Long-Term Organic Substitution Regimes Affect Open-Field Vegetable Yields and Soil Organic Carbon Stability by Regulating Soil Labile Organic Carbon Fractions’ Changes
Abstract
1. Introduction
2. Materials and Methods
2.1. Experimental Site
2.2. Experimental Design
2.3. Soil Sampling and Chemical Analysis
2.4. Data Computation and Analysis
3. Results
3.1. Open-Field Vegetable Yields and Sustainability Index
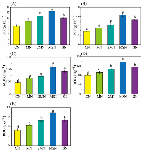
3.2. SOC and Its Labile Fractions
3.3. SOC Stability Indicators and the CMI
3.4. SOC Chemical Composition
3.5. Correlation Analysis and PLS-PM Analysis
4. Discussion
4.1. Vegetable Yield Response to Different Fertilization Treatments over Time
4.2. Response of SOC Fraction Content to Different Fertilization Treatments over Time
4.3. SOC Stability in Response to Different Fertilization Treatments over Time
4.4. Response of C Pool Management Indices to Different Fertilization Treatments over Time
5. Conclusions
Author Contributions
Funding
Data Availability Statement
Acknowledgments
Conflicts of Interest
References
- Lal, R. Digging deeper: A holistic perspective of factors affecting soil organic carbon sequestration in agroecosystems. Glob. Change Biol. 2018, 24, 3285–3301. [Google Scholar] [CrossRef]
- Stewart, C.E.; Halvorson, A.D.; Delgado, J.A. Long-term N fertilization and conservation tillage practices conserve surface but not profile SOC stocks under semi-arid irrigated corn. Soil Tillage Res. 2017, 171, 9–18. [Google Scholar] [CrossRef]
- Tian, K.; Zhao, Y.; Xu, X.; Hai, N.; Huang, B.; Deng, W. Effects of long-term fertilization and residue management on soil organic carbon changes in paddy soils of China: A meta-analysis. Agric. Ecosyst. Environ. 2015, 204, 40–50. [Google Scholar] [CrossRef]
- Luan, H.; Gao, W.; Huang, S.; Tang, J.; Li, M.; Zhang, H.; Chen, X. Partial substitution of chemical fertilizer with organic amendments affects soil organic carbon composition and stability in a greenhouse vegetable production system. Soil Tillage Res. 2019, 191, 185–196. [Google Scholar] [CrossRef]
- Ramteke, P.; Gabhane, V.; Kadu, P.; Kharche, V.; Jadhao, S.; Turkhede, A.; Gajjala, R.C. Long-term nutrient management effects on organic carbon fractions and carbon sequestration in Typic Haplusterts soils of Central India. Soil Use Manag. 2023, 40, e12950. [Google Scholar] [CrossRef]
- Luo, M.; Liu, Y.; Li, J.; Gao, T.; Wu, S.; Wu, L.; Lai, X.; Xu, H.; Hu, H.; Ma, Y. Effects of Straw Returning and New Fertilizer Substitution on Rice Growth, Yield, and Soil Properties in the Chaohu Lake Region of China. Plants 2024, 13, 444. [Google Scholar] [CrossRef]
- Lan, X.; Shan, J.; Huang, Y.; Liu, X.; Lv, Z.; Ji, J.; Hou, H.; Xia, W.; Liu, Y. Effects of long-term manure substitution regimes on soil organic carbon composition in a red paddy soil of southern China. Soil Tillage Res. 2022, 221, 105395. [Google Scholar] [CrossRef]
- Huang, T.; Yang, N.; Lu, C.; Qin, X.; Siddique, K.H.M. Soil organic carbon, total nitrogen, available nutrients, and yield under different straw returning methods. Soil Tillage Res. 2021, 214, 105171. [Google Scholar] [CrossRef]
- Hu, Y.; Zhan, P.; Thomas, B.W.; Zhao, J.; Zhang, X.; Yan, H.; Zhang, Z.; Chen, S.; Shi, X.; Zhang, Y. Organic carbon and nitrogen accumulation in orchard soil with organic fertilization and cover crop management: A global meta-analysis. Sci. Total Environ. 2022, 852, 158402. [Google Scholar] [CrossRef]
- Arunrat, N.; Kongsurakan, P.; Sereenonchai, S.; Hatano, R. Soil Organic Carbon in Sandy Paddy Fields of Northeast Thailand: A Review. Agronomy 2020, 10, 1061. [Google Scholar] [CrossRef]
- Jílková, V.; Jandová, K.; Cajthaml, T.; Devetter, M.; Kukla, J.; Starý, J.; Vacířová, A. Organic matter decomposition and carbon content in soil fractions as affected by a gradient of labile carbon input to a temperate forest soil. Biol. Fert. Soils 2020, 56, 411–421. [Google Scholar] [CrossRef]
- Li, J.; Wen, Y.; Li, X.; Li, Y.; Yang, X.; Lin, Z.; Song, Z.; Cooper, J.M.; Zhao, B. Soil labile organic carbon fractions and soil organic carbon stocks as affected by long-term organic and mineral fertilization regimes in the North China Plain. Soil Tillage Res. 2018, 175, 281–290. [Google Scholar] [CrossRef]
- Koković, N.; Saljnikov, E.; Eulenstein, F.; Čakmak, D.; Buntić, A.; Sikirić, B.; Ugrenović, V. Changes in Soil Labile Organic Matter as Affected by 50 Years of Fertilization with Increasing Amounts of Nitrogen. Agronomy 2021, 11, 2026. [Google Scholar] [CrossRef]
- Muñoz-Romero, V.; Lopez-Bellido, R.J.; Fernandez-Garcia, P.; Redondo, R.; Murillo, S.; Lopez-Bellido, L. Effects of tillage, crop rotation and N application rate on labile and recalcitrant soil carbon in a Mediterranean Vertisol. Soil Tillage Res. 2017, 169, 118–123. [Google Scholar] [CrossRef]
- Chen, L.; Zhou, S.; Zhang, Q.; Zou, M.; Yin, Q.; Qiu, Y.; Qin, W. Effect of organic material addition on active soil organic carbon and microbial diversity: A meta-analysis. Soil Tillage Res. 2024, 241, 106128. [Google Scholar] [CrossRef]
- Zhu, L.; Hu, N.; Zhang, Z.; Xu, J.; Tao, B.; Meng, Y. Short-term responses of soil organic carbon and carbon pool management index to different annual straw return rates in a rice–wheat cropping system. Catena 2015, 135, 283–289. [Google Scholar] [CrossRef]
- Marschner, P. Structure and function of the soil microbial community in a long-term fertilizer experiment. Soil Biol. Biochem. 2003, 35, 453–461. [Google Scholar] [CrossRef]
- Zhang, Z.; Yan, J.; Han, X.; Zou, W.; Chen, X.; Lu, X.; Feng, Y. Labile organic carbon fractions drive soil microbial communities after long-term fertilization. Glob. Ecol. Conserv. 2021, 32, e01867. [Google Scholar] [CrossRef]
- Mrunalini, K.; Chandra, M.S.; Naresh, R.K.; Gupta, S.K. Precision Agriculture Practices Improves Soil Aggregation, Aggregate Associated Organic Carbon Fractions and Nutrient Dynamics in Cereal-based Systems of North-West India: An Overview. Curr. J. Appl. Sci. Technol. 2020, 39, 40–53. [Google Scholar] [CrossRef]
- Mahajan, N.C.; Chandra, M.S.; Vivek; Naresh, R.K.; Yadav, S. Soil Carbon Pools, Carbon and Nitrogen Storage Pattern in Soil Aggregate Fractions under Long-term Application of Organic and Synthetic Fertilizers in Rice-Wheat System: A Review. Curr. J. Appl. Sci. Technol. 2020, 39, 53–65. [Google Scholar] [CrossRef]
- Aparna, K.; Pasha, M.A.; Rao, D.L.N.; Krishnaraj, P.U. Organic amendments as ecosystem engineers: Microbial, biochemical and genomic evidence of soil health improvement in a tropical arid zone field site. Ecol. Eng. 2014, 71, 268–277. [Google Scholar] [CrossRef]
- Xiong, S.; Zhu, J.; Yang, J.; Guo, Y.; Meng, X.; Ren, S.; Du, J.; Wen, S.; Jiang, Y.; Shi, J.; et al. Straw return plus zinc fertilization increased the accumulations and changed the chemical compositions of mineral-associated soil organic carbon. Agric. Ecosyst. Environ. 2023, 357, 108699. [Google Scholar] [CrossRef]
- Mapfumo, P.; Mtambanengwe, F.; Vanlauwe, B. Organic matter quality and management effects on enrichment of soil organic matter fractions in contrasting soils in Zimbabwe. Plant Soil 2007, 296, 137–150. [Google Scholar] [CrossRef]
- Liu, H.; Zhang, J.; Ai, Z.; Wu, Y.; Xu, H.; Li, Q.; Xue, S.; Liu, G. 16-Year fertilization changes the dynamics of soil oxidizable organic carbon fractions and the stability of soil organic carbon in soybean-corn agroecosystem. Agric. Ecosyst. Environ. 2018, 265, 320–330. [Google Scholar] [CrossRef]
- Dash, A.K.; Dwivedi, B.S.; Dey, A.; Meena, M.C.; Chakraborty, D. Temperature Sensitivity of Soil Organic Carbon as Affected by Crop Residue and Nutrient Management Options Under Conservation Agriculture. J. Soil Sci. Plant Nutr. 2023, 23, 4183–4197. [Google Scholar] [CrossRef]
- Abd–Elrahman, S.H.; Saudy, H.S.; El–Fattah, D.A.A.; Hashem, F.A.E. Effect of Irrigation Water and Organic Fertilizer on Reducing Nitrate Accumulation and Boosting Lettuce Productivity. J. Soil Sci. Plant Nutr. 2022, 22, 2144–2155. [Google Scholar] [CrossRef]
- Kumar, A.; Dwivedi, G.K.; Tewari, S.; Paul, J.; Anand, R.; Kumar, N.; Kumar, P.; Singh, H.; Kaushal, R. Carbon Mineralization and Inorganic Nitrogen Pools under Terminalia chebula Retz.-Based Agroforestry System in Himalayan Foothills, India. For. Sci. 2020, 66, 634–643. [Google Scholar] [CrossRef]
- Singh, D.K.; Pandey, P.C.; Nanda, G.; Gupta, S. Long-term effects of inorganic fertilizer and farmyard manure application on productivity, sustainability and profitability of rice-wheat system in Mollisols. Arch. Agron. Soil Sci. 2018, 65, 139–151. [Google Scholar] [CrossRef]
- Mayer, M.; Krause, H.-M.; Fliessbach, A.; Mäder, P.; Steffens, M. Fertilizer quality and labile soil organic matter fractions are vital for organic carbon sequestration in temperate arable soils within a long-term trial in Switzerland. Geoderma 2022, 426, 116080. [Google Scholar] [CrossRef]
- Kubar, K.A.; Huang, L.; Lu, J.; Li, X.; Xue, B.; Yin, Z. Long-term tillage and straw returning effects on organic C fractions and chemical composition of SOC in rice-rape cropping system. Arch. Agron. Soil Sci. 2018, 65, 125–137. [Google Scholar] [CrossRef]
- van Wesenbeeck, C.; Keyzer, M.A.; van Veen, W.C.M.; Qiu, H. Can China’s overuse of fertilizer be reduced without threatening food security and farm incomes? Agric. Syst. 2021, 190, 103093. [Google Scholar] [CrossRef]
- Xu, P.; Liu, Y.; Zhu, J.; Shi, L.; Fu, Q.; Chen, J.; Hu, H.; Huang, Q. Influence mechanisms of long-term fertilizations on the mineralization of organic matter in Ultisol. Soil Tillage Res. 2020, 201, 104594. [Google Scholar] [CrossRef]
- Huang, S.; Peng, X.; Huang, Q.; Zhang, W. Soil aggregation and organic carbon fractions affected by long-term fertilization in a red soil of subtropical China. Geoderma 2010, 154, 364–369. [Google Scholar] [CrossRef]
- Tong, L.; Zhu, L.; Lv, Y.; Zhu, K.; Liu, X.; Zhao, R. Response of organic carbon fractions and microbial community composition of soil aggregates to long-term fertilizations in an intensive greenhouse system. J. Soils Sediments 2019, 20, 641–652. [Google Scholar] [CrossRef]
- Blagodatskaya, E.; Yuyukina, T.; Blagodatsky, S.; Kuzyakov, Y. Turnover of soil organic matter and of microbial biomass under C3-C4 vegetation change: Consideration of 13C fractionation and preferential substrate utilization. Soil Biol. Biochem. 2011, 43, 159–166. [Google Scholar] [CrossRef]
- Jones, D.L.; Willett, V.B. Experimental evaluation of methods to quantify dissolved organic nitrogen (DON) and dissolved organic carbon (DOC) in soil. Soil Biol. Biochem. 2006, 38, 991–999. [Google Scholar] [CrossRef]
- Chan, K.Y.; Bowman, A.; Oates, A. Oxidizible organic carbon fractions and soil quality changes in an Oxic Paleustalf under different pasture leys. Soil Sci. 2001, 166, 61–67. [Google Scholar] [CrossRef]
- Mustafa, A.; Hu, X.; Shah, S.A.A.; Abrar, M.M.; Maitlo, A.A.; Kubar, K.A.; Saeed, Q.; Kamran, M.; Naveed, M.; Boren, W.; et al. Long-term fertilization alters chemical composition and stability of aggregate-associated organic carbon in a Chinese red soil: Evidence from aggregate fractionation, C mineralization, and 13C NMR analyses. J. Soils Sediments 2021, 21, 2483–2496. [Google Scholar] [CrossRef]
- Han, X.; Hu, C.; Chen, Y.; Qiao, Y.; Liu, D.; Fan, J.; Li, S.; Zhang, Z. Crop yield stability and sustainability in a rice-wheat cropping system based on 34-year field experiment. Eur. J. Agron. 2020, 113, 125965. [Google Scholar] [CrossRef]
- Luan, H.; Yuan, S.; Gao, W.; Tang, J.; Li, R.; Zhang, H.; Huang, S. 10-Year fertilization alters soil C dynamics as indicated by amino sugar differentiation and oxidizable organic C pools in a greenhouse vegetable field of Tianjin, China. Appl. Soil Ecol. 2022, 169, 104226. [Google Scholar] [CrossRef]
- Xu, H.; Qu, Q.; Lu, B.; Zhang, Y.; Liu, G.; Xue, S. Variation in soil organic carbon stability and driving factors after vegetation restoration in different vegetation zones on the Loess Plateau, China. Soil Tillage Res. 2020, 204, 104727. [Google Scholar] [CrossRef]
- Wang, J.; Wang, K.; Wang, X.; Ai, Y.; Zhang, Y.; Yu, J. Carbon sequestration and yields with long-term use of inorganic fertilizers and organic manure in a six-crop rotation system. Nutr. Cycl. Agroecosyst. 2018, 111, 87–98. [Google Scholar] [CrossRef]
- Xie, J.; Evgenia, B.; Zhang, Y.; Wan, Y.; Hu, Q.-j.; Zhang, C.-M.; Wang, J.; Zhang, Y.-q.; Shi, X.-j. Substituting nitrogen and phosphorus fertilizer with optimal amount of crop straw improves rice grain yield, nutrient use efficiency and soil carbon sequestration. J. Integr. Agric. 2022, 21, 3345–3355. [Google Scholar] [CrossRef]
- Cai, A.; Zhang, W.; Xu, M.; Wang, B.; Wen, S.; Shah, S.A.A. Soil fertility and crop yield after manure addition to acidic soils in South China. Nutr. Cycl. Agroecosyst. 2018, 111, 61–72. [Google Scholar] [CrossRef]
- Zhang, Y.-J.; Gao, W.; Luan, H.-A.; Tang, J.-W.; Li, R.-N.; Li, M.-Y.; Zhang, H.-Z.; Huang, S.-W. Effects of a decade of organic fertilizer substitution on vegetable yield and soil phosphorus pools, phosphatase activities, and the microbial community in a greenhouse vegetable production system. J. Integr. Agric. 2022, 21, 2119–2133. [Google Scholar] [CrossRef]
- Ma, Y.; Woolf, D.; Fan, M.; Qiao, L.; Li, R.; Lehmann, J. Global crop production increase by soil organic carbon. Nat. Geosci. 2023, 16, 1159–1165. [Google Scholar] [CrossRef]
- Tuti, M.D.; Pal, R.S.; Mahanta, D.; Pandey, B.M.; Bisht, J.K. Soil Chemical and Biological Activities under Vegetable Intensive Colocasia-based Cropping System in Indian Sub-Himalayas. Commun. Soil Sci. Plant Anal. 2020, 51, 948–962. [Google Scholar] [CrossRef]
- Zhao, Z.; Zhang, C.; Zhang, J.; Liu, C.; Wu, Q. Effects of Substituting Manure for Fertilizer on Aggregation and Aggregate Associated Carbon and Nitrogen in a Vertisol. Agron. J. 2019, 111, 368–377. [Google Scholar] [CrossRef]
- Jin, X.; Gall, A.R.; Saeed, M.F.; Li, S.; Filley, T.; Wang, J. Plastic film mulching and nitrogen fertilization enhance the conversion of newly-added maize straw to water-soluble organic carbon. Soil Tillage Res. 2020, 197, 104527. [Google Scholar] [CrossRef]
- Yuan, G.; Huan, W.; Song, H.; Lu, D.; Chen, X.; Wang, H.; Zhou, J. Effects of straw incorporation and potassium fertilizer on crop yields, soil organic carbon, and active carbon in the rice–wheat system. Soil Tillage Res. 2021, 209, 104958. [Google Scholar] [CrossRef]
- Xu, M.; Lou, Y.; Sun, X.; Wang, W.; Baniyamuddin, M.; Zhao, K. Soil organic carbon active fractions as early indicators for total carbon change under straw incorporation. Biol. Fert. Soils 2011, 47, 745–752. [Google Scholar] [CrossRef]
- Liu, N.; Li, Y.; Cong, P.; Wang, J.; Guo, W.; Pang, H.; Zhang, L. Depth of straw incorporation significantly alters crop yield, soil organic carbon and total nitrogen in the North China Plain. Soil Tillage Res. 2021, 205, 104772. [Google Scholar] [CrossRef]
- Jin, X.; Bol, R.; An, T.; Zheng, L.; Li, S.; Pei, J.; Wang, J. Long-term fertilization and plastic film mulching modify temporal incorporation of 13C/15N-labelled particulate organic matter. Eur. J. Soil Sci. 2023, 74, e13386. [Google Scholar] [CrossRef]
- He, H.; Peng, M.; Lu, W.; Ru, S.; Hou, Z.; Li, J. Organic fertilizer substitution promotes soil organic carbon sequestration by regulating permanganate oxidizable carbon fractions transformation in oasis wheat fields. Catena 2023, 221, 106784. [Google Scholar] [CrossRef]
- Demisie, W.; Liu, Z.; Zhang, M. Effect of biochar on carbon fractions and enzyme activity of red soil. Catena 2014, 121, 214–221. [Google Scholar] [CrossRef]
- Zhang, Y.; Li, X.; Gregorich, E.G.; McLaughlin, N.B.; Zhang, X.; Guo, Y.; Liang, A.; Fan, R.; Sun, B. No-tillage with continuous maize cropping enhances soil aggregation and organic carbon storage in Northeast China. Geoderma 2018, 330, 204–211. [Google Scholar] [CrossRef]
- Zheng, S.; Zhang, J.; Chi, F.; Zhou, B.; Wei, D.; Kuang, E.; Jiang, Y.; Mi, G.; Chen, Y.p. Response of the chemical structure of soil organic carbon to modes of maize straw return. Sci. Rep. 2021, 11, 6574. [Google Scholar] [CrossRef]
- Baumann, K.; Marschner, P.; Kuhn, T.K.; Smernik, R.J.; Baldock, J.A. Microbial community structure and residue chemistry during decomposition of shoots and roots of young and mature wheat (Triticum aestivum L.) in sand. Eur. J. Soil Sci. 2011, 62, 666–675. [Google Scholar] [CrossRef]
- Qu, X.; Wang, X.; Wu, J.; He, P. Both carbon sequestration and yield are related to particulate organic carbon stability affected by organic amendment origins in mollisol. J. Soils Sediments 2021, 21, 3044–3056. [Google Scholar] [CrossRef]
- Luan, H.; Gao, W.; Huang, S.; Tang, J.; Li, M.; Zhang, H.; Chen, X.; Masiliūnas, D. Organic amendment increases soil respiration in a greenhouse vegetable production system through decreasing soil organic carbon recalcitrance and increasing carbon-degrading microbial activity. J. Soils Sediments 2020, 20, 2877–2892. [Google Scholar] [CrossRef]
- Li, J.; Zhang, Q.; Li, Y.; Liu, Y.; Xu, J.; Di, H. Effects of long-term mowing on the fractions and chemical composition of soil organic matter in a semiarid grassland. Biogeosciences 2017, 14, 2685–2696. [Google Scholar] [CrossRef]
- Yuan, J.; Wang, Y.; Zhao, X.; Chen, H.; Chen, G.; Wang, S. Seven years of biochar amendment has a negligible effect on soil available P and a progressive effect on organic C in paddy soils. Biochar 2022, 4, 1. [Google Scholar] [CrossRef]
- Luo, S.; Zhu, L.; Liu, J.; Bu, L.; Yue, S.; Shen, Y.; Li, S. Sensitivity of soil organic carbon stocks and fractions to soil surface mulching in semiarid farmland. Eur. J. Soil Biol. 2015, 67, 35–42. [Google Scholar] [CrossRef]
- Chaudhary, S.; Dheri, G.S.; Brar, B.S. Long-term effects of NPK fertilizers and organic manures on carbon stabilization and management index under rice-wheat cropping system. Soil Tillage Res. 2017, 166, 59–66. [Google Scholar] [CrossRef]
- Wang, W.; Lai, D.Y.F.; Wang, C.; Pan, T.; Zeng, C. Effects of rice straw incorporation on active soil organic carbon pools in a subtropical paddy field. Soil Tillage Res. 2015, 152, 8–16. [Google Scholar] [CrossRef]




| Treatment | N Inputs (kg ha–1) | C Inputs (kg ha–1) | |||||
|---|---|---|---|---|---|---|---|
| Chemical Fertilizer | Pig Manure | Corn Straw | Total | Pig Manure | Corn Straw | Total | |
| Spring cabbage season | |||||||
| CN | 300.0 | 0.0 | 0.0 | 300.0 | 0.0 | 0.0 | 0.0 |
| MN | 225.0 | 75.0 | 0.0 | 300.0 | 665.5 | 0.0 | 665.5 |
| 2MN | 150.0 | 150.0 | 0.0 | 300.0 | 1331.0 | 0.0 | 1331.0 |
| MSN | 150.0 | 75.0 | 75.0 | 300.0 | 665.5 | 2733.8 | 3409.3 |
| SN | 225.0 | 0.0 | 75.0 | 300.0 | 0.0 | 2733.8 | 2733.8 |
| Autumn Chinese cabbage season | |||||||
| CN | 300.0 | 0.0 | 0.0 | 300.0 | 0.0 | 0.0 | 0.0 |
| MN | 225.0 | 75.0 | 0.0 | 300.0 | 692.9 | 0.0 | 692.9 |
| 2MN | 150.0 | 150.0 | 0.0 | 300.0 | 1385.8 | 0.0 | 1385.8 |
| MSN | 150.0 | 75.0 | 75.0 | 300.0 | 692.9 | 2969.1 | 3662.0 |
| SN | 225.0 | 0.0 | 75.0 | 300.0 | 0.0 | 2969.1 | 2969.1 |
| Treatment | CVL (g kg–1) | CL (g kg–1) | CA (g kg–1) | CLL (g kg–1) | CNL (g kg–1) | CP (g kg–1) | LI | CPI | CMI | SI |
|---|---|---|---|---|---|---|---|---|---|---|
| CN | 2.63 ± 0.17 d | 1.62 ± 0.10 d | 4.26 ± 0.27 e | 0.74 ± 0.03 c | 1.94 ± 0.03 d | 2.69 ± 0.07 d | 1.71 ± 0.02 e | 1.06 ± 0.05 d | 181.40 ± 11.46 d | 0.66 ± 0.01 ab |
| MN | 3.35 ± 0.07 c | 2.31 ± 0.07 c | 5.67 ± 0.13 d | 0.74 ± 0.04 c | 2.35 ± 0.04 b | 3.10 ± 0.07 c | 1.76 ± 0.01 d | 1.34 ± 0.03 c | 235.38 ± 5.47 c | 0.65 ± 0.02 ab |
| 2MN | 4.34 ± 0.15 b | 2.71 ± 0.11 b | 7.05 ± 0.26 b | 0.96 ± 0.07 c | 2.64 ± 0.13 a | 3.60 ± 0.18 b | 1.82 ± 0.01 c | 1.62 ± 0.07 b | 295.85 ± 11.20 b | 0.69 ± 0.02 a |
| MSN | 5.43 ± 0.13 a | 3.01 ± 0.10 a | 8.43 ± 0.14 a | 1.94 ± 0.14 a | 2.15 ± 0.05 c | 4.20 ± 0.11 a | 1.94 ± 0.02 a | 1.91 ± 0.01 a | 369.71 ± 3.76 a | 0.51 ± 0.03 c |
| SN | 4.20 ± 0.10 b | 2.29 ± 0.08 c | 6.49 ± 0.16 c | 1.54 ± 0.15 b | 2.05 ± 0.04 cd | 3.59 ± 0.19 b | 1.86 ± 0.01 b | 1.54 ± 0.05 b | 285.70 ± 8.57 b | 0.63 ± 0.02 b |
| Treatments | Alkyl C (%) | O-Alkyl C (%) | Aromatic C (%) | Carbonyl C (%) | OA/A | HI | AI |
|---|---|---|---|---|---|---|---|
| CN | 26.72 | 31.07 | 25.17 | 17.03 | 1.16 | 1.08 | 30.34 |
| MN | 26.65 | 31.17 | 25.15 | 17.02 | 1.17 | 1.08 | 30.31 |
| 2MN | 26.66 | 31.40 | 25.13 | 16.81 | 1.18 | 1.07 | 30.21 |
| MSN | 25.87 | 34.94 | 22.59 | 16.60 | 1.35 | 0.94 | 27.09 |
| SN | 25.87 | 35.50 | 22.48 | 16.14 | 1.37 | 0.94 | 26.81 |
| Factor | SOC | POC | DOC | MBC | ROC | CMI | Yield | SI |
| SOC | 1 | |||||||
| POC | 0.896 ** | 1 | ||||||
| DOC | 0.937 ** | 0.957 ** | 1 | |||||
| MBC | 0.875 ** | 0.946 ** | 0.962 ** | 1 | ||||
| ROC | 0.991 ** | 0.935 ** | 0.964 ** | 0.912 ** | 1 | |||
| CMI | 0.997 ** | 0.919 ** | 0.958 ** | 0.901 ** | 0.997 ** | 1 | ||
| yield | 0.596 * | 0.500 | 0.516 * | 0.553 * | 0.576 * | 0.580 * | 1 | |
| SI | −0.622 * | −0.764 ** | −0.732 ** | −0.756 ** | −0.699 ** | −0.670 ** | −0.345 | 1 |
Disclaimer/Publisher’s Note: The statements, opinions and data contained in all publications are solely those of the individual author(s) and contributor(s) and not of MDPI and/or the editor(s). MDPI and/or the editor(s) disclaim responsibility for any injury to people or property resulting from any ideas, methods, instructions or products referred to in the content. |
© 2025 by the authors. Licensee MDPI, Basel, Switzerland. This article is an open access article distributed under the terms and conditions of the Creative Commons Attribution (CC BY) license (https://creativecommons.org/licenses/by/4.0/).
Share and Cite
Wang, Y.; Wang, L.; Li, R.; Wang, H.; Wu, G.; Wen, X.; Huang, S.; Wang, X.; Liu, C. Long-Term Organic Substitution Regimes Affect Open-Field Vegetable Yields and Soil Organic Carbon Stability by Regulating Soil Labile Organic Carbon Fractions’ Changes. Agronomy 2025, 15, 396. https://doi.org/10.3390/agronomy15020396
Wang Y, Wang L, Li R, Wang H, Wu G, Wen X, Huang S, Wang X, Liu C. Long-Term Organic Substitution Regimes Affect Open-Field Vegetable Yields and Soil Organic Carbon Stability by Regulating Soil Labile Organic Carbon Fractions’ Changes. Agronomy. 2025; 15(2):396. https://doi.org/10.3390/agronomy15020396
Chicago/Turabian StyleWang, Yaling, Linxuan Wang, Ruonan Li, He Wang, Guohan Wu, Xinyue Wen, Shaowen Huang, Xiubin Wang, and Chunjing Liu. 2025. "Long-Term Organic Substitution Regimes Affect Open-Field Vegetable Yields and Soil Organic Carbon Stability by Regulating Soil Labile Organic Carbon Fractions’ Changes" Agronomy 15, no. 2: 396. https://doi.org/10.3390/agronomy15020396
APA StyleWang, Y., Wang, L., Li, R., Wang, H., Wu, G., Wen, X., Huang, S., Wang, X., & Liu, C. (2025). Long-Term Organic Substitution Regimes Affect Open-Field Vegetable Yields and Soil Organic Carbon Stability by Regulating Soil Labile Organic Carbon Fractions’ Changes. Agronomy, 15(2), 396. https://doi.org/10.3390/agronomy15020396
