Effects of Salt Stress During the Growth Period on the Yield and Grain Quality of Hybrid Rice
Abstract
1. Introduction
2. Materials and Methods
2.1. Experimental Design
2.2. Observations
2.2.1. Measurement of the Yield Indices
2.2.2. Determination of Grain Appearance and Nutritional Quality
2.3. Statistical Analysis
3. Results
3.1. Effects of Salt Stress on Agronomic Traits and Sodium (Na+) and Potassium ion (K+) Contents
3.2. Effects of Salt Stress on Grain Yield Components
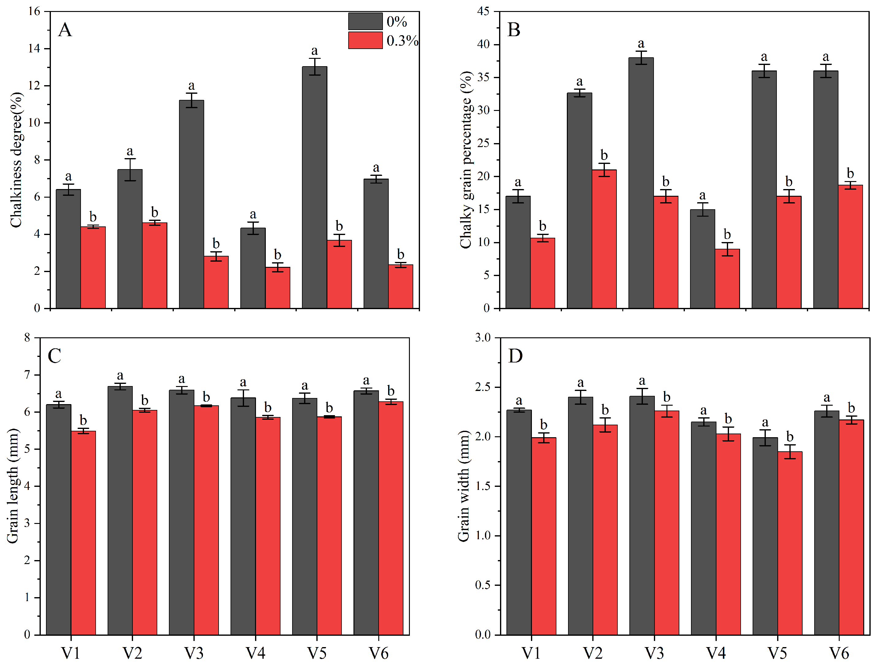
3.3. Effects of Salt Stress on Grain Appearance
3.4. Impact of Salt Stress on Grain Cooking and Taste Quality
3.5. Impact of Salt Stress on Grain Nutritional Quality
4. Discussion
4.1. Impact of Salt Stress on Grain Yield
4.2. Impact of Salt Stress on Grain Quality
4.2.1. Impact on Grain Quality
4.2.2. Impact on Grain Cooking and Eating Quality
4.2.3. Impact on Grain Nutritional Quality
5. Conclusions
Author Contributions
Funding
Data Availability Statement
Acknowledgments
Conflicts of Interest
References
- Shrivastava, P.; Kumar, R. Soil salinity: A serious environmental issue and plant growth promoting bacteria as one of the tools for its alleviation. Saudi J. Biol. Sci. 2015, 22, 123–131. [Google Scholar] [CrossRef]
- Wong, V.N.L.; Greene, R.S.B.; Dalal, R.C.; Murphy, B.W. Soil carbon dynamics in saline and sodic soils: A review. Soil Use Manag. 2010, 26, 2–11. [Google Scholar] [CrossRef]
- He, L.; Luo, Y. Effects of long-term sand mixing ameliorating measures on soil salinity characteristics of saline-alkali land in northern Shaanxi. IOP Conf. Ser. Earth Environ. Sci. 2021, 781, 022084. [Google Scholar] [CrossRef]
- Hassani, A.; Smith, P.; Shokri, N. Negative correlation between soil salinity and soil organic carbon variability. Proc. Natl. Acad. Sci. USA 2024, 121, e1977635175. [Google Scholar] [CrossRef] [PubMed]
- Liu, J.; Wan, J.; Yin, X.; Gu, X.; Yin, H.; Yu, M.; Luan, Y.; Li, R.; Mi, T.; Li, J. Progress and prospect of developing salt and alkali tolerant rice using hybrid rice technology in China. Plant Breed. 2024, 143, 86–95. [Google Scholar] [CrossRef]
- Jin, W.; Li, L.; Ma, G.; Wei, Z. Halotolerant Microorganism-Based Soil Conditioner Application Improved the Soil Properties, Yield, Quality and Starch Characteristics of Hybrid Rice under Higher Saline Conditions. Plants 2024, 13, 2325. [Google Scholar] [CrossRef]
- Li, L.; Tian, H.; Zhang, M.; Fan, P.; Ashraf, U.; Liu, H.; Chen, X.; Duan, M.; Tang, X.; Wang, Z.; et al. Deep placement of nitrogen fertilizer increases rice yield and nitrogen use efficiency with fewer greenhouse gas emissions in a mechanical direct-seeded cropping system. Crop J. 2021, 9, 1386–1396. [Google Scholar] [CrossRef]
- Yuan, L.-P. Development of hybrid rice to ensure food security. Rice Sci. 2014, 21, 1–2. [Google Scholar] [CrossRef]
- Tang, L.; Xu, Z.; Chen, W. Advances and prospects of super rice breeding in China. J. Integr. Agric. 2017, 16, 984–991. [Google Scholar] [CrossRef]
- Wei, Z.; Zhang, Y.; Jin, W. Yield Gap Analysis of Super High-Yielding Rice (>15 t ha−1) in Two Ecological Regions. Agriculture 2024, 14, 491. [Google Scholar] [CrossRef]
- Li, Z.K.; Zhou, T.Y.; Zhu, K.Y.; Wang, W.L.; Zhang, W.Y.; Zhang, H.; Liu, L.J.; Zhang, Z.J.; Wang, Z.Q.; Wang, B.X.; et al. Effects of Salt Stress on Grain Yield and Quality Parameters in Rice Cultivars with Differing Salt Tolerance. Plants 2023, 12, 3243. [Google Scholar] [CrossRef] [PubMed]
- Liu, C.; Mao, B.; Yuan, D.; Chu, C.; Duan, M. Salt tolerance in rice: Physiological responses and molecular mechanisms. Crop J. 2022, 10, 13–25. [Google Scholar] [CrossRef]
- Shan, S.; Wei, Z.; Cheng, W.; Du, D.; Zheng, D.; Ma, G. Biofertilizer based on halotolerant microorganisms promotes the growth of rice plants and alleviates the effects of saline stress. Front. Microbiol. 2023, 14, 1165631. [Google Scholar] [CrossRef] [PubMed]
- Xiao, D.; Li, J.; Deng, X.; Wei, P.; Tang, J.; Wei, H.; Chen, Y.; Dai, Q. Response of Quality Formation of Different Rice Varieties to Salt Stress. J. Nucl. Agric. Sci. 2020, 34, 1840–1847. [Google Scholar]
- Jin, W.; Wei, Z.; Li, L.; Ashraf, U.; He, W.; Zhang, Y.; Qi, S. Grain quality deterioration of hybrid rice is associated with alterations in physicochemical and structural properties of starch under saline conditions. Crop Sci. 2024, 64, 956–967. [Google Scholar] [CrossRef]
- Song, S.; Ma, L.; Liu, Z. The effect of high salt concentration on the yield and eating quality of rice. North Rice 2018, 48, 18–21. [Google Scholar] [CrossRef]
- Ganapati, R.K.; Naveed, S.A.; Zafar, S.; Wang, W.; Xu, J. Saline-Alkali Tolerance in Rice: Physiological Response, Molecular Mechanism, and QTL Identification and Application to Breeding. Rice Sci. 2022, 29, 412–434. [Google Scholar] [CrossRef]
- Zayed, B.A.; El-Hendawy, S.; Hu, Y.; Okasha, A.M.; Abdelhamed, M.M.; Ghazy, H.A.; Aamer, S.M.; El-Sharnobi, D.E.; Soltan, S.A.; Gaber, A.A.; et al. Enhancing the Photosynthetic and Yield Performance of Rice in Saline Soil by Foliar-Applying Cost-Effective Compounds as Sources of Carbon Dioxide and Potassium. Agronomy 2024, 14, 2850. [Google Scholar] [CrossRef]
- Kawamura, D.K.; Hidetoshi, A.; Shintaro, K.; Soukasdachanh, S.; Phonevilay, S.; Thavone, I. The Relationship between the Physical Quality of Rice and the Market Price: A Case Study in Savannakhet, Laos, Using a Bayesian Approach. Sustainability 2018, 10, 4151. [Google Scholar] [CrossRef]
- Liu, J.; Wu, M.-W.; Liu, C.-M. Cereal endosperms: Development and storage product accumulation. Annu. Rev. Plant Biol. 2022, 73, 255–291. [Google Scholar] [CrossRef] [PubMed]
- Rao, P.S.; Mishra, B.; Gupta, S.R. Effects of soil salinity and alkalinity on grain quality of tolerant, semi-tolerant and sensitive rice genotypes. Rice Sci. 2013, 20, 284–291. [Google Scholar] [CrossRef]
- Ishimaru, T.; Miyazaki, M.; Shigemitsu, T.; Nakata, M.; Kuroda, M.; Kondo, M.; Masumura, T. Effect of high temperature stress during ripening on the accumulation of key storage compounds among Japanese highly palatable rice cultivars. J. Cereal Sci. 2020, 95, 103018. [Google Scholar] [CrossRef]
- Wei, H.; Geng, X.; Zhu, W.; Zhang, X.; Zhang, X.; Chen, Y.; Huo, Z.; Xu, K.; Zhou, G.; Meng, T.; et al. Individual and combined influences of salinity and drought stress on the agro-physiological traits and grain yield of rice. Field Crops Res. 2023, 304, 109172. [Google Scholar] [CrossRef]
- Sawada, H.; Tsukahara, K.; Kohno, Y.; Suzuki, K.; Nagasawa, N.; Tamaoki, M. Elevated ozone deteriorates grain quality of Japonica Rice cv. Koshihikari, even if it does not cause yield reduction. Rice 2016, 9, 7. [Google Scholar] [CrossRef] [PubMed]
- Ayaad, M.; Han, Z.; Zheng, K.; Hu, G.; Abo-Yousef, M.; Sobeih El S, S.; Xing, Y. Bin-based genome-wide association studies reveal superior alleles for improvement of appearance quality using a 4-way MAGIC population in rice. J. Adv. Res. 2021, 28, 183–194. [Google Scholar] [CrossRef] [PubMed]
- Guo, L.; Lu, Y.; Bao, S.; Zhang, Q.; Geng, Y.; Shao, X. Carbon and nitrogen metabolism in rice cultivars affected by saltalkaline stress. Crop Pasture Sci. 2021, 72, 372–382. [Google Scholar] [CrossRef]
- Chun, A.; Song, J.; Kim, K.J.; Lee, H.J. Quality of head and chalky rice and deterioration of eating quality by chalky rice. J. Crop Sci. Biotechnol. 2009, 12, 239–244. [Google Scholar] [CrossRef]
- Zhang, R.; Wang, Y.; Hussain, S.; Yang, S.; Li, R.; Liu, S.; Chen, Y.; Wei, H.; Dai, Q.; Hou, H. Study on the effect of salt stress on yield and grain quality among different rice varieties. Front. Plant Sci. 2022, 13, 918460. [Google Scholar] [CrossRef]
- Jin, W.; Li, L.; He, W.; Wei, Z. Application of Silica Nanoparticles Improved the Growth, Yield, and Grain Quality of Two Salt-Tolerant Rice Varieties under Saline Irrigation. Plants 2024, 13, 2452. [Google Scholar] [CrossRef] [PubMed]
- Cui, R.; Zhou, T.; Shu, C.; Zhu, K.; Ye, M.; Zhang, W.; Zhang, H.; Liu, L.; Wang, Z.; Gu, J.; et al. Effects of Salt Stress on Grain Quality and Starch Properties of High-Quality Rice Cultivars. Agronomy 2024, 14, 444. [Google Scholar] [CrossRef]
- Sangwongchai, W.; Krusong, K.; Thitisaksakul, M. Salt tolerance at vegetative stage is partially associated with changes in grain quality and starch physicochemical properties of rice exposed to salinity stress at reproductive stage. J. Sci. Food Agric. 2022, 102, 370–382. [Google Scholar] [CrossRef] [PubMed]
- Coca, L.I.R.; González, M.T.G.; Gil Unday, Z.; Hernández, J.J.; Jáuregui, M.M.R.; Cancio, Y.F. Effects of sodium Salinity on rice (Oryza sativa L.) cultivation: A review. Sustainability 2023, 15, 1804. [Google Scholar] [CrossRef]
- Li, Y.; Ai, Z.; Mu, Y.; Zhao, T.; Zhang, Y.; Li, L.; Huang, Z.; Nie, L.; Khan, M.N. Rice yield penalty and quality deterioration is associated with failure of nitrogen uptake from regreening to panicle initiation stage under salinity. Front. Plant Sci. 2023, 14, 1120755. [Google Scholar] [CrossRef]







| Symbol | Varieties | Parental Origin | Breed Type |
|---|---|---|---|
| V1 | Hua-Zhan (paternal parent) | —— | Conventional Indica-type rice |
| V2 | 9311 (paternal parent) | —— | Conventional Indica-type rice |
| V3 | Xiang-Liang-You-Hua-Zhan | Guang-Xiang-24S (♀) × Hua-Zhan (♂) | Two-line Indica hybrid rice |
| V4 | Jing-Liang-You-Hua-Zhan | Jing-4155S (♀) × Hua-Zhan (♂) | Two-line Indica hybrid rice |
| V5 | Guang-8-You-Hua-Zhan | Guang-8A (♀) × Hua-Zhan (♂) | Three lines of Indica hybrid rice |
| V6 | Y-Liang-You-1-Hao | Y58S (♀) × 9311 (♂) | Two-line Indica hybrid rice |
| Varieties | RLSN (%) | RLTNGP (%) | RLSR (%) | RLGW (%) | ||||
|---|---|---|---|---|---|---|---|---|
| 2022 | 2023 | 2022 | 2023 | 2022 | 2023 | 2022 | 2023 | |
| V1 | 34.36 ± 1.38 a | 43.81 ± 2.27 a | 48.76 ± 2.12 a | 53.82 ± 1.01 a | 44.06 ± 0.43 a | 46.55 ± 1.50 a | 18.84 ± 1.84 a | 20.87 ± 1.79 a |
| V2 | 31.44 ± 0.14 a | 41.40 ± 3.48 a | 38.97 ± 1.62 b | 42.49 ± 0.14 b | 42.44 ± 2.95 a | 45.19 ± 3.23 a | 15.01 ± 0.56 b | 13.79 ± 1.86 b |
| V3 | 19.77 ± 2.54 c | 25.67 ± 4.19 b | 21.85 ± 1.66 d | 28.87 ± 0.27 d | 21.42 ± 0.14 c | 24.00 ± 1.49 c | 9.43 ± 1.20 cd | 9.89 ± 0.08 cd |
| V4 | 19.47 ± 1.52 c | 31.84 ± 0.81 b | 35.11 ± 0.30 bc | 38.36 ± 1.25 c | 25.00 ± 0.62 bc | 26.83 ± 0.33 bc | 12.59 ± 1.71 bc | 12.8 ± 1.72 bc |
| V5 | 22.05 ± 2.29 bc | 30.83 ± 2.24 b | 34.36 ± 2.24 c | 37.38 ± 1.95 c | 27.85 ± 1.53 b | 30.54 ± 0.90 b | 14.36 ± 1.68 b | 12.13 ± 1.36 bcd |
| V6 | 26.20 ± 2.48 b | 28.25 ± 1.14 b | 25.02 ± 0.11 d | 23.78 ± 0.07 e | 21.73 ± 0.06 c | 27.14 ± 1.04 bc | 7.00 ± 0.73 d | 8.90 ± 0.88 d |
| Varieties | YSTI (%) | STC (grade) | ||
|---|---|---|---|---|
| 2022 | 2023 | 2022 | 2023 | |
| V1 | 82.40 ± 0.85 a | 90.14 ± 2.38 a | 9 ± 0.00 a | 9 ± 0.00 a |
| V2 | 56.13 ± 1.67 b | 72.48 ± 2.23 b | 5 ± 0.00 b | 7 ± 0.00 b |
| V3 | 26.36 ± 0.62 f | 50.65 ± 2.92 d | 3 ± 0.00 c | 5 ± 0.00 c |
| V4 | 45.22 ± 1.55 d | 64.44 ± 1.13 c | 5 ± 0.00 b | 7 ± 0.00 b |
| V5 | 51.90 ± 1.74 c | 70.03 ± 1.45 b | 5 ± 0.00 b | 7 ± 0.00 b |
| V6 | 33.41 ± 1.20 e | 53.66 ± 0.76 d | 3 ± 0.00 c | 5 ± 0.00 c |
| Varieties | Treatments | Amylose Content (%) | Gel Consistency (mm) | Alkalinity Value (grade) | |||
|---|---|---|---|---|---|---|---|
| 2022 | 2023 | 2022 | 2023 | 2022 | 2023 | ||
| V1 | 0% | 15.23 ± 0.06 a | 12.40 ± 0.10 a | 78.33 ± 1.53 a | 78.00 ± 1.00 a | 3.20 ± 0.10 a | 3.47 ± 0.06 a |
| 0.3% | 14.62 ± 0.13 b | 11.65 ± 0.05 b | 81.00 ± 1.00 a | 80.33 ± 1.53 a | 3.10 ± 0.10 a | 3.30 ± 0.10 a | |
| V2 | 0% | 17.33 ± 0.29 a | 13.23 ± 0.32 a | 67.33 ± 1.53 a | 63.00 ± 1.00 a | 6.20 ± 0.10 a | 5.64 ± 0.09 a |
| 0.3% | 16.40 ± 0.42 a | 12.23 ± 0.46 a | 68.67 ± 1.15 a | 65.00 ± 1.00 a | 6.03 ± 0.06 a | 5.52 ± 0.09 a | |
| V3 | 0% | 22.87 ± 0.29 a | 14.23 ± 0.35 a | 75.33 ± 0.58 a | 57.33 ± 1.53 a | 4.20 ± 0.10 a | 6.80 ± 0.10 a |
| 0.3% | 22.63 ± 0.15 a | 13.63 ± 0.15 a | 77.67 ± 1.53 a | 59.33 ± 0.58 a | 4.07 ± 0.06 a | 6.63 ± 0.06 a | |
| V4 | 0% | 16.50 ± 0.26 a | 16.03 ± 0.49 a | 70.33 ± 1.53 a | 64.00 ± 1.00 a | 4.70 ± 0.10 a | 4.30 ± 0.05 a |
| 0.3% | 16.20 ± 0.10 a | 15.27 ± 0.35 a | 73.33 ± 1.53 a | 66.67 ± 1.53 a | 4.49 ± 0.08 a | 4.19 ± 0.07 a | |
| V5 | 0% | 16.47 ± 0.31 a | 13.37 ± 0.21 a | 61.33 ± 0.58 a | 73.67 ± 1.15 a | 5.30 ± 0.10 a | 4.50 ± 0.10 a |
| 0.3% | 16.03 ± 0.21 a | 12.77 ± 0.35 a | 63.00 ± 1.00 a | 76.00 ± 1.00 a | 5.15 ± 0.05 a | 4.32 ± 0.08 a | |
| V6 | 0% | 16.37 ± 0.12 a | 13.40 ± 0.10 a | 54.33 ± 1.15 a | 65.67 ± 1.15 a | 6.81 ± 0.09 a | 6.71 ± 0.10 a |
| 0.3% | 15.87 ± 0.31 a | 13.00 ± 0.49 a | 55.33 ± 1.53 a | 68.00 ± 1.00 a | 6.63 ± 0.10 a | 6.54 ± 0.06 a | |
Disclaimer/Publisher’s Note: The statements, opinions and data contained in all publications are solely those of the individual author(s) and contributor(s) and not of MDPI and/or the editor(s). MDPI and/or the editor(s) disclaim responsibility for any injury to people or property resulting from any ideas, methods, instructions or products referred to in the content. |
© 2024 by the authors. Licensee MDPI, Basel, Switzerland. This article is an open access article distributed under the terms and conditions of the Creative Commons Attribution (CC BY) license (https://creativecommons.org/licenses/by/4.0/).
Share and Cite
Li, R.; Zhang, D.; Pan, Y.; Liu, H.; Tang, C.; Liu, X.; Mo, L.; Du, Y.; Zhou, G.; Hu, Y. Effects of Salt Stress During the Growth Period on the Yield and Grain Quality of Hybrid Rice. Agronomy 2025, 15, 21. https://doi.org/10.3390/agronomy15010021
Li R, Zhang D, Pan Y, Liu H, Tang C, Liu X, Mo L, Du Y, Zhou G, Hu Y. Effects of Salt Stress During the Growth Period on the Yield and Grain Quality of Hybrid Rice. Agronomy. 2025; 15(1):21. https://doi.org/10.3390/agronomy15010021
Chicago/Turabian StyleLi, Ruopeng, Dan Zhang, Yinlin Pan, Huimin Liu, Chanjuan Tang, Xiaolin Liu, Lin Mo, Yaxi Du, Guoqiang Zhou, and Yuanyi Hu. 2025. "Effects of Salt Stress During the Growth Period on the Yield and Grain Quality of Hybrid Rice" Agronomy 15, no. 1: 21. https://doi.org/10.3390/agronomy15010021
APA StyleLi, R., Zhang, D., Pan, Y., Liu, H., Tang, C., Liu, X., Mo, L., Du, Y., Zhou, G., & Hu, Y. (2025). Effects of Salt Stress During the Growth Period on the Yield and Grain Quality of Hybrid Rice. Agronomy, 15(1), 21. https://doi.org/10.3390/agronomy15010021

