Prediction of Winter Wheat Parameters with Planet SuperDove Imagery and Explainable Artificial Intelligence
Abstract
1. Introduction
1.1. Background
1.2. Remote Sensing for Wheat Monitoring
2. Materials and Methods
2.1. Study Area and Climate Conditions
2.2. Field Data
2.3. Satellite Images and Processing
2.4. Modeling
2.5. Machine Learning Inference and Interpretation
3. Results
3.1. Agro-Meteorological Conditions
3.2. Soil Brightness Index
3.3. Models’ Performance
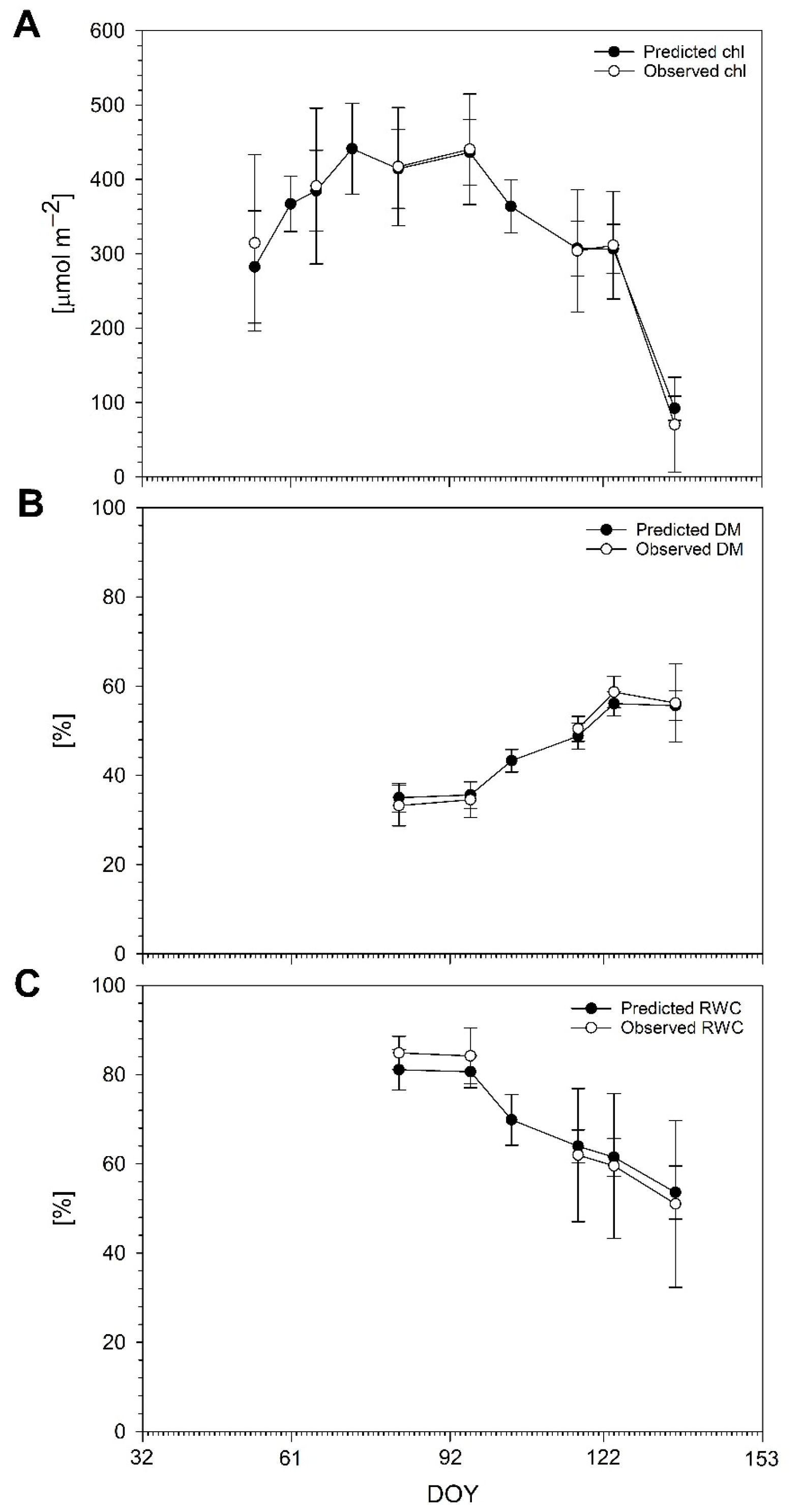
3.4. Predicted Parameters
4. Discussion
4.1. Platforms Comparison
4.2. Models Performance
4.2.1. Relative Chlorophyll Content Prediction
4.2.2. Dry Matter Prediction
4.2.3. Relative Water Content Prediction
4.2.4. SHAP Analysis
5. Conclusions
Supplementary Materials
Author Contributions
Funding
Data Availability Statement
Acknowledgments
Conflicts of Interest
References
- Hunter, M.C.; Smith, R.G.; Schipanski, M.E.; Atwood, L.W.; Mortensen, D.A. Mortensen, Agriculture in 2050: Recalibrating Targets for Sustainable Intensification. BioScience 2017, 67, 386–391. [Google Scholar] [CrossRef]
- Neupane, J.; Wenxuan, G. Agronomic Basis and Strategies for Precision Water Management: A Review. Agronomy 2019, 9, 87. [Google Scholar] [CrossRef]
- Barca, E.; De Benedetto, D.; Stellacci, A.M. Optimization of sampling design for soil total organic carbon assessment in the precision agriculture framework: Impact of different variogram models and potentiality of ground penetrating radar (GPR) covariate information. Comput. Electron. Agric. 2024, 226, 109470. [Google Scholar] [CrossRef]
- Singh, R.; Singh, G.S. Traditional agriculture: A climate-smart approach for sustainable food production. Energy Ecol. Environ. 2017, 2, 296–316. [Google Scholar] [CrossRef]
- Wezel, A.; Soboksa, G.; McClelland, S.; Delespesse, F.; Boissau, A. The blurred boundaries of ecological, sustainable, and agroecological intensification: A review. Agron. Sustain. Dev. 2015, 35, 1283–1295. [Google Scholar] [CrossRef]
- Tilman, D.; Balzer, C.; Hill, J.; Befort, B.L. Befort. Global Food Demand and the Sustainable Intensification of Agriculture. Proc. Natl. Acad. Sci. USA 2011, 108, 20260–20264. [Google Scholar] [CrossRef]
- Lago-Olveira, S.; Rebolledo-Leiva, R.; Garofalo, P.; Moreira, M.T.; González-García, S. Environmental and Economic Benefits of Wheat and Chickpea Crop Rotation in the Mediterranean Region of Apulia (Italy). Sci. Total Environ. 2023, 896, 165124. [Google Scholar] [CrossRef]
- Erenstein, O.; Jaleta, M.; Mottaleb, K.A.; Sonder, K.; Donovan, J.; Braun, H.-J. Global trends in wheat production, consumption and trade. In Wheat Improvement; Springer International Publishing: Cham, Switzerland, 2022; pp. 47–66. [CrossRef]
- Poole, N.; Donovan, J.; Erenstein, O. Viewpoint: Agri-nutrition research: Revisiting the contribution of maize and wheat to human nutrition and health. Food Policy 2021, 100, 101976. [Google Scholar] [CrossRef] [PubMed]
- Luthria, D.L.; Lu, Y.; John, K.M.M. Bioactive phytochemicals in wheat: Extraction, analysis, processing, and functional properties. J. Funct. Foods 2015, 18, 910–925. [Google Scholar] [CrossRef]
- Zingale, S.; Spina, A.; Ingrao, C.; Fallico, B.; Timpanaro, G.; Anastasi, U.; Guarnaccia, P. Factors affecting the nutritional, health, and technological quality of durum wheat for pasta-making: A systematic literature review. Plants 2023, 12, 530. [Google Scholar] [CrossRef] [PubMed]
- EUROSTAT. Wheat and Spelt by Area, Production and Humidity; EUROSTAT: Luxembourg, 2023.
- Le Gouis, J.; Oury, F.-X.; Charmet, G. How changes in climate and agricultural practices influenced wheat production in Western Europe. J. Cereal Sci. 2020, 93, 102960. [Google Scholar] [CrossRef]
- Ru, C.; Hu, X.; Chen, D.; Wang, W.; Zhen, J.; Song, T. Individual and combined effects of heat and drought and subsequent recovery on winter wheat (Triticum aestivum L.) photosynthesis, nitrogen metabolism, cell osmoregulation, and yield formation. Plant Physiol. Biochem. 2023, 196, 222–235. [Google Scholar] [CrossRef]
- Riedesel, L.; Möller, M.; Piepho, H.-P.; Rentel, D.; Lichthardt, C.; Golla, B.; Kautz, T.; Feike, T. Site conditions determine heat and drought induced yield losses in wheat and rye in Germany. Environ. Res. Lett. 2024, 19, 034024. [Google Scholar] [CrossRef]
- Muhammed, S.E.; Coleman, K.; Wu, L.; Bell, V.A.; Davies, J.A.C.; Quinton, J.N.; Carnell, E.J.; Tomlinson, S.J.; Dore, A.J.; Dragosits, U.; et al. Impact of two centuries of intensive agriculture on soil carbon, nitrogen and phosphorus cycling in the UK. Sci. Total Environ. 2018, 634, 1486–1504. [Google Scholar] [CrossRef] [PubMed]
- Rose, M.; Pahlmann, I.; Kage, H. Modified crop rotations for a sustainable intensification? A case study in a high-yielding environment with recurrent nitrogen surplus. Eur. J. Agron. 2023, 142, 126644. [Google Scholar] [CrossRef]
- Colovic, M.; Stellacci, A.M.; Mzid, N.; Di Venosa, M.; Todorovic, M.; Cantore, V.; Albrizio, R. Comparative Performance of Aerial RGB vs. Ground Hyperspectral Indices for Evaluating Water and Nitrogen Status in Sweet Maize. Agronomy 2024, 14, 562. [Google Scholar] [CrossRef]
- Fox, R.H.; Piekielek, W.P.; Macneal, K.M. Using a chlorophyll meter to predict nitrogen fertilizer needs of winter wheat. Commun. Soil. Sci. Plant Anal. 1994, 25, 171–181. [Google Scholar] [CrossRef]
- Liu, T.; Zhang, H.; Wang, Z.Y.; He, C.; Zhang, Q.G.; Jiao, Y.M. Estimation of the leaf area index and chlorophyll content of wheat using UAV multi-spectrum images. J. Trans. Chin. Soc. Agric. Eng. 2021, 37, 65–72. [Google Scholar] [CrossRef]
- Qiang, W.; Zhang, Y.; Zhao, Z.; Xie, M.; Hou, D. Estimation of Relative Chlorophyll Content in Spring Wheat Based on Multi-Temporal UAV Remote Sensing. Agronomy 2023, 13, 211. [Google Scholar] [CrossRef]
- Yang, B.; Wen, H.; Wang, S.; Zhang, J.; Wang, Y.; Zhang, T.; Yuan, K.; Lu, L.; Liu, Y.; Xue, Q.; et al. Enhancing Drought Resistance and Yield of Wheat through Inoculation with Streptomyces pactum Act12 in Drought Field Environments. Agronomy 2024, 14, 692. [Google Scholar] [CrossRef]
- Memon, H.M.U.; Bux, H.; Sial, M.A.; Hussain, N.; Soomro, S.A.; Mujtaba, S.; Bughio, F.A. Genetic screening of wheat using multivariate analysis under moisture stress. Pak. J. Bot. 2024, 56, 1309–1320. [Google Scholar] [CrossRef]
- Drees, L.; Demie, D.T.; Paul, M.R.; Leonhardt, J.; Seidel, S.J.; Döring, T.F.; Roscher, R. Data-driven crop growth simulation on time-varying generated images using multi-conditional generative adversarial networks. Plant Methods 2024, 20, 93. [Google Scholar] [CrossRef] [PubMed]
- Garofalo, S.P.; Giannico, V.; Lorente, B.; Vivaldi, G.A.; Jose, A. Predicting carob tree physiological parameters under different irrigation systems using Random Forest and Planet satellite images. Front. Plant Sci. 2024, 15, 1302435. [Google Scholar] [CrossRef] [PubMed]
- Stamford, J.D.; Vialet-Chabrand, S.; Cameron, I.; Lawson, T. Development of an accurate low cost NDVI imaging system for assessing plant health. Plant Methods 2023, 19, 9. [Google Scholar] [CrossRef] [PubMed]
- Giannico, V.; Garofalo, S.P.; Brillante, L.; Sciusco, P.; Elia, M.; Lopriore, G.; Camposeo, S.; Lafortezza, R.; Sanesi, G.; Vivaldi, G.A. Temporal Vine Water Status Modeling Through Machine Learning Ensemble Technique and Sentinel-2 Multispectral Images Under Semi-Arid Conditions. Remote Sens. 2024, 16, 4784. [Google Scholar] [CrossRef]
- Pan, H.; Chen, Z.; Ren, J.; Li, H.; Wu, S. Modeling Winter Wheat Leaf Area Index and Canopy Water Content With Three Different Approaches Using Sentinel-2 Multispectral Instrument Data. IEEE J. Sel. Top. Appl. Earth Obs. Remote Sens. 2019, 12, 482–492. [Google Scholar] [CrossRef]
- Ogungbuyi, M.G.; Guerschman, J.; Fischer, A.M.; Crabbe, R.A.; Ara, I.; Mohammed, C.; Scarth, P.; Tickle, P.; Whitehead, J.; Harrison, M.T. Improvement of pasture biomass modelling using high-resolution satellite imagery and machine learning. J. Environ. Manag. 2024, 356, 120564. [Google Scholar] [CrossRef]
- Ali, A.M.; Darvishzadeh, R.; Skidmore, A.K. Retrieval of specific leaf area from landsat-8 surface reflectance data using statistical and physical models. IEEE J. Sel. Top. Appl. Earth Obs. Remote Sens. 2017, 10, 3529–3536. [Google Scholar] [CrossRef]
- Gawdiya, S.; Kumar, D.; Sharma, R.K.; Das, P.; Choudhary, M.; Matter, M.A. Field scale wheat yield prediction using ensemble machine learning techniques. Smart Agric. Technol. 2024, 9, 100543. [Google Scholar] [CrossRef]
- Verrelst, J.; Munoz, J.; Alonso, L.; Delegido, J.; Rivera, J.P.; Camps-Valls, G.; Moreno, J. Machine learning regression algorithms for biophysical parameter retrieval: Opportunities for Sentinel-2 and-3. Remote Sens. Environ. 2012, 118, 127–139. [Google Scholar] [CrossRef]
- Wang, J.; Xiao, X.; Bajgain, R.; Starks, P.; Steiner, J.; Doughty, R.B.; Chang, Q. Estimating leaf area index and aboveground biomass of grazing pastures using Sentinel-1, Sentinel-2 and Landsat images. ISPRS J. Photogramm. Remote Sens. 2019, 154, 189–201. [Google Scholar] [CrossRef]
- Fei, S.; Li, L.; Han, Z.; Chen, Z.; Xiao, Y. Combining novel feature selection strategy and hyperspectral vegetation indices to predict crop yield. Plant Methods 2022, 18, 119. [Google Scholar] [CrossRef] [PubMed]
- Van Klompenburg, T.; Kassahun, A.; Catal, C. Crop yield prediction using machine learning: A systematic literature review. Comput. Electron. Agric. 2020, 177, 105709. [Google Scholar] [CrossRef]
- Vapnik, V.N. The Nature of Statistical Learning Theory; Springer: New York, NY, USA, 1995; p. 188. [CrossRef]
- Yadav, V.P.; Prasad, R.; Bala, R.; Srivastava, P.K. Synergy of vegetation and soil microwave scattering model for leaf area index retrieval using C-band sentinel-1Asatellite data. IEEE Geosci. Remote Sens. 2020, 19, 4004605. [Google Scholar] [CrossRef]
- Yadav, V.P.; Prasad, R.; Bala, R.; Vishwakarma, A.K. An improved inversion algorithm for spatio-temporal retrieval of soil moisture through modified water cloud model using C-band sentinel-1A SAR data. Comput. Electron. Agric. 2020, 173, 105447. [Google Scholar] [CrossRef]
- Son, N.T.; Chen, C.F.; Cheng, Y.S.; Toscano, P.; Chen, C.R.; Chen, S.L.; Tseng, K.H.; Syu, C.H.; Guo, H.Y.; Zhang, Y.T. Field-scale rice yield prediction from Sentinel-2 monthly image composites using machine learning algorithms. Ecol. Inform. 2022, 69, 101618. [Google Scholar] [CrossRef]
- Prakash, A.; Thangaraj, J.; Roy, S.; Srivastav, S.; Mishra, J.K. Model-Aware XGBoost Method Towards Optimum Performance of Flexible Distributed Raman Amplifier. IEEE Photonics J. 2023, 15, 8800210. [Google Scholar] [CrossRef]
- Lee, H.; Wang, J.; Leblon, B. Using linear regression, random forests, and support vector machine with unmanned aerial vehicle multispectral images to predict canopy nitrogen weight in corn. Remote Sens. 2020, 12, 2071. [Google Scholar] [CrossRef]
- Climate-Data. Climate-Data.org. 2024. Available online: https://en.climate-data.org/europe/italy/apulia/rutigliano-14028/ (accessed on 7 July 2024).
- Allen, R.G.; Pereira, L.S.; Raes, D.; Smith, M. Crop Evapotranspiration-Guidelines for Computing Crop Water Requirements-FAO Irrigation and Drainage Paper 56; Food and Agriculture Organization of the United Nations: Rome, Italy, 1998.
- Tahara, M.; Carver, B.F.; Johnson, R.C.; Smith, E.L. Relationship between relative water content during reproductive development and winter wheat grain yield. Euphytica 1990, 49, 255–262. [Google Scholar] [CrossRef]
- Planet Imagery Product Specifications. 2024. Available online: www.planet.com/products/satellite-imagery-of-earth/ (accessed on 19 August 2024).
- Pebesma, E. Simple features for R: Standardized support for spatial vector data. R J. 2018, 10, 439–446. [Google Scholar] [CrossRef]
- Hijmans, R.J.; Bivand, R.; Dyba, K.; Pebesma, E.; Sumner, M.D. CRAN: Package Terra. 2024. Available online: https://cran.r-project.org/web/packages/terra/index.html (accessed on 11 July 2024).
- Wu, C.; Niu, Z.; Tang, Q.; Huang, W. Estimating chlorophyll content from hyperspectral vegetation indices: Modeling and validation. Agric. For. Meteorol. 2008, 148, 1230–1241. [Google Scholar] [CrossRef]
- Zhang, Q.; Li, Q.; Zhang, G. Rapid Determination of Leaf Water Content Using VIS/NIR Spectroscopy Analysis with Wavelength Selection. J. Spectrosc. 2012, 27, 93–105. [Google Scholar] [CrossRef]
- Moreira, L.C.J.; Teixeira, A.D.S.; Galvão, L.S. Potential of multispectral and hyperspectral data to detect saline-exposed soils in Brazil. GIsci. Remote Sens. 2015, 52, 416–436. [Google Scholar] [CrossRef]
- Huete, A.; Didan, K.; Miura, T.; Rodriguez, E.P.; Gao, X.; Ferreira, L.G. Overview of the radiometric and biophysical performance of the MODIS vegetation indices. Remote Sens. Environ. 2002, 83, 195–213. [Google Scholar] [CrossRef]
- Gitelson, A.A.; Merzlyak, M.N. Remote sensing of chlorophyll concentration in higher plant leaves. Adv. Space Res. 1998, 22, 689–692. [Google Scholar] [CrossRef]
- Qi, J.; Chehbouni, A.; Huete, A.R.; Kerr, Y.H.; Sorooshian, S. A modified soil adjusted vegetation index. Remote Sens. Environ. 1994, 48, 119–126. [Google Scholar] [CrossRef]
- Rondeaux, G.; Steven, M.; Baret, F. Optimization of soil-adjusted vegetation indices. Remote Sens. Environ. 1996, 55, 95–107. [Google Scholar] [CrossRef]
- Sims, D.A.; Gamon, J.A. Relationships between leaf pigment content and spectral reflectance across a wide range of species, leaf structures and developmental stages. Remote Sens. Environ. 2002, 81, 337–354. [Google Scholar] [CrossRef]
- Chen, J.; Jönsson, P.; Tamura, M.; Gu, Z.; Matsushita, B.; Eklundh, L. A simple method for reconstructing a high-quality NDVI time-series data set based on the Savitzky–Golay filter. Remote Sens. Environ. 2004, 91, 332–344. [Google Scholar] [CrossRef]
- Huete, A.R. A soil-adjusted vegetation index (SAVI). Remote Sens. Environ. 1988, 25, 295–309. [Google Scholar] [CrossRef]
- Fitzgerald, G.; Rodriguez, D.; O’Leary, G. Measuring and predicting canopy nitrogen nutrition in wheat using a spectral index—The canopy chlorophyll content index (CCCI). Field Crops Res. 2010, 116, 318–324. [Google Scholar] [CrossRef]
- Kimura, R.; Okada, S.; Miura, H.; Kamichika, M. Relationships among the leaf area index, moisture availability, and spectral reflectance in an upland rice field. Agric. Water Manag. 2004, 69, 83–100. [Google Scholar] [CrossRef]
- Devadas, R.; Lamb, D.W.; Simpfendorfer, S.; Backhouse, D. Evaluating ten spectral vegetation indices for identifying rust infection in individual wheat leaves. Precis. Agric. 2009, 10, 459–470. [Google Scholar] [CrossRef]
- Ju, C.H.; Tian, Y.C.; Yao, X.; Cao, W.X.; Zhu, Y.; Hannaway, D. Estimating Leaf Chlorophyll Content Using Red Edge Parameters. Pedosphere 2010, 20, 633–644. [Google Scholar] [CrossRef]
- Clevers, J.G.P.W.; Gitelson, A.A. Remote estimation of crop and grass chlorophyll and nitrogen content using red-edge bands on Sentinel-2 and -3. Int. J. Appl. Earth Obs. Geoinf. 2013, 23, 344–351. [Google Scholar] [CrossRef]
- Verrelst, J.; Schaepman, M.E.; Koetz, B.; Kneubühler, M. Angular sensitivity analysis of vegetation indices derived from CHRIS/PROBA data. Remote Sens. Environ. 2008, 112, 2341–2353. [Google Scholar] [CrossRef]
- Breiman, L. Random Forests. Mach. Learn. 2001, 45, 5–32. [Google Scholar] [CrossRef]
- Jiang, J.; Atkinson, P.M.; Chen, C.; Cao, Q.; Tian, Y.; Zhu, Y.; Liu, X.; Cao, W. Combining UAV and Sentinel-2 satellite multi-spectral images to diagnose crop growth and N status in winter wheat at the county scale. Field Crops Res. 2023, 294, 108860. [Google Scholar] [CrossRef]
- Campi, P.; Modugno, A.F.; De Carolis, G.; Pedrero Salcedo, F.; Lorente, B.; Garofalo, S.P. A Machine Learning Approach to Monitor the Physiological and Water Status of an Irrigated Peach Orchard under Semi-Arid Conditions by Using Multispectral Satellite Data. Water 2024, 16, 2224. [Google Scholar] [CrossRef]
- Shah, S.H.; Angel, Y.; Houborg, R.; Ali, S.; McCabe, M.F. A Random Forest Machine Learning Approach for the Retrieval of Leaf Chlorophyll Content in Wheat. Remote Sens. 2019, 11, 920. [Google Scholar] [CrossRef]
- Biau, G.; Scornet, E. A random forest guided tour. TEST 2016, 25, 197–227. [Google Scholar] [CrossRef]
- Joshi, A.; Pradhan, B.; Chakraborty, S.; Behera, M.D. Winter wheat yield prediction in the conterminous United States using solar-induced chlorophyll fluorescence data and XGBoost and random forest algorithm. Ecol. Inf. 2023, 77, 102194. [Google Scholar] [CrossRef]
- Garofalo, S.P.; Modugno, A.F.; De Carolis, G.; Sanitate, N.; Negash Tesemma, M.; Scarascia-Mugnozza, G.; Tekle Tegegne, Y.; Campi, P. Explainable Artificial Intelligence to Predict the Water Status of Cotton (Gossypium hirsutum L., 1763) from Sentinel-2 Images in the Mediterranean Area. Plants 2024, 13, 3325. [Google Scholar] [CrossRef] [PubMed]
- Kuhn, M. Journal of Statistical Software Building Predictive Models in R Using the Caret Package. 2008. Available online: http://www.jstatsoft.org/ (accessed on 7 July 2024).
- Wright, M.N.; Ziegler, A. Ranger: A Fast Implementation of Random Forests for High Dimensional Data in C++ and R. J. Stat. Softw. 2017, 77, 1–17. [Google Scholar] [CrossRef]
- Chen, T.; Guestrin, C. XGBoost: A scalable tree boosting system. In Proceedings of the ACM SIGKDD International Conference on Knowledge Discovery and Data Mining, San Francisco, CA, USA; 13–17 August 2016. pp. 785–794. [CrossRef]
- Koc, A.; Odilbekov, F.; Alamrani, M.; Henriksson, T.; Chawade, A. Predicting yellow rust in wheat breeding trials by proximal phenotyping and machine learning. Plant Methods 2022, 18, 30. [Google Scholar] [CrossRef] [PubMed]
- Loi, C.L.; Wu, C.C.; Liang, Y.C. Prediction of Tropical Cyclogenesis Based on Machine Learning Methods and Its SHAP Interpretation. J. Adv. Model. Earth Syst. 2024, 16, e2023MS003637. [Google Scholar] [CrossRef]
- Yuan, X.; Li, S.; Chen, J.; Yu, H.; Yang, T.; Wang, C.; Huang, S.; Chen, H.; Ao, X. Impacts of Global Climate Change on Agricultural Production: A Comprehensive Review. Agronomy 2024, 14, 1360. [Google Scholar] [CrossRef]
- Omia, E.; Bae, H.; Park, E.; Kim, M.S.; Baek, I.; Kabenge, I.; Cho, B.-K. Remote Sensing in Field Crop Monitoring: A Comprehensive Review of Sensor Systems, Data Analyses and Recent Advances. Remote Sens. 2023, 15, 354. [Google Scholar] [CrossRef]
- Peeters, A.; Cohen, Y.; Bahat, I.; Ohana-Levi, N.; Goldshtein, E.; Netzer, Y.; Tenreiro, T.R.; Alchanatis, V.; Ben-Gal, A. A spatial machine-learning model for predicting crop water stress index for precision irrigation of vineyards. Comput. Electron. Agric. 2024, 227, 109578. [Google Scholar] [CrossRef]
- Roy, B.; Sagan, V.; Haireti, A.; Newcomb, M.; Tuberosa, R.; LeBauer, D.; Shakoor, N. Early Detection of Drought Stress in Durum Wheat Using Hyperspectral Imaging and Photosystem Sensing. Remote Sens. 2024, 16, 155. [Google Scholar] [CrossRef]
- Sishodia, R.P.; Ray, R.L.; Singh, S.K. Applications of Remote Sensing in Precision Agriculture: A Review. Remote Sens. 2020, 12, 3136. [Google Scholar] [CrossRef]
- Orlenko, A.; Moore, J.H. A comparison of methods for interpreting random forest models of genetic association in the presence of non-additive interactions. BioData Min. 2021, 14, 9. [Google Scholar] [CrossRef] [PubMed]
- Lin, C.; Doyog, N.D. Challenges of Retrieving LULC Information in Rural Forest Mosaic Landscapes Using Random Forest Technique. Forests 2023, 14, 816. [Google Scholar] [CrossRef]
- Zafar, Z.; Zubair, M.; Zha, Y.; Fahd, S.; Ahmad Nadeem, A. Performance assessment of machine learning algorithms for mapping of land use/land cover using remote sensing data. Egypt. J. Remote Sens. Space Sci. 2024, 27, 216–226. [Google Scholar] [CrossRef]
- Niazkar, M.; Menapace, A.; Brentan, B.; Piraei, R.; Jimenez, D.; Dhawan, P.; Righetti, M. Applications of XGBoost in water resources engineering: A systematic literature review (Dec 2018–May 2023). Environ. Model. Softw. 2024, 174, 105971. [Google Scholar] [CrossRef]
- Devi, K.A.; Rani, K.U. Exploring Machine Learning Algorithms in Soil Management and Precision Agriculture—A Survey. Int. J. Eng. Res. 2024, 13. [Google Scholar]
- Wang, W.; Cheng, Y.; Ren, Y.; Zhang, Z.; Geng, H. Prediction of chlorophyll content in multi-temporal winter wheat based on multispectral and machine learning. Front. Plant Sci. 2022, 13, 896408. [Google Scholar] [CrossRef] [PubMed]
- Zhang, X.; Yang, Z.; Wang, L.; Yue, Y.; Wang, L.; Yang, X. The effects of plant growth-promoting rhizobacteria on plants under temperature stress: A meta-analysis. Rhizosphere 2022, 28, 100788. [Google Scholar] [CrossRef]
- Zhang, X.; Chen, S.; Sun, H.; Pei, D.; Wang, Y. Dry matter, harvest index, grain yield and water use efficiency as affected by water supply in winter wheat. Irrig. Sci. 2008, 27, 1–10. [Google Scholar] [CrossRef]
- Fang, Y.; Wang, J.; Zhang, R.; Li, F.; Liang, L.; Liu, S.; Xu, B.; Chen, Y. Assessing the impact of early and terminal droughts on root growth, grain yield and yield stability in old and modern wheat cultivars on the Loess Plateau. Agric. Water Manag. 2024, 301, 108940. [Google Scholar] [CrossRef]
- Allart, K.; Almoussawi, A.; Kerbey, L.; Catterou, M.; Roger, D.; Mortier, D.; Blanc, E.; Robert, B.; Spicher, F.; Emery, L.; et al. Splitting Nitrogen Fertilization Is More Important than Nitrogen Level When Mixed Wheat Varieties Are Cultivated in a Conservation Agriculture System. Agronomy 2023, 13, 1295. [Google Scholar] [CrossRef]
- Ru, C.; Hu, X.; Wang, W.; Yan, H. Impact of nitrogen on photosynthesis, remobilization, yield, and efficiency in winter wheat under heat and drought stress. Agric. Water Manag. 2024, 302, 109013. [Google Scholar] [CrossRef]
- Xiao, L.; Feng, M.; Yang, W.; Ding, G. Estimation of Water Content in Winter Wheat (Triticum aestivum L.) and Soil Based on Remote Sensing Data–Vegetation Index. Commun. Soil Sci. Plant Anal. 2015, 46, 1827–1839. [Google Scholar] [CrossRef]
- Zhu, J.; Lu, J.; Li, W.; Wang, Y.; Jiang, J.; Cheng, T.; Zhu, Y.; Cao, W.; Yao, X. Estimation of canopy water content for wheat through combining radiative transfer model and machine learning. Field Crops Res. 2023, 302, 109077. [Google Scholar] [CrossRef]
- Mokhtari, N.; Majidi, M.M.; Mirlohi, A. Physiological and antioxidant responses of synthetic hexaploid wheat germplasm under drought. BMC Plant Biol. 2024, 24, 747. [Google Scholar] [CrossRef]
- Abdollahpour, S.; Kosari-Moghaddam, A.; Bannayan, M. Prediction of wheat moisture content at harvest time through ANN and SVR modeling techniques. Inf. Process. Agric. 2020, 7, 500–510. [Google Scholar] [CrossRef]
- Torrion, J.A.; Stougaard, R.N. Impacts and Limits of Irrigation Water Management on Wheat Yield and Quality. Crop Sci. 2017, 57, 3239–3251. [Google Scholar] [CrossRef]
- Nowack, J.C.; Atencia-Payares, L.K.; Tarquis, A.M.; Gomez-del-Campo, M. Application of Unmanned Aerial Vehicle (UAV) Sensing for Water Status Estimation in Vineyards under Different Pruning Strategies. Plants 2024, 13, 1350. [Google Scholar] [CrossRef] [PubMed]
- Garofalo, S.P.; Giannico, V.; Costanza, L.; Alhajj Ali, S.; Camposeo, S.; Lopriore, G.; Pedrero Salcedo, F.; Vivaldi, G.A. Prediction of Stem Water Potential in Olive Orchards Using High-Resolution Planet Satellite Images and Machine Learning Techniques. Agronomy 2024, 14, 1. [Google Scholar] [CrossRef]
- Colorado, J.D.; Calderon, F.; Mendez, D.; Petro, E.; Rojas, J.P.; Correa, E.S.; Mondragon, I.F.; Rebolledo, M.C.; Jaramillo-Botero, A. A novel NIR-image segmentation method for the precise estimation of above-ground biomass in rice crops. PLoS ONE 2020, 15, e0239591. [Google Scholar] [CrossRef] [PubMed]
- Elliott, G.A.; Regan, K.L. Use of reflectance measurements to estimate early cereal biomass production on sandplain soils. Aust. J. Exp. Agric. 1993, 33, 179–183. [Google Scholar] [CrossRef]
- Li, J.; Shi, Y.; Veeranampalayam-Sivakumar, A.N.; Schachtman, D.P. Elucidating sorghum biomass, nitrogen and chlorophyll contents with spectral and morphological traits derived from unmanned aircraft system. Front. Plant Sci. 2018, 9, 1406. [Google Scholar] [CrossRef] [PubMed]
- Haboudane, D.; Miller, J.R.; Tremblay, N.; Zarco-Tejada, P.J.; Dextraze, L. Integrated narrow-band vegetation indices for prediction of crop chlorophyll content for application to precision agriculture. Remote Sens. Environ. 2002, 81, 416–426. [Google Scholar] [CrossRef]
- Braga, P.; Crusiol, L.G.T.; Nanni, M.R.; Caranhato, A.L.H.; Fuhrmann, M.B.; Nepomuceno, A.L.; Neumaier, N.; Farias, J.R.B.; Koltun, A.; Gonçalves, L.S.A.; et al. Vegetation indices and NIR-SWIR spectral bands as a phenotyping tool for water status determination in soybean. Precis. Agric. 2021, 22, 249–266. [Google Scholar] [CrossRef]
- Zahir SA, D.M.; Omar, A.F.; Jamlos, M.F.; Azmi, M.A.M.; Muncan, J. A review of visible and near-infrared (Vis-NIR) spectroscopy application in plant stress detection. Sens. Actuators A Phys. 2021, 338, 113468. [Google Scholar] [CrossRef]
Parameter | Count | Mean | s.d. | Median | 3rd Quartile | Min | Max |
---|---|---|---|---|---|---|---|
RCC | 140 | 321.31 | 142.95 | 351.53 | 432.03 | 8.53 | 553.93 |
RWC | 100 | 0.681 | 0.196 | 0.717 | 0.851 | 0.123 | 0.937 |
DM | 120 | 0.445 | 0.119 | 0.442 | 0.555 | 0.227 | 0.657 |
Band | Wavelength (fwhm) | |
---|---|---|
B1 | Coastal Blue | 443 (20) |
B2 | Blue | 490 (50) |
B3 | Green I | 531 (36) |
B4 | Green | 565 (36) |
B5 | Yellow | 610 (20) |
B6 | Red | 665 (31) |
B7 | Red Edge | 705 (15) |
B8 | Nir | 865 (40) |
Vegetation Index | Formula | Reference |
---|---|---|
Enhanced Vegetation Index (EVI) | 2 × (Nir − Red)/((Nir + 6red − 7.5blue) + 1) | [51] |
Green Normalized Vegetation Index (GNDVI) | Nir − Green/Nir + Geen | [52] |
Modified Soil-Adjusted Vegetation Index 1 (MSAVI1) | (1 + L) × ((Nir − Red)/(Nir + Red + L)) | [53] |
Modified Soil-Adjusted Vegetation Index 2 (MSAVI2) | [54] | |
Optimized Soil-Adjusted Vegetation Index (OSAVI) | (1 + 0.16) × (Nir − Red)/(Nir + Red + 0.1) | [54] |
Normalized Difference Red Edge (NDRE) | (Nir − Red Edge)/(Nir + Red Edge) | [55] |
Normalized Difference Vegetation Index (NDVI) | (Nir − Red)/(Nir + Red) | [56] |
Soil-Adjusted Vegetation Index (SAVI) | (Nir − Red)/(Nir + Red + 0.5) × (1 + 0.5) | [57] |
Simplified Canopy Chlorophyll Content Index (SCCCI) | NDRE/NDVI | [58] |
Modified Chlorophyll Absorption Reflectance Index 1 (MCARI1) | (Red Edge − Red − 0.2 × (Red Edge − Green)) × (Red Edge/Red) | [59] |
Modified Chlorophyll Absorption Reflectance Index 2 (MCARI2) | 1.5 × (2.5(Nir − Red Edge) − 1.3 × (Nir − Green)) (2 × (Nir + 1) 2 − (6 × Nir − 5 × (Red)2) − 0.5 | [59] |
Transformed Chlorophyll Absorption Reflectance Index (TCARI) | 3 × ((Red Edge − Red) − 0.2 × (Red Edge − Green) × (Red Edge/Red)) | [60] |
Red Edge Chlorophyll Index 1 (Cl1) | Nir/Red Edge − 1 | [61] |
Red Edge Chlorophyll Index 2 (Cl2) | Red Edge/Green − 1 | [62] |
Structure-Insensitive Pigment Index (SIPI) | (Nir − Blue)/(Nir + Red) | [63] |
TCARI/OSAVI | TCARI/OSAVI | [59] |
MCARI/OSAVI | MCARI/OSAVI | [59] |
Model | RStudio Package | Hyperparameters |
---|---|---|
Random forest | caret; randomForest; ranger | mtry (the number of variables to potentially split each node); splitting rule; minimum node size |
Extreme gradient boosting | caret; xgboost | the maximum depth of each decision tree used in the boosting process; eta (the learning rate of the model) |
Support vector regressor | caret | c (the trade-off between maximizing the margin of the decision boundary and minimizing the regression errors); sigma (in the radial basis function kernel, it determines the reach of a single training instance) |
R2 | RMSE | |||
---|---|---|---|---|
SDBs | RCC | RF | 0.75 (±0.01) | 75.92 (±2.57) |
SVR | 0.72 (±0.03) | 80.27 (±6.17) | ||
XGB | 0.64 (±0.03) | 86.94 (±2.64) | ||
DM | RF | 0.87 (±0.005) | 0.03 (±0.004) | |
SVR | 0.74 (±0.005) | 0.05 (±0.005) | ||
XGB | 0.76 (±0.001) | 0.05 (±0.001) | ||
RWC | RF | 0.71 (±0.01) | 0.07 (±0.03) | |
SVR | 0.16 (±0.02) | 0.18 (±0.004) | ||
XGB | 0.07 (±0.04) | 0.17 (±0.008) | ||
VIs | RCC | RF | 0.81 (±0.01) | 39.84 (±4.65) |
SVR | 0.56 (±0.01) | 99.44 (±1.87) | ||
XGB | 0.61 (±0.02) | 87.64 (±2.53) | ||
DM | RF | 0.82 (±0.01) | 0.02 (±0.003) | |
SVR | 0.75 (±0.01) | 0.06 (±0.002) | ||
XGB | 0.77 (±0.02) | 0.05 (±0.003) | ||
RWC | RF | 0.61 (±0.03) | 0.11 (±0.005) | |
SVR | 0.22 (±0.05) | 0.18 (±0.006) | ||
XGB | 0.36 (±0.004) | 0.14 (±0.001) |
Disclaimer/Publisher’s Note: The statements, opinions and data contained in all publications are solely those of the individual author(s) and contributor(s) and not of MDPI and/or the editor(s). MDPI and/or the editor(s) disclaim responsibility for any injury to people or property resulting from any ideas, methods, instructions or products referred to in the content. |
© 2025 by the authors. Licensee MDPI, Basel, Switzerland. This article is an open access article distributed under the terms and conditions of the Creative Commons Attribution (CC BY) license (https://creativecommons.org/licenses/by/4.0/).
Share and Cite
De Carolis, G.; Giannico, V.; Costanza, L.; Ardito, F.; Stellacci, A.M.; Thameur, A.; Ruggieri, S.; Tangaro, S.; Mastrorilli, M.; Sanitate, N.; et al. Prediction of Winter Wheat Parameters with Planet SuperDove Imagery and Explainable Artificial Intelligence. Agronomy 2025, 15, 241. https://doi.org/10.3390/agronomy15010241
De Carolis G, Giannico V, Costanza L, Ardito F, Stellacci AM, Thameur A, Ruggieri S, Tangaro S, Mastrorilli M, Sanitate N, et al. Prediction of Winter Wheat Parameters with Planet SuperDove Imagery and Explainable Artificial Intelligence. Agronomy. 2025; 15(1):241. https://doi.org/10.3390/agronomy15010241
Chicago/Turabian StyleDe Carolis, Gabriele, Vincenzo Giannico, Leonardo Costanza, Francesca Ardito, Anna Maria Stellacci, Afwa Thameur, Sergio Ruggieri, Sabina Tangaro, Marcello Mastrorilli, Nicola Sanitate, and et al. 2025. "Prediction of Winter Wheat Parameters with Planet SuperDove Imagery and Explainable Artificial Intelligence" Agronomy 15, no. 1: 241. https://doi.org/10.3390/agronomy15010241
APA StyleDe Carolis, G., Giannico, V., Costanza, L., Ardito, F., Stellacci, A. M., Thameur, A., Ruggieri, S., Tangaro, S., Mastrorilli, M., Sanitate, N., & Garofalo, S. P. (2025). Prediction of Winter Wheat Parameters with Planet SuperDove Imagery and Explainable Artificial Intelligence. Agronomy, 15(1), 241. https://doi.org/10.3390/agronomy15010241