Multispectral Inversion of Starch Content in Rice Grains from Yingjiang County Based on Feature Band Selection Algorithms
Abstract
1. Introduction
2. Materials and Methods
2.1. Study Area
2.2. Data
2.2.1. Sentinel-2 Multispectral Data
2.2.2. Sampling Analysis Data
2.3. Method
2.3.1. Remote Sensing Image Processing
2.3.2. Spectral Differential Transformation
2.4. Selection of Characteristic Wavelengths
2.4.1. Successive Projections Algorithm
- (1)
- Let i = 1. Assign the k-th column vector of the spectral matrix X, denoted as Xk, to Z1, then, Z1 = Xk. Thus, the set of selected variables is k, sel(1,k) = k. The remaining unselected column vectors Xj are denoted as Xj,i, where Xj,i = Xj.
- (2)
- Based on Zi, compute the orthogonal projection matrix Pi = I − Zi(Zi)T((Zi)TZi)−1, where I is the N × N identity matrix. Then, calculate the projected vector Xj,i+1 = PiXj,i.
- (3)
- Select the position of the largest projected vector, j*, and store it in the set selsel,
- (4)
- Let i = i + 1, Zi = Xj*,i+1, check if the number of selected variables has reached the specified number M. If I < M, return to step (2) to select the next variable.
2.4.2. Uninformative Variables Elimination
2.4.3. Competitive Adaptive Reweighted Sampling
- (1)
- Monte Carlo model sampling
- (2)
- Exponential decay wavelength selection
2.5. Inversion Model
2.5.1. BP Neural Network Model
2.5.2. ELM Neural Network Model
2.5.3. Accuracy Evaluation
3. Results
3.1. Extraction of Rice Cultivation Areas
3.2. Spectral Band Selection Results
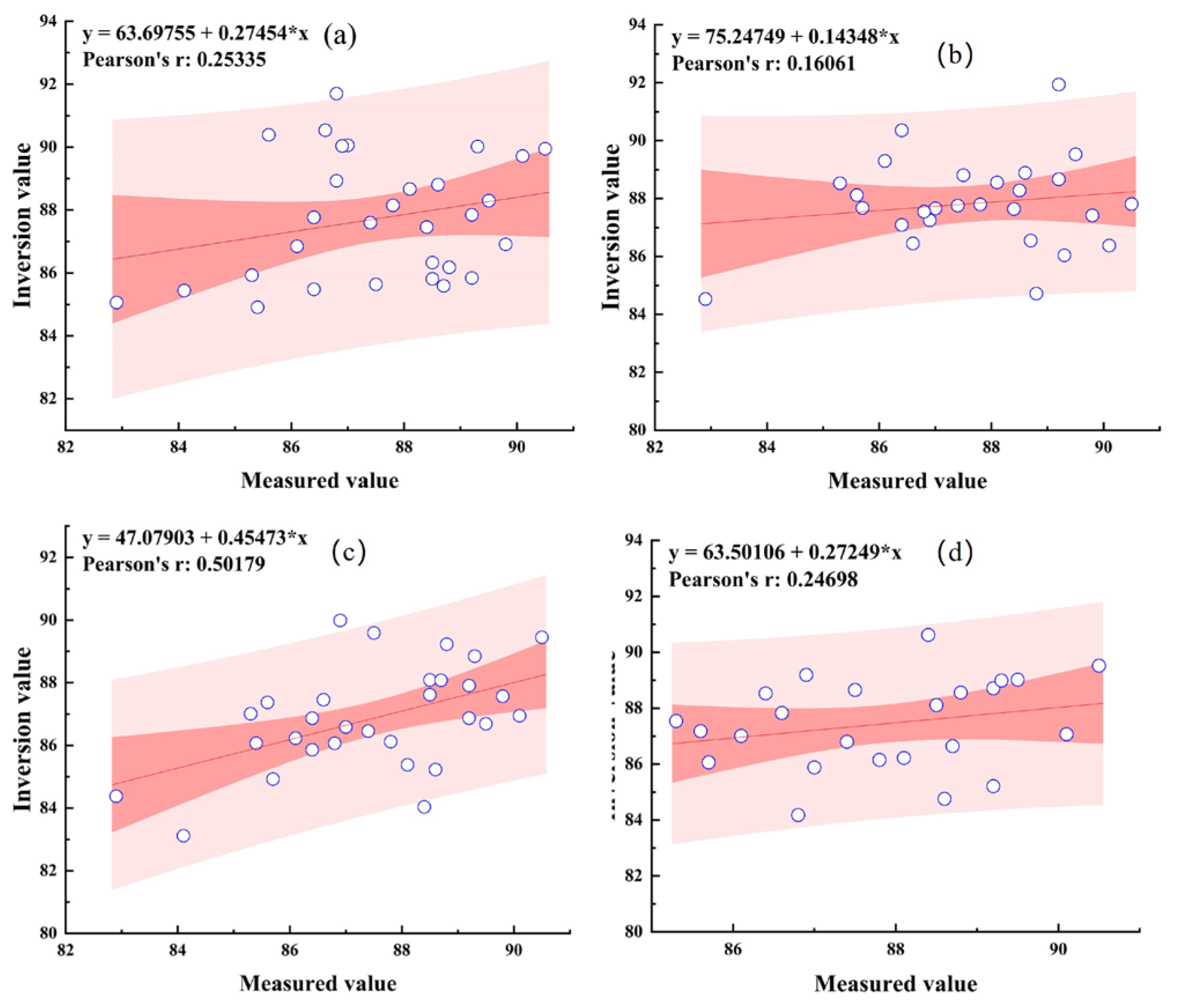
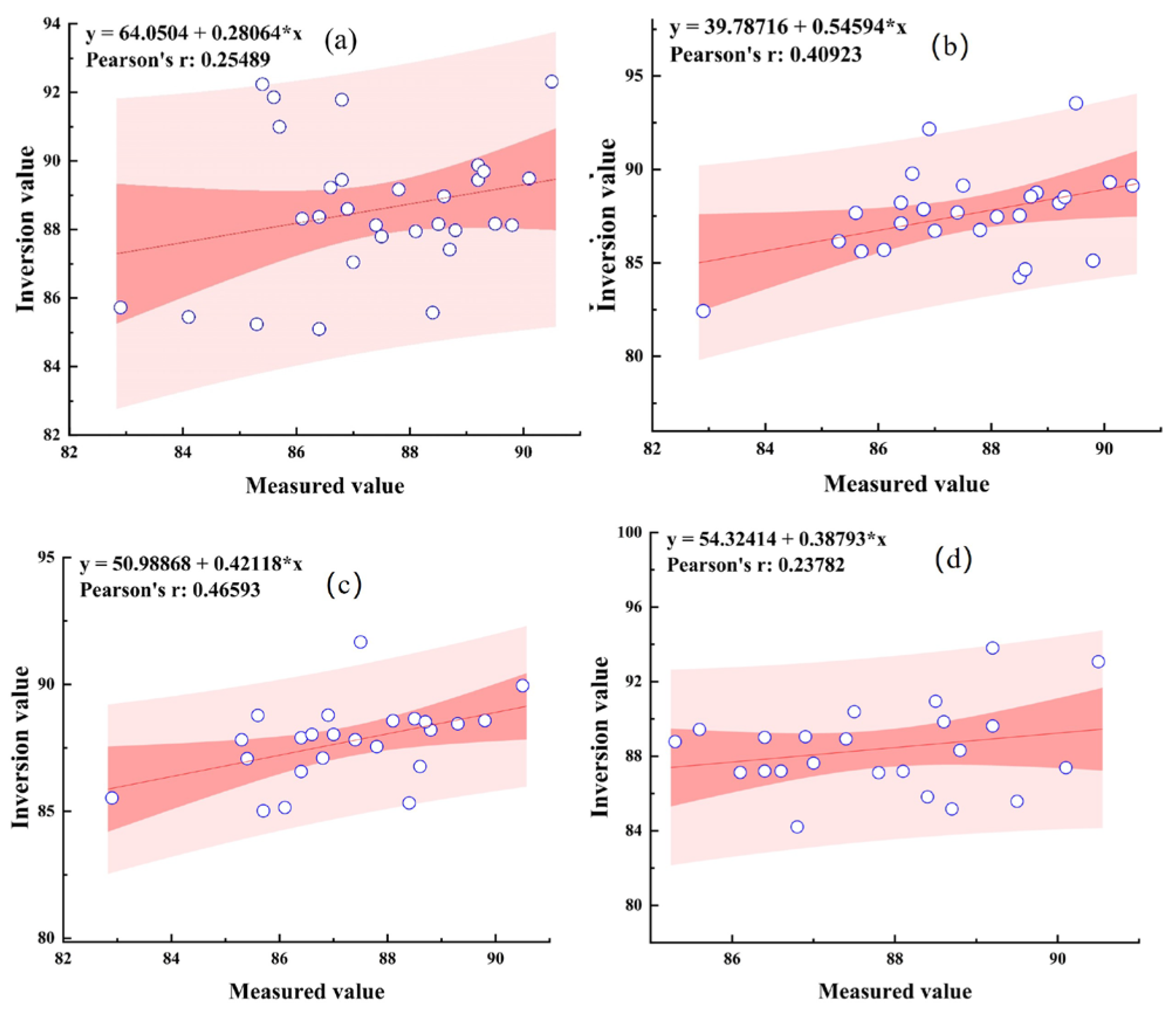
3.3. Comparison of Inversion Model Accuracy
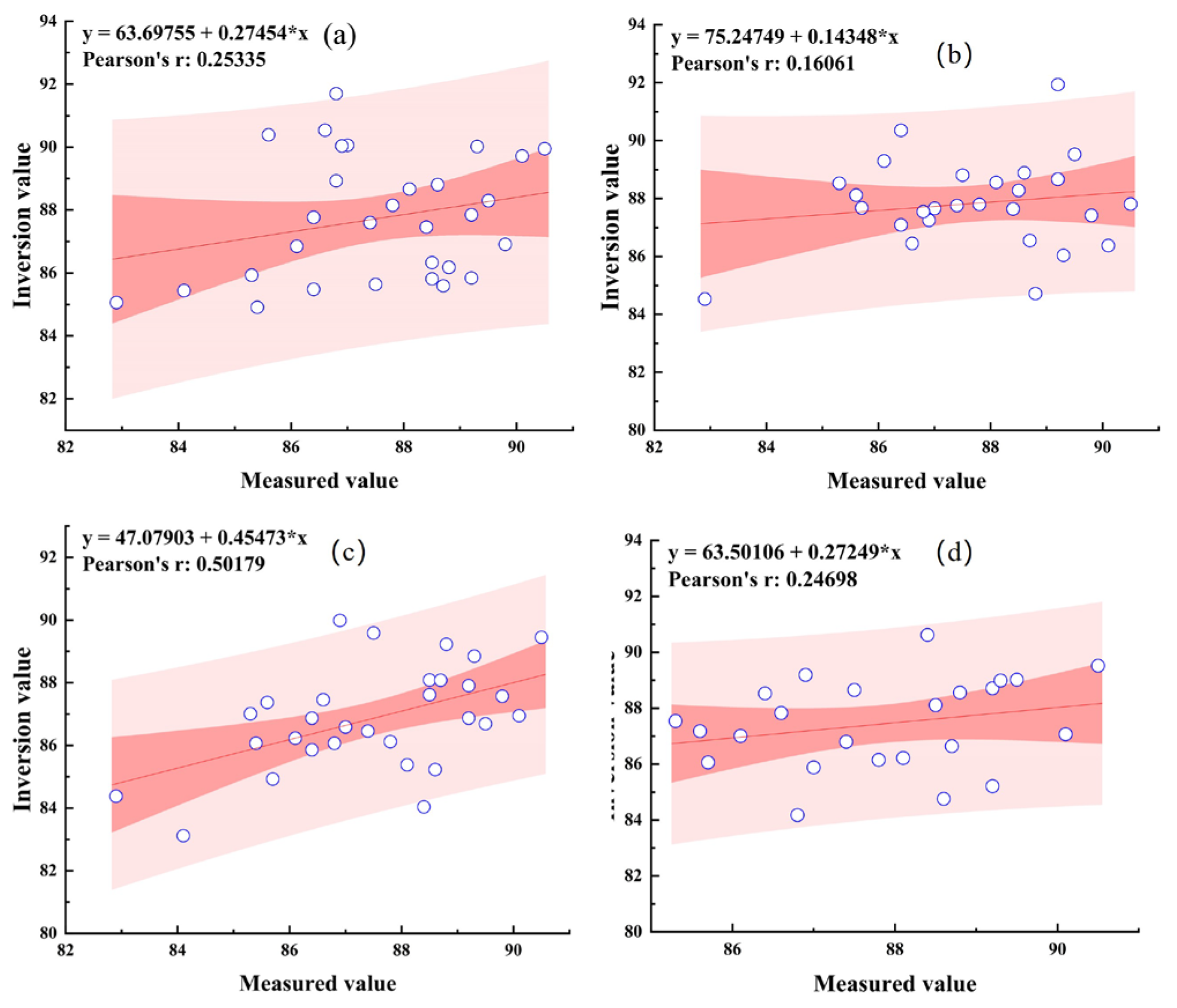
3.4. Comparison of Inversion Results
3.5. Spatial Distribution of Starch Content in Rice Grains
4. Discussion
4.1. Analysis of the Inversion Results
4.2. Analysis of Feature Selection Results
4.3. Limitations of the Study
5. Conclusions
Author Contributions
Funding
Data Availability Statement
Acknowledgments
Conflicts of Interest
References
- Durbha, S.R.; Siromani, N.; Jaldhani, V.; Krishnakanth, T.; Thuraga, V.; Neeraja, C.N.; Subrahmanyam, D.; Sundaram, R.M. Dynamics of Starch Formation and Gene Expression during Grain Filling and Its Possible Influence on Grain Quality. Sci. Rep. 2024, 14, 6743. [Google Scholar] [CrossRef] [PubMed]
- Li, Q.; Liu, X.; Zhang, C.; Jiang, L.; Jiang, M.; Zhong, M.; Fan, X.; Gu, M.; Liu, Q. Rice Soluble Starch Synthase I: Allelic Variation, Expression, Function, and Interaction with Waxy. Front. Plant Sci. 2018, 9, 01591. [Google Scholar] [CrossRef] [PubMed]
- Peng, X.; Yu, W.; Chen, Y.; Jiang, Y.; Ji, Y.; Chen, L.; Cheng, B.; Wu, J. A Maize CBM Domain Containing the Protein ZmCBM48-1 Positively Regulates Starch Synthesis in the Rice Endosperm. Int. J. Mol. Sci. 2022, 23, 6598. [Google Scholar] [CrossRef] [PubMed]
- Haboudane, D. Hyperspectral Vegetation Indices and Novel Algorithms for Predicting Green LAI of Crop Canopies: Modeling and Validation in the Context of Precision Agriculture. Remote Sens. Environ. 2004, 90, 337–352. [Google Scholar] [CrossRef]
- Chen, P.; Haboudane, D.; Tremblay, N.; Wang, J.; Vigneault, P.; Li, B. New Spectral Indicator Assessing the Efficiency of Crop Nitrogen Treatment in Corn and Wheat. Remote Sens. Environ. 2010, 114, 1987–1997. [Google Scholar] [CrossRef]
- Hansen, P.M.; Schjoerring, J.K. Reflectance Measurement of Canopy Biomass and Nitrogen Status in Wheat Crops Using Normalized Difference Vegetation Indices and Partial Least Squares Regression. Remote Sens. Environ. 2003, 86, 542–553. [Google Scholar] [CrossRef]
- Wang, Q.; Li, J.; Jin, T.; Chang, X.; Zhu, Y.; Li, Y.; Sun, J.; Li, D. Comparative Analysis of Landsat-8, Sentinel-2, and GF-1 Data for Retrieving Soil Moisture over Wheat Farmlands. Remote Sens. 2020, 12, 2708. [Google Scholar] [CrossRef]
- Liu, C.; Huang, W.; Yang, G.; Wang, Q.; Li, J.; Chen, L. Determination of Starch Content in Single Kernel Using Near-Infrared Hyperspectral Images from Two Sides of Corn Seeds. Infrared Phys. Technol. 2020, 110, 103462. [Google Scholar] [CrossRef]
- Zhao, W.; Ma, H.; Zhou, C.; Zhou, C.; Li, Z. Soil Salinity Inversion Model Based on BPNN Optimization Algorithm for UAV Multispectral Remote Sensing. IEEE J. Sel. Top. Appl. Earth Obs. Remote Sens. 2023, 16, 6038–6047. [Google Scholar] [CrossRef]
- Zhou, W.; Li, H.; Xie, L.; Nie, X.; Wang, Z.; Du, Z.; Yue, T. Remote Sensing Inversion of Grassland Aboveground Biomass Based on High Accuracy Surface Modeling. Ecol. Indic. 2021, 121, 107215. [Google Scholar] [CrossRef]
- Zheng, J.; Song, X.; Yang, G.; Du, X.; Mei, X.; Yang, X. Remote Sensing Monitoring of Rice and Wheat Canopy Nitrogen: A Review. Remote Sens. 2022, 14, 5712. [Google Scholar] [CrossRef]
- Wang, M.; Yang, J.; Liu, S.; Gu, Y.; Xu, M.; Ma, Y.; Zhang, J.; Wan, J. Quantitative Inversion of Oil Film Thickness Based on Airborne Hyperspectral Data Using the 1DCNN_ GRU Model. IEEE Trans. Geosci. Remote Sens. 2023, 61, 4208616. [Google Scholar] [CrossRef]
- Liu, H.; Zhu, H.; Wang, P. Quantitative Modelling for Leaf Nitrogen Content of Winter Wheat Using UAV-Based Hyperspectral Data. Int. J. Remote Sens. 2017, 38, 2117–2134. [Google Scholar] [CrossRef]
- Yin, F.; Wu, M.; Liu, L.; Zhu, Y.; Feng, J.; Yin, D.; Yin, C.; Yin, C. Predicting the Abundance of Copper in Soil Using Reflectance Spectroscopy and GF5 Hyperspectral Imagery. Int. J. Appl. Earth Obs. Geoinf. 2021, 102, 102420. [Google Scholar] [CrossRef]
- El-Hamid, H.; Hong, G. Hyperspectral Remote Sensing for Extraction of Soil Salinization in the Northern Region of Ningxia. Model. Earth Syst. Environ. 2020, 6, 2487–2493. [Google Scholar] [CrossRef]
- Yin, H.; Li, F.; Yang, H.; Di, Y.; Hu, Y.; Yu, K. Mapping Plant Nitrogen Concentration and Aboveground Biomass of Potato Crops from Sentinel-2 Data Using Ensemble Learning Models. Remote Sens. 2024, 16, 349. [Google Scholar] [CrossRef]
- Hu, Q.; Sulla-Menashe, D.; Xu, B.; Yin, H.; Tang, H.; Yang, P.; Wu, W. A Phenology-Based Spectral and Temporal Feature Selection Method for Crop Mapping from Satellite Time Series. Int. J. Appl. Earth Obs. Geoinf. 2019, 80, 218–229. [Google Scholar] [CrossRef]
- Alizadeh Moghaddam, S.H.; Mokhtarzade, M.; Beirami, B.A. A Feature Extraction Method Based on Spectral Segmentation and Integration of Hyperspectral Images. Int. J. Appl. Earth Obs. Geoinf. 2020, 89, 102097. [Google Scholar] [CrossRef]
- Huang, Y.; Li, Z.; Risinger, A.L.; Enslow, B.T.; Zeman, C.J.; Gong, J.; Yang, Y.; Schanze, K.S. Fluorescence Spectral Shape Analysis for Nucleotide Identification. Proc. Natl. Acad. Sci. USA 2019, 116, 15386–15391. [Google Scholar] [CrossRef]
- Kganyago, M.; Adjorlolo, C.; Mhangara, P. Exploring Transferable Techniques to Retrieve Crop Biophysical and Biochemical Variables Using Sentinel-2 Data. Remote Sens. 2022, 14, 3968. [Google Scholar] [CrossRef]
- Zheng, R.; Jia, Y.; Ullagaddi, C.; Allen, C.; Rausch, K.; Singh, V.; Schnable, J.C.; Kamruzzaman, M. Optimizing Feature Selection with Gradient Boosting Machines in PLS Regression for Predicting Moisture and Protein in Multi-Country Corn Kernels via NIR Spectroscopy. Food Chem. 2024, 456, 140062. [Google Scholar] [CrossRef] [PubMed]
- Zhao, M.; Gao, Y.; Lu, Y.; Wang, S. Hyperspectral Modeling of Soil Organic Matter Based on Characteristic Wavelength in East China. Sustainability 2022, 14, 8455. [Google Scholar] [CrossRef]
- Li, X.; Wu, J.; Yu, J.; Zhou, Z.; Wang, Q.; Zhao, W.; Hu, L. Inversion of Soil Moisture Content in Cotton Fields Using GBR-RF Algorithm Combined with Sentinel-2 Satellite Spectral Data. Agronomy 2024, 14, 784. [Google Scholar] [CrossRef]
- Zhang, J.; Fu, P.; Meng, F.; Yang, X.; Xu, J.; Cui, Y. Estimation Algorithm for Chlorophyll-a Concentrations in Water from Hyperspectral Images Based on Feature Derivation and Ensemble Learning. Ecol. Inform. 2022, 71, 101783. [Google Scholar] [CrossRef]
- Jiang, Y.; Kong, J.; Zhong, Y.; Zhang, J.; Zheng, Z.; Wang, L.; Liu, D. The Optimal Method for Water Quality Parameters Retrieval of Urban River Based on Machine Learning Algorithms Using Remote Sensing Images. Int. J. Remote Sens. 2024, 45, 7297–7317. [Google Scholar] [CrossRef]
- Luan, K.; Li, H.; Wang, J.; Gao, C.; Pan, Y.; Zhu, W.; Xu, H.; Qiu, Z.; Qiu, C. Quantitative Inversion Method of Surface Suspended Sand Concentration in Yangtze Estuary Based on Selected Hyperspectral Remote Sensing Bands. Sustainability 2022, 14, 13076. [Google Scholar] [CrossRef]
- Xu, S.; Xu, X.; Zhu, Q.; Meng, Y.; Yang, G.; Feng, H.; Yang, M.; Zhu, Q.; Xue, H.; Wang, B. Monitoring Leaf Nitrogen Content in Rice Based on Information Fusion of Multi-Sensor Imagery from UAV. Precis. Agric. 2023, 24, 2327–2349. [Google Scholar] [CrossRef]
- Zhou, W.; Xiao, J.; Li, H.; Chen, Q.; Wang, T.; Wang, Q.; Yue, T. Soil Organic Matter Content Prediction Using Vis-NIRS Based on Different Wavelength Optimization Algorithms and Inversion Models. J. Soils Sediments 2023, 23, 2506–2517. [Google Scholar] [CrossRef]
- Lin, Z.D.; Wang, Y.B.; Wang, R.J.; Wang, L.S.; Lu, C.P.; Zhang, Z.Y.; Song, L.T.; Liu, Y. Improvements of the Vis-NIRS Model in the Prediction of Soil Organic Matter Content Using Spectral Pretreatments, Sample Selection, and Wavelength Optimization. J. Appl. Spectrosc. 2017, 84, 529–534. [Google Scholar] [CrossRef]
- Yang, M.; Li, C.; Guan, J.; Yan, X. A Supervised-Learning p -Norm Distance Metric for Hyperspectral Remote Sensing Image Classification. IEEE Geosci. Remote Sens. Lett. 2018, 15, 1432–1436. [Google Scholar] [CrossRef]
- Zhang, F.; Li, X.; Zhou, X.; Chan, N.W.; Tan, M.L.; Kung, H.-T.; Shi, J. Retrieval of Soil Salinity Based on Multi-Source Remote Sensing Data and Differential Transformation Technology. Int. J. Remote Sens. 2023, 44, 1348–1368. [Google Scholar] [CrossRef]
- Zhao, H.; Gan, S.; Yuan, X.; Hu, L.; Wang, J.; Liu, S. Application of a Fractional Order Differential to the Hyperspectral Inversion of Soil Iron Oxide. Agriculture 2022, 12, 1163. [Google Scholar] [CrossRef]
- Hong, Y.; Chen, Y.; Yu, L.; Liu, Y.; Liu, Y.; Zhang, Y.; Liu, Y.; Cheng, H. Combining Fractional Order Derivative and Spectral Variable Selection for Organic Matter Estimation of Homogeneous Soil Samples by VIS–NIR Spectroscopy. Remote Sens. 2018, 10, 479. [Google Scholar] [CrossRef]
- Tang, S.; Du, C.; Nie, T. Inversion Estimation of Soil Organic Matter in Songnen Plain Based on Multispectral Analysis. Land. 2022, 11, 608. [Google Scholar] [CrossRef]
- Yang, C.; Feng, M.; Song, L.; Wang, C.; Yang, W.; Xie, Y.; Jing, B.; Xiao, L.; Zhang, M.; Song, X.; et al. Study on Hyperspectral Estimation Model of Soil Organic Carbon Content in the Wheat Field under Different Water Treatments. Sci. Rep. 2021, 11, 18582. [Google Scholar] [CrossRef]
- Araújo, M.C.U.; Saldanha, T.C.B.; Galvão, R.K.H.; Yoneyama, T.; Chame, H.C.; Visani, V. The Successive Projections Algorithm for Variable Selection in Spectroscopic Multicomponent Analysis. Chemom. Intell. Lab. Syst. 2001, 57, 65–73. [Google Scholar] [CrossRef]
- Moros, J.; Kuligowski, J.; Quintás, G.; Garrigues, S.; De La Guardia, M. New Cut-off Criterion for Uninformative Variable Elimination in Multivariate Calibration of near-Infrared Spectra for the Determination of Heroin in Illicit Street Drugs. Anal. Chim. Acta 2008, 630, 150–160. [Google Scholar] [CrossRef]
- Centner, V.; Massart, D.L.; de Noord, O.E.; de Jong, S.; Vandeginste, B.M.; Sterna, C. Elimination of Uninformative Variables for Multivariate Calibration. Anal. Chem. 1996, 68, 3851–3858. [Google Scholar] [CrossRef]
- Li, H.; Liang, Y.; Xu, Q.; Cao, D. Key Wavelengths Screening Using Competitive Adaptive Reweighted Sampling Method for Multivariate Calibration. Anal. Chim. Acta 2009, 648, 77–84. [Google Scholar] [CrossRef]
- Shen, N. Application of BP Neural Network Model in Groundwater Quality Evaluation. Syst. Eng.—Theory Pract. 2000, 20, 124–127. [Google Scholar]
- Cui, K.; Jing, X. Research on Prediction Model of Geotechnical Parameters Based on BP Neural Network. Neural Comput. Appl. 2019, 31, 8205–8215. [Google Scholar] [CrossRef]
- Liu, Q.; Sun, P.; Fu, X.; Zhang, J.; Yang, H.; Gao, H.; Li, Y. Comparative Analysis of BP Neural Network and RBF Neural Network in Seismic Performance Evaluation of Pier Columns. Mech. Syst. Signal Process. 2020, 141, 106707. [Google Scholar] [CrossRef]
- Zhou, S.; Liu, C.; Zhao, Y.; Zhang, G.; Zhang, Y. Leakage Diagnosis of Heating Pipe-Network Based on BP Neural Network. Sustain. Energy Grids Netw. 2022, 32, 100869. [Google Scholar] [CrossRef]
- Chen, C.; Li, T.; Ma, C.; Zhang, H.; Tang, J.; Zhang, Y. Hoek-Brown Failure Criterion-Based Creep Constitutive Model and BP Neural Network Parameter Inversion for Soft Surrounding Rock Mass of Tunnels. Appl. Sci. 2021, 11, 10033. [Google Scholar] [CrossRef]
- Kang, X.; Zhao, Y.; Li, J. Predicting Refractive Index of Ionic Liquids Based on the Extreme Learning Machine (ELM) Intelligence Algorithm. J. Mol. Liq. 2018, 250, 44–49. [Google Scholar] [CrossRef]
- Han, M.; Liu, B. Ensemble of Extreme Learning Machine for Remote Sensing Image Classification. Neurocomputing 2015, 149, 65–70. [Google Scholar] [CrossRef]
- Zhang, L.; Mao, D.; Niu, J.; Wu, Q.M.J.; Ji, Y. Continuous Tracking of Targets for Stereoscopic HFSWR Based on IMM Filtering Combined with ELM. Remote Sens. 2020, 12, 272. [Google Scholar] [CrossRef]
- Maimaitiyiming, M.; Sagan, V.; Sidike, P.; Kwasniewski, M.T. Dual Activation Function-Based Extreme Learning Machine (ELM) for Estimating Grapevine Berry Yield and Quality. Remote Sens. 2019, 11, 740. [Google Scholar] [CrossRef]
- Bencherif, M.A.; Bazi, Y.; Guessoum, A.; Alajlan, N.; Melgani, F.; AlHichri, H. Fusion of Extreme Learning Machine and Graph-Based Optimization Methods for Active Classification of Remote Sensing Images. IEEE Geosci. Remote Sens. Lett. 2015, 12, 527–531. [Google Scholar] [CrossRef]
- Hu, H.; Ren, Y.; Zhou, H.; Lou, W.; Hao, P.; Lin, B.; Zhang, G.; Gu, Q.; Hua, S. Oilseed Rape Yield Prediction from UAVs Using Vegetation Index and Machine Learning: A Case Study in East China. Agriculture 2024, 14, 1317. [Google Scholar] [CrossRef]










| Band Number | Central Wavelength/nm | Bandwidth/nm | Spatial Resolution/m |
|---|---|---|---|
| B1 | 443 (Coast) | 20 | 60 |
| B2 | 490 (Blue light) | 65 | 10 |
| B3 | 560 (Green light) | 35 | 10 |
| B4 | 665 (Red light) | 30 | 10 |
| B5 | 705 (Red edge) | 15 | 20 |
| B6 | 740 (Red edge) | 15 | 20 |
| B7 | 783 (Red edge) | 20 | 20 |
| B8 | 842 (Near infrared) | 115 | 10 |
| B8A | 865 (Near infrared) | 20 | 20 |
| B9 | 945 (Water vapor) | 20 | 60 |
| B10 | 1375 (Cirrus cloud band) | 30 | 60 |
| B11 | 1610 (Shortwave infrared) | 90 | 20 |
| B12 | 2190 (Shortwave infrared) | 180 | 20 |
| Number of Samples | Minimum Value (%) | Maximum Value (%) | Average Value (%) | Standard Deviation |
|---|---|---|---|---|
| 31 | 82.92 | 90.50 | 87.48 | 1.80 |
| Spectral Separability of Features | |
|---|---|
| build and soil: | 1.93998912 |
| rice and vege: | 1.97247701 |
| build and vege: | 1.99724797 |
| rice and build: | 1.99937087 |
| vege and soil: | 1.99947500 |
| rice and soil: | 1.99979591 |
| build and water: | 1.99999995 |
| water and soil: | 2.00000000 |
| rice and water: | 2.00000000 |
| water and vege: | 2.00000000 |
| BP | ELM | |||
|---|---|---|---|---|
| R2 | MSE | R2 | MSE | |
| Full-Spectrum Bands | 0.7812 | 7.796 | 0.7517 | 0.3901 |
| SPA | 0.8048 | 11.1307 | 0.8094 | 1.164 |
| UVE | 0.8061 | 0.3896 | 0.8056 | 0.6589 |
| CARS | 0.8017 | 1.6115 | 0.7808 | 1.0921 |
Disclaimer/Publisher’s Note: The statements, opinions and data contained in all publications are solely those of the individual author(s) and contributor(s) and not of MDPI and/or the editor(s). MDPI and/or the editor(s) disclaim responsibility for any injury to people or property resulting from any ideas, methods, instructions or products referred to in the content. |
© 2024 by the authors. Licensee MDPI, Basel, Switzerland. This article is an open access article distributed under the terms and conditions of the Creative Commons Attribution (CC BY) license (https://creativecommons.org/licenses/by/4.0/).
Share and Cite
Su, X.; Zhao, Z.; Zeng, M.; Zhao, F.; Li, Z.; Zheng, Y. Multispectral Inversion of Starch Content in Rice Grains from Yingjiang County Based on Feature Band Selection Algorithms. Agronomy 2025, 15, 86. https://doi.org/10.3390/agronomy15010086
Su X, Zhao Z, Zeng M, Zhao F, Li Z, Zheng Y. Multispectral Inversion of Starch Content in Rice Grains from Yingjiang County Based on Feature Band Selection Algorithms. Agronomy. 2025; 15(1):86. https://doi.org/10.3390/agronomy15010086
Chicago/Turabian StyleSu, Xiaotong, Zhifang Zhao, Min Zeng, Fei Zhao, Ziyang Li, and Yu Zheng. 2025. "Multispectral Inversion of Starch Content in Rice Grains from Yingjiang County Based on Feature Band Selection Algorithms" Agronomy 15, no. 1: 86. https://doi.org/10.3390/agronomy15010086
APA StyleSu, X., Zhao, Z., Zeng, M., Zhao, F., Li, Z., & Zheng, Y. (2025). Multispectral Inversion of Starch Content in Rice Grains from Yingjiang County Based on Feature Band Selection Algorithms. Agronomy, 15(1), 86. https://doi.org/10.3390/agronomy15010086

