogenetic tree, suggesting a potential involvement of AetHMA9 in Cu accumulation processes. However, additional research is required to elucidate the specific role of AetHMA9 in Cu accumulation and detoxification processes in A. tauschii.

5. Conclusions

A total of nine members of the AetHMA gene family were identified in the A. tauschii genome, which were categorized into six subgroups based on previous studies. The expression levels of the same members exhibited distinct characteristics in the roots and leaves, suggesting that some of these members are involved in the transport of metal ions in specific tissues, thereby contributing to the maintenance of ionic homeostasis within the cells. AetHMA4 diminishes the tolerance of yeast to Mn by increasing the absorption of Mn, while AetHMA8 increases the tolerance of yeast to Cd by reducing the absorption of Cd. The results provide a foundation for a more comprehensive understanding of the functional characterization of the HMA gene family in A. tauschii. Furthermore, as a closely related species to wheat and possessing abundant genetic resources from the DD genome, A. tauschii offers valuable insights for the future breeding of wheat varieties.

Supplementary Materials

The following supporting information can be downloaded at: https://www.mdpi.com/article/10.3390/agronomy15030714/s1, Table S1: The primers used for AetHMAs qRT-PCR and for constructing yeast vectors with AetHMA4 and AetHMA8; Table S2: Analysis of the 10 conserved motifs of AetHMA proteins in A. tauschii.

Author Contributions

Conceptualization, H.L. and X.H.; methodology, X.L. and Z.H.; software, X.Z., Y.L. and Y.D.; validation, H.L. and X.H.; formal analysis, X.L. and X.Z.; investigation, X.L., Y.L. and Y.D.; resources, N.W. and X.L.; data curation, X.L. and X.Z.; writing—original draft preparation, X.L. and H.L.; writing—review and editing, X.H.; visualization, Z.H. and Y.D.; supervision, H.L.; project administration, X.H.; funding acquisition, N.W. and X.H. All authors have read and agreed to the published version of the manuscript.

Funding

This work was supported by the Public Welfare Industry Special Research Projects of Luoyang (No. 2202022A) and the National Natural Science Foundation of China (No. 31872168).

Data Availability Statement

Data is contained within the article and Supplementary Material.

Conflicts of Interest

The authors declare no conflicts of interest.

References

  1. Wang, F.; Dong, W.; Zhao, Z.; Wang, H.; Li, W.; Chen, G.; Wang, F.; Zhao, Y.; Huang, J.; Zhou, T. Heavy Metal Pollution in Urban River Sediment of Different Urban Functional Areas and Its Influence on Microbial Community Structure. Sci. Total Environ. 2021, 778, 146383. [Google Scholar] [CrossRef] [PubMed]
  2. CCICED. Special Policy Study on Soil Pollution Management. China Council for International Cooperation on Environment and Development. 2015, p. 1. Available online: https://cciced.eco/wp-content/uploads/2020/06/Soil-Pollution-Management-Special-Study-Report-2015.pdf (accessed on 12 March 2025).
  3. FAO. Soil Pollution a Hidden Reality. 2018, p. 1. Available online: https://openknowledge.fao.org/server/api/core/bitstreams/3f7e6959-db0b-44d3-971e-109bcfe78195/content (accessed on 12 March 2025).
  4. Jogawat, A.; Yadav, B.; Chhaya; Narayan, O.P. Metal Transporters in Organelles and Their Roles in Heavy Metal Transportation and Sequestration Mechanisms in Plants. Physiol. Plant. 2021, 173, 259–275. [Google Scholar] [CrossRef]
  5. Li, J.; Zhang, Z.; Shi, G. Genome-Wide Identification and Expression Profiling of Heavy Metal ATPase (HMA) Genes in Peanut: Potential Roles in Heavy Metal Transport. Int. J. Mol. Sci. 2024, 25, 613. [Google Scholar] [CrossRef] [PubMed]
  6. Shukla, U.C.; Singh, J.; Joshi, P.C.; Kakkar, P. Effect of Bioaccumulation of Cadmium on Biomass Productivity, Essential Trace Elements, Chlorophyll Biosynthesis, and Macromolecules of Wheat Seedlings. Biol. Trace Elem. Res. 2003, 92, 257–273. [Google Scholar] [CrossRef] [PubMed]
  7. Sandalio, L.M.; Dalurzo, H.C.; Gómez, M.; Romero-Puertas, M.C.; del Río, L.A. Cadmium-induced Changes in the Growth and Oxidative Metabolism of Pea Plants. J. Exp. Bot. 2001, 52, 2115–2126. [Google Scholar] [CrossRef]
  8. Qin, P.; Wang, L.; Liu, K.; Mao, S.; Li, Z.; Gao, S.; Shi, H.; Liu, Y. Genomewide Association Study of Aegilops tauschii Traits under Seedling-Stage Cadmium Stress. Crop J. 2015, 3, 405–415. [Google Scholar] [CrossRef]
  9. Bhardwaj, E.; Shukla, R.; Das, S. Plant Roots and Mineral Nutrition: An Overview of Molecular Basis of Uptake and Regulation, and Strategies to Improve Nutrient Use Efficiency (NUE). In Plant Stress Biology; Springer Nature: Berlin, Germany, 2021; pp. 131–184. [Google Scholar] [CrossRef]
  10. Li, G.; Song, H.; Li, B.; Kronzucker, H.J.; Shi, W. Auxin Resistant1 and PIN-FORMED2 Protect Lateral Root Formation in Arabidopsis under Iron Stress. Plant Physiol. 2015, 169, 2608–2623. [Google Scholar] [CrossRef] [PubMed]
  11. Yadav, S.K. Heavy Metals Toxicity in Plants: An Overview on the Role of Glutathione and Phytochelatins in Heavy Metal Stress Tolerance of Plants. S. Afr. J. Bot. 2010, 76, 167–179. [Google Scholar] [CrossRef]
  12. Baran, A. Assessment of Zea Mays Sensitivity to Toxic Content of Zinc in Soil. Pol. J. Environ. Stud. 2013, 22, 77–83. [Google Scholar]
  13. Xu, J.; Yin, H.; Li, Y.; Liu, X. Nitric Oxide Is Associated with Long-Term Zinc Tolerance in Solanum nigrum. Plant Physiol. 2010, 154, 1319–1334. [Google Scholar] [CrossRef]
  14. Marastoni, L.; Tauber, P.; Pii, Y.; Valentinuzzi, F.; Astolfi, S.; Simoni, A.; Brunetto, G.; Cesco, S.; Mimmo, T. The Potential of Two Different Avena sativa L. Cultivars to Alleviate Cu Toxicity. Ecotoxicol. Environ. Saf. 2019, 182, 109430. [Google Scholar] [CrossRef] [PubMed]
  15. Alejandro, S.; Höller, S.; Meier, B.; Peiter, E. Manganese in Plants: From Acquisition to Subcellular Allocation. Front. Plant Sci. 2020, 11, 300. [Google Scholar] [CrossRef]
  16. Zhang, W.; Munyaneza, V.; Kant, S.; Wang, S.; Wang, X.; Cai, H.; Wang, C.; Shi, L.; Wang, S.; Xu, F.; et al. Transcription Factor AtNAC002 Positively Regulates Cu Toxicity Tolerance in Arabidopsis thaliana. J. Hazard. Mater. 2024, 480, 136186. [Google Scholar] [CrossRef]
  17. Shabbir, Z.; Sardar, A.; Shabbir, A.; Abbas, G.; Shamshad, S.; Khalid, S.; Natasha; Murtaza, G.; Dumat, C.; Shahid, M. Copper Uptake, Essentiality, Toxicity, Detoxification and Risk Assessment in Soil-Plant Environment. Chemosphere 2020, 259, 127436. [Google Scholar] [CrossRef] [PubMed]
  18. Rascio, N.; Navari-Izzo, F. Heavy Metal Hyperaccumulating Plants: How and Why Do They Do It? And What Makes Them so Interesting? Plant Sci. 2011, 180, 169–181. [Google Scholar] [CrossRef]
  19. Solioz, M.; Vulpe, C. CPx-Type ATPases: A Class of P-Type ATPases That Pump Heavy Metals. Trends Biochem. Sci. 1996, 21, 237–241. [Google Scholar] [CrossRef] [PubMed]
  20. Hussain, D.; Haydon, M.J.; Wang, Y.; Wong, E.; Sherson, S.M.; Young, J.; Camakaris, J.; Harper, J.F.; Cobbett, C.S. P-Type ATPase Heavy Metal Transporters with Roles in Essential Zinc Homeostasis in Arabidopsis. Plant Cell 2004, 16, 1327–1339. [Google Scholar] [CrossRef]
  21. Chan, H.; Babayan, V.; Blyumin, E.; Gandhi, C.; Hak, K.; Harake, D.; Kumar, K.; Lee, P.; Li, T.T.; Liu, H.Y.; et al. The P-Type ATPase Superfamily. J. Mol. Microbiol. Biotechnol. 2010, 19, 5–104. [Google Scholar] [CrossRef]
  22. Argüello, J.M.; Eren, E.; González-Guerrero, M. The Structure and Function of Heavy Metal Transport P1B-ATPases. BioMetals 2007, 20, 233–248. [Google Scholar] [CrossRef]
  23. Williams, L.E.; Mills, R.F. P1B-ATPases—An Ancient Family of Transition Metal Pumps with Diverse Functions in Plants. Trends Plant Sci. 2005, 10, 491–502. [Google Scholar] [CrossRef]
  24. Baxter, I.; Tchieu, J.; Sussman, M.R.; Boutry, M.; Palmgren, M.G.; Gribskov, M.; Harper, J.F.; Axelsen, K.B. Genomic Comparison of P-Type ATPase Ion Pumps in Arabidopsis and Rice. Plant Physiol. 2003, 132, 618–628. [Google Scholar] [CrossRef]
  25. Rensing, C.; Ghosh, M.; Rosen, B.P. Families of Soft-Metal-Ion-Transporting ATPases. J. Bacteriol. 1999, 181, 5891–5897. [Google Scholar] [CrossRef] [PubMed]
  26. Axelsen, K.B.; Palmgren, M.G. Inventory of the Superfamily of P-Type Ion Pumps in Arabidopsis. Plant Physiol. 2001, 126, 696–706. [Google Scholar] [CrossRef]
  27. Cobbett, C.S.; Hussain, D.; Haydon, M.J. Structural and Functional Relationships between Type 1B Heavy Metal-Transporting P-Type ATPases in Arabidopsis. New Phytol. 2003, 159, 315–321. [Google Scholar] [CrossRef]
  28. Zhiguo, E.; Tingting, L.; Chen, C.; Lei, W. Genome-Wide Survey and Expression Analysis of P 1B-ATPases in Rice, Maize and Sorghum. Rice Sci. 2018, 25, 208–217. [Google Scholar] [CrossRef]
  29. Khan, N.; You, F.M.; Datla, R.; Ravichandran, S.; Jia, B.; Cloutier, S. Genome-Wide Identification of ATP Binding Cassette (ABC) Transporter and Heavy Metal Associated (HMA) Gene Families in Flax (Linum usitatissimum L.). BMC Genom. 2020, 21, 722. [Google Scholar] [CrossRef]
  30. Boutigny, S.; Sautron, E.; Finazzi, G.; Rivasseau, C.; Frelet-Barrand, A.; Pilon, M.; Rolland, N.; Seigneurin-Berny, D. HMA1 and PAA1, Two Chloroplast-Envelope PIB-ATPases, Play Distinct Roles in Chloroplast Copper Homeostasis. J. Exp. Bot. 2014, 65, 1529–1540. [Google Scholar] [CrossRef] [PubMed]
  31. Seigneurin-Berny, D.; Gravot, A.; Auroy, P.; Mazard, C.; Kraut, A.; Finazzi, G.; Grunwald, D.; Rappaport, F.; Vavasseur, A.; Joyard, J.; et al. HMA1, a New Cu-ATPase of the Chloro Plast Envelope, Is Essential for Growth under Adverse Light Conditions*. J. Biol. Chem. 2006, 281, 2882–2892. [Google Scholar] [CrossRef]
  32. Li, S.; Li, X.; Li, S.; Liu, Y.; Zang, T.; Hao, M.; Zhang, L.; Huang, L.; Jiang, B.; Yuan, Z.; et al. Variation in the Tonoplast Cadmium Transporter Heavy Metal ATPase 3 (HMA3) Homolog Gene in Aegilops tauschii. PLoS ONE 2023, 18, e0279707. [Google Scholar] [CrossRef]
  33. Shikanai, T.; Müller-Moulé, P.; Munekage, Y.; Niyogi, K.K.; Pilon, M. PAA1, a P-Type ATPase of Arabidopsis, Functions in Copper Transport in Chloroplasts. Plant Cell 2003, 15, 1333–1346. [Google Scholar] [CrossRef]
  34. Verret, F.; Gravot, A.; Auroy, P.; Leonhardt, N.; David, P.; Nussaume, L.; Vavasseur, A.; Richaud, P. Overexpression of AtHMA4 Enhances Root-to-Shoot Translocation of Zinc and Cadmium and Plant Metal Tolerance. FEBS Lett. 2004, 576, 306–312. [Google Scholar] [CrossRef] [PubMed]
  35. Morel, M.; Crouzet, J.; Gravot, A.; Auroy, P.; Leonhardt, N.; Vavasseur, A.; Richaud, P. AtHMA3, a P1B-ATPase Allowing Cd/Zn/Co/Pb Vacuolar Storage in Arabidopsis. Plant Physiol. 2009, 149, 894–904. [Google Scholar] [CrossRef] [PubMed]
  36. Kobayashi, Y.; Kuroda, K.; Kimura, K.; Southron-Francis, J.L.; Furuzawa, A.; Kimura, K.; Iuchi, S.; Kobayashi, M.; Taylor, G.J.; Koyama, H. Amino Acid Polymorphisms in Strictly Conserved Domains of a P-Type ATPase HMA5 Are Involved in the Mechanism of Copper Tolerance Variation in Arabidopsis. Plant Physiol. 2008, 148, 969–980. [Google Scholar] [CrossRef]
  37. Andrés-Colás, N.; Sancenón, V.; Rodríguez-Navarro, S.; Mayo, S.; Thiele, D.J.; Ecker, J.R.; Puig, S.; Peñarrubia, L. The Arabidopsis Heavy Metal P-type ATPase HMA5 Interacts with Metallochaperones and Functions in Copper Detoxification of Roots. Plant J. 2006, 45, 225–236. [Google Scholar] [CrossRef] [PubMed]
  38. Woeste, K.E.; Kieber, J.J. A Strong Loss-of-Function Mutation in RAN1 Results in Constitutive Activation of the Ethylene Response Pathway as Well as a Rosette-Lethal Phenotype. Plant Cell 2022, 12, 443–455. [Google Scholar] [CrossRef]
  39. Abdel-Ghany, S.E.; Müller-Moulé, P.; Niyogi, K.K.; Pilon, M.; Shikanai, T. Two P-Type ATPases Are Required for Copper Delivery in Arabidopsis thaliana Chloroplasts. Plant Cell 2005, 17, 1233–1251. [Google Scholar] [CrossRef]
  40. Chen, C.; Chen, H.; Zhang, Y.; Thomas, H.R.; Frank, M.H.; He, Y.; Xia, R. TBtools: An Integrative Toolkit Developed for Interactive Analyses of Big Biological Data. Mol. Plant 2020, 13, 1194–1202. [Google Scholar] [CrossRef]
  41. Abbas, A.; Hameed, R.; Saeed, M.; Shahani, A.A.A.; Huang, P.; Du, D.; Zulfiqar, U.; Alamri, S.; Alfagham, A.T. Investigating the Dynamic Responses of Aegilops tauschii Coss. to Salinity, Drought, and Nitrogen Stress: A Comprehensive Study of Competitive Growth and Biochemical and Molecular Pathways. Front. Plant Sci. 2023, 14, 1238704. [Google Scholar] [CrossRef]
  42. Livak, K.J.; Schmittgen, T.D. Analysis of Relative Gene Expression Data Using Real-Time Quantitative PCR and the 2−ΔΔCT Method. Methods 2001, 25, 402–408. [Google Scholar] [CrossRef]
  43. Han, X.; Zhang, Y.; Yu, M.; Zhang, J.; Xu, D.; Lu, Z.; Qiao, G.; Qiu, W.; Zhuo, R. Transporters and Ascorbate–Glutathione Metabolism for Differential Cadmium Accumulation and Tolerance in Two Contrasting Willow Genotypes. Tree Physiol. 2020, 40, 1126–1142. [Google Scholar] [CrossRef]
  44. Cao, Y.; Zhao, X.; Liu, Y.; Wang, Y.; Wu, W.; Jiang, Y.; Liao, C.; Xu, X.; Gao, S.; Shen, Y.; et al. Genome-Wide Identification of ZmHMAs and Association of Natural Variation in ZmHMA2 and ZmHMA3 with Leaf Cadmium Accumulation in Maize. PeerJ 2019, 7, e7877. [Google Scholar] [CrossRef] [PubMed]
  45. Fang, X.; Wang, L.; Deng, X.; Wang, P.; Ma, Q.; Nian, H.; Wang, Y.; Yang, C. Genome-Wide Characterization of Soybean P1B-ATPases Gene Family Provides Functional Implications in Cadmium Responses. BMC Genom. 2016, 17, 376. [Google Scholar] [CrossRef]
  46. Li, N.; Xiao, H.; Sun, J.; Wang, S.; Wang, J.; Chang, P.; Zhou, X.; Lei, B.; Lu, K.; Luo, F.; et al. Genome-Wide Analysis and Expression Profiling of the HMA Gene Family in Brassica Napus under Cd Stress. Plant Soil 2018, 426, 365–381. [Google Scholar] [CrossRef]
  47. Wang, X.; Li, H.; Xu, J. Bioinformatics Analysis of the Heavy Metal Transporting ATPase Gene Family in Poplar Genome. Plant Physiol. J. 2014, 50, 891–900. [Google Scholar] [CrossRef]
  48. Lee, S.; Kim, Y.-Y.; Lee, Y.; An, G. Rice P1B-Type Heavy-Metal ATPase, OsHMA9, Is a Metal Efflux Protein. Plant Physiol. 2007, 145, 831–842. [Google Scholar] [CrossRef] [PubMed]
  49. Kim, Y.-Y.; Choi, H.; Segami, S.; Cho, H.-T.; Martinoia, E.; Maeshima, M.; Lee, Y. AtHMA1 Contributes to the Detoxification of Excess Zn(II) in Arabidopsis. Plant J. 2009, 58, 737–753. [Google Scholar] [CrossRef]
  50. Ghori, N.-H.; Ghori, T.; Hayat, M.Q.; Imadi, S.R.; Gul, A.; Altay, V.; Ozturk, M. Heavy Metal Stress and Responses in Plants. Int. J. Environ. Sci. Technol. 2018, 16, 1807–1828. [Google Scholar] [CrossRef]
  51. Zhang, X.; Li, Q.; Xu, W.; Zhao, H.; Guo, F.; Wang, P.; Wang, Y.; Ni, D.; Wang, M.; Wei, C. Identification of MTP Gene Family in Tea Plant (Camellia sinensis L.) and Characterization of CsMTP8.2 in Manganese Toxicity. Ecotoxicol. Environ. Saf. 2020, 202, 110904. [Google Scholar] [CrossRef]
  52. Cailliatte, R.; Schikora, A.; Briat, J.-F.; Mari, S.; Curie, C. High-Affinity Manganese Uptake by the Metal Transporter NRAMP1 Is Essential for Arabidopsis Growth in Low Manganese Conditions. Plant Cell 2010, 22, 904–917. [Google Scholar] [CrossRef]
  53. Sasaki, A.; Yamaji, N.; Ma, J.F. Overexpression of OsHMA3 Enhances Cd Tolerance and Expression of Zn Transporter Genes in Rice. J. Exp. Bot. 2014, 65, 6013–6021. [Google Scholar] [CrossRef]
  54. Huang, X.-Y.; Deng, F.; Yamaji, N.; Pinson, S.R.M.; Fujii-Kashino, M.; Danku, J.; Douglas, A.; Guerinot, M.L.; Salt, D.E.; Ma, J.F. A Heavy Metal P-Type ATPase OsHMA4 Prevents Copper Accumulation in Rice Grain. Nat. Commun. 2016, 7, 12138. [Google Scholar] [CrossRef] [PubMed]
Figure 1. Phylogenetic tree of nine HMA proteins in A. tauschii and other plant species. The phylogenetic tree of the system is categorized into two primary branches (Zn/CO/Cd/Pb-ATPase, Cu/Ag-ATPase), each comprising six subordinate subgroups (I-VI). The species involved in the evolutionary tree include A. thaliana (8 AtHMAs), P. trichocarpa (12 PtHMAs), L. usitatissimum (12 LuHMAs), B. distachyon (9 BdHMAs), O. sativa (9 OsHMAs), Z. mays (12 ZmHMAs), and T. aestivum (27 TaHMAs).
Figure 1. Phylogenetic tree of nine HMA proteins in A. tauschii and other plant species. The phylogenetic tree of the system is categorized into two primary branches (Zn/CO/Cd/Pb-ATPase, Cu/Ag-ATPase), each comprising six subordinate subgroups (I-VI). The species involved in the evolutionary tree include A. thaliana (8 AtHMAs), P. trichocarpa (12 PtHMAs), L. usitatissimum (12 LuHMAs), B. distachyon (9 BdHMAs), O. sativa (9 OsHMAs), Z. mays (12 ZmHMAs), and T. aestivum (27 TaHMAs).
Agronomy 15 00714 g001
Figure 2. Distribution of A. tauschii HMA genes on chromosomes. Chromosome size is indicated by its relative length. The scale on the left is in megabases (Mb). The text in bold denotes the name of the chromosome located on the right side.
Figure 2. Distribution of A. tauschii HMA genes on chromosomes. Chromosome size is indicated by its relative length. The scale on the left is in megabases (Mb). The text in bold denotes the name of the chromosome located on the right side.
Agronomy 15 00714 g002
Figure 3. The collinearity observed among species of A. tauschii.; the legend represents gene density, the red lines represent gene pairs with collinearity (A), the green blocks represent the chromosomes of A. tauschii, the orange blocks represent the chromosomes of other species, and the thin red lines represent the collinearity between the two species (BD).
Figure 3. The collinearity observed among species of A. tauschii.; the legend represents gene density, the red lines represent gene pairs with collinearity (A), the green blocks represent the chromosomes of A. tauschii, the orange blocks represent the chromosomes of other species, and the thin red lines represent the collinearity between the two species (BD).
Agronomy 15 00714 g003
Figure 4. Distribution (A) and heat maps (B) depicting the abundance of cis-acting elements in the promoter region of the HMA gene in A. tauschii.
Figure 4. Distribution (A) and heat maps (B) depicting the abundance of cis-acting elements in the promoter region of the HMA gene in A. tauschii.
Agronomy 15 00714 g004
Figure 5. Phylogenetic relationships (A), conservative motifs (B), and domain (C) of AetHMA proteins or genes from A. tauschii.
Figure 5. Phylogenetic relationships (A), conservative motifs (B), and domain (C) of AetHMA proteins or genes from A. tauschii.
Agronomy 15 00714 g005
Figure 6. Expression levels of eight AetHMA genes in the root (A) and leaf (B) of A. tauschii exposed to excess metals for 0 h, 6 h, 12 h, 24 h, 48 h, and 96 h.
Figure 6. Expression levels of eight AetHMA genes in the root (A) and leaf (B) of A. tauschii exposed to excess metals for 0 h, 6 h, 12 h, 24 h, 48 h, and 96 h.
Agronomy 15 00714 g006
Figure 7. A phenotypic characterization of the metal ion resistance exhibited by AetHMA4 and AetHMA8 in the yeast model was performed (A), and the concentrations of the heavy metals manganese (B) and cadmium (C) were evaluated in transgenic yeast. The two-tailed t-test revealed significant differences at the 0.05 level, denoted by “**” and “***” (p < 0.05).
Figure 7. A phenotypic characterization of the metal ion resistance exhibited by AetHMA4 and AetHMA8 in the yeast model was performed (A), and the concentrations of the heavy metals manganese (B) and cadmium (C) were evaluated in transgenic yeast. The two-tailed t-test revealed significant differences at the 0.05 level, denoted by “**” and “***” (p < 0.05).
Agronomy 15 00714 g007
Table 1. Physicochemical properties and subcellular localization of the nine AetHMA genes and corresponding proteins identified in A. tauschii.
Table 1. Physicochemical properties and subcellular localization of the nine AetHMA genes and corresponding proteins identified in A. tauschii.
Gene NameGene IDNo. of aaMW apI bInstability IndexAliphatic IndexGRAVY cSubcellular Localization
AetHMA1AET2Gv2091040084591,936.685.8636.2103.830.207Cell membrane
AetHMA2AET5Gv2089500084588,162.026.0147.22100.360.276Cell membrane
AetHMA3AET6Gv2039880067872,819.315.8335.36103.360.312Cell membrane
AetHMA4AET6Gv20415800982105,753.485.436.54101.860.173Cell membrane
AetHMA5AET7Gv2058760049852,501.786.2338.59101.630.294Cell membrane
AetHMA6AET7Gv210170001051114,152.86.7444.3985.56−0.193Cell membrane, nucleus
AetHMA7AET7Gv2101770061966,059.266.6238.9104.30.255Cell membrane
AetHMA8AET7Gv2105770084489,543.317.5136.7599.680.15Chloroplast
AetHMA9AET7Gv211755001,018108,744.975.6238.46103.640.294Cell membrane
a molecular weight, b isoelectric point, c grand average of hydropathicity.
Disclaimer/Publisher’s Note: The statements, opinions and data contained in all publications are solely those of the individual author(s) and contributor(s) and not of MDPI and/or the editor(s). MDPI and/or the editor(s) disclaim responsibility for any injury to people or property resulting from any ideas, methods, instructions or products referred to in the content.

Share and Cite

MDPI and ACS Style

Liang, X.; Zhang, X.; Li, Y.; Ding, Y.; Li, H.; Hao, Z.; Wang, N.; Han, X. Genome-Wide Identification of Heavy Metal ATPase Family in Aegilops tauschii and Functional Verification of AetHMA4 and AetHMA8. Agronomy 2025, 15, 714. https://doi.org/10.3390/agronomy15030714

AMA Style

Liang X, Zhang X, Li Y, Ding Y, Li H, Hao Z, Wang N, Han X. Genome-Wide Identification of Heavy Metal ATPase Family in Aegilops tauschii and Functional Verification of AetHMA4 and AetHMA8. Agronomy. 2025; 15(3):714. https://doi.org/10.3390/agronomy15030714

Chicago/Turabian Style

Liang, Xiaolin, Xiaofang Zhang, Yibo Li, Yifan Ding, Hongying Li, Ziyuan Hao, Ning Wang, and Xiaojiao Han. 2025. "Genome-Wide Identification of Heavy Metal ATPase Family in Aegilops tauschii and Functional Verification of AetHMA4 and AetHMA8" Agronomy 15, no. 3: 714. https://doi.org/10.3390/agronomy15030714

APA Style

Liang, X., Zhang, X., Li, Y., Ding, Y., Li, H., Hao, Z., Wang, N., & Han, X. (2025). Genome-Wide Identification of Heavy Metal ATPase Family in Aegilops tauschii and Functional Verification of AetHMA4 and AetHMA8. Agronomy, 15(3), 714. https://doi.org/10.3390/agronomy15030714

Note that from the first issue of 2016, this journal uses article numbers instead of page numbers. See further details here.

Article Metrics

Back to TopTop