Phosphorus Dynamics in Japanese Blueberry Field: Long-Term Accumulation and Fractionation across Soil Types and Depths
Abstract
1. Introduction
2. Materials and Methods
2.1. Study Area Background
2.2. Data Collection and Analysis
2.2.1. Soil Collection
2.2.2. Phosphorus Sequential Fractionation and Determination
2.2.3. Evaluation of Soil Properties
2.3. Statistical Analysis
3. Results
3.1. Change of Soil Properties in Blueberry Field
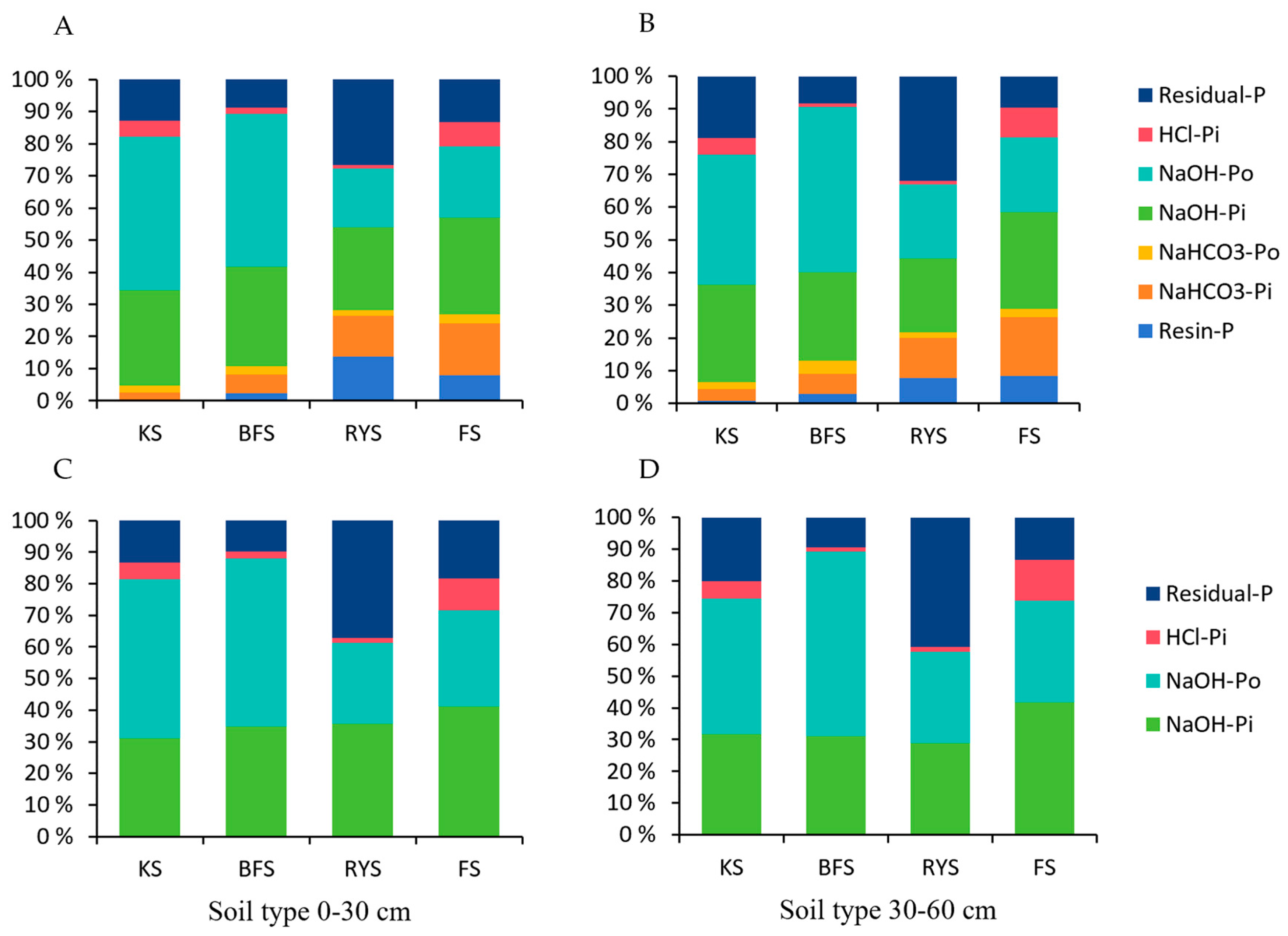
3.2. Effect with Fertilized Blueberry Field Change and Distribution of P Fractions
3.3. Relationship with P Fractions Compare with Soil Properties
4. Discussion
4.1. Change of Soil Properties in Blueberry Field
4.2. Effect with Fertilized Blueberry Field Change and Distribution of P Fractions
4.3. Relationship with P Fractions Compare with Soil Properties
5. Conclusions
Author Contributions
Funding
Data Availability Statement
Acknowledgments
Conflicts of Interest
References
- Cooper, J.; Lombardi, R.; Boardman, D.; Carliell-Marquet, C. The future distribution and production of global phosphate rock reserves. Resour. Conserv. Recycl. 2011, 57, 78–86. [Google Scholar] [CrossRef]
- Reijnders, L. Phosphorus resources, their depletion and conservation, a review. Resour. Conserv. Recycl. 2014, 93, 32–49. [Google Scholar] [CrossRef]
- Walan, P.; Davidsson, S.; Johansson, S.; Höök, M. Phosphate rock production and depletion: Regional disaggregated modeling and global implications. Resour. Conserv. Recycl. 2014, 93, 178–187. [Google Scholar] [CrossRef]
- Sohrt, J.; Lang, F.; Weiler, M. Quantifying components of the phosphorus cycle in temperate forests. Wiley Interdiscip. Rev. Water 2017, 4, e1243. [Google Scholar] [CrossRef]
- Zheng, L.; Karim, M.R.; Hu, Y.G.; Shen, R.; Lan, P. Greater morphological and primary metabolic adaptations in roots contribute to phosphate-deficiency tolerance in the bread wheat cultivar Kenong199. BMC Plant Biol. 2021, 21, 381. [Google Scholar] [CrossRef]
- Fan, B.; Ding, J.; Fenton, O.; Daly, K.; Chen, Q. Understanding phosphate sorption characteristics of mineral amendments in relation to stabilising high legacy P calcareous soil. Environ. Pollut. 2020, 261, 114175. [Google Scholar] [CrossRef]
- Hedley, M.J.; Stewart, J.W.B.; Chauhan, B. Changes in inorganic and organic soil phosphorus fractions induced by cultivation practices and by laboratory incubations. Soil Sci. Soc. Am. J. 1982, 46, 970–976. [Google Scholar] [CrossRef]
- Cross, A.F.; Schlesinger, W.H. A literature review and evaluation of the. Hedley fractionation: Applications to the biogeochemical cycle of soil phosphorus in natural ecosystems. Geoderma 1995, 64, 197–214. [Google Scholar] [CrossRef]
- Rawat, P.; Das, S.; Shankhdhar, D.; Shankhdhar, S.C. Phosphate-solubilizing microorganisms: Mechanism and their role in phosphate solubilization and uptake. J. Soil Sci. Plant Nutr. 2021, 21, 49–68. [Google Scholar] [CrossRef]
- Sharma, S.B.; Sayyed, R.Z.; Trivedi, M.H.; Gobi, T.A. Phosphate solubilizing microbes: Sustainable approach for managing phosphorus deficiency in agricultural soils. SpringerPlus 2013, 2, 587. [Google Scholar] [CrossRef]
- El Attar, I.; Hnini, M.; Taha, K.; Aurag, J. Phosphorus availability and its sustainable use. J. Soil Sci. Plant Nutr. 2022, 22, 5036–5048. [Google Scholar] [CrossRef]
- Lu, X.; Mahdi, A.K.; Han, X.Z.; Chen, X.; Yan, J.; Biswas, A.; Zou, W.X. Long-term application of fertilizer and manures affect P fractions in Mollisol. Sci. Rep. 2020, 10, 14793. [Google Scholar] [CrossRef]
- Duan, Y.; Tarafdar, A.; Chaurasia, D.; Singh, A.; Bhargava, P.C.; Yang, J.; Awasthi, M.K. Blueberry fruit valorization and valuable constituents: A review. Int. J. Food Microbiol. 2022, 381, 109890. [Google Scholar] [CrossRef] [PubMed]
- Che, J.; Wu, Y.; Yang, H.; Wang, S.; Wu, W.; Lyu, L.; Li, W. Root niches of Blueberry Imprint increasing bacterial-fungal interkingdom interactions along the Soil-Rhizosphere-Root Continuum. Microbiol. Spectr. 2023, 11, e05333-22. [Google Scholar] [CrossRef]
- Paltineanu, C.; Coman, M.; Nicolae, S.; Ancu, I.; Calinescu, M.; Sturzeanu, M.; Nicola, C. Root system distribution of highbush blueberry crops of various ages in medium-textured soils. Erwerbs-Obstbau 2018, 60, 187–193. [Google Scholar] [CrossRef]
- Yadong, L.; Shuang, Z.; Hanping, D.; Xiuwu, G.; Hummer, K.; Strik, B.; Finn, C. Effects of nitrogen, phosphorus and potassium on growth, fruit production and leaf physiology in blueberry. Acta Hortic. 2009, 810, 759–764. [Google Scholar] [CrossRef]
- Ochmian, I.; Oszmiański, J.; Jaśkiewicz, B.; Szczepanek, M. Soil and highbush blueberry responses to fertilization with urea phosphate. Folia Hortic. 2018, 30, 295–305. [Google Scholar] [CrossRef]
- Pantigoso, H.A.; Manter, D.K.; Vivanco, J.M. Phosphorus addition shifts the microbial community in the rhizosphere of blueberry (Vaccinium corymbosum L.). Rhizosphere 2018, 7, 1–7. [Google Scholar] [CrossRef]
- Nestby, R.; Martinussen, I.; Krogstad, T.; Uleberg, E. Effect of fertilization, tiller cutting and environment on plant growth and yield of European blueberry (Vaccinium myrtillus L.) in Norwegian forest fields. J. Berry Res. 2014, 4, 79–95. [Google Scholar] [CrossRef]
- Ros, M.B.; Koopmans, G.F.; van Groenigen, K.J.; Abalos, D.; Oenema, O.; Vos, H.M.; van Groenigen, J.W. Towards optimal use of phosphorus fertiliser. Sci. Rep. 2020, 10, 17804. [Google Scholar] [CrossRef]
- Wang, Y.; Zhang, W.; Müller, T.; Lakshmanan, P.; Liu, Y.; Liang, T.; Chen, X. Soil phosphorus availability and fractionation in response to different phosphorus sources in alkaline and acid soils: A short-term incubation study. Sci. Rep. 2023, 13, 5677. [Google Scholar] [CrossRef]
- Yang, J.C.; Wang, Z.G.; Zhou, J.; Jiang, H.M.; Zhang, J.F.; Pan, P.; Ge, C.L. Inorganic phosphorus fractionation and its translocation dynamics in a low-P soil. J. Environ. Radioact. 2012, 112, 64–69. [Google Scholar] [CrossRef] [PubMed]
- Kanno, H.; Hirai, H.; Takahashi, T.; Nanzyo, M. Soil regions map of Japan based on a reclassification of the 1:1 million soil map of Japan (1990) according to the unified sil classification system of Japan: 2nd approximation (2002). Pedologist 2008, 52, 129–133. [Google Scholar]
- IUSS Working Group WRB. World Reference Base for Soil Resources 2022. International Soil Classification System for Naming Soils and Creating Legends for Soil Maps, 4th ed.; International Union of Soil Sciences (IUSS): Vienna, Austria, 2022; Available online: https://wrb.isric.org/documents/ (accessed on 30 July 2024).
- Tiessen, H.J.W.B. Characterization of available P by sequential extraction. In Soil Sampling and Methods of Analysis; Carter, M.R., Ed.; Canadian Society of Soil Science: Boca Raton, FL, USA, 1993; pp. 75–86. [Google Scholar]
- Cade-Menun, B.J.; O’Halloran, I.P. Total and organic phosphorus. In Soil Sampling and Methods of Analysis, 2nd ed.; Carter, M.R., Gregorich, E.G., Eds.; CRC Press, Taylor & Francis: Boca Raton, FL, USA, 2007; pp. 265–292. [Google Scholar] [CrossRef]
- Kodaira, M.; Shibusawa, S. Using a mobile real-time soil visible-near infrared sensor for high resolution soil property mapping. Geoderma 2013, 199, 64–79. [Google Scholar] [CrossRef]
- Ringle, C.M.; Wende, S.; Becker, J.M. SmartPLS 4; SmartPLS GmbH: Bönningstedt, Germany, 2024; Available online: https://www.smartpls.com (accessed on 30 July 2024).
- Fang, Y.; Nunez, G.H.; Silva, M.N.D.; Phillips, D.A.; Munoz, P.R. A review for southern highbush blueberry alternative production systems. Agronomy 2020, 10, 1531. [Google Scholar] [CrossRef]
- Doyle, J.W.; Nambeesan, S.U.; Malladi, A. Physiology of nitrogen and calcium nutrition in blueberry (Vaccinium sp.). Agronomy 2021, 11, 765. [Google Scholar] [CrossRef]
- Zhou, Y.; Liu, Y.; Zhang, X.; Gao, X.; Shao, T.; Long, X.; Rengel, Z. Effects of Soil Properties and Microbiome on Highbush Blueberry (Vaccinium corymbosum) Growth. Agronomy 2022, 12, 1263. [Google Scholar] [CrossRef]
- Messiga, A.J.; Haak, D.; Dorais, M. Blueberry yield and soil properties response to long-term fertigation and broadcast nitrogen. Sci. Hortic. 2018, 230, 92–101. [Google Scholar] [CrossRef]
- Hoffland, E.; Kuyper, T.W.; Comans, R.N.; Creamer, R.E. Eco-functionality of organic matter in soils. Plant Soil 2020, 455, 1–22. [Google Scholar] [CrossRef]
- Messiga, A.J.; Dyck, K.; Ronda, K.; van Baar, K.; Haak, D.; Yu, S.; Dorais, M. Nutrients leaching in response to long-term fertigation and broadcast nitrogen in blueberry production. Plants 2020, 9, 1530. [Google Scholar] [CrossRef]
- Hedley, M.; McLaughlin, M. Reactions of phosphate fertilizers and by-products in soils. In Phosphorus: Agriculture and the Environment; Sims, J.T., Sharpley, A.N., Eds.; American Society of Agronomy, Crop Science Society of America, Soil Science Society of America: Madison, WI, USA, 2005; pp. 181–252. [Google Scholar] [CrossRef]
- El-Ghany, M.F.A.; El-Kherbawy, M.I.; Abdel-Aal, Y.A.; El-Dek, S.I.; Abd El-Baky, T. Comparative study between traditional and nano calcium phosphate fertilizers on growth and production of snap bean (Phaseolus vulgaris L.) plants. Nanomaterials 2021, 11, 2913. [Google Scholar] [CrossRef]
- Hopkins, B.G.; Hansen, N.C. Phosphorus management in high-yield systems. J. Environ. Qual. 2019, 48, 1265–1280. [Google Scholar] [CrossRef]
- Jílková, V.; Jandová, K.; Kukla, J. Responses of microbial activity to carbon, nitrogen, and phosphorus additions in forest mineral soils differing in organic carbon content. Biol. Fertil. Soils 2021, 57, 513–521. [Google Scholar] [CrossRef]
- Lynch, J.P.; Brown, K.M. Topsoil foraging—An architectural adaptation of plants to low phosphorus availability. Plant Soil 2001, 237, 225–237. [Google Scholar] [CrossRef]
- He, L.P.; Jia, K.T.; Liu, D.; Wang, K.H.; Duan, L.Y.; Lin, J.J. Effects of phosphorus fertilizer application rate on transformation processes of phosphorus fractions in the purple alluvial soil of a riparian zone. J. Mt. Sci. 2023, 20, 1561–1574. [Google Scholar] [CrossRef]
- Shinjo, H.; Takata, Y. Soil classification and distribution. In The Soils of Japan; Kawabe, Y., Ed.; Springer: Tokyo, Japan, 2021; pp. 53–68. [Google Scholar] [CrossRef]
- Gou, X.; Cai, Y.; Wang, C.; Li, B.; Zhang, Y.; Tang, X.; Cai, Z. Effects of different long-term cropping systems on phosphorus adsorption and desorption characteristics in red soils. J. Soils Sediments 2020, 20, 1371–1382. [Google Scholar] [CrossRef]
- Arias, M.; Da Silva-Carballal, J.; Garcia-Rio, L.; Mejuto, J.; Nunez, A. Retention of phosphorus by iron and aluminum-oxides-coated quartz particles. J. Colloid Interface Sci. 2006, 295, 65–70. [Google Scholar] [CrossRef] [PubMed]
- Wang, X.; Lester, D.W.; Guppy, C.N.; Lockwood, P.V.; Tang, C. Changes in phosphorus fractions at various soil depths following long-term P fertiliser application on a Black Vertosol from south-eastern Queensland. Soil Res. 2007, 45, 524–532. [Google Scholar] [CrossRef]
- Joshi, S.R.; Li, W.; Bowden, M.; Jaisi, D.P. Sources and pathways of formation of recalcitrant and residual phosphorus in an agricultural soil. Soil Syst. 2018, 2, 45. [Google Scholar] [CrossRef]
- Bhadouria, J.; Giri, J. Purple acid phosphatases: Roles in phosphate utilization and new emerging functions. Plant Cell Rep. 2022, 41, 33–51. [Google Scholar] [CrossRef]
- Häussling, M.; Marschner, H. Organic and inorganic soil phosphates and acid phosphatase activity in the rhizosphere of 80-year-old Norway spruce [Picea abies (L.) Karst.] trees. Biol. Fertil. Soils 1989, 8, 128–133. [Google Scholar] [CrossRef]
- Hummel, C.; Boitt, G.; Santner, J.; Lehto, N.J.; Condron, L.; Wenzel, W.W. Co-occurring increased phosphatase activity and labile P depletion in the rhizosphere of Lupinus angustifolius assessed with a novel, combined 2D-imaging approach. Soil Biol. Biochem. 2021, 153, 107963. [Google Scholar] [CrossRef]
- Chen, S.; Zhu, Y.; Shao, T.; Long, X.; Gao, X.; Zhou, Z. Relationship between rhizosphere soil properties and disease severity in highbush blueberry (Vaccinium corymbosum). Appl. Soil Ecol. 2019, 137, 187–194. [Google Scholar] [CrossRef]
- Xu, Z.; Zhang, T.; Wang, S.; Wang, Z. Soil pH and C/N ratio determines spatial variations in soil microbial communities and enzymatic activities of the agricultural ecosystems in Northeast China: Jilin Province case. Appl. Soil Ecol. 2020, 155, 103629. [Google Scholar] [CrossRef]
- Huang, Y.; Dai, Z.; Lin, J.; Li, D.; Ye, H.; Dahlgren, R.A.; Xu, J. Labile carbon facilitated phosphorus solubilization as regulated by bacterial and fungal communities in Zea mays. Soil Biol. Biochem. 2021, 163, 108465. [Google Scholar] [CrossRef]
- Chen, J.; van Groenigen, K.J.; Hungate, B.A.; Terrer, C.; van Groenigen, J.W.; Maestre, F.T.; Elsgaard, L. Long-term nitrogen loading alleviates phosphorus limitation in terrestrial ecosystems. Glob. Chang. Biol. 2020, 26, 5077–5086. [Google Scholar] [CrossRef] [PubMed]
- Kusumawardani, P.N.; Cheng, W.; Purwanto, B.H.; Utami, S.N.H. Changes in the soil pH, EC, available P, DOC and inorganic N after land use change from rice paddy in northeast Japan. J. Wetl. Environ. Manag. 2017, 5, 53–61. [Google Scholar] [CrossRef]
- Nobile, C.M.; Bravin, M.N.; Becquer, T.; Paillat, J.M. Phosphorus sorption and availability in an andosol after a decade of organic or mineral fertilizer applications: Importance of pH and organic carbon modifications in soil as compared to phosphorus accumulation. Chemosphere 2020, 239, 124709. [Google Scholar] [CrossRef]







| Soil Properties | 0–30 cm Soil Depth | 30–60 cm Soil Depth | ||||||||||||||
|---|---|---|---|---|---|---|---|---|---|---|---|---|---|---|---|---|
| KS-MR | KS | BFS-MR | BFS | RYS-MR | RYS | FS-MR | FS | KS-MR | KS | BFS-MR | BFS | RYS-MR | RYS | FS-MR | FS | |
| pH | 4.76 ± 0.08 cd* | 4.50 ± 0.20 de* | 6.00 ± 0.02 a* | 5.61 ± 0.38 b | 4.99 ± 0.08 cd | 4.46 ± 0.19 e | 4.65 ± 0.02 d* | 5.06 ± 0.38 c | 5.16 ± 0.02 b | 5.05 ± 0.23 c | 5.80 ± 0.04 a | 5.44 ± 0.46 b | 4.99 ± 0.04 c | 4.48 ± 0.12 d | 5.09 ± 0.01 c | 5.21 ± 0.25 bc |
| EC (μs cm−1) | 250.60 ± 6.95 a | 217.39 ± 27.61 b* | 27.07 ± 0.21 e* | 81.32 ± 40.14 cd | 57.53 ± 1.90 d | 102.26 ± 18.36 c | 55.37 ± 1.54 d* | 61.97 ± 32.92 d | 233.63 ± 10.69 a | 287.32 ± 56.03 a | 24.57 ± 0.40 d | 66.02 ± 27.27 c | 54.27 ± 1.18 c | 112.78 ± 13.75 b | 47.50 ± 0.70 c | 52.81 ± 17.11 c |
| Total N (g kg−1) | 4.49 ± 0.05 b* | 5.11 ± 0.32 a | 2.19 ± 0.01 d* | 3.28 ± 0.97 c* | 0.67 ± 0.04 ef* | 1.05 ± 0.36 e | 0.49 ± 0.00 f* | 0.81 ± 0.47 ef | 4.89 ± 0.05 b | 5.30 ± 0.29 a | 0.48 ± 0.03 e | 1.16 ± 0.44 c | 0.87 ± 0.02 cd | 1.27 ± 0.30 c | 0.70 ± 0.01 d | 0.81 ± 0.11 d |
| SOC (g kg−1) | 63.50 ± 0.03 b* | 74.00 ± 4.60 a | 45.29 ± 0.17 c* | 65.92 ± 23.87 abc* | 2.78 ± 0.01 d* | 9.74 ± 5.79 d | 4.72 ± 0.04 d* | 7.72 ± 4.02 d | 71.19 ± 0.46 a | 78.64 ± 5.64 a | 7.70 ± 0.16 d | 21.62 ± 12.14 b | 4.50 ± 0.08 e | 12.64 ± 4.83 bcd | 9.56 ± 0.06 c | 7.68 ± 1.15 d |
| C/N | 14.14 ± 0.14 b* | 14.49 ± 0.40 b | 20.71 ± 0.09 a* | 19.62 ± 2.06 a | 4.19 ± 0.22 d* | 8.66 ± 2.08 c | 9.72 ± 0.04 c* | 9.77 ± 0.60 c | 14.57 ± 0.07 a | 14.82 ± 0.37 a | 16.18 ± 0.81 ab | 17.89 ± 3.78 a | 5.16 ± 0.07 d | 9.69 ± 2.09 c | 13.56 ± 0.17 b | 9.49 ± 0.19 c |
| P Fractions | Soil Depth (cm) | Land Use Type | |||
|---|---|---|---|---|---|
| KS | BFS | RYS | FS | ||
| Resin-P (mg kg−1) | 0–30 | 7.96 ± 3.01 b* | 26.97 ± 14.31 a* | 133.36 ± 119.22 a | 62.25 ± 35.97 a |
| 30–60 | 18.41 ± 5.92 b | 17.49 ± 9.75 b | 55.62 ± 20.33 a | 68.96 ± 34.00 a | |
| NaHCO3-Pi (mg kg−1) | 0–30 | 44.15 ± 14.85 b* | 73.40 ± 34.61 b* | 123.94 ± 89.02 a | 127.60 ± 81.83 a |
| 30–60 | 76.17 ± 22.98 b | 38.60 ± 24.70 c | 88.75 ± 33.31 b | 147.97 ± 43.22 a | |
| NaHCO3-Po (mg kg−1) | 0–30 | 44.98 ± 10.72 a | 29.24 ± 9.32 bc | 17.26 ± 8.97 c | 21.34 ± 11.39 bc |
| 30–60 | 43.26 ± 8.40 a | 22.53 ± 10.66 b | 12.17 ± 4.10 c | 21.37 ± 3.10 b | |
| NaOH-Pi (mg kg−1) | 0–30 | 621.50 ± 123.51 a | 371.69 ± 137.19 b* | 249.57 ± 109.15 c* | 236.68 ± 116.00 c |
| 30–60 | 629.03 ± 168.46 a | 153.96 ± 63.16 c | 162.18 ± 24.63 c | 244.83 ± 64.92 b | |
| NaOH-Po (mg kg−1) | 0–30 | 1003.35 ± 87.17 a* | 566.22 ± 131.33 b* | 178.44 ± 48.43 c | 174.34 ± 38.65 c |
| 30–60 | 844.41 ± 67.87 a | 281.06 ± 73.66 b | 162.19 ± 25.86 c | 188.17 ± 14.58 c | |
| HCl-Pi (mg kg−1) | 0–30 | 105.03 ± 21.37 a | 25.50 ± 13.74 c* | 10.74 ± 5.46 d | 58.08 ± 27.92 b |
| 30–60 | 107.14 ± 28.56 a | 6.25 ± 3.26 c | 7.96 ± 3.89 c | 74.64 ± 9.09 b | |
| Residual-P (mg kg−1) | 0–30 | 266.90 ± 41.39 a* | 106.07 ± 33.25 b* | 258.59 ± 78.74 a | 104.81 ± 36.86 b |
| 30–60 | 400.19 ± 64.44 a | 52.13 ± 24.21 c | 230.02 ± 37.78 b | 78.81 ± 18.14 c | |
| Total OP (mg kg−1) | 0–30 | 1048.33 ± 80.23 a* | 595.47 ± 129.44 b* | 195.70 ± 53.77 c | 195.68 ± 46.32 c |
| 30–60 | 887.66 ± 64.64 a | 303.59 ± 68.52 b | 174.36 ± 27.65 c | 209.54 ± 15.06 d | |
| Total IOP (mg kg−1) | 0–30 | 778.63 ± 151.41 a | 497.56 ± 187.82 b* | 517.62 ± 299.77 b | 484.60 ± 232.54 b |
| 30–60 | 830.75 ± 204.63 a | 216.29 ± 85.40 d | 314.51 ± 69.78 c | 536.39 ± 127.74 b | |
| Total LP (mg kg−1) | 0–30 | 97.09 ± 17.65 a* | 129.62 ± 47.59 a* | 274.56 ± 203.37 a | 211.18 ± 115.03 a |
| 30–60 | 137.84 ± 30.99 b | 78.62 ± 26.86 c | 156.54 ± 48.36 b | 238.30 ± 64.63 a | |
| Total NLP (mg kg−1) | 0–30 | 1996.78 ± 226.25 a | 1069.49 ± 286.98 b* | 697.35 ± 203.42 c | 573.90 ± 145.46 c |
| 30–60 | 1980.76 ± 233.26 a | 493.39 ± 154.05 b | 562.35 ± 75.31 b | 586.44 ± 81.11 b | |
| Total P (mg kg−1) | 0–30 | 2093.86 ± 260.25 a | 1199.11 ± 343.27 b* | 971.92 ± 420.37 bc | 785.09 ± 273.17 c |
| 30–60 | 2118.60 ± 269.57 a | 572.01 ± 171.46 c | 718.89 ± 126.67 bc | 824.74 ± 150.57 b | |
| Soil Types | Soil Depth (cm) | NaOH-Pi (%) | NaOH-Po (%) | HCl-Pi (%) | Residual-P (%) | Total NLP (%) |
|---|---|---|---|---|---|---|
| KS | 0–30 | 22 (151.79 ± 123.51) | 32 (279.93 ± 87.17) | 14 (50.63 ± 21.37) | 0 (−134.58 ± 41.39) | 97 (347.76 ± 238.49) |
| 30–60 | 50 (246.02 ± 168.46) | 6 (31.55 ± 67.87) | 10 (46.93 ± 28.56) | 23 (113.41 ± 64.44) | 89 (437.90 ± 245.88) | |
| BFS | 0–30 | 43 (250.00 ± 137.19) | 24 (137.19 ± 131.33) | 4 (14.05 ± 13.74) | 15 (81.08 ± 48.10) | 90 (482.34 ± 296.39) |
| 30–60 | 32 (87.50 ± 63.16) | 45 (123.83 ± 73.66) | 3 (−1.12 ± 3.26) | 0 (−10.01 ± 59.37) | 87 (200.19 ± 159.11) | |
| RYS | 0–30 | 35 (198.25 ± 109.15) | 14 (77.94 ± 48.43) | 1 (8.10 ± 5.46) | 5 (29.91 ± 78.74) | 55 (314.21 ± 214.43) |
| 30–60 | 25 (97.34 ± 24.63) | 17 (48.01 ± 25.86) | 9 (3.40 ± 3.89) | 0 (−52.42 ± 37.78) | 42 (96.34 ± 79.39) | |
| FS | 0–30 | 15 (12.62 ± 116.00) | 25 (29.92 ± 38.65) | 15 (13.65 ± 27.92) | 18 (18.14 ± 36.86) | 87 (74.32 ± 153.33) |
| 30–60 | 38 (174.35 ± 64.92) | 12 (53.19 ± 14.58) | 10 (47.92 ± 9.09) | 9 (40.32 ± 18.14) | 69 (315.77 ± 85.50) |
Disclaimer/Publisher’s Note: The statements, opinions and data contained in all publications are solely those of the individual author(s) and contributor(s) and not of MDPI and/or the editor(s). MDPI and/or the editor(s) disclaim responsibility for any injury to people or property resulting from any ideas, methods, instructions or products referred to in the content. |
© 2024 by the authors. Licensee MDPI, Basel, Switzerland. This article is an open access article distributed under the terms and conditions of the Creative Commons Attribution (CC BY) license (https://creativecommons.org/licenses/by/4.0/).
Share and Cite
Lu, C.; Sugihara, S.; Tanaka, H.; Tajima, R.; Matsumoto, S.; Ban, T. Phosphorus Dynamics in Japanese Blueberry Field: Long-Term Accumulation and Fractionation across Soil Types and Depths. Agronomy 2024, 14, 1947. https://doi.org/10.3390/agronomy14091947
Lu C, Sugihara S, Tanaka H, Tajima R, Matsumoto S, Ban T. Phosphorus Dynamics in Japanese Blueberry Field: Long-Term Accumulation and Fractionation across Soil Types and Depths. Agronomy. 2024; 14(9):1947. https://doi.org/10.3390/agronomy14091947
Chicago/Turabian StyleLu, Chun, Soh Sugihara, Haruo Tanaka, Ryosuke Tajima, Shingo Matsumoto, and Takuya Ban. 2024. "Phosphorus Dynamics in Japanese Blueberry Field: Long-Term Accumulation and Fractionation across Soil Types and Depths" Agronomy 14, no. 9: 1947. https://doi.org/10.3390/agronomy14091947
APA StyleLu, C., Sugihara, S., Tanaka, H., Tajima, R., Matsumoto, S., & Ban, T. (2024). Phosphorus Dynamics in Japanese Blueberry Field: Long-Term Accumulation and Fractionation across Soil Types and Depths. Agronomy, 14(9), 1947. https://doi.org/10.3390/agronomy14091947

