Yield Stability and Adaptability of Spring Barley (Hordeum vulgare) Varieties in Polish Organic Field Trials
Abstract
1. Introduction
2. Materials and Methods
2.1. Data
2.2. Statistical Analysis
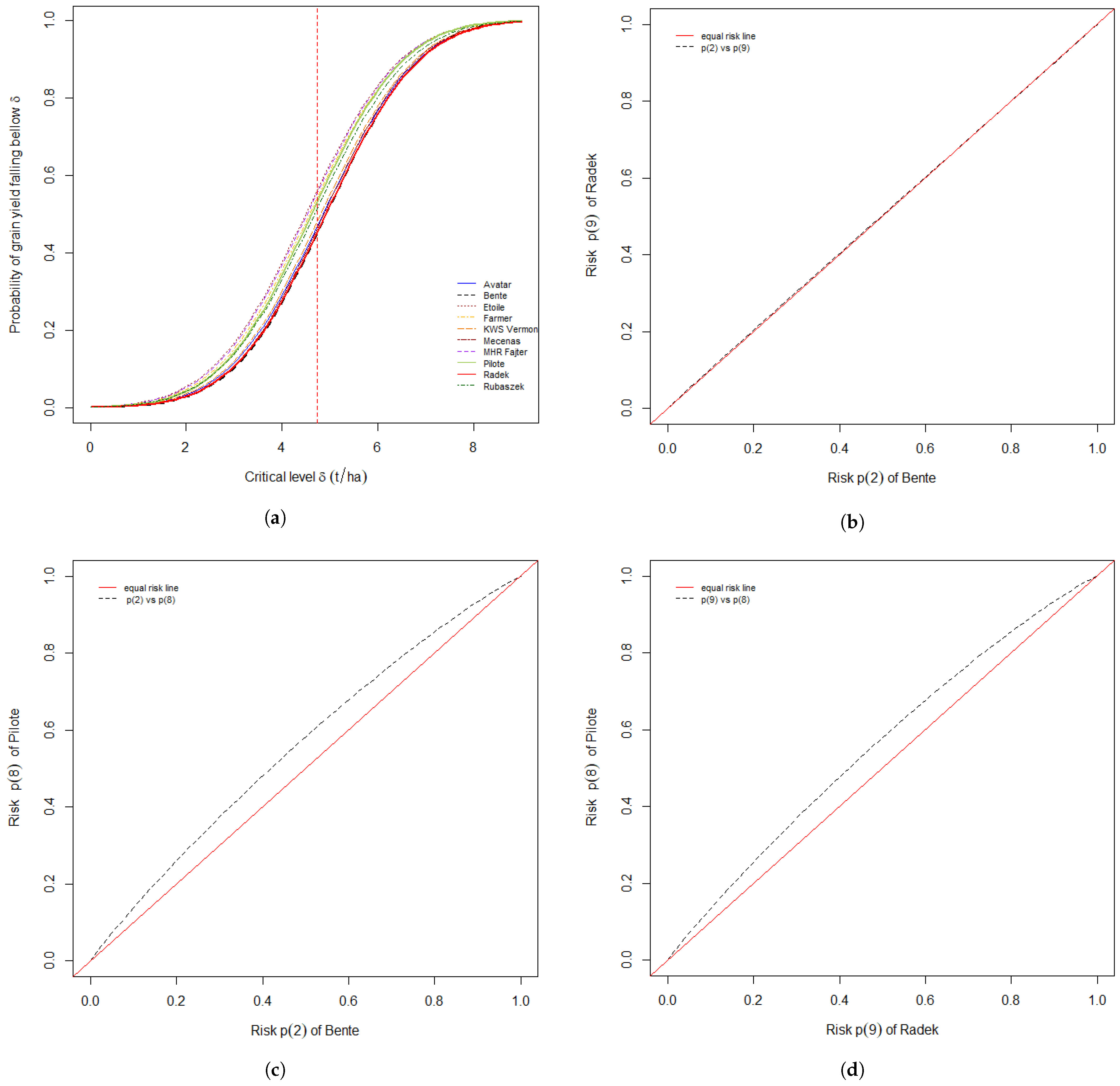
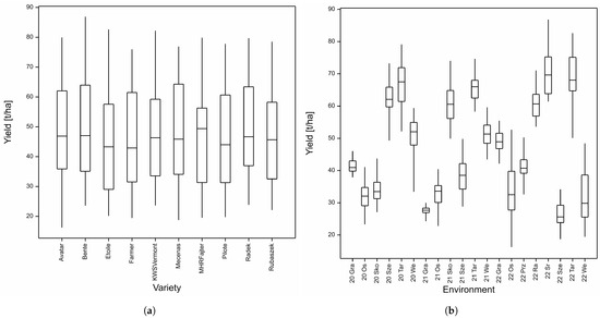
3. Results
4. Discussion
5. Conclusions
Supplementary Materials
Author Contributions
Funding
Data Availability Statement
Conflicts of Interest
References
- FiBL Statistics. 2024. Available online: https://statistics.fibl.org/europe/selected-crops-europe.html (accessed on 10 May 2024).
- Finlay, K.; Wilkinson, G. The analysis of adaptation in a plant breeding programme. Aust. J. Agr. Res. 1963, 14, 742–754. [Google Scholar] [CrossRef]
- Bleidere, M.; Grunte, I.; Legzdiņa, L. Performance and stability of agronomic and grain quality traits of Latvian spring barley varieties. Proc. Latv. Acad. Sci. Sec. B 2020, 74, 270–279. [Google Scholar] [CrossRef]
- Digby, P.G.N. Modified joint regression analysis for incomplete variety × environment data. J. Agric. Sci. 1979, 93, 81–86. [Google Scholar] [CrossRef]
- Eberhart, S.A.; Russell, W.A. Stability parameters for comparing varieties. Crop Sci. 1966, 6, 36–40. [Google Scholar] [CrossRef]
- Hilmarsson, H.S.; Rio, S.; Sánchez, J.I.y. Genotype by environment interaction analysis of agronomic spring barley traits in Iceland using AMMI, factorial regression model and linear mixed model. Agronomy 2021, 11, 499. [Google Scholar] [CrossRef]
- Yan, W.; Kang, M.S. GGE Biplot Analysis: A Graphical Tool for Breeders, Genetists and Agronomists; CRC Press: Boca Raton, FL, USA, 2003. [Google Scholar]
- Osman, A.M.; Almekinders, C.J.M.; Struik, P.C.; Lammerts van Bueren, E.T. Adapting spring wheat breeding to the needs of the organic sector. NJAS—Wagen. J. Life Sci. 2016, 76, 55–63. [Google Scholar] [CrossRef]
- Rakszegi, M.; Mikó, P.; Löschenberger, F.; Hiltbrunner, J.; Aebi, R.; Knapp, S.; Tremmel-Bede, K.; Megyeri, M.; Kovács, G.; Molnár-Láng, M.; et al. Comparison of quality parameters of wheat varieties with different breeding origin under organic and low-input conventional conditions. J. Cereal Sci. 2016, 69, 297–305. [Google Scholar] [CrossRef][Green Version]
- Kucek, L.K.; Santantonio, N.; Gauch, H.G.; Dawson, J.C.; Mallory, E.B.; Darby, H.M.; Sorrells, M.E. Genotype × environment interactions and stability in organic wheat. Crop Sci. 2019, 58, 1–8. [Google Scholar] [CrossRef]
- Annicchiarico, P. Genotype × Environment Interactions: Challenges and Opportunities for Plant Breeding and Cultivar Recommendations; FAO: Rome, Italy, 2002; Volume 1. [Google Scholar]
- Massman, C.; Meints, B.; Hernandez, J.; Kunze, K.; Hayes, P.M.; Sorrells, M.E.; Smith, K.P.; Dawson, J.C.; Gutierrez, L. Genetic characterization of agronomic traits and grain threshability for organic naked barley in the northern United States. Crop Sci. 2022, 62, 690–703. [Google Scholar] [CrossRef]
- Kunze, K.H.; Meints, B.; Massman, C.; Gutiérrez, L.; Hayes, P.M.; Smith, K.P.; Sorrells, M.E. Genotype × environment interactions of organic winter naked barley for agronomic, disease, and grain quality traits. Crop Sci. 2024, 64, 678–696. [Google Scholar] [CrossRef]
- Przystalski, M.; Lenartowicz, T. Organic system vs. conventional—A Bayesian analysis of Polish potato post-registration trials. J. Agric. Sci. 2023, 161, 97–108. [Google Scholar] [CrossRef]
- Dias, K.O.G.; dos Santos, J.P.R.; Krause, M.D.; Piepho, H.P.; Guimarães, L.J.M.; Pastina, M.M.; Garcia, A.A.F. Leveraging probability concepts for cultivar recommendation in multi-environment trials. Theor. Appl. Genet. 2022, 135, 1385–1399. [Google Scholar] [CrossRef]
- Edwards, J.W.; Jannink, J.L. Bayesian modeling of heterogeneous error and genotype × environment interaction variances. Crop Sci. 2006, 46, 820–833. [Google Scholar] [CrossRef]
- Przystalski, M.; Lenartowicz, T. Yielding stability of early maturing potato varieties: Bayesian analysis. J. Agric. Sci. 2020, 158, 564–573. [Google Scholar] [CrossRef]
- Colombari Filho, J.M.; de Resende, M.D.V.; de Morais, O.P.; de Castro, A.P.; Guimaraes, E.P.; Pereira, J.A.; Utumi, M.M.; Breseghello, F. Upland rice breeding in Brazil: A simultaneous genotypic evaluation of stability, adaptability and grain yield. Euphytica 2013, 192, 117–129. [Google Scholar] [CrossRef]
- Dias, P.C.; Xavier, A.; de Resende, M.D.V.; Barbosa, M.H.P.; Biernaski, F.A.; Estopa, R.A. Genetic evaluation of Pinus taeda clones from somatic embryogenesis and their genotype × environment interaction. Crop Breed. Appl. Biotechnol. 2018, 18, 55–64. [Google Scholar] [CrossRef]
- Resende, M.D.V. Matematica e Estatistica na Analise de Experimentos e no Melhoramento Genetico; Embrapa Florestas: Colombo, Brazil, 2007. [Google Scholar]
- Knapp, S.; van der Heijden, M.G.A. A global meta-analysis of yield stability in organic and conservation agriculture. Nat. Commun. 2018, 9, 3632. [Google Scholar] [CrossRef]
- Eskrigde, K.M. Selection of stable cultivars using a safety-first rule. Crop Sci. 1990, 30, 369–374. [Google Scholar] [CrossRef]
- Eskridge, K.M.; Mumm, R.F. Choosing plant cultivars based on the probability of outperforming a check. Theor. Appl. Genet. 1992, 84, 894–900. [Google Scholar] [CrossRef]
- Piepho, H.P. A simplified procedure for comparing the stability of cropping systems. Biometrics 1996, 52, 315–320. [Google Scholar] [CrossRef]
- Lenartowicz, T.; Bujak, H.; Przystalski, M.; Mashevska, I.; Nowosad, K.; Jończyk, K.; Feledyn-Szewczyk, B. Assessment of variety resistance to barley diseases in Polish organic trials. Agriculture 2024, 14, 789. [Google Scholar] [CrossRef]
- Drążkiewicz, K.; Skrzypek, A.; Szarzyńska, J. Cereals. Methodology for Value-for-Cultivation-and-Use (VCU) Testing in Ecological Conditions; WGO-R/S/2/2020: Słupia Wielka, Poland, 2020. (In Polish) [Google Scholar]
- Piepho, H.P. Stability analysis using the SAS system. Agron. J. 1999, 91, 154–160. [Google Scholar] [CrossRef]
- Shukla, G.K. Some statistical aspects of partitioning genotype-environmental components of variability. Heredity 1972, 29, 237–245. [Google Scholar] [CrossRef] [PubMed]
- Searle, S.R.; Casella, G.; McCulloch, C.E. Variance Components, 2nd ed.; Wiley: Hoboken, NJ, USA, 2006. [Google Scholar]
- Kenward, M.G.; Roger, J.H. Small sample inference for fixed effects from restricted maximum likelihood. Biometrics 1997, 58, 545–554. [Google Scholar] [CrossRef]
- Hsu, J.C. Multiple Comparisons: Theory and Methods; Chapman & Hall: London, UK, 1996. [Google Scholar]
- Caliński, T.; Czajka, S.; Kaczmarek, Z.; Krajewski, P.; Pilarczyk, W.; Siatkowski, I.; Siatkowski, M. On mixed model analysis of multi-environment variety trials: A reconsideration of the one-stage and the two-stage models and analyses. Stat. Pap. 2017, 58, 433–465. [Google Scholar] [CrossRef]
- Craine, E.B.; Choi, H.; Schroeder, K.L.; Brueggeman, R.; Esser, A.; Murphy, K.M. Spring barley malt quality in eastern Washington and northern Idaho. Crop Sci. 2023, 63, 1148–1168. [Google Scholar] [CrossRef]
- Sandro, P.; Kucek, L.K.; Sorrells, M.E.; Dawson, J.C.; Gutierrez, L. Developing high-quality value-added cereals for organic systems in the US Upper Midwest: Hard red winter wheat (Triticum aestivum L.) breeding. Theor. Appl. Genet. 2022, 135, 4005–4027. [Google Scholar] [CrossRef] [PubMed]
- Moore, K.J.; Dixon, P.M. Analysis of combined experiments revisited. Agron. J. 2015, 107, 763–771. [Google Scholar] [CrossRef]
- Hu, X.; Yan, S.; Shen, K. Heterogeneity of error variance and its influence on genotype comparison in multi-location trials. Field Crops Res. 2013, 149, 322–328. [Google Scholar] [CrossRef]
- Hu, X.; Yan, S.; Li, S. The influence of error variance variation on analysis of genotype stability in multi-environment trials. Field Crops Res. 2014, 156, 84–90. [Google Scholar] [CrossRef]
- Baker, B.P.; Meints, B.M.; Hayes, P.M. Organic barley producers’ desired qualities for crop improvement. Org. Agr. 2020, 10 (Suppl 1), S35–S42. [Google Scholar] [CrossRef]
- Legzdiņa, L.; Bleidere, M.; Piliksere, D.; Ločmele, I. Agronomic performance of heterogeneous spring barley populations compared to mixtures of their parents and homogeneous varieties. Sustainability 2022, 14, 9697. [Google Scholar] [CrossRef]
- De Ponti, T.; Rijk, B.; Van Ittersum, M.K. The crop yield gap between organic and conventional agriculture. Agric. Syst. 2012, 108, 1–9. [Google Scholar] [CrossRef]
- Ponisio, L.C.; M’Gonigle, L.K.; Mace, K.C.; Palomino, J.; de Valpine, P.; Kremen, C. Diversification practices reduce organic to conventional yield gap. Proc. R. Soc. B 2015, 282, 20141396. [Google Scholar] [CrossRef]
- Lesur-Dumoulin, C.; Malézieux, E.; Ben-Ari, T.; Langlais, C.; Makowski, D. Lower average yields but similar yield stability in organic versus conventional horticulture. A meta-analysis. Agron. Sustain. Dev. 2017, 37, 45. [Google Scholar] [CrossRef]
- Olesen, J.E.; Hansen, E.M.; Askegaard, M.; Rasmussen, I.A. The value of catch crops and organic manures for spring barley in organic arable farming. Field Crop. Res. 2007, 100, 168–178. [Google Scholar] [CrossRef]
- Löschenberger, F.; Fleck, A.; Grausgruber, H.; Hetzendorfer, H.; Hof, G.; Lafferty, J.; Marn, M.; Neumayer, A.; Pfaffinger, G.; Birschitzky, J. Breeding for organic agriculture: The example of winter wheat in Austria. Euphytica 2008, 163, 469–480. [Google Scholar] [CrossRef]
- Nuijten, E.; Messmer, M.M.; Lammerts van Bueren, E.T. Concepts and strategies of organic plant breeding in light of novel breeding techniques. Sustainability 2017, 9, 18. [Google Scholar] [CrossRef]
- Malik, W.A.; Buntaran, H.; Przystalski, M.; Lenartowicz, T.; Piepho, H.P. Assessing the between-country genetic correlation in maize yield using German and Polish official variety trials. Theor. Appl. Genet. 2022, 135, 3025–3038. [Google Scholar] [CrossRef]
- Van Eeuwijk, F.A.; Keizer, L.C.P.; Bakker, J.J. Linear and bilinear models for the analysis of multienvironmental trials: II. An application to data from the Dutch maize variety trials. Euphytica 1995, 84, 9–22. [Google Scholar] [CrossRef]
- Lenartowicz, T.; Piepho, H.P.; Przystalski, M. Stability analysis of tuber yield and starch yield in mid-late and late maturing starch cultivars of potato (Solanum tuberosum). Potato Res. 2020, 63, 179–197. [Google Scholar] [CrossRef]





| Year | Mean [t/ha] | SD | Min | Med | Max |
|---|---|---|---|---|---|
| 2020 | 4.804 | 1.426 | 2.333 | 4.394 | 7.914 |
| 2021 | 4.596 | 1.481 | 2.282 | 4.589 | 7.464 |
| 2022 | 4.777 | 1.737 | 1.626 | 4.659 | 8.687 |
| Variety | Mean a,b [t/ha] | Shukla’s Stability Variance c | SSI | RPVG | Prob |
|---|---|---|---|---|---|
| Avatar | 4.863 ab [4] | 0.149 (0.058) [10] | 14 | 1.029 | 0.466 |
| Bente | 4.931 a [1] | 0.061 (0.028) [3] | 4 | 1.045 | 0.448 |
| Etoile | 4.497 c [10] | 0.145 (0.059) [9] | 19 | 0.943 | 0.560 |
| Farmer | 4.577c [8] | 0.083 (0.037) [4] | 12 | 0.965 | 0.540 |
| KWS Vermont | 4.812 ab [5] | 0.125 (0.051) [7] | 12 | 1.017 | 0.479 |
| Mecenas | 4.878 ab [3] | 0.040 (0.021) [2] | 5 | 1.034 | 0.461 |
| MHR Fajter | 4.526 c [9] | 0.123 (0.049) [6] | 15 | 0.955 | 0.552 |
| Pilote | 4.619 c [7] | 0.010 (0.013) [1] | 8 | 0.976 | 0.529 |
| Radek | 4.920 a [2] | 0.099 (0.042) [5] | 7 | 1.046 | 0.451 |
| Rubaszek | 4.682 bc [6] | 0.133 (0.053) [8] | 14 | 0.991 | 0.512 |
Disclaimer/Publisher’s Note: The statements, opinions and data contained in all publications are solely those of the individual author(s) and contributor(s) and not of MDPI and/or the editor(s). MDPI and/or the editor(s) disclaim responsibility for any injury to people or property resulting from any ideas, methods, instructions or products referred to in the content. |
© 2024 by the authors. Licensee MDPI, Basel, Switzerland. This article is an open access article distributed under the terms and conditions of the Creative Commons Attribution (CC BY) license (https://creativecommons.org/licenses/by/4.0/).
Share and Cite
Lenartowicz, T.; Bujak, H.; Przystalski, M.; Piecuch, K.; Jończyk, K.; Feledyn-Szewczyk, B. Yield Stability and Adaptability of Spring Barley (Hordeum vulgare) Varieties in Polish Organic Field Trials. Agronomy 2024, 14, 1963. https://doi.org/10.3390/agronomy14091963
Lenartowicz T, Bujak H, Przystalski M, Piecuch K, Jończyk K, Feledyn-Szewczyk B. Yield Stability and Adaptability of Spring Barley (Hordeum vulgare) Varieties in Polish Organic Field Trials. Agronomy. 2024; 14(9):1963. https://doi.org/10.3390/agronomy14091963
Chicago/Turabian StyleLenartowicz, Tomasz, Henryk Bujak, Marcin Przystalski, Karolina Piecuch, Krzysztof Jończyk, and Beata Feledyn-Szewczyk. 2024. "Yield Stability and Adaptability of Spring Barley (Hordeum vulgare) Varieties in Polish Organic Field Trials" Agronomy 14, no. 9: 1963. https://doi.org/10.3390/agronomy14091963
APA StyleLenartowicz, T., Bujak, H., Przystalski, M., Piecuch, K., Jończyk, K., & Feledyn-Szewczyk, B. (2024). Yield Stability and Adaptability of Spring Barley (Hordeum vulgare) Varieties in Polish Organic Field Trials. Agronomy, 14(9), 1963. https://doi.org/10.3390/agronomy14091963

