Next Article in Journal
Rice–Potato Rotation Pattern Affects 2-Acetyl-1-Pyrroline Biosynthesis and Productivity in Aromatic Rice Grains
Previous Article in Journal
Evaluation of the Effects of Degradable Mulching Film on the Growth, Yield and Economic Benefit of Garlic
 
 
Font Type:
Arial Georgia Verdana
Font Size:
Aa Aa Aa
Line Spacing:
Column Width:
Background:
Article

Effect of Synthetic and Biological Plant Growth Stimulants and Soil Amendments on the Development of Maize in Various Soil Moisture Conditions

by
Monika Grzanka
1,*,
Łukasz Sobiech
1,
Romana Głowicka-Wołoszyn
2 and
Dominika Radzikowska-Kujawska
1
1
Department of Agronomy, Faculty of Agriculture, Horticulture and Biotechnology, Poznań University of Life Sciences, Wojska Polskiego 28 St., 60-637 Poznań, Poland
2
Department of Finance and Accounting, Poznań University of Life Sciences, Wojska Polskiego 28 St., 60-637 Poznań, Poland
*
Author to whom correspondence should be addressed.
Agronomy 2025, 15(1), 96; https://doi.org/10.3390/agronomy15010096
Submission received: 8 November 2024 / Revised: 18 December 2024 / Accepted: 30 December 2024 / Published: 31 December 2024
(This article belongs to the Section Soil and Plant Nutrition)

Abstract

Currently, methods are being sought to reduce the effects of drought. The conducted research tested the effect of potassium polyacrylate, β-cyclocitral, and Rhizophagus irregularis on the development of maize (Zea mays L.). The first of the substances mentioned was mixed with the soil; the others were used as seed dressings. The effect of substances and microorganisms on the height and weight of plants, chlorophyll fluorescence and the gas exchange between the soil and the atmosphere was tested in greenhouse conditions. Plant development was tested at optimal soil moisture levels and in drought conditions. Field experiment determined the effect of the abovementioned preparations on the height of maize, the level of grain yield and seed parameters. The hydrothermal index was calculated for the entire vegetative season of plants. All preparations used had a positive effect on the development of test plants. Significant improvement was found for many parameters compared to the control combination plants, including maize weight and grain yield. This was confirmed for various soil moisture conditions. An increase in grain yield was noted by 0.6–1.3 t ha−1 compared to the control. The tested substances and microorganisms may, therefore, be a good solution for protecting plants against the effects of drought.

1. Introduction

Water shortages are one of the factors that limit crop yields in the world [1]. Decreased maize yields caused by insufficient water may contribute to the deterioration of the economic situation of many people in various regions of the world [2]. It is worth remembering that maize is one of the most important crops in the world. Maize is grown for food, feed, industrial and biogas purposes [3]. An important aspect of plant production is counteracting drought stress by using various crop techniques, appropriate retention and the selection of resistant species and varieties of cultivated plants [4]. Appropriate growth stimulants and microorganisms may also be helpful in reducing drought stress [5]. Water shortages are observed in many agriculturally important regions of the world [6]. Searching for further solutions to reduce drought’s impact on plant production is important in the context of ensuring food security.
One of the substances that have a high ability to store water is potassium polyacrylate. These types of chemical compounds are classified as super-absorbent polymers [7,8]. Such polymers are used in construction, the production of hygiene products, pharmaceutical, textile industries and also in agriculture [9]. Potassium polyacrylate absorbs and retains water, and when mixed with the soil, it optimizes its moisture. The benefits of using this type of preparation include reducing the risk of drought stress and the possibility of reducing the amount of fertilizers used because they can be used as carriers of fertilizer ingredients [10]. Additionally, super-absorbent polymers limit the effects of heavy metals contained in the soil on plants. This type of substance mitigates the effects of salinity and prevents erosion [11]. Super-absorbent polymers are biodegradable and environmentally safe [12]. However, attention is drawn to the need to test the effectiveness of potassium polyacrylate in agricultural crops in the natural environment under various conditions [13].
The way to counteract drought stress is to use substances that improve root growth [14]. One of the substances that has recently been studied for its beneficial effect on the development of the root system is β-cyclocitral. It is responsible for the expression of nuclear genes through various signaling pathways [15,16]. β-cyclocitral is involved, among others, in attracting pollinators, and gives flavor and aroma to various species of vegetables, fruits and ornamental plants [17]. It is produced as a result of the oxidation of β-carotene. In plants, it also serves as a stress signal, which in various ways affects the tolerance of plants to unfavorable environmental conditions [18]. Detailed research is being carried out on how this substance affects the response of plants to stress factors [19].
The phenomenon that facilitates the uptake of water and nutrients by plants is mycorrhiza [20]. Mycorrhizal fungi occur in the natural environment, but their number varies depending on the location [21]. Microorganisms in plant production are used for various purposes—binding nutrients and making them available to plants, protection, and biostimulation of plants [22,23]. Glomus sp. fungi (also known as Rhizophagus) can be used to reduce plant stress caused by various abiotic factors [24,25]. The type of mycorrhiza that is associated with these fungi is arbuscular mycorrhiza [26]. It involves the penetration of the cell walls of the host plant roots by the fungal hyphae, resulting in the formation of so-called arbuscules. However, there is usually no exchange of cytoplasm between fungal and plant cells because it is separated by the fungal cell wall and plasma membranes [27].
In agriculture, several action strategies are sometimes combined, for example, the use of tank mixtures of plant protection products or the combination of non-chemical and chemical methods [28,29]. This often gives better results, but it sometimes happens that the combined use of several preparations causes their antagonism, i.e., the products work worse together than a single solution [30], which is why the combined effects of the test agents were also tested. In the context of the challenges posed by the need to find new ways to reduce plant stress caused by drought, greenhouse and field experiments were conducted.
The aim of the study was to determine the effect of potassium polyacrylate, β-cyclocitral and endomycorrhizal fungi Rhizophagus irregularis on the development of maize, the crop yield level and selected physiological parameters in greenhouse and field conditions. The research hypothesis assumes that the use of individual preparations will have a positive effect on plant development, and the best solution will be the combined use of individual variants.

2. Materials and Methods

2.1. Greenhouse Research

In the greenhouse experiment, β-cyclocitral (POL-AURA SP. z o.o., Morąg, Poland), potassium polyacrylate (AgroNanoGel Basic, Beauty Care Solutions Sp. z o.o., Warsaw, Poland) and a liquid formulation (245 spores gram−1) of Rhizophagus irregularis (previously known as Glomus intraradices (Poznań University of Life Sciences, Poznań, Poland) were used. Their impact on the development of Farmoritz maize under conditions of optimal soil moisture and drought stress was assessed.
The photoperiod in the greenhouse was kept at the level of 16 h day: 8 h night. Natural sunlight was supplemented with LED lamps. Air humidity in the greenhouse was maintained at 50–80%. The air temperature was 25 ± 2 °C during the day and 20 ± 2 °C during the night. The seed of the control sample was sown into the soil without any additives. The preparation containing Rhizophagus irregularis was used at a dose of 2.5 mL + 10 mL of water per 1 kg of maize grain. Potassium polyacrylate was mixed with the soil in the amount of 1.5 g of the preparation per 1 L of substrate. In the next combination, the maize grain was treated with a preparation based on β-cyclocitral, used at a dose of 0.35 mL + 10 mL of water per 1 kg of maize grain. The last combination used a combination of the Rhizophagus irregularis and β-cyclocitral three previous variants in unchanged doses, with a total of 10 mL of water per 1 kg of grain and potassium polyacrylate mixed with the soil in an amount of 1.5 g of the preparation per 1 L of the substrate.
The research used a universal substrate made of specially frozen peat, pH 5.2–6.2 (in H2O). The substrate was solid and loose, with a fraction of 0–5 mm (KRONEN®Ziemia do warzyw, Lasland Sp. z o. o., Cerkwica, Poland). Maize grain was sown into pots with a volume of 5.5 L, with four maize grains in each pot. After sowing, the pots were placed in water until their full water capacity was reached, and then they were watered with the same amount of water at equal intervals of two days. Maize seedlings were quantitatively equalized, leaving three plants in each replicate. After 30 days, the objects were divided into two groups—those watered in the current system and the plants whose watering was stopped. In each version of hydration, three repetitions were performed for all preparations; the experiment was conducted in a completely randomized design. During the research, soil volume moisture was measured using a probe (ThetaProbe, Eijkelkamp, The Netherlands), where for drought conditions, the average soil moisture was 4.6% by volume. Control plants were provided with optimal soil moisture for all analyzed variants at an average level of 29.9% by volume. After obtaining such soil moisture results, measurements were started (maize in the control combination with optimal soil moisture had eight leaves). For 9 h before chlorophyll fluorescence and leaf gas exchange measurements, the plants were placed in the dark to suppress photosynthesis. Using the Fluorometer OS5p OPTISCIENCES.INC., Hudson, USA, the following parameters were measured after dark adaptation: F0—minimum fluorescence of dark-adapted state and Fv/Fm—maximum quantum yield of PSII photochemistry. The gas exchange between the soil and the atmosphere was also assessed using the LCpro-SD apparatus, ADC BioScientific Ltd., London, UK, based on the following parameters: Ce—Soil respiration (vpm), Wflux—Net H2O Exchange Rate (mmol m−2s−1) and NCER—Net CO2 Exchange Rate (µmol m−2s−1). This apparatus is equipped with special cylinders for measuring soil gas exchange based on changes in CO2 and H2O concentrations per unit of time and space. This measurement was taken after the plants were cut. A cylinder with a soil respiration measurement chamber installed is used to enclose a volume of air to measure the gas exchange between the soil and the atmosphere due to biomass activity. The construction of the chamber consists of an acrylic dome with a built-in fan for mixing air and a relief valve to prevent excessive pressure gradient inside the chamber.
The parameters tested during measurements are calculated as follows [31]:
Soil respiration:
Ce = u (−Δc),
where:
u—molar air flow (mol s–1); Δc—the difference in carbon dioxide concentration through soil chamber (μmol mol–1).
Δc = Cref − Can
where:
Cref—carbon dioxide flowing into the soil chamber (μmol mol–1); Can—carbon dioxide flowing out from the soil chamber (μmol mol–1).
The net CO2 Exchange Rate—NCER (μmol s–1m–2) (Ce per unit area):
NCER = us(−Δc),
where:
us—the molar flow of air per square meter of soil (mol m–2 s–1); Δc—the difference in carbon dioxide concentration through soil hood (μmol mol–1).
The net H2O Exchange Rate (Soil Flux) Wflux (m mol s–1 m–2):
Wflux = Δeus/p,
where:
us—the molar flow of air per square meter of soil (mol m–2 s–1); Δe—the differential water vapor concentration (mBar); p—the atmospheric pressure (mBar).
At the end of the study, the fresh weight of plants was measured. For each treatment, nine plants were cut close to the soil surface and weighed. The cut plants were placed in paper bags in a dryer, where they were kept at a temperature of 105 °C for 24 h, and then the dry weight of the plants was determined.

2.2. Field Research

The field experiment was carried out in Brody (52°25′51.8′′ N 16°18′01.7′′ E) in Poland in 2023. Farmoritz variety maize was sown on 5 May 2023 to a depth of 4 cm, with a row spacing of 70 cm. The light soil (loamy sand) at this site had a pH of 6.9 (in KCl), and the organic matter content was 1.2%. The experiment was conducted in a completely randomized design. Four repetitions were performed for each combination. Each plot had an area of 22.5 m2.
Fertilization was planned considering nutrient content in the soil and the nutritional needs of plants. Phosphorus was used in November in the year preceding cultivation at the dose of 50–75 kg ha−1. In the spring, before sowing the crop, 90 kg N ha−1 was applied. In the six- to seven-leaves phase of maize, the second dose of nitrogen was applied at 60 kg ha−1. Plant protection treatments were carried out in accordance with current recommendations.
The characteristics of precipitation and thermal conditions are presented for decades and whole months using Sielianinow’s hydrothermal index calculated according to the formula:
k = P/(0.1 × Σt)
where:
k—Sielianinow’s hydrothermal index
P—the sum of atmospheric precipitation in mm
Σt—the sum of air temperatures > 0 °C
The results of Sielianinow’s hydrothermal index were presented for classes of the discussed coefficient (Table 1) in accordance with the methodology of Skowera and Puła [32].
In the control combination, the plants were grown without the addition of any substance. The preparation containing Rhizophagus irregularis was used at a dose of 2.5 mL + 10 mL of water per 1 kg of maize grain. Potassium polyacrylate was mixed with the soil to a depth of 5 cm one day before sowing the plants in an amount of 15 g of the preparation per 1 m2 of plot. In the next combination, the maize grain was treated with a preparation based on β-cyclocitral, used at a dose of 0.35 mL + 10 mL of water per 1 kg of maize grain. The last combination used a combination of the Rhizophagus irregularis and β-cyclocitral in unchanged doses, with a total of 10 mL of water per 1 kg of grain and potassium polyacrylate mixed with the soil in an amount of 15 g of the preparation per 1 m2 of the plot.
The height of the maize was measured in July and October. The crops were harvested on 16 October 2023 and converted to 15% grain moisture. Yields were calculated per 1 hectare. The mass of 1000 kernels (TKW) and the mass of 1 hectoliter (HLW) were tested. The content of protein, oil and starch in the grain was determined using the Infratec 1241 Foss analyzer (FOSS, Hilleroed, Denmark).

2.3. Statistical Analysis

The statistical analysis used:
  • In the first stage of research—two-way analysis of variance with interaction—to study the impact of two factors, drought stress and preparations on the following variables: chlorophyll fluorescence parameters (F0, Fm/v), gas exchange between the soil and the atmosphere (Ce—Soil respiration, Wflux—Net H2O Exchange Rate and NCER—Net CO2 Exchange Rate ) and plant growth parameters (height, fresh and dry weight).
    The first factor, i.e., the occurrence of drought stress, was considered at two levels:
    Optimal soil moisture level; drought.
    The second factor, i.e., preparations, was considered at five levels:
    Control—combination without the addition of any substance or microorganism; R. irregularisRhizophagus irregularis; P.p.—potassium polyacrylate; β-c—β-cyclocitral; R. irregularis+ P.p. + β-c—Rhizophagus irregularis + potassium polyacrylate + β-cyclocitral.
    A two-way ANOVA model with interaction was used:
    yij = μ+αi + βj + (αβ)ij + eij
    where:
    yij—the estimated value of variables (chlorophyll fluorescence parameters, gas exchange parameters between the soil and the atmosphere and plant growth parameters) in the presence or absence of drought stress (i = 1, 2) and using the selected preparation (j = 1, 2,…, 5); μ—overall average; αi—effect of the occurrence or absence of stress (i = 1, 2); βj—effect of using the jth preparation (j = 1, 2,…, 5); (αβ)ij—interaction effect of drought stress and treatment and eij—random error.
    If the null hypotheses about the lack of influence of the analyzed factors or their interactions were rejected, the Tukey procedure was used for multiple comparisons.
  • In the second stage of research—one-way analysis of variance—to test the effect of preparations on the following variables: plant height, yield, weight of 1000 grains, hectoliter weight and the content of protein, oil and starch in the grain.
    The considered factor, i.e., preparations, existed at five levels:
    Control—combination without the addition of any substance or microorganism; R. irregularisRhizophagus irregularis; P.p.—potassium polyacrylate; β-c—β-cyclocitral; R. irregularis + P.p. + β-c—Rhizophagus irregularis + potassium polyacrylate + β-cyclocitral.
A one-way ANOVA model was used:
yi = μ + αi + ei
where:
yi—the estimated value of variables using the selected preparation (i = 1, 2,…, 5); μ—overall average; αi—effect of using the ith preparation (i = 1, 2,…, 5); ei—random error.
If the null hypotheses about the lack of influence of the analyzed preparations were rejected, the Tukey procedure was used for multiple comparisons.

3. Results

3.1. Greenhouse Research

3.1.1. Plant Chlorophyll Fluorescence

Soil moisture conditions did not have a statistically significant impact on the minimum fluorescence of the dark-adapted state. However, it was found that individual preparations had a statistically significant effect on the discussed parameter (Table 2). The highest F0 values were found for the control combination, which amounted to 203.5 (Figure 1). The average F0 value obtained after the use of potassium polyacrylate is significantly lower than in the control combination. The average F0 values obtained after using individual preparations (from two to five) do not differ significantly and range from 193.5 to 201.3. There was no interaction between the tested factors for minimum fluorescence of the dark-adapted state. The soil moisture level had a significant impact on the Fv/m level. For the combination in which the plants had the optimal humidity level, the average result of the maximum photochemical PSII efficiency was 0.790, and for drought, it reached the value of 0.782. However, it was found that there was no statistically significant effect of the preparations used on the average values of this parameter, and there was no interaction between the tested factors.

3.1.2. Height and Weight of Maize in Greenhouse Conditions

The preparations used and the soil moisture level had a statistically significant impact on the height of maize growing in greenhouse conditions. The highest plant height was recorded for the combination that used a combination of all tested preparations, where the average plant height was 109.7 cm, which significantly exceeded the average plant height of the control combination (104.0 cm). For the mentioned parameter, no interactions between the tested factors were found. In the case of fresh and dry weight of plants, there was a statistically significant impact of both the preparations used and the level of soil moisture on the discussed parameters, as well as the interaction between the tested factors (Table 3). The highest levels of both dry and fresh matter were found for plants grown with the addition of all test preparations, which was found both for maize growing in conditions of optimal irrigation and under drought stress.

3.1.3. Gas Exchange Between the Soil and the Atmosphere

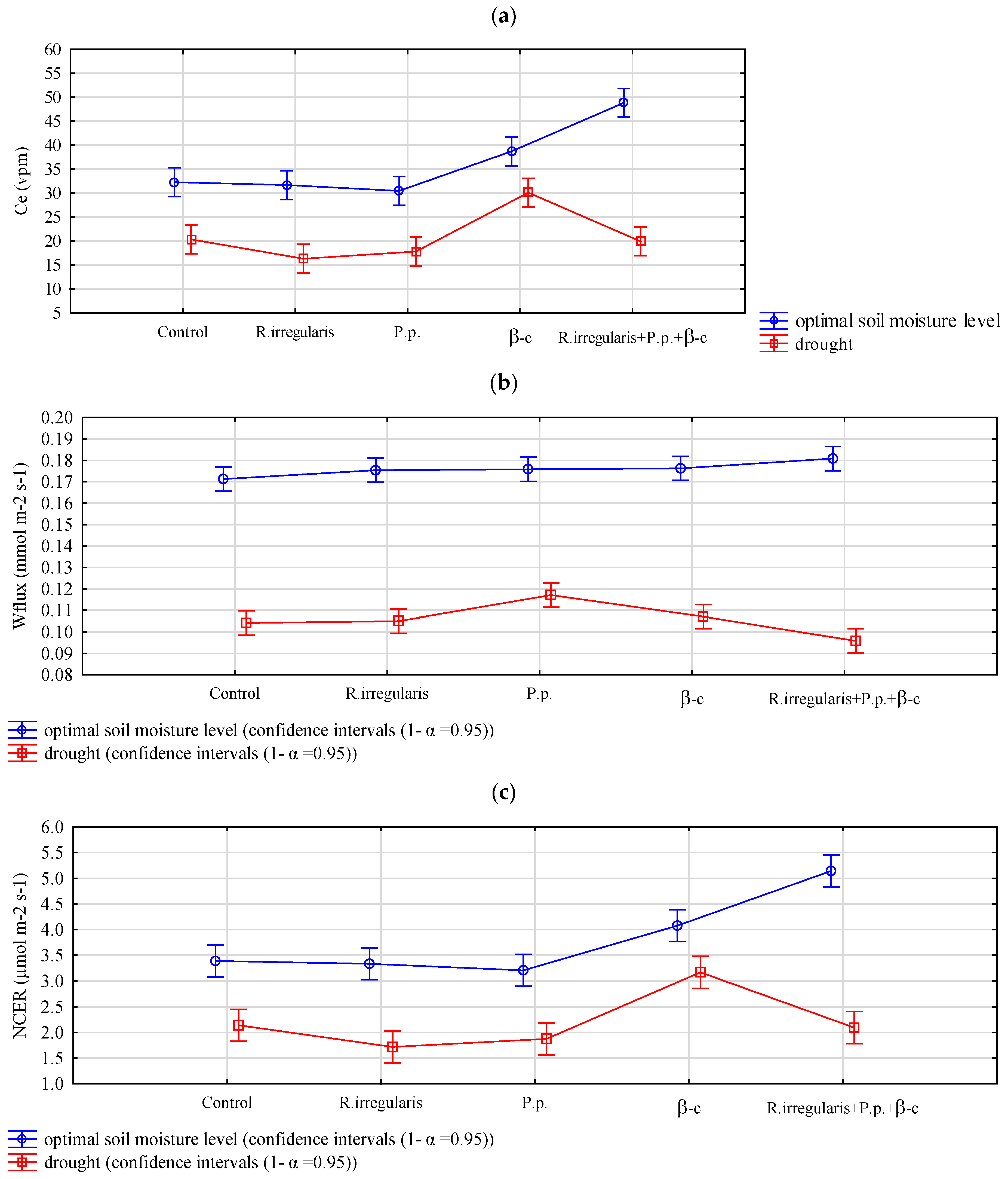
Both the preparations used and the soil moisture level had a statistically significant impact on all parameters of gas exchange between the soil and the atmosphere. An interaction was also found for the studied factors (Table 4). The highest levels of Ce (soil respiration) and NCER—(Net CO2 exchange rate) were found for the combinations in which β-cyclocitral and a mixture of all test preparations were used. The use of potassium polyacrylate contributed to achieving a statistically higher result for Wflux (Net H2O exchange rate) than in the case of the control. Under drought stress conditions, all of the discussed parameters showed lower values compared to the optimal level of soil moisture. Among the analyzed combinations, the highest level of all parameters was found for plants grown in conditions of optimal soil moisture, where a mixture of all test preparations was used (Figure 2).

3.2. Field Research

3.2.1. Meteorological Conditions During the Research

The hydrothermal index was calculated for the entire vegetative season of plants (Table 5). It was found that most months in which maize grew were dry to extremely dry, but there were also periods of heavy rainfall during the growing season.

3.2.2. Plant Height in Field Conditions

The plant height results for the measurement performed in July ranged from 172.4 to 177.9 cm, while in October, the plants reached an average height ranging from 188.4 to 197.1 cm (Figure 3). In both cases, no statistically significant differences were found between the individual combinations.

3.2.3. Plant Yield Parameters

Among the parameters assessed in field conditions, a statistically significant effect of the preparations used was found only for the amount of maize grain yield (Table 6). In the case of the remaining parameters, the differences between individual combinations did not differ significantly. The maize grain yield ranged from 13.2 to 14.5 t ha−1. The use of all substances and microorganisms contributed to an increase in the yield level, but only the use of Rhizophagus irregularis and β-cyclocitral contributed to obtaining significantly higher yields than in the case of the control combination. The average yields obtained using individual preparations (from two to five) do not differ significantly. The weight of a hectoliter (HLW) of grain ranged from 67.85 to 68.73. The lowest thousand-grain weight (TKW) was 299.24, and the highest was 320.39. The protein content in the grain was in the range of 10.20–10.50%, oil 3.88–3.98, and starch 69.80–70.08. No statistically significant differences were found for the mentioned parameters.

4. Discussion

Currently, new solutions are being sought that will have a positive impact on the growth of crops. The consequence of this is a constantly growing market for biostimulants and soil amendments, which is also expected to develop in the future [33,34]. In the conducted studies, all applied variants contributed to the increase in the level of maize yield. Solutions resulting in a larger amount of harvested grain are particularly desirable in agricultural practice.
Mohammed Mazen et al. [35], in their research, determined the impact of various superabsorbent hydrogels on the development of maize. All types of such preparations contributed to improving the development of plants growing in sandy soil. This was reflected in the visual assessment and measurements of the height and weight of the plants. In our experiment, a beneficial effect of potassium polyacrylate on the development of test plants was observed. This was observed both in greenhouse tests and physiological measurements performed there, as well as in the level of maize yield in field conditions, especially when combined with other preparations.
In research conducted by Dickinson et al. [14], the influence of β-cyclocitral in a volatile form on the development of Arabidopsis thaliana, tomato and rice were analyzed in laboratory conditions. It was found that this substance has a beneficial effect on root cell division and the development of root branches. However, it is important to develop an application method that, in addition to laboratory conditions, will also be effective in natural conditions. Application as a seed dressing contributes to the possibility of the applied preparations having an impact from the beginning of plant development [36].
The use of Rhizophagus irregularis in the conducted research had a positive effect on the development of maize, both in greenhouse and field conditions. This was most visible in the level of maize yield. In a study conducted by Ramírez-Flores et al. [37], the use of arbuscular mycorrhiza contributed to the growth of the root system of maize plants, as well as increased nutrient uptake. Rocha et al. [38] described the influence of fungi forming arbuscular mycorrhiza, including R. irregularis, used as seed dressings, on the development of maize. Their results also show that it contributed to an increase in the intake of many nutrients. Better plant nutrition is one of the most important factors determining the increase in yield. The abovementioned aspects contribute to the improvement of plant development, which was reflected in the obtained results of research.
Minimum fluorescence (F0) occurs when all PSII reaction centers are open. At this time, electron acceptors (plastoquinions Qa) are maximally oxidized [39]. Plant stress contributes to an increase in the value of F0 [40,41]. In the experiment, the use of individual preparations contributed to a decrease in the minimum fluorescence value, which proves that regardless of soil moisture conditions, the substances and microorganisms used led to a decrease in energy loss during its transfer from the energy antennas to the PSII reaction center. Begum et al. [42] in their studies showed that the use of arbuscular mycorrhizal fungus belonging to Glomus sp. had a beneficial effect on various chlorophyll fluorescence parameters determined for maize subjected to drought stress. Super absorbent polymers are often used in forestry. In the research conducted by Santos et al. [43], it was shown that the use of hydrogel had a positive effect on the chlorophyll fluorescence parameters of Campomanesia xanthocarpa (Mart.) O. Berg seedlings. Our research shows that the use of potassium polyacrylate under certain conditions in maize has a positive effect in measuring chlorophyll fluorescence. The Fv/m indicates the maximum quantum efficiency of photosystem II [44]. Exposing plants to stress factors contributes to a decrease in the value of this parameter [39]. In the experiment, subjecting plants to drought contributed to a decrease in the Fv/m value. Similar results were described by Radzikowska et al. [45] and Arief et al. [46], where water shortage led to a decrease in the value of the maximum quantum efficiency of photosystem II.
In the described experiment, the use of specific preparations and their combinations contributed to an increase in the values of gas exchange parameters between the soil and the atmosphere. Soil respiration is related, among other things, to the respiration of roots and microorganisms found in the soil. It increases with the water content in the soil [47]. An increase in the values of the tested parameters may indicate better development of the root system of plants in particular combinations and better water retention. The development of the root system is one of the factors that help reduce drought stress by penetrating the soil layers where water is located [48]. It also allows more effective nutrient uptake [49]. The beneficial effect of individual preparations on the development of the root system was reflected in greenhouse tests as well as in field conditions, where a higher level of plant yield was observed. Such solutions are worth testing in different climatic and soil conditions because they may affect the level of effectiveness of the applied substances [50]. In field conditions, better development of the root system determines the availability of deeper water for plants.

5. Conclusions

The conducted research indicates that potassium polyacrylate, β-cyclocitral and Rhizophagus irregularis had a positive effect on the development of maize, the yield level of the crop, as well as selected physiological parameters in greenhouse and field conditions. This was confirmed for various soil moisture conditions, which allows us to conclude that these substances may be a good solution for reducing the effects of drought. A positive effect of the substances used was found. In greenhouse conditions, great attention was paid to physiological measurements, which ultimately are reflected in the yield, as proven in field tests. All substances and microorganisms used contributed to an increase in yield, but the difference was not always statistically significant. It is, therefore, worth determining their effectiveness in growing other plants in further studies, examining the impact of all preparations on soil microbiological life and the level of water erosion, especially after the use of potassium polyacrylate.

Author Contributions

Conceptualization, M.G.; methodology, M.G., Ł.S. and D.R.-K.; validation, M.G., Ł.S. and R.G.-W.; formal analysis, M.G. and Ł.S.; investigation, M.G.; resources, M.G.; data curation, M.G.; writing—original draft preparation, M.G.; writing—review and editing, M.G.; visualization, M.G. and R.G.-W.; supervision, M.G.; project administration, M.G.; funding acquisition, M.G. All authors have read and agreed to the published version of the manuscript.

Funding

This work was supported by Poznań University of Life Sciences (Poland) as the research program “First grant”, no. 3/2023. The publication was financed by the Polish Minister of Science and Higher Education as part of the Strategy of the Poznan University of Life Sciences for 2024–2026 in the field of improving scientific research and development work in priority research areas.

Data Availability Statement

The source data is stored by the authors and will be available for readers if necessary.

Conflicts of Interest

The authors declare no conflicts of interest.

References

  1. Farooq, M.; Hussain, M.; Wahid, A.; Siddique, K.H. Drought stress in plants: An overview. In Plant Responses to Drought Stress; Springer: Berlin/Heidelberg, Germany, 2012; p. 477. [Google Scholar]
  2. Sheoran, S.; Kaur, Y.; Kumar, S.; Shukla, S.; Rakshit, S.; Kumar, R. Recent advances for drought stress tolerance in maize (Zea mays L.): Present status and future prospects. Front. Plant Sci. 2022, 13, 872566. [Google Scholar] [CrossRef]
  3. Erenstein, O.; Jaleta, M.; Sonder, K.; Mottaleb, K.; Prasanna, B.M. Global maize production, consumption and trade: Trends and R&D implications. Food Sec. 2022, 14, 1295–1319. [Google Scholar] [CrossRef]
  4. Bodner, G.; Nakhforoosh, A.; Kaul, H.P. Management of crop water under drought: A review. Agron. Sust. Devel. 2015, 35, 401–442. [Google Scholar] [CrossRef]
  5. Rai, N.; Rai, S.P.; Sarma, B.K. Prospects for abiotic stress tolerance in crops utilizing phyto- and bio-stimulants. Front Sustain Food Syst. 2021, 5, 754853. [Google Scholar] [CrossRef]
  6. Rosa, L.; Chiarelli, D.D.; Rulli, M.C.; Dell’Angelo, J.; D’Odorico, P. Global agricultural economic water scarcity. Sci. Adv. 2020, 6, eaaz6031. [Google Scholar] [CrossRef]
  7. Situ, Y.; Yang, Y.; Huang, C.; Liang, S.; Mao, X.; Chen, X. Effects of several superabsorbent polymers on soil exchangeable cations and crop growth. Environ. Technol. Innov. 2023, 30, 103126. [Google Scholar] [CrossRef]
  8. Bai, W.; Zhang, H.; Liu, B.; Wu, Y.; Song, J. Effects of super-absorbent polymers on the physical and chemical properties of soil following different wetting and drying cycles. Soil. Use Manag. 2010, 26, 253–260. [Google Scholar] [CrossRef]
  9. Kabiri, K.; Omidian, H.; Zohuriaan-Mehr, M.; Doroudiani, S. Superabsorbent hydrogel composites and nanocomposites: A review. Polym. Compos. 2011, 32, 277–289. [Google Scholar] [CrossRef]
  10. Kulikowski, Ł.; Kulikowski, E.; Matuszwski, A.; Kiepurski, J. Hydrożele w środowisku naturalnym—Historia i technologie/Hydrogels in the natural environment—History and technologies. Inżynieria Ekologiczna 2018, 19, 205–218. [Google Scholar] [CrossRef]
  11. Zohuriaan-Mehr, M.; Omidian, H.; Doroudiani, S.; Kabiri, K. Advances in non-hygienic applications of superabsorbent hydrogel materials. J. Mater. Sci. 2010, 45, 5711–5735. [Google Scholar] [CrossRef]
  12. Patra, S.K.; Poddar, R.; Brestic, M.; Acharjee, P.U.; Bhattacharya, P.; Sengupta, S.; Pal, P.; Bam, N.; Biswas, B.; Barek, V.; et al. Prospects of hydrogels in agriculture for enhancing crop and water productivity under water deficit condition. Int. J. Polym. Sci. 2022, 2022, 4914836. [Google Scholar] [CrossRef]
  13. Somé, Y.S.C.; Traoré, D.; Zoromé, M.; Ouoba, P.A.; Da, D.E.C. Assessment of the effectiveness of potassium polyacrylate on crop production. J. Agric. Chem. Environ. 2021, 10, 113–123. [Google Scholar] [CrossRef]
  14. Ahmad, S.; Kamran, M.; Ding, R.; Meng, X.; Wang, H.; Ahmad, I.; Fahad, S.; Han, Q. Exogenous melatonin confers drought stress by promoting plant growth, photosynthetic capacity and antioxidant defense system of maize seedlings. PeerJ 2019, 7, e7793. [Google Scholar] [CrossRef]
  15. Dickinson, A.J.; Lehner, K.; Mi, J.; Jia, K.-P.; Mijar, M.; Dinneny, J.; Al-Babili, S.; Benfey, P.N. β-Cyclocitral is a conserved root growth regulator. Proc. Natl. Acad. Sci. USA 2019, 116, 10563–10567. [Google Scholar] [CrossRef] [PubMed]
  16. Faizan, M.; Tonny, S.H.; Afzal, S.; Farooqui, Z.; Alam, P.; Ahmed, M.; Yu, F.; Hayat, S. β-cyclocitral: Emerging bioactive compound in plants. Molecules 2022, 27, 6845. [Google Scholar] [CrossRef]
  17. Condurso, C.; Cincotta, F.; Tripodi, G.; Verzera, A. Bioactive volatiles in Sicilian (South Italy) saffron: Safranal and its related compounds. J. Essent. Oil Res. 2017, 29, 221–227. [Google Scholar] [CrossRef]
  18. Havaux, M. Carotenoid oxidation products as stress signals in plants. Plant J. 2014, 79, 597–606. [Google Scholar] [CrossRef] [PubMed]
  19. Deshpande, S.; Purkar, V.; Mitra, S. β-cyclocitral, a master regulator of multiple stress-responsive genes in Solanum lycopersicum L. plants. Plants 2021, 10, 2465. [Google Scholar] [CrossRef] [PubMed]
  20. Rini, M.V.; Susilowati, E.; Riniarti, M.; Lukman, I. Application of Glomus sp. and a mix of Glomus sp. with Gigaspora sp. in improving the Agarwood (Aquilaria malaccensis Lamk.) seedling growth in Ultisol soil. IOP Conf. Ser. Earth Environ. Sci. 2020, 449, 012004. [Google Scholar] [CrossRef]
  21. Öpik, M.; Moora, M.; Liira, J.; Zobel, M. Composition of root-colonizing arbuscular mycorrhizal fungal communities in different ecosystems around the globe. J. Ecol. 2006, 94, 778–790. [Google Scholar] [CrossRef]
  22. Castiglione, A.M.; Mannino, G.; Contartese, V.; Bertea, C.M.; Ertani, A. Microbial biostimulants as response to modern agriculture needs: Composition, role and application of these innovative products. Plants 2021, 10, 1533. [Google Scholar] [CrossRef]
  23. Kumar, J.; Ramlal, A.; Mallick, D.; Mishra, V. An overview of some biopesticides and their importance in plant protection for commercial acceptance. Plants 2021, 10, 1185. [Google Scholar] [CrossRef] [PubMed]
  24. Malhi, G.S.; Kaur, M.; Kaushik, P.; Alyemeni, M.N.; Alsahli, A.A.; Ahmad, P. Arbuscular mycorrhiza in combating abiotic stresses in vegetables: An eco-friendly approach. Saudi. J. Biol. Sci. 2021, 28, 1465. [Google Scholar] [CrossRef] [PubMed]
  25. Pons, S.; Fournier, S.; Chervin, C.; Be’card, G.; Rochange, S.; Frei Dit Frey, N.; Puech Pagès, V. Phytohormone production by the arbuscular mycorrhizal fungus Rhizophagus irregularis. PLoS ONE 2020, 15, e0240886. [Google Scholar] [CrossRef]
  26. Aljawasim, B.D.; Khaeim, H.M.; Manshood, M.A. Assessment of arbuscular mycorrhizal fungi (Glomus spp.) as potential biocontrol agents against damping-off disease Rhizoctonia solani on cucumber. J. Crop. Prot. 2020, 9, 141–147. [Google Scholar]
  27. Lewis, J.D. Mycorrhizal fungi, evolution and diversification of. In Encyclopedia of Evolutionary Biology; Kliman, R.M., Ed.; Academic Press: Oxford, UK, 2016. [Google Scholar] [CrossRef]
  28. Jhala, A.J.; Ramirez, A.H.M.; Knezevic, S.Z.; Van Damme, P.; Singh, M. Herbicide tank mixtures for broad-spectrum weed control in Florida citrus. Weed Technol. 2013, 27, 129–137. [Google Scholar] [CrossRef]
  29. Ons, L.; Bylemans, D.; Thevissen, K.; Cammue, B. Combining biocontrol agents with chemical fungicides for integrated plant fungal disease control. Microorganisms 2020, 8, 1930. [Google Scholar] [CrossRef]
  30. Martin, O.; Scholze, M.; Ermler, S.; McPhie, J.; Bopp, S.K.; Kienzler, A.; Parissis, N.; Kortenkamp, A. Ten years of research on synergisms and antagonisms in chemical mixtures: A systematic review and quantitative reappraisal of mixture studies. Environ. Int. 2021, 146, 106206. [Google Scholar] [CrossRef]
  31. Feizene, D.; Povilaitis, V.; Kadžienė, G. Springtime soil surface respiration and soil vapour flux in different long-term agroecosystems. Ekologija. 2008, 54, 216–225. [Google Scholar] [CrossRef]
  32. Skowera, B.; Puła, J. Skrajne warunki pluwiotermiczne w okresie wiosennym na obszarze Polski w latach 1971–2000. (Pluviometric extreme conditions in spring season in Poland in the years 1971–2000). Acta Agrophys. 2004, 3, 171–177. [Google Scholar]
  33. Biostimulants Market Size, Share & Trends Analysis Report By Active Ingredients (Acid Based, Microbial), By Crop Type, By Application (Foliar, Soil Treatment); By Region, And Segment Forecasts, 2023–2030. Report ID: GVR-2-68038-346-1: San Francisco, CA, USA. Available online: https://www.grandviewresearch.com/industry-analysis/biostimulants-market (accessed on 29 December 2024).
  34. Soil Amendments Market Share, Size, Trends, Industry Analysis Report, By Product (Organic, Inorganic); By Soil Type (Clay, Sand, Loam, Silt); By Application; By Region; Segment Forecast, 2022–2030. Report ID: PM2546: San Francisco, CA, USA. Available online: https://www.polarismarketresearch.com/industry-analysis/soil-amendments-market (accessed on 29 December 2024).
  35. Mazen, A.M.; Radwan, D.E.M.; Ahmed, A.F. Growth responses of maize plants cultivated in sandy soil amended by different superabsorbant hydrogels. J. Plant Nutr. 2015, 38, 325–337. [Google Scholar] [CrossRef]
  36. Rocha, I.; Ma, Y.; Souza-Alonso, P.; Vosátka, M.; Freitas, H.; Oliveira, R.S. Seed coating: A tool for delivering beneficial microbes to agricultural crops. Front. Plant Sci. 2019, 10, 1357. [Google Scholar] [CrossRef]
  37. Ramírez-Flores, M.R.; Bello-Bello, E.; Rellán-Álvarez, R.; Sawers, R.J.H.; Olalde-Portugal, V. Inoculation with the mycorrhizal fungus Rhizophagus irregularis modulates the relationship between root growth and nutrient content in maize (Zea mays ssp. Mays L.). Plant Direct. 2019, 3, e00192. [Google Scholar] [CrossRef]
  38. Rocha, I.; Ma, Y.; Carvalho, M.F.; Magalhães, C.; Janoušková, M.; Vosátka, M.; Freitas, H.; Oliveira, R.S. Seed coating with inocula of arbuscular mycorrhizal fungi and plant growth promoting rhizobacteria for nutritional enhancement of maize under different fertilization regimes. Arch. Agron. Soil. Sci. 2019, 65, 31–43. [Google Scholar] [CrossRef]
  39. Baker, N.R. Chlorophyll fluorescence: A probe of photosynthesis in vivo. Annu. Rev. Plant Biol. 2008, 59, 89–113. [Google Scholar] [CrossRef]
  40. Briantais, J.-M.; Dacosta, J.; Goulas, Y.; Ducruet, J.-M.; Moya, I. Heat stress induces in leaves an increase of the minimum level of chlorophyll fluorescence, Fo: A time-resolved analysis. Photosynth. Res. 1996, 48, 189–196. [Google Scholar] [CrossRef] [PubMed]
  41. Gholamin, R.; Khayatnezhad, M. The effect of end season drought stress on the chlorophyll content, chlorophyll fluorescence parameters and yield in maize cultivars. Sci. Res. Essays. 2011, 6, 5351–5357. [Google Scholar]
  42. Begum, N.; Ahanger, M.A.; Su, Y.; Lei, Y.; Mustafa, N.S.A.; Ahmad, P.; Zhang, L. Improved drought tolerance by AMF inoculation in maize (Zea mays) involves physiological and biochemical implications. Plants 2019, 8, 579. [Google Scholar] [CrossRef] [PubMed]
  43. Santos, C.C.; Silverio, J.M.; Scalon, S.P.Q.; Vieira, M.C. Hydrogel and water regimes in the chlorophyll-a fluorescence and growth of Campomanesia xanthocarpa seedlings. Eng. Agric. 2021, 3, 330–337. [Google Scholar] [CrossRef]
  44. Sharma, D.K.; Andersen, S.B.; Ottosen, C.O.; Rosenqvist, E. Wheat cultivars selected for high Fv/Fm under heat stress maintain high photosynthesis, total chlorophyll, stomatal conductance, transpiration and dry matter. Physiol. Plant. 2015, 153, 284–298. [Google Scholar] [CrossRef]
  45. Radzikowska-Kujawska, D.; John, P.; Piechota, T.; Nowicki, M.; Kowalczewski, P.Ł. Response of winter wheat (Triticum aestivum L.) to selected biostimulants under drought conditions. Agriculture 2022, 13, 121. [Google Scholar] [CrossRef]
  46. Arief, M.A.A.; Kim, H.; Kurniawan, H.; Nugroho, A.P.; Kim, T.; Cho, B.-K. Chlorophyll fluorescence imaging for early detection of drought and heat stress in strawberry plants. Plants 2023, 12, 1387. [Google Scholar] [CrossRef]
  47. Koncz, P.; Balogh, J.; Papp, M.; Hidy, D.; Pinter, K.; Fóti, S.; Klumpp, K.; Nagy, Z. Higher soil respiration under mowing than under grazing explained by biomass differences. Nutr. Cycl. Agroecosyst. 2015, 103, 201–215. [Google Scholar] [CrossRef]
  48. Kou, X.; Han, W.; Kang, J. Responses of root system architecture to water stress at multiple levels: A meta-analysis of trials under controlled conditions. Front. Plant Sci. 2022, 13, 1085409. [Google Scholar] [CrossRef]
  49. Rogers, E.D.; Benfey, P.N. Regulation of plant root system architecture: Implications for crop advancement. Curr. Opin. Biotechnol. 2015, 32, 93–98. [Google Scholar] [CrossRef] [PubMed]
  50. Li, J.; Van Gerrewey, T.; Geelen, D.A. Meta-Analysis of Biostimulant Yield Effectiveness in Field Trials. Front. Plant Sci. 2022, 13, 836702. [Google Scholar] [CrossRef]
Figure 1. The effect of the preparations used on the minimum fluorescence of dark-adapted state (F0−1 (a)) and the maximum quantum yield of PSII photochemistry (Fv/m−1 (b)) under conditions of optimal soil moisture and drought stress—confidence intervals (1 − α = 0.95). Control—combination without the addition of any substance or microorganism; R. irregularisRhizophagus irregularis; P.p.—potassium polyacrylate; β-c—β-cyclocitral; R. irregularis+ P.p. + β-c—Rhizophagus irregularis + potassium polyacrylate + β-cyclocitral.
Figure 1. The effect of the preparations used on the minimum fluorescence of dark-adapted state (F0−1 (a)) and the maximum quantum yield of PSII photochemistry (Fv/m−1 (b)) under conditions of optimal soil moisture and drought stress—confidence intervals (1 − α = 0.95). Control—combination without the addition of any substance or microorganism; R. irregularisRhizophagus irregularis; P.p.—potassium polyacrylate; β-c—β-cyclocitral; R. irregularis+ P.p. + β-c—Rhizophagus irregularis + potassium polyacrylate + β-cyclocitral.
Agronomy 15 00096 g001aAgronomy 15 00096 g001b
Figure 2. The impact of the used preparations on the gas exchange between the soil and the atmosphere under conditions of optimal soil moisture and drought stress—confidence intervals (1 − α = 0.95). Ce—Soil respiration (a), Wflux—Net H2O Exchange Rate (b) and NCER—Net CO2 Exchange Rate (c) Control—combination without the addition of any substance or microorganism; R. irregularisRhizophagus irregularis; P.p.—potassium polyacrylate; β-c—β-cyclocitral; R. irregularis + P.p. + β-c—Rhizophagus irregularis + potassium polyacrylate + β-cyclocitral.
Figure 2. The impact of the used preparations on the gas exchange between the soil and the atmosphere under conditions of optimal soil moisture and drought stress—confidence intervals (1 − α = 0.95). Ce—Soil respiration (a), Wflux—Net H2O Exchange Rate (b) and NCER—Net CO2 Exchange Rate (c) Control—combination without the addition of any substance or microorganism; R. irregularisRhizophagus irregularis; P.p.—potassium polyacrylate; β-c—β-cyclocitral; R. irregularis + P.p. + β-c—Rhizophagus irregularis + potassium polyacrylate + β-cyclocitral.
Agronomy 15 00096 g002
Figure 3. Average height of plants measured in July and October after applying individual preparations. Height in July—the significance of the effect of the preparation (p-value)—0.230 ns; the height of plants in October—the significance of the effect of the preparation (p-value)—0.060 ns; ns—no statistically significant effect on the mean values of the feature (p > 0.05). Control—combination without the addition of any substance or microorganism; R. irregularisRhizophagus irregularis; P.p.—potassium polyacrylate; β-c—β-cyclocitral; R. irregularis + P.p. + β-c—Rhizophagus irregularis + potassium polyacrylate + β-cyclocitral.
Figure 3. Average height of plants measured in July and October after applying individual preparations. Height in July—the significance of the effect of the preparation (p-value)—0.230 ns; the height of plants in October—the significance of the effect of the preparation (p-value)—0.060 ns; ns—no statistically significant effect on the mean values of the feature (p > 0.05). Control—combination without the addition of any substance or microorganism; R. irregularisRhizophagus irregularis; P.p.—potassium polyacrylate; β-c—β-cyclocitral; R. irregularis + P.p. + β-c—Rhizophagus irregularis + potassium polyacrylate + β-cyclocitral.
Agronomy 15 00096 g003
Table 1. Classes of the Sielianinow’s hydrothermal index [32].
Table 1. Classes of the Sielianinow’s hydrothermal index [32].
K-Index ClassesValues
Extremely dryk ≤ 0.4
Very dry0.4 < k ≤ 0.7
Dry0.7 < k ≤ 1.0
Slightly dry1.0 < k ≤ 1.3
Optimum1.3 < k ≤ 1.6
Slightly humid1.6 < k ≤ 2.0
Humid2.0 < k ≤ 2.5
Very humid2.5 < k ≤ 3.0
Extremely humidk > 3.0
Table 2. Results of two-factor analysis of variance and Tukey’s test—determining the impact of the preparations used and drought stress on F0 and Fv/m.
Table 2. Results of two-factor analysis of variance and Tukey’s test—determining the impact of the preparations used and drought stress on F0 and Fv/m.
Results of Two-Factor Analysis of Variance (p-Value)
FactorF0Fv/m
Preparation0.026 *0.521 ns
Drought stress/optimal soil moisture conditions0.754 ns2.29 × 10−4 **
Interaction effect0.209 ns0.244 ns
Results of Tukey’s test—Average feature values and homogeneous groups
PreparationF0Fv/m
Control203.5 b0.786
R. irregularis201.3 ab0.787
P. p.193.5 a0.785
β-c199.3 ab0.789
R. irregularis +p. p.+ β-c194.3 ab0.785
HSD9.910-
Drought stress/optimal soil moisture conditionsF0Fv/m
Optimal soil moisture level198.10.790 b
Drought198.70.782 a
HSD-0.003
Minimum fluorescence of the dark-adapted state (F0) and the maximum quantum yield of PSII photochemistry (Fv/m) under conditions of optimal soil moisture and drought stress. ns—no statistically significant effect on the mean values of the feature (p > 0.05). *—statistically significant impact on the mean values of the feature (p < 0.05). **—statistically highly significant impact on the mean values of the feature (p < 0.01). a,b—different letters indicate statistically different mean. Control—combination without the addition of any substance or microorganism; R. irregularisRhizophagus irregularis; P.p.—potassium polyacrylate; β-c—β-cyclocitral; R. irregularis+ P.p. + β-c—Rhizophagus irregularis + potassium polyacrylate + β-cyclocitral.
Table 3. Results of two-factor analysis of variance and Tukey’s test—examination of the effect of the preparations used and soil moisture conditions on the height and weight of maize in greenhouse conditions.
Table 3. Results of two-factor analysis of variance and Tukey’s test—examination of the effect of the preparations used and soil moisture conditions on the height and weight of maize in greenhouse conditions.
Height and Weight of Maize in Greenhouse Conditions
Results of Two-Factor Analysis of Variance (p-Value)
FactorPlant Height (cm)Fresh Weight (g)Dry Weight (g)
Preparation0.039 *1.46 × 10−11 **2.69 × 10−10 **
Drought stress/optimal soil moisture conditions0.003 **1.21 × 10−20 **1.24 × 10−9 **
Interaction effect0.633 ns3.73 × 10−5 **0.021 *
Results of Tukey’s test—Average feature values and homogeneous groups
PreparationPlant height (cm)Fresh weight (g)Dry weight (g)
Control104.0 a138.0 ab14.8 b
R. irregularis107.1 a139.9 b14.6 b
P. p.108.7 a156.3 c15.7 b
β-c104.1 a130.5 a12.9 a
R. irregularis +p. p.+ β-c109.7 a174.5 d19.5 c
HSD6.3358.8101.435
Drought stress/optimal soil moisture conditionsPlant height
(cm)
Fresh weight
(g)
Dry weight
(g)
Optimal soil moisture level108.9 b185.4 b17.1 b
Drought104.5 a110.2 a13.9 a
HSD4.0073.8860.633
InteractionPlant height
(cm)
Fresh weight
(g)
Dry weight
(g)
Control + om106.2177.4 e17.3 b
R. irregularis + om111.5177.9 e16.6 b
P. p. + om109.7196.1 f17.3 b
β-c + om105.5156.1 d13.6 a
R. irregularis + p.p. + β-c + om111.5219.7 g20.8 c
Control + drought101.898.6 a12.4 a
R. irregularis + drought102.8101.9 ab12.7 a
P. p. + drought107.7116.5 bc14.2 a
β-c + drought102.6104.8 ab12.2 a
R. irregularis + p. p. + β-c +drought107.8129.2 c18.1 b
HSD-14.7572.403
om—optimal soil moisture level. ns—no statistically significant effect on the mean values of the feature (p > 0.05). *—statistically significant impact on the mean values of the feature (p < 0.05). **—statistically highly significant impact on the mean values of the feature (p < 0.01). a–g—different letters indicate statistically different mean. Control—combination without the addition of any substance or microorganism; R. irregularisRhizophagus irregularis; P.p.—potassium polyacrylate; β-c—β-cyclocitral; R. irregularis+ P.p. + β-c—Rhizophagus irregularis + potassium polyacrylate + β-cyclocitral.
Table 4. Results of two-factor analysis of variance and Tukey’s test—testing the impact of the preparation and drought stress on the gas exchange between the soil and the atmosphere.
Table 4. Results of two-factor analysis of variance and Tukey’s test—testing the impact of the preparation and drought stress on the gas exchange between the soil and the atmosphere.
Results of Two-Factor Analysis of Variance (p-Value)
FactorCe (vpm)Wflux (mmol m−2s−1)NCER (µmol m−2s−1)
Preparation6.94 × 10−17 **0.020 *2.14 × 10−17 **
Drought stress/optimal soil moisture conditions1.66 × 10−39 **8.61 × 10−103 **2.01 × 10−40 **
Interaction effect7.95 × 10−10 **2.94 × 10−4 **3.42 × 10−10 **
Results of Tukey’s test—Average feature values and homogeneous groups
PreparationCe
(vpm)
Wflux
(mmol m−2s−1)
NCER
(µmol m−2s−1)
Control26.3 a0.1377 a2.77 a
R. irregularis24.0 a0.1402 ab2.53 a
P. p.24.1 a0.1465 b2.54 a
β-c34.4 b0.1417 ab3.62 b
R. irregularis +p. p.+ β-c34.4 b0.1383 a3.62 b
HSD4.1610.00780.43
Drought stress/optimal soil moisture conditionsCe
(vpm)
Wflux
(mmol m−2s−1)
NCER
(µmol m−2s−1)
Optimal soil moisture level36.4 b0.1759 b3.83 b
Drought20.9 a0.1058 a2.20 a
HSD1.8890.00350.20
InteractionCe
(vpm)
Wflux
(mmol m−2s−1)
NCER
(µmol m−2s−1)
Control + om32.3 bc0.1713 c3.39 bc
R. irregularis + om31.7 b0.1754 c3.34 b
P. p. + om30.5 b0.1758 c3.21 b
β-c + om38.7 c0.1763 c4.08 c
R. irregularis + p.p. + β-c + om48.9 d0.1808 c5.14 d
Control + drought20.3 a0.1042 a2.14 a
R. irregularis + drought16.3 a0.1050 ab1.72 a
P. p. + drought17.8 a0.1171 b1.88 a
β-c + drought30.1 b0.1071 ab3.17 b
R. irregularis + p. p. + β-c +drought19.9 a0.0958 a2.09 a
HSD6.8140.01280.70
Ce—Soil Respiration, Wflux—Net H2O EXCHANGE Rate and NCER—Net CO2 Exchange Rate. om—optimal soil moisture level. *—statistically significant impact on the mean values of the feature (p < 0.05). **—statistically highly significant impact on the mean values of the feature (p < 0.01). a–c—different letters indicate statistically different mean. Control—combination without the addition of any substance or microorganism; R. irregularisRhizophagus irregularis; P.p.—potassium polyacrylate; β-c—β-cyclocitral; R. irregularis+ P.p. + β-c—Rhizophagus irregularis + potassium polyacrylate + β-cyclocitral.
Table 5. Classes of the Sielianinow’s hydrothermal index in the year of research.
Table 5. Classes of the Sielianinow’s hydrothermal index in the year of research.
MonthsDecadeAverage for the Month
IIIIII
May1.71.00.61.0
June0.00.31.40.6
July0.40.52.01.0
August5.60.92.22.7
September0.00.30.60.2
October1.61.45.32.8
Table 6. Results of one-way analysis of variance and Tukey’s test—testing the effect of the preparation on plant yield parameters.
Table 6. Results of one-way analysis of variance and Tukey’s test—testing the effect of the preparation on plant yield parameters.
Maize Yield
Results of One-Way Analysis of Variance (p-Value)
FactorYield
(t ha−1)
HLW
(kg)
TKW
(g)
Content in Grain (%)
ProteinOilStarch
Preparation0.005 **0.805 ns0.271 ns0.861 ns0.883 ns0.787 ns
Results of Tukey’s test—Average feature values and homogeneous groups
PreparationYield
(t ha−1)
HLW
(kg)
TKW
(g)
Content in grain (%)
ProteinOilStarch
Control13.2 a68.58299.2410.503.9569.80
R. irregularis14.5 b67.93311.0210.203.9869.93
P. p.13.8 ab67.85320.3910.383.8870.03
β-c14.5 b68.73311.4310.283.8870.08
R. irregularis +p. p.+ β-c14.2 ab68.45313.6410.453.9369.85
HSD1.041-----
ns—no statistically significant effect on the mean values of the feature (p > 0.05). **—statistically highly significant impact on average yield values (p < 0.01). a,b—different letters indicate statistically different mean.
Disclaimer/Publisher’s Note: The statements, opinions and data contained in all publications are solely those of the individual author(s) and contributor(s) and not of MDPI and/or the editor(s). MDPI and/or the editor(s) disclaim responsibility for any injury to people or property resulting from any ideas, methods, instructions or products referred to in the content.

Share and Cite

MDPI and ACS Style

Grzanka, M.; Sobiech, Ł.; Głowicka-Wołoszyn, R.; Radzikowska-Kujawska, D. Effect of Synthetic and Biological Plant Growth Stimulants and Soil Amendments on the Development of Maize in Various Soil Moisture Conditions. Agronomy 2025, 15, 96. https://doi.org/10.3390/agronomy15010096

AMA Style

Grzanka M, Sobiech Ł, Głowicka-Wołoszyn R, Radzikowska-Kujawska D. Effect of Synthetic and Biological Plant Growth Stimulants and Soil Amendments on the Development of Maize in Various Soil Moisture Conditions. Agronomy. 2025; 15(1):96. https://doi.org/10.3390/agronomy15010096

Chicago/Turabian Style

Grzanka, Monika, Łukasz Sobiech, Romana Głowicka-Wołoszyn, and Dominika Radzikowska-Kujawska. 2025. "Effect of Synthetic and Biological Plant Growth Stimulants and Soil Amendments on the Development of Maize in Various Soil Moisture Conditions" Agronomy 15, no. 1: 96. https://doi.org/10.3390/agronomy15010096

APA Style

Grzanka, M., Sobiech, Ł., Głowicka-Wołoszyn, R., & Radzikowska-Kujawska, D. (2025). Effect of Synthetic and Biological Plant Growth Stimulants and Soil Amendments on the Development of Maize in Various Soil Moisture Conditions. Agronomy, 15(1), 96. https://doi.org/10.3390/agronomy15010096

Note that from the first issue of 2016, this journal uses article numbers instead of page numbers. See further details here.

Article Metrics

Back to TopTop