Restoring Soil Health: A Study on Effective Microorganisms and Maize Straw Applications
Abstract
1. Introduction
2. Materials and Methods
2.1. Study Description
2.2. Test Material
2.3. Experimental Design
2.4. Sample Collection and Observation
2.4.1. Soil Sampling
2.4.2. Physicochemical Soil Analyses
2.4.3. Soil Enzyme Activities
2.4.4. Soil Microbial Community Diversity
2.5. Soil Quality Assessment Methods
2.5.1. Construction of the Minimum Data Set
2.5.2. Soil Quality Assessment
2.6. Statistical Analysis
3. Results
3.1. Effects of Different Ratios of Maize Straw and EM Agents on Soil Properties in Dump
3.1.1. Soil Physical Properties
3.1.2. Soil Chemical Properties
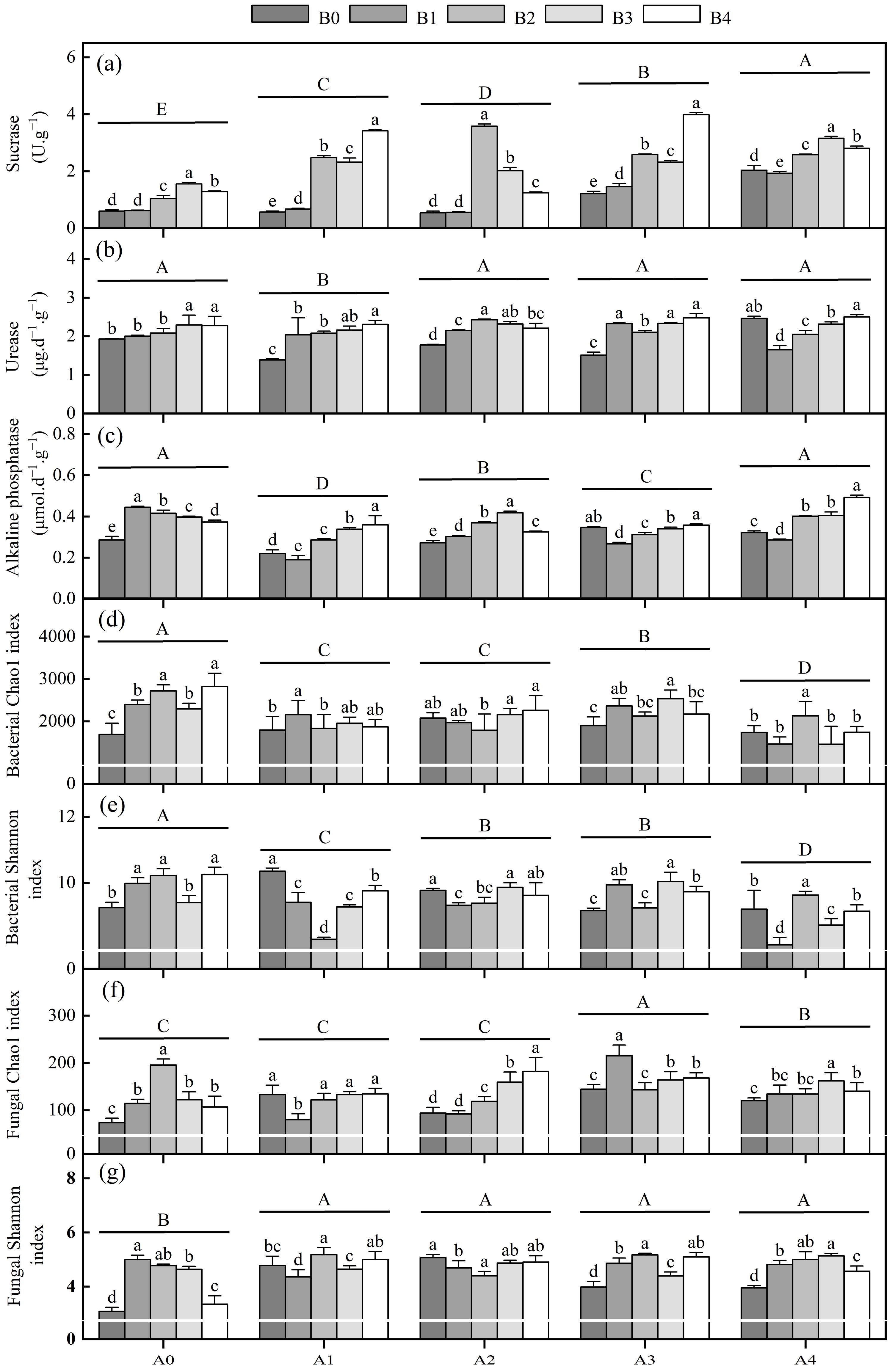
3.1.3. Soil Biological Properties
3.2. Establishment of a Minimum Data Set for Soil Quality Evaluation
4. Discussion
5. Conclusions
- (1)
- Both Effective Microorganism (EM) agents and maize straw improved the soil properties of the dump, significantly reducing the bulk density and increasing the soil’s porosity, nutrients, enzyme activity, and microbial diversity index. The best straw dosage was the one used in the B4 treatment (maize straw dosage: 20 g·kg−1; conversion: 13.5 t·ha−1).
- (2)
- In this study, a minimum data set for soil quality evaluation was constructed by means of correlation analysis and principal component analysis of 19 selected physicochemical and biological indicators for the soil. Five indicators—the bulk density, available potassium, alkaline phosphatase, bacterial Chao1 index, and fungal Shannon index—were screened by combining them with the Norm value. There was a significant positive correlation between the soil quality indices (SQIs) that were calculated from different data sets, which indicated that the screened minimum data set could be a good alternative to the total data set for evaluating the soil quality of the dumps of the open-pit mining area.
- (3)
- Both Effective Microorganism agents, maize straw, and their interaction had significant effects on the soil quality index (SQI), with the A1B4 treatment (Effective Microorganism agents dosage: 0.1 g·kg−1; maize straw dosage: 20 g·kg−1; conversion: Effective Microorganisms 67.5 kg·ha−1, maize straw 13.5 t·ha−1) achieving the highest SQI, which was 152.6% higher than that of the A0B0 (CK) treatment.
- (4)
- Through potting experiments, the two soil conditioners were found to promote each other and produce positive effects for soil reclamation in mining areas. However, field trials are required to validate the results of this study. Furthermore, it is necessary to consider the long-term sustainability of the study, taking the growth conditions and fruit yields of Cerasus humilis (Bunge) Sok into account.
Author Contributions
Funding
Data Availability Statement
Acknowledgments
Conflicts of Interest
References
- Zhen, Q.; Ma, W.M.; Li, M.M.; He, H.H.; Zhang, X.C.; Wang, Y. Effects of vegetation and physicochemical properties on solute transport in reclaimed soil at an opencast coal mine site on the Loess Plateau, China. Catena 2015, 133, 403–411. [Google Scholar] [CrossRef]
- Lei, H.; Peng, Z.; Yigang, H.; Yang, Z. Vegetation and soil restoration in refuse dumps from open pit coal mines. Ecol. Eng. 2016, 94, 638–646. [Google Scholar] [CrossRef]
- Li, X.; Bi, Y.L.; Du, S.Z.; Wang, Y.; Guo, C. Effects of re-vegetation type and arbuscular mycorrhizal fungal inoculation on soil enzyme activities and microbial biomass in coal mining subsidence areas of Northern China. Catena 2019, 177, 202–209. [Google Scholar] [CrossRef]
- Liu, J.; Zhang, S.W.; Song, G.F.; Wang, Y.; Zhu, Y.F.; Lu, S.J.; Lan, M.; Xia, S.S. Bacterial community structure of reclaimed soil and its relationship with soil fertility. Trans. Chin. Soc. Agric. Eng. Trans. CSAE 2021, 37, 124–133. [Google Scholar] [CrossRef]
- Kuang, X.Y.; Cao, Y.G.; Luo, G.B.; Li, S.Z.; Bai, Z.K. Analysis of biomass differences in Melilotus suaveolens Ledeb. based on different ratios of reconstructed soil materials. J. Agric. Resour. Environ. 2019, 36, 453–461. [Google Scholar]
- Hou, D.Y.; Ding, Z.Y.; Li, G.H.; Wu, L.H.; Hu, P.J.; Guo, G.L.; Wang, X.R.; Ma, Y.; O’Connor, D.; Wang, X.H. A sustainability assessment framework for agricultural land remediation in China. Land Degrad. Dev. 2018, 29, 1005–1018. [Google Scholar] [CrossRef]
- Bi, Y.L.; Guo, C.; Wang, K. Research progress of biological improvement of reclaimed soil in coal mining area. Coal Sci. Technol. 2020, 48, 52–59. [Google Scholar]
- Zhang, L.; Hou, K.; Zhang, Q.; He, S.F.; Long, G.L.; Yin, L.C.; Zhu, H.M.; Tian, C.; Luo, G.W.; Rong, X.M.; et al. Partial substitution of chemical fertilizers with maize straw: Seeking long-term improvement of rice yield by raising quality indicators of a red paddy soil. Land Degrad. Dev. 2022, 33, 3748–3760. [Google Scholar] [CrossRef]
- Rong, Y. The Study on the Formulation, Application Method and Mechanism of Sponge-Nutrient Soil in the Western Opencast Mining Areas. Ph.D Thesis, University of Mining & Technology, Beijing, China, 2018. [Google Scholar]
- Ma, Y.L.; Shi, H.K.; Zhang, S.K.; Lv, R.H. Whole maize straw addition: The changes of soil physical and chemical properties and the effect on winter wheat. J. China Agric. Univ. 2003, 8 (Suppl. S1), 42–46. [Google Scholar]
- Xia, X.Y.; Zhang, P.P.; He, L.L.; Gao, X.X.; Li, W.J.; Zhou, Y.Y.; Li, Z.X.; Li, H.; Yang, L. Effects of tillage managements and maize straw returning on soil microbiome using 16S rDNA sequencing. J. Integr. Plant Biol. 2019, 61, 765–777. [Google Scholar] [CrossRef]
- Mao, Y.N. Effects of EM on Microbial Diversity and Activity in Rhizosphere Soil of Bletilla striata. Master’s Thesis, Shaanxi University of Technology, Hanzhong, China, 2019. [Google Scholar]
- Fan, S.; Li, Z.; Xu, Q.; Sun, Q.; Lu, Y.; Sha, C.; Zheng, J. Effects of mixed application of biochar, EM bacteria organic fertilizer and chemical fertilizer on soil fertility, tree growth and fruit quality in peach orchard. Soil Fertil. Sci. China 2022, 11, 77–82. [Google Scholar] [CrossRef]
- Sun, C.H.; Chen, L.Y.; Chen, J.; Gun, L.L.; Ao, J.; Wang, Z.X. Effect of Microbial Preparation on the Degradation and Number of Microbiology of the Straw. J. Microbiol. 2023, 43, 84–89. [Google Scholar] [CrossRef]
- Zhao, W.; Huang, L.M. Deciphering spatial variability and dominant controls of soil quality under four types of grassland along a southeast-northwest transect in Tibet, southwestern China. Catena 2024, 243, 108221. [Google Scholar] [CrossRef]
- Lu, Z.J.; Wang, H.S.; Wang, Z.X.; Liu, J.Z.; Li, Y.T.; Xia, L.; Song, S.X. Critical steps in the restoration of coal mine soils: Microbial-accelerated soil reconstruction. J. Environ. Manag. 2024, 368, 122200. [Google Scholar] [CrossRef] [PubMed]
- Dong, X.H.; Liu, L.; Li, J.F.; Du, J.F.; Wang, P.F.; Zhang, J.C. Soil and Water Conservation Function of Cerasus Humilis in Hilly-gully Region of Loess Plateau. Bull. Soil Water Conserv. 2016, 36, 242–247. [Google Scholar] [CrossRef]
- Cha, T. Determination of soil physical properties. In Physical and Chemical Analysis of Soil; China Forestry Publishing House: Beijing, China, 2017; pp. 27–56. [Google Scholar]
- Bao, S. Soil and Agricultural Chemistry Analysis, 3rd ed.; China Agriculture Press: Beijing, China, 2000; pp. 25–114. [Google Scholar]
- Guan, S. Soil Enzymes and Their Research Methodologies, 1st ed.; China Agriculture Press: Beijing, China, 1986; pp. 274–331. [Google Scholar]
- Jin, H.F.; Shi, D.M.; Chen, Z.F.; Liu, Y.J.; Lou, Y.B.; Yang, X. Evaluation indicators of cultivated layer soil quality for red soil slope farmland based on cluster and PCA analysis. Trans. Chin. Soc. Agric. Eng. Trans. CSAE 2018, 34, 155–164. [Google Scholar] [CrossRef]
- Yuan, Y.; Wang, H.; Luo, Y.; Sui, P.X.; Li, R.P.; Zheng, H.B.; Piao, J.; Liu, W.R.; Zheng, J.Y. Evaluation of Tillage Practices on the Soil Quality of Black Soil Farmland Based on the Minimum Data Set. J. Maize Sci. 2023, 31, 148–157. [Google Scholar] [CrossRef]
- Mei, N.; Liu, L.; Sui, P.X.; Zhang, W.K.; Tian, P.; Wang, F.; Su, S.H.; Wang, M.J.; Meng, G.X.; Qi, H. Effects of Tillage and Straw Management on Brown Soil Physical and Chemical Properties and Maize Yield. J. Maize Sci. 2017, 25, 87–94. [Google Scholar] [CrossRef]
- Shen, Y.; Chen, H. The Progress of Study on Soil Improvement Research with Straw Stalk. Chin. Agric. Sci. Bull. 2009, 25, 291–294. [Google Scholar]
- Wang, W.; Liu, G.; Wang, Z. Screening of maize stover degradation complex strains and fermentation to produce short chain fatty acids. Hubei Agric. Sci. 2024, 63, 55–58. [Google Scholar] [CrossRef]
- Zhang, Z.G.; Dong, C.J.; Gao, P.; Shang, Q.M. Greenhouse Pepper Cultivation Improved with Vegetable Residue Compost and Microbial Agents in Soil. Acta Boreali Occident. Sin. 2011, 31, 1243–1249. [Google Scholar]
- Hu, C.; Cao, Z.P.; Luo, Y.R.; Ma, Y.L. Effect of long-term application of microorganismic compost or vermicompost on soil fertility and microbial biomass carbon. Chin. J. Eco Agric. 2007, 3, 48–51. [Google Scholar]
- Yang, X.J.; He, H.; Cheng, L.Y.; Chang, X.J.; Li, S.; Yu, M.M.; Wang, B.Q.; Li, J.H. Effects of Organic Materials Applied to Saline Soil on Crop Growth and Soil Saline-alkali Index. Environ. Sci. 2024, 1–18. [Google Scholar] [CrossRef]
- Jin, Z.Q.; Shah, T.; Zhang, L.; Liu, H.Y.; Peng, S.B.; Nie, L.X. Effect of straw returning on soil organic carbon in rice–wheat rotation system: A review. Food Energy Secur. 2020, 9, e200. [Google Scholar] [CrossRef]
- Gil, S.F.; Trasar, C.C.; Leirós, M.; Seoane, S. Different approaches to evaluating soil quality using biochemical properties. Soil Biol. Biochem. 2005, 37, 877–887. [Google Scholar] [CrossRef]
- Wang, F.; Zhang, J.S.; Gao, P.C.; Tong, Y.A. Effect of application of different organic materials on soil microbiological properties and soil fertility in Weibei in rainfed high land. Plant Nutr. Fertil. Sci. 2011, 17, 702–709. [Google Scholar]
- Shan, D.; He, J.L.; Xing, E.D.; Rong, H.; Liu, Y.P. Effects of microbial fertilizer on microorganism and enzyme activity in coal mine dump of typical steppe. Bull. Soil Water Conserv. 2017, 37, 81–85. [Google Scholar] [CrossRef]
- Lu, P.N.; Liu, J.H.; Zhang, F.Y. Effects of microbial fertilizer and straw returned on soil characteristics of oat in saline-alkali land. J. North. Agric. 2017, 45, 37–42. [Google Scholar] [CrossRef]
- Akhtar, K.; Wang, W.Y.; Khan, A.; Ren, G.X.; Zaheer, S.; Sial, T.; Feng, Y.Z.; Yang, G.H. Straw mulching with fertilizer nitrogen: An approach for improving crop yield, soil nutrients and enzyme activities. Soil Use Manag. 2019, 35, 526–535. [Google Scholar] [CrossRef]
- Zhou, Y.Y.; Jiao, F. Effects of Nitrogen Fertilizer Reduction on Soil Fungal Diversity in Paddy Field under Continuous Straw Returning. J. Heilongjiang Bayi Agric. Univ. 2024, 36, 1–8. [Google Scholar]
- Jin, C.E.; Ji, Q.; Wang, Y.L.; Wang, R.; He, J.Q.; Lei, J.Y. Effects of different fertilization measures on soil enzyme activity and microbial diversity in dryland of southern Ningnan. Soil Fertil. Sci. China 2023, 12, 40–49. [Google Scholar]
- Wang, Y.L.; Liang, Y.; Cai, H.G.; Xu, K.N.; Zhang, S.M.; Zhang, C.; Fan, W.; Yuan, J.C.; Liu, J.Z.; Ren, J. Soil Quality Evaluation of Black Soil under Different Returning Treatments of Organic Materials Based on Minimum Data Set. Chin. J. Soil Sci. 2024, 55, 68–75. [Google Scholar] [CrossRef]
- Li, X.; Zhang, W.J.; Wu, L.; Ren, Y.; Zhang, J.D.; Xu, M.G. Advance in Indicator Screening and Methodologies of Soil Quality Evaluation. Sci. Agric. Sin. 2021, 54, 3043–3056. [Google Scholar] [CrossRef]
- Mei, N.; Gu, Y.; Li, D.Z.; Liang, Y.; Yuan, J.C.; Liu, J.Z.; Ren, J.; Cai, H.G. Soil quality evaluation in topsoil layer of black soil in Jilin Province based on minimum data set. Trans. Chin. Soc. Agric. Eng. Trans. CSAE 2021, 37, 91–98. [Google Scholar] [CrossRef]
- Shi, D.P.; Ye, Z.Z.; Li, H.T.; Lv, S.Q.; Wang, L.Q.; Zhou, C.J. Effects of combined application of biochar and nitrogen fertilizer on soil quality. Chin. J. Appl. Ecol. 2023, 34, 442–450. [Google Scholar] [CrossRef]
- Wang, S.Q.; Luo, Z.Z.; Niu, Y.N.; Cai, L.Q.; Liu, J.H.; Li, L.Z. Soil Quality Evaluation of Alfalfa Fields in Semi-arid Areas of the Loess Plateau Based on Minimum Data Set. Chin. J. Grassl. 2023, 45, 81–90. [Google Scholar] [CrossRef]
- Li, Z.X.; Li, J.H.; Li, T.T.; Zhang, Q.; Gao, C.H.; Lu, J.J.; Jin, D.S.; Xu, M.G. Effects of functional microbial agents on the microbial community and fertility of reclaimed soil in a coal mining area. Environ. Technol. Innov. 2024, 36, 103891. [Google Scholar] [CrossRef]






| Treatment | Factor A | Factor B |
|---|---|---|
| EM Agent Dosage (g/kg) | Miaze Straw Dosage (g/kg) | |
| A0B0(CK) | 0 | 0 |
| A0B1 | 0 | 5 |
| A0B2 | 0 | 10 |
| A0B3 | 0 | 15 |
| A0B4 | 0 | 20 |
| A1B0 | 0.1 | 0 |
| A1B1 | 0.1 | 5 |
| A1B2 | 0.1 | 10 |
| A1B3 | 0.1 | 15 |
| A1B4 | 0.1 | 20 |
| A2B0 | 0.2 | 0 |
| A2B1 | 0.2 | 5 |
| A2B2 | 0.2 | 10 |
| A2B3 | 0.2 | 15 |
| A2B4 | 0.2 | 20 |
| A3B0 | 0.3 | 0 |
| A3B1 | 0.3 | 5 |
| A3B2 | 0.3 | 10 |
| A3B3 | 0.3 | 15 |
| A3B4 | 0.3 | 20 |
| A4B0 | 0.4 | 0 |
| A4B1 | 0.4 | 5 |
| A4B2 | 0.4 | 10 |
| A4B3 | 0.4 | 15 |
| A4B4 | 0.4 | 20 |
| BD | WC | STP | SCP | SOM | pH | TN | |
|---|---|---|---|---|---|---|---|
| A | 8.067 *** | 6.12 *** | 7.845 *** | 3.718 ** | 1.799 ns | 25.274 *** | 7.966 *** |
| B | 10.602 *** | 1.023 ns | 16.656 *** | 14.609 *** | 19.542 *** | 29.807 *** | 16.245 *** |
| A × B | 2.458 ** | 1.523 ns | 1.752 * | 1.527 ns | 2.194 * | 9.035 *** | 3.382 *** |
| AN | TP | AP | TK | AK | SU | UR | |
| A | 4.287 ** | 4.663 ** | 15.723 *** | 12.41 *** | 10.838 *** | 1539.669 *** | 9.408 *** |
| B | 2.986 * | 0.49 ns | 15.999 *** | 4.767 ** | 63.648 *** | 2660.103 *** | 68.512 *** |
| A × B | 2.277 ** | 2.765 ** | 3.459 *** | 0.996 ns | 6.361 *** | 389.255 *** | 18.821 *** |
| ALP | BCI | BSI | FCI | FSI | |||
| A | 280.447 *** | 29.511 *** | 57.896 *** | 37.286 *** | 44.611 *** | ||
| B | 292.359 *** | 7.005 *** | 11.728 *** | 23.466 *** | 50.987 *** | ||
| A × B | 75.336 *** | 6.519 *** | 33.661 *** | 21.487 *** | 33.656 *** |
| KMO Sampling Fitness Measure | 0.536 | |
|---|---|---|
| Bartlett’s test of sphericity | Approximate chi-square | 393.755 |
| Degrees of freedom | 171 | |
| Significance | 0.000 | |
| Indicator | Principal Component | Group | Norm | ||||
|---|---|---|---|---|---|---|---|
| 1 | 2 | 3 | 4 | 5 | |||
| STP | 0.77 | −0.513 | −0.253 | 0.015 | −0.014 | 1 | 2.283 |
| SCP | 0.828 | −0.014 | −0.036 | 0.304 | −0.149 | 1 | 2.256 |
| SOM | 0.844 | −0.285 | 0.057 | −0.099 | −0.096 | 1 | 2.325 |
| pH | −0.719 | −0.311 | −0.114 | −0.072 | 0.081 | 1 | 2.015 |
| TN | 0.88 | 0.084 | −0.112 | 0.047 | 0.002 | 1 | 2.372 |
| AN | 0.62 | 0.165 | −0.266 | 0.028 | −0.323 | 1 | 1.765 |
| AP | 0.606 | 0.472 | 0.364 | −0.237 | 0.165 | 1 | 1.928 |
| TK | 0.506 | −0.444 | −0.419 | 0.063 | 0.324 | 1 | 1.715 |
| AK | 0.912 | 0.021 | −0.168 | −0.191 | 0.064 | 1 | 2.471 |
| SU | 0.757 | 0.46 | 0.052 | −0.135 | 0.015 | 1 | 2.192 |
| UR | 0.765 | 0.075 | 0.319 | −0.219 | −0.196 | 1 | 2.135 |
| BD | −0.721 | 0.54 | 0.292 | 0.008 | 0.051 | 2 | 2.195 |
| WC | 0.119 | 0.492 | −0.486 | 0.349 | 0.204 | 2 | 1.251 |
| BSI | 0.018 | −0.69 | 0.417 | 0.275 | 0.017 | 2 | 1.392 |
| BCI | 0.136 | −0.701 | 0.555 | 0.237 | −0.218 | 3 | 1.558 |
| FCI | 0.253 | 0.2 | 0.639 | 0.461 | 0.145 | 3 | 1.335 |
| FSI | 0.336 | 0.301 | −0.005 | 0.705 | 0.305 | 4 | 1.374 |
| TP | 0.073 | 0.558 | 0.219 | 0.105 | −0.513 | 5 | 1.180 |
| ALP | 0.428 | 0.021 | 0.535 | −0.394 | 0.537 | 5 | 1.569 |
| Eigenvalue | 7.198 | 3.056 | 2.15 | 1.403 | 1.075 | ||
| Variance contribution (%) | 37.887 | 16.083 | 11.316 | 7.384 | 5.658 | ||
| Cumulative variance contribution (%) | 37.887 | 53.97 | 65.286 | 72.671 | 78.329 | ||
| Indicator | Total Data Set (TDS) | Minimum Data Set (MDS) | ||
|---|---|---|---|---|
| Communality | Weight | Communality | Weight | |
| BD | 0.899 | 0.060 | 0.725 | 0.235 |
| STP | 0.921 | 0.062 | ||
| SCP | 0.802 | 0.054 | ||
| WC | 0.656 | 0.044 | ||
| SOM | 0.817 | 0.055 | ||
| pH | 0.638 | 0.043 | ||
| TN | 0.797 | 0.054 | ||
| AN | 0.587 | 0.039 | ||
| TP | 0.639 | 0.043 | ||
| AP | 0.806 | 0.054 | ||
| TK | 0.737 | 0.050 | ||
| AK | 0.901 | 0.061 | 0.822 | 0.226 |
| ALP | 0.913 | 0.061 | 0.327 | 0.106 |
| SU | 0.805 | 0.054 | ||
| UR | 0.779 | 0.052 | ||
| BCI | 0.921 | 0.062 | 0.773 | 0.251 |
| BSI | 0.726 | 0.049 | ||
| FCI | 0.746 | 0.050 | ||
| TSI | 0.793 | 0.053 | 0.438 | 0.142 |
Disclaimer/Publisher’s Note: The statements, opinions and data contained in all publications are solely those of the individual author(s) and contributor(s) and not of MDPI and/or the editor(s). MDPI and/or the editor(s) disclaim responsibility for any injury to people or property resulting from any ideas, methods, instructions or products referred to in the content. |
© 2025 by the authors. Licensee MDPI, Basel, Switzerland. This article is an open access article distributed under the terms and conditions of the Creative Commons Attribution (CC BY) license (https://creativecommons.org/licenses/by/4.0/).
Share and Cite
Chen, S.; Zhang, Q.; Liu, T.; Yan, M.; Shao, L.; Jia, Z. Restoring Soil Health: A Study on Effective Microorganisms and Maize Straw Applications. Agronomy 2025, 15, 365. https://doi.org/10.3390/agronomy15020365
Chen S, Zhang Q, Liu T, Yan M, Shao L, Jia Z. Restoring Soil Health: A Study on Effective Microorganisms and Maize Straw Applications. Agronomy. 2025; 15(2):365. https://doi.org/10.3390/agronomy15020365
Chicago/Turabian StyleChen, Shichao, Qing Zhang, Tongtong Liu, Min Yan, Luying Shao, and Zhi Jia. 2025. "Restoring Soil Health: A Study on Effective Microorganisms and Maize Straw Applications" Agronomy 15, no. 2: 365. https://doi.org/10.3390/agronomy15020365
APA StyleChen, S., Zhang, Q., Liu, T., Yan, M., Shao, L., & Jia, Z. (2025). Restoring Soil Health: A Study on Effective Microorganisms and Maize Straw Applications. Agronomy, 15(2), 365. https://doi.org/10.3390/agronomy15020365
