Multi-Year Insights into Industrial Hemp Growth in a Mediterranean Climate
Abstract
1. Introduction
2. Materials and Methods
3. Results
3.1. Fresh Biomass Production (t ha−1)
3.2. Fiber Content (%)
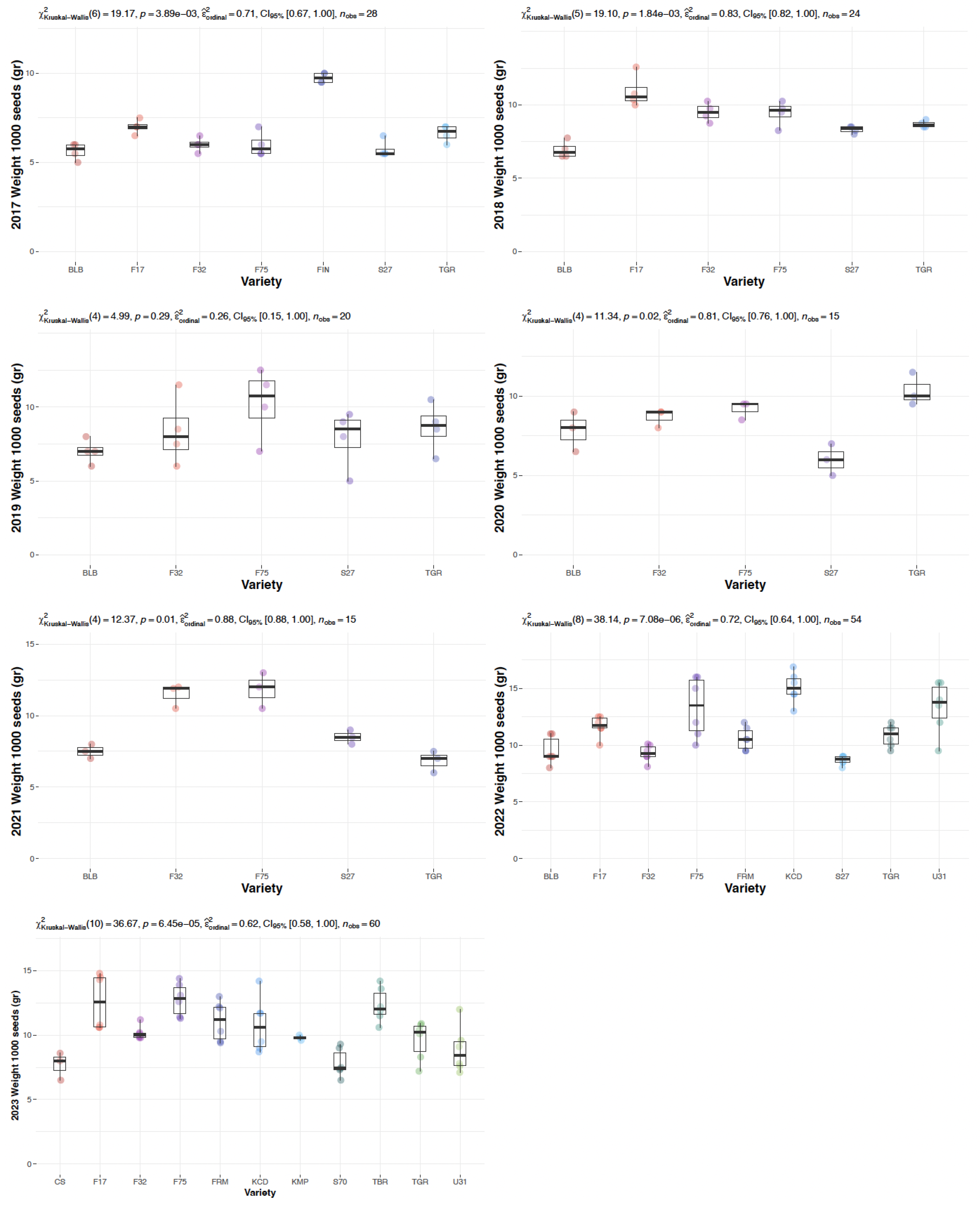
3.3. Weight of Thousand Seeds (g)
4. Discussion
5. Conclusions
Supplementary Materials
Author Contributions
Funding
Data Availability Statement
Conflicts of Interest
References
- Nava, V.; Albergamo, A.; Bartolomeo, G.; Rando, R.; Litrenta, F.; Lo Vecchio, G.; Giorgianni, M.C.; Cicero, N. Monitoring Cannabinoids and the Safety of the Trace Element Profile of Light Cannabis sativa L. from Different Varieties and Geographical Origin. Toxics 2022, 10, 758. [Google Scholar] [CrossRef] [PubMed]
- Schluttenhofer, C.; Yuan, L. Challenges towards Revitalizing Hemp: A Multifaceted Crop. Trends Plant Sci. 2017, 22, 917–929. [Google Scholar] [CrossRef]
- Kaur, G.; Kander, R. The sustainability of industrial hemp: A literature review of its economic, environmental, and Social Sustainability. Sustainability 2023, 15, 6457. [Google Scholar] [CrossRef]
- Baldini, M.; Ferfuia, C.; Zuliani, F.; Danuso, F. Suitability assessment of different hemp (Cannabis sativa L.) varieties to the cultivation environment. Ind. Crops Prod. 2020, 143, 111860. [Google Scholar] [CrossRef]
- Sikora, V.; Berenji, J.; Latković, D. Influence of agroclimatic conditions on content of main cannabinoids in industrial hemp (Cannabis sativa L.). Genetica 2011, 43, 449–456. [Google Scholar] [CrossRef]
- Tsaliki, E.; Kalivas, A.; Jankauskiene, Z.; Irakli, M.; Cook, C.; Grigoriadis, I.; Panoras, I.; Vasilakoglou, I.; Dimas, K. Fibre and Seed Productivity of Industrial Hemp (Cannabis sativa L.) Varieties under Mediterranean Conditions. Agronomy 2021, 11, 171. [Google Scholar] [CrossRef]
- Amaducci, S.; Scordia, D.; Liu, F.H.; Zhang, Q.; Guo, H.; Testa, G. Key cultivation techniques for hemp in Europe and China. Ind. Crops Prod. 2014, 68, 2–16. [Google Scholar] [CrossRef]
- Tsaliki, E.; Kalivas, A. Hemp Crop Opportunities. Ann. Agric. Crop Sci. 2024, 9, 1154. [Google Scholar]
- Kołodziej, J.; Pudełko, K.; Mańkowski, J. Energy and Biomass Yield of Industrial Hemp (Cannabis sativa L.) as Influenced by Seeding Rate and Harvest Time in Polish Agro-Climatic Conditions. J. Nat. Fibers 2023, 20, 2159609. [Google Scholar] [CrossRef]
- Mediavilla, V.; Jonquera, M.; Schmid-Slembrouck, I.; Soldati, A. A decimal code for growth stages of hemp (Cannabis sativa L.). J. Int. Hemp Assoc. 1998, 5, 65–74. [Google Scholar]
- Patil, I. Visualizations with statistical details: The ‘ggstatsplot’ approach. J. Open Source Softw. 2021, 6, 3167. [Google Scholar] [CrossRef]
- Vandepitte, K.; Vasile, S.; Vermeire, S.; Vanderhoeven, M.; Van der Borght, W.; Latré, J.; Roch, V. Hemp (Cannabis sativa L.) for high-value textile applications: The effective long fiber yield and quality of different hemp varieties, processed using industrial flax equipment. Ind. Crops Prod. 2020, 158, 112969. [Google Scholar] [CrossRef]
- Rahemi, A.; Dhakal, R.; Temu, V.W.; Rutto, L.; Kering, M.K. Performance of Different-Use Type Industrial Hemp Cultivars under Mid-Atlantic Region Conditions. Agronomy 2021, 11, 2321. [Google Scholar] [CrossRef]
- Sausserde, R.; Adamovics, A. Industrial hemp for biomass production. J. Agric. Eng. 2013, 44, s2. [Google Scholar] [CrossRef]
- Papastylianou, P.; Kakabouki, I.; Travlos, I. Effect of nitrogen fertilization on growth and yield of industrial hemp (Cannabis sativa L.). Not. Bot. Horti Agrobot. 2018, 46, 197–201. [Google Scholar] [CrossRef]
- Jankauskiene, Z.; Gruzdeviene, E.; Ivanovs, S.; Maumevicius, E. Screening hemp (Cannabis sativa L.) biomass and chemical composition as influenced by seed rate and genotype. Proc. Eng. R. Dev. 2017, 16, 317–322. [Google Scholar] [CrossRef]
- Panda, A.O.; Buzna, C.C.; Cojocariu, C.; Cotuna, O.; Pop, G. Expression of the productivity of some varieties of dioic hemp (Cannabis sativa L.) in the conditions of the Banat plain. Life Sci. Sustain. Dev. 2021, 2, 104–111. [Google Scholar] [CrossRef]
- Cappelletto, P.; Brizzi, M.; Mongardini, F.; Barberi, B.; Sannibale, M.; Nenci, G.; Poli, M.; Corsi, G.; Grassi, G.; Pasini, P. Italy-grown hemp: Yield, composition and cannabinoid content. Ind. Crops Prod. 2001, 13, 101–113. [Google Scholar] [CrossRef]
- Di Bari, V.; Campi, P.; Colucci, R.; Mastrorilli, M. Potential productivity of fibre hemp in southern Europe. Euphytica 2004, 140, 25–32. [Google Scholar] [CrossRef]
- Zhang, M.; Anderson, S.L.; Brym, Z.T.; Pearson, B.J. Photoperiodic Flowering Response of Essential Oil, Grain, and Fiber Hemp (Cannabis sativa L.) Cultivars. Front. Plant Sci. 2021, 12, 694153. [Google Scholar] [CrossRef]
- Amaducci, S.; Colauzzi, M.; Bellocchi, G.; Cosentino, S.L.; Pahkala, K.; Stomph, T.J.; Westerhuis, W.; Zatta, A.; Venturi, G. Evaluation of a phenological model for strategic decisions for hemp (Cannabis sativa L.) biomass production across European sites. Ind. Crops Prod. 2012, 37, 100–110. [Google Scholar] [CrossRef]
- Carus, M.; Karst, S.; Kauffmann, A.; Hobson, J.; Bertucelli, S. The european hemp industry: Cultivation, processing and applications for fibres, shives and seeds. Eur. Ind. Hemp Assoc. 2013, 1–9. Available online: https://renewable-carbon.eu/publications/download-confirmation-page/?somdn_rrpage=somdn_rrpage&somdn_rrtdid=244957&somdn_rrdkey=MjQ0OTU3&somdn_rrskey=MTcyNDgzNDAyNA=&somdn_rrpkey=MjEzMA=&somdn_rrukey=MA=&somdn_rrtype=cmVkaXJlY3Q (accessed on 3 June 2024).
- Tang, K.; Struik, P.C.; Yin, X.; Thouminot, C.; Bjelkova, M.; Stramkale, V. Comparing hemp (Cannabis sativa L.) cultivars for dual-purpose production under contrasting environments. Ind. Crops Prod. 2016, 87, 33–46. [Google Scholar] [CrossRef]
- Amaducci, S.; Zatta, A.; Pelatti, F.; Venturi, G. Influence of agronomic factors on yield and quality of hemp (Cannabis sativa L.) fibre and implication for an innovative production system. Field Crops Res. 2008, 107, 161–169. [Google Scholar] [CrossRef]
- Sankari, H.S. Comparison of bast fibre yield and mechanical fibre properties of hemp (Cannabis sativa L.) cultivars. Ind. Crops Prod. 2000, 11, 73–84. [Google Scholar] [CrossRef]
- Petit, J.; Salentijn, E.M.J.; Paulo, M.J.; Denneboom, C.; van Loo, E.N.; Trindade, L.M. Elucidating the Genetic Architecture of Fiber Quality in Hemp (Cannabis sativa L.) Using a Genome-Wide Association Study. Front. Genet. 2020, 11, 566314. [Google Scholar] [CrossRef] [PubMed]
- Westerhuis, W.; Amaducci, S.; Struik, P.C.; Zatta, A.; Van Dam, J.E.; Stomph, T.J. Sowing density and harvest time affect fibre content in hemp (Cannabis sativa) through their effects on stem weight. Ann. Appl. Biol. 2009, 155, 225–244. [Google Scholar] [CrossRef]
- Michal, P.; Svehla, P.; Malik, M.; Kaplan, L.; Hanc, A.; Tlustos, P. Production of biogas from the industrial hemp variety, Tiborszállási. Environ. Technol. Innov. 2023, 31, 103185. [Google Scholar] [CrossRef]
- Karinaplant.hu. Available online: https://karinaplant.hu/en/hungarian-hemp-breeding-is-world-famous/ (accessed on 3 June 2024).
- Höppner, F.; Menge-Hartmann, U. Yield and quality of fibre and oil of fourteen hemp cultivars in Northern Germany at two harvest dates. Landbauforsch. Völkenrode 2007, 3, 219–232. [Google Scholar]
- Baldini, M.; Ferfuia, C.; Piani, B.; Sepulcri, A.; Dorigo, G.; Zuliani, F.; Danuso, F.; Cattivello, C. The Performance and Potentiality of Monoecious Hemp (Cannabis sativa L.) Cultivars as a Multipurpose Crop. Agronomy 2018, 8, 162. [Google Scholar] [CrossRef]
- De Vos, B.; Fernandez De Souza, M.; Michels, E.; Meers, E. Industrial hemp (Cannabis sativa L.) field cultivation in a phytoattenuation strategy and valorization potential of the fibers for textile production. Environ. Sci. Pollut. Res. 2023, 30, 41665–41681. [Google Scholar] [CrossRef] [PubMed]




| Year of Cultivation | ||||||||||
|---|---|---|---|---|---|---|---|---|---|---|
| Registered Variety | Brief Name | Origin | Sexual Type | 2017 | 2018 | 2019 | 2020 | 2021 | 2022 | 2023 |
| BIALOBRZESKIE | BLB | Poland | monoecious | X 1 | X | X | X | X | X | |
| CARMAGNOLA | CRM | Italy | dioecious | X | X | X | ||||
| CARMAGNOLA SELEZIONATE | CS | Italy | dioecious | X | X | X | X | X | ||
| FEDORA 17 | F17 | France | monoecious | X | X | X | X | X | X | X |
| FELINA 32 | F32 | France | monoecious | X | X | X | X | X | X | X |
| FERIMON | FRM | France | monoecious | X | X | X | X | X | X | |
| FUTURA 75 | F75 | France | monoecious | X | X | X | X | X | X | X |
| KC DORA | KCD | Hungary | monoecious | X | X | X | X | X | ||
| KOMPOLTI | KMP | Hungary | dioecious | X | X | |||||
| SANTHICA 27 | S27 | France | monoecious | X | X | X | X | X | X | |
| SANTHICA 70 | S70 | France | monoecious | X | X | X | X | |||
| TIBORZALLASI | TBR | Hungary | dioecious | X | X | |||||
| TYGRA | TGR | Poland | monoecious | X | X | X | X | X | X | X |
| USO 31 | U31 | Ukraine | monoecious | X | X | X | X | X | X | |
| Year | Sand (%) | Silt (%) | Clay (%) | pH | Organic Matter (%) | EC (mS/cm) | NO3-N (mg/kg) | P (mg/kg) | K (mg/kg) |
|---|---|---|---|---|---|---|---|---|---|
| Field A | |||||||||
| 2017 | 38 | 40 | 22 | 7.9 | 1.4 | 0.491 | 7.0 | 9.0 | 471 |
| 2019 | 48 | 36 | 16 | 7.8 | 1.6 | 0.555 | 13.5 | 13.43 | 607 |
| 2021 | 40 | 38 | 22 | 7.7 | 1.3 | 0.443 | 3.6 | 10.7 | 320 |
| 2023 | 42 | 36 | 22 | 7.7 | 2.2 | 0.472 | 7.8 | 9.1 | 337 |
| Field B | |||||||||
| 2018 | 50 | 36 | 14 | 7.6 | 1.1 | 0.74 | 10.5 | 4.1 | 115 |
| 2020 | 42 | 42 | 16 | 7.8 | 1.4 | 1.183 | 18.3 | 7.6 | 169 |
| 2022 | 52 | 34 | 14 | 7.9 | 1.2 | 0.451 | 7.1 | 3.6 | 138 |
| Fertilization Rate kg ha−1 | Harvesting | ||||||
|---|---|---|---|---|---|---|---|
| Basic | N-Topdressing | DAS | |||||
| Year | Sowing Date | 20.5-0-0 | 0-46-0 | 0-0-50 | 33.5-0-0 | Biomass | Seeds |
| 2017 | 3 April | 350 | 330 | 0 | 200 | 99 | 130 |
| 2018 | 12 April | 350 | 300 | 150 | 150 | 95 | 110 |
| 2019 | 3 April | 250 | 300 | 0 | 150 | 97 | 110 |
| 2020 | 14 April | 200 | 300 | 100 | 200 | 105 | 125 |
| 2021 | 6 April | 450 | 330 | 50 | 300 | 95 | 110 |
| 2022 | 12 April | 350 | 300 | 100 | 300 | 95 | 120 |
| 2023 | 25 April | 400 | 330 | 50 | 200 | 110 | 130 |
| Average Temperature (°C) | |||||
|---|---|---|---|---|---|
| April | May | June | July | August | |
| 2017 | 14.4 | 19.7 | 25.1 | 26.6 | 27.1 |
| 2018 | 16.8 | 21.0 | 23.7 | 26.4 | 26.2 |
| 2019 | 14.5 | 19.6 | 25.9 | 27.1 | 28.2 |
| 2020 | 13.4 | 19.6 | 24.0 | 27.1 | 26.7 |
| 2021 | 13.3 | 20.6 | 24.4 | 28.6 | 28.6 |
| 2022 | 14.7 | 20.7 | 25.6 | 27.5 | 27.1 |
| 2023 | 14.0 | 18.0 | 23.3 | 28.8 | 27.8 |
Disclaimer/Publisher’s Note: The statements, opinions and data contained in all publications are solely those of the individual author(s) and contributor(s) and not of MDPI and/or the editor(s). MDPI and/or the editor(s) disclaim responsibility for any injury to people or property resulting from any ideas, methods, instructions or products referred to in the content. |
© 2024 by the authors. Licensee MDPI, Basel, Switzerland. This article is an open access article distributed under the terms and conditions of the Creative Commons Attribution (CC BY) license (https://creativecommons.org/licenses/by/4.0/).
Share and Cite
Tsaliki, E.; Moysiadis, T.; Kalivas, A.; Panoras, I.; Grigoriadis, I. Multi-Year Insights into Industrial Hemp Growth in a Mediterranean Climate. Agronomy 2024, 14, 1946. https://doi.org/10.3390/agronomy14091946
Tsaliki E, Moysiadis T, Kalivas A, Panoras I, Grigoriadis I. Multi-Year Insights into Industrial Hemp Growth in a Mediterranean Climate. Agronomy. 2024; 14(9):1946. https://doi.org/10.3390/agronomy14091946
Chicago/Turabian StyleTsaliki, Eleni, Theodoros Moysiadis, Apostolos Kalivas, Ioannis Panoras, and Ioannis Grigoriadis. 2024. "Multi-Year Insights into Industrial Hemp Growth in a Mediterranean Climate" Agronomy 14, no. 9: 1946. https://doi.org/10.3390/agronomy14091946
APA StyleTsaliki, E., Moysiadis, T., Kalivas, A., Panoras, I., & Grigoriadis, I. (2024). Multi-Year Insights into Industrial Hemp Growth in a Mediterranean Climate. Agronomy, 14(9), 1946. https://doi.org/10.3390/agronomy14091946

