SAW-YOLO: A Multi-Scale YOLO for Small Target Citrus Pests Detection
Abstract
1. Introduction
2. Materials and Methods
2.1. Data Collection and Preprocessing
2.2. Model Design
2.2.1. The Structure of the YOLOv8 Model
2.2.2. The Method of Improved YOLOv8n Model
- SPD Module
- 2.
- Attention Feature Fusion Distribution Head, AFFD-Head
- 3.
- Loss Function: Wise-IOUv3
2.2.3. Training Environment and Evaluation Indicators
3. Results and Discussion
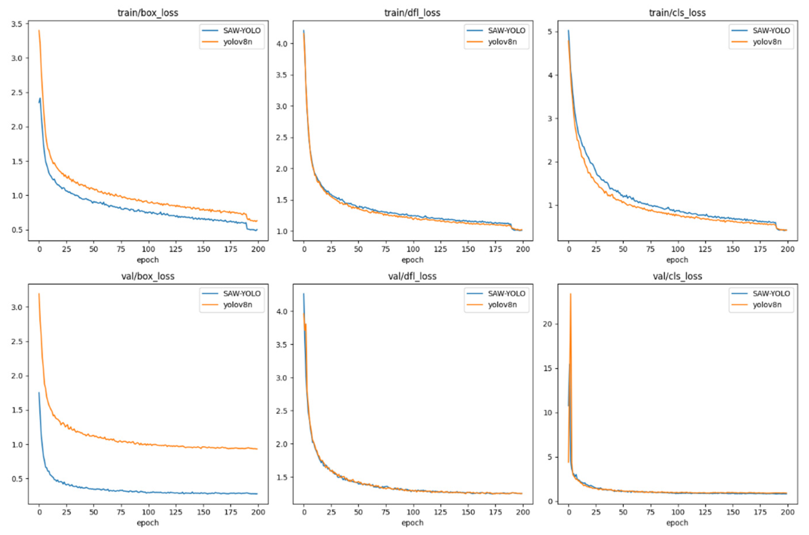
3.1. The Comparison of Various Mainstream Models
Accuracy Comparison
3.2. Ablation Experiments
3.3. Performance of Multi-Scale Object Detection
4. Conclusions
Author Contributions
Funding
Data Availability Statement
Acknowledgments
Conflicts of Interest
References
- Van Der Ploeg, J.D. Peasant-Driven Agricultural Growth and Food Sovereignty. J. Peasant. Stud. 2014, 41, 999–1030. [Google Scholar] [CrossRef]
- Fennell, J.T.; Fountain, M.T.; Paul, N.D. Direct Effects of Protective Cladding Material on Insect Pests in Crops. Crop Prot. 2019, 121, 147–156. [Google Scholar] [CrossRef]
- Chen, K.; Tian, Z.; He, H.; Long, C.; Jiang, F. Bacillus Species as Potential Biocontrol Agents against Citrus Diseases. Biol. Control 2020, 151, 104419. [Google Scholar] [CrossRef]
- Qiang, J. Detection of Citrus Pests in Double Backbone Network Based on Single Shot Multibox Detector. Comput. Electron. Agric. 2023, 212, 108158. [Google Scholar] [CrossRef]
- Li, W.; Zheng, T.; Yang, Z.; Li, M.; Sun, C.; Yang, X. Classification and Detection of Insects from Field Images Using Deep Learning for Smart Pest Management: A Systematic Review. Ecol. Inform. 2021, 66, 101460. [Google Scholar] [CrossRef]
- Preti, M.; Verheggen, F.; Angeli, S. Insect Pest Monitoring with Camera-Equipped Traps: Strengths and Limitations. J. Pest Sci. 2021, 94, 203–217. [Google Scholar] [CrossRef]
- Dargan, S.; Kumar, M.; Ayyagari, M.R.; Kumar, G. A Survey of Deep Learning and Its Applications: A New Paradigm to Machine Learning. Arch. Computat. Methods Eng. 2020, 27, 1071–1092. [Google Scholar] [CrossRef]
- Girshick, R. Fast R-CNN. In Proceeding of the IEEE International Conference on Computer Vision, Santiago, Chile, 7–13 December 2015. [Google Scholar]
- Ren, S.; He, K.; Girshick, R.; Sun, J. Faster R-CNN: Towards Real-Time Object Detection with Region Proposal Networks. IEEE Trans. Pattern Anal. Mach. Intell. 2016, 39, 1137–1149. [Google Scholar] [CrossRef] [PubMed]
- He, K.; Gkioxari, G.; Dollár, P.; Girshick, R. Mask R-CNN. arXiv 2018, arXiv:1703.06870. [Google Scholar]
- Redmon, J.; Divvala, S.; Girshick, R.; Farhadi, A. You Only Look Once: Unified, Real-Time Object Detection 2016. In Proceeding of the IEEE Conference on Computer Vision and Pattern Recognition, Las Vegas, NV, USA, 27–30 June 2016. [Google Scholar]
- Redmon, J.; Farhadi, A. YOLOv3: An Incremental Improvement. arXiv 2018, arXiv:1804.02767. [Google Scholar]
- Bochkovskiy, A.; Wang, C.-Y.; Liao, H.-Y.M. YOLOv4: Optimal Speed and Accuracy of Object Detection. arXiv 2020, arXiv:2004.10934. [Google Scholar]
- Liu, W.; Anguelov, D.; Erhan, D.; Szegedy, C.; Reed, S.; Fu, C.-Y.; Berg, A.C. SSD: Single Shot MultiBox Detector. In Computer Vision–ECCV 2016: 14th European Conference, Amsterdam, The Netherlands, 11–14 October 2016; Springer International Publishing: Heidelberg, Germany, 2016; Volume 9905, pp. 21–37. [Google Scholar]
- Carion, N.; Massa, F.; Synnaeve, G.; Usunier, N.; Kirillov, A.; Zagoruyko, S. End-to-End Object Detection with Transformers. In Computer Vision–ECCV 2020; Vedaldi, A., Bischof, H., Brox, T., Frahm, J.-M., Eds.; Lecture Notes in Computer Science; Springer International Publishing: Heidelberg, Germany, 2020; Volume 12346, pp. 213–229. ISBN 978-3-030-58451-1. [Google Scholar]
- Liu, Z.; Lin, Y.; Cao, Y.; Hu, H.; Wei, Y.; Zhang, Z.; Lin, S.; Guo, B. Swin Transformer: Hierarchical Vision Transformer Using Shifted Windows. Available online: https://arxiv.org/abs/2103.14030v2 (accessed on 20 March 2023).
- Song, H.; Sun, D.; Chun, S.; Jampani, V.; Han, D.; Heo, B.; Kim, W.; Yang, M.-H. ViDT: An Efficient and Effective Fully Transformer-Based Object Detector. arXiv 2021, arXiv:2110.03921. [Google Scholar]
- Islam, S.; Elmekki, H.; Elsebai, A.; Bentahar, J.; Drawel, N.; Rjoub, G.; Pedrycz, W. A Comprehensive Survey on Applications of Transformers for Deep Learning Tasks. Expert Syst. Appl. 2024, 241, 122666. [Google Scholar] [CrossRef]
- Du, X.; Cheng, H.; Ma, Z.; Lu, W.; Wang, M.; Meng, Z.; Jiang, C.; Hong, F. DSW-YOLO: A Detection Method for Ground-Planted Strawberry Fruits under Different Occlusion Levels. Comput. Electron. Agric. 2023, 214, 108304. [Google Scholar] [CrossRef]
- Betti Sorbelli, F.; Palazzetti, L.; Pinotti, C.M. YOLO-Based Detection of Halyomorpha Halys in Orchards Using RGB Cameras and Drones. Comput. Electron. Agric. 2023, 213, 108228. [Google Scholar] [CrossRef]
- Yang, Y.; Xiao, Y.; Chen, Z.; Tang, D.; Li, Z.; Li, Z. FCBTYOLO: A Lightweight and High-Performance Fine Grain Detection Strategy for Rice Pests. IEEE Access 2023, 11, 101286–101295. [Google Scholar] [CrossRef]
- Jia, X.; Jiang, X.; Li, Z.; Mu, J.; Wang, Y.; Niu, Y. Application of Deep Learning in Image Recognition of Citrus Pests. Agriculture 2023, 13, 1023. [Google Scholar] [CrossRef]
- Syed-Ab-Rahman, S.F.; Hesamian, M.H.; Prasad, M. Citrus Disease Detection and Classification Using End-to-End Anchor-Based Deep Learning Model. Appl. Intell. 2022, 52, 927–938. [Google Scholar] [CrossRef]
- Dai, F.; Wang, F.; Yang, D.; Lin, S.; Chen, X.; Lan, Y.; Deng, X. Detection Method of Citrus Psyllids With Field High-Definition Camera Based on Improved Cascade Region-Based Convolution Neural Networks. Front. Plant Sci. 2022, 12, 816272. [Google Scholar] [CrossRef]
- Sunkara, R.; Luo, T. No More Strided Convolutions or Pooling: A New CNN Building Block for Low-Resolution Images and Small Objects; Springer Nature: Cham, Switzerland, 2022. [Google Scholar]
- Du, Y.; Zhong, S.; Fang, H.; Wang, N.; Liu, C.; Wu, D.; Sun, Y.; Xiang, M. Modeling Automatic Pavement Crack Object Detection and Pixel-Level Segmentation. Autom. Constr. 2023, 150, 104840. [Google Scholar] [CrossRef]
- Zhu, L.; Wang, X.; Ke, Z.; Zhang, W.; Lau, R. BiFormer: Vision Transformer with Bi-Level Routing Attention. In Proceeding of the IEEE/CVF Conference on Computer Vision and Pattern Recognition, Vancouver, BC, Canada, 17–24 June 2023. [Google Scholar]
- Ding, X.; Zhang, X.; Han, J.; Ding, G. Diverse Branch Block: Building a Convolution as an Inception-like Unit. In Proceedings of the IEEE/CVF Conference on Computer Vision and Pattern Recognition, Nashville, TN, USA, 20–25 June 2021. [Google Scholar]
- Jocher, G. Ultralytics YOLO (Version8.0.0) [Computer Software]. Available online: https://github.com/ultralytics (accessed on 10 January 2024).
- Wu, X.; Zhan, C.; Lai, Y.-K.; Cheng, M.-M.; Yang, J. IP102: A Large-Scale Benchmark Dataset for Insect Pest Recognition. In Proceedings of the 2019 IEEE/CVF Conference on Computer Vision and Pattern Recognition (CVPR), Long Beach, CA, USA, June 2019; IEEE: New York, NY, USA, 2019; pp. 8779–8788. [Google Scholar]
- Lin, T.-Y.; Maire, M.; Belongie, S.; Hays, J.; Perona, P.; Ramanan, D.; Dollár, P.; Zitnick, C.L. Microsoft COCO: Common Objects in Context. In Computer Vision–ECCV 2014; Fleet, D., Pajdla, T., Schiele, B., Tuytelaars, T., Eds.; Lecture Notes in Computer Science; Springer International Publishing: Heidelberg, Germany, 2014; Volume 8693, pp. 740–755. ISBN 978-3-319-10601-4. [Google Scholar]
- Wang, C.-Y.; Bochkovskiy, A.; Liao, H.-Y.M. YOLOv7: Trainable Bag-of-Freebies Sets New State-of-the-Art for Real-Time Object Detectors. In Proceedings of the 2023 IEEE/CVF Conference on Computer Vision and Pattern Recognition (CVPR), Vancouver, BC, Canada, 17–24 June 2023; pp. 7464–7475. [Google Scholar]
- Jocher, G. YOLOv5 by Ultralytics (Version 7.0) [Computer Software]. 2020. Available online: https://zenodo.org/records/7347926 (accessed on 22 November 2022).
- Ge, Z.; Liu, S.; Wang, F.; Li, Z.; Sun, J. YOLOX: Exceeding YOLO Series in 2021. arXiv 2021, arXiv:2107.08430. [Google Scholar]
- Tong, Z.; Chen, Y.; Xu, Z.; Yu, R. Wise-IoU: Bounding Box Regression Loss with Dynamic Focusing Mechanism. arXiv 2023, arXiv:2301.10051. [Google Scholar]
- Tishby, N.; Zaslavsky, N. Deep Learning and the Information Bottleneck Principle. In Ieee Information Theory Workshop (itw); IEEE: New York, NY, USA, 2015. [Google Scholar]
- Wang, C.-Y.; Yeh, I.-H.; Liao, H.-Y.M. YOLOv9: Learning What You Want to Learn Using Programmable Gradient Information. arXiv 2024, arXiv:2402.13616. [Google Scholar]
- Wang, C.; He, W.; Nie, Y.; Guo, J.; Liu, C.; Han, K.; Wang, Y. Gold-YOLO: Efficient Object Detector via Gather-and-Distribute Mechanism. In Proceedings of the Advances in Neural Information Processing Systems, New Orleans, LA, USA, 10–16 December 2023. [Google Scholar]












| Class | Species Name (Average Length (mm)) | Training Samples | Validation Samples | Test Samples |
|---|---|---|---|---|
| 1 | Adristyrannus (96–106) | 277 | 76 | 44 |
| 2 | Aleurocanthus spiniferus (1–1.3) | 2164 | 596 | 365 |
| 3 | Bactrocera tsuneonis (9.9–12) | 104 | 17 | 20 |
| 4 | Ceroplastes rubens (1–2.5) | 236 | 75 | 22 |
| 5 | Chrysomphalus aonidum | 773 | 122 | 79 |
| 6 | Panonchus citri McGregor (1.5–2) | 346 | 83 | 26 |
| 7 | Papilio Xuthus (3–40) | 290 | 90 | 48 |
| 8 | Parlatoria zizyphus Lucus (1.5–2) | 63 | 15 | 7 |
| 9 | Phyllocnistis citrella Stainton (0.5–4) | 62 | 24 | 15 |
| 10 | Phyllocoptes olives ashmead (0.1–1) | 242 | 123 | 32 |
| 11 | Prodenia litura imago (14–20) | 133 | 46 | 19 |
| 12 | Prodenia litura larvae (14–40) | 225 | 58 | 36 |
| 13 | Toxoptera aurantii (0.2–0.5) | 552 | 264 | 75 |
| Small | 1049 | 334 | 155 | |
| Medium | 2432 | 612 | 336 | |
| Large | 1986 | 643 | 297 | |
| Total | 5467 | 1589 | 788 |
| Models | ||||
|---|---|---|---|---|
| SwinTransformer | 72.9 | 47.2 | 60.6 | 68.752 |
| SSD | 69.7 | 44.4 | 54.7 | 25.35 |
| Faster-RCNN | 78.3 | 45.8 | 55.5 | 51.753 |
| YOLOv3 | 89.1 | 76.1 | 78.1 | 61.588 |
| YOLOv5n | 87.5 | 70.2 | 79.2 | 3.247 |
| YOLOv6n | 88.3 | 72.5 | 78.7 | 4.239 |
| YOLOv8n | 87.0 | 71.1 | 77.9 | 3.157 |
| YOLOv8s | 89.4 | 75.7 | 79.5 | 11.141 |
| YOLOx-s | 81.2 | 63.2 | 64.3 | 8.942 |
| SAW-YOLO | 90.3 | 74.3 | 80.5 | 4.58 |
| Methods | SPDM | AFFD | WIoUv3 | |||||
|---|---|---|---|---|---|---|---|---|
| YOLOv8 | 87.0 | 71.1 | 3.16 | 120.8 | 6.2M | |||
| YOLOv8+SPDM | √ | 88.4(+1.4) | 72.8(+1.7) | 4.19 | 117.7 | 8.2M | ||
| YOLOv8+AFFD | √ | 87.3(+0.3) | 71.2(+0.1) | 3.43 | 81.9 | 6.9M | ||
| YOLOv8+WIoUv3 | √ | 88.6(+1.6) | 72.1(+1.0) | 3.16 | 124.8 | 6.2M | ||
| YOLOv8+S+A | √ | √ | 89.1(+2.1) | 73.7(+2.6) | 4.58 | 81.8 | 8.8M | |
| YOLOv8+S+W | √ | √ | 89.3(+2.3) | 73.1(+2.0) | 4.19 | 98.4 | 8.2M | |
| YOLOv8+A+W | √ | √ | 88.2(+1.2) | 72.5(+1.4) | 3.43 | 89.0 | 6.9M | |
| SAW-YOLO | √ | √ | √ | 90.3(+3.3) | 74.3(+3.2) | 4.58 | 82.9 | 8.8M |
| Models | ||||
|---|---|---|---|---|
| SwinTransformer | 31.3 | 43.4 | 53.0 | 68.752 |
| Faster-RCNN | 26.3 | 41.9 | 51.4 | 51.753 |
| YOLOv3 | 47.9 | 68.48 | 85.0 | 61.588 |
| YOLOv5n | 28.6 | 70.1 | 80.6 | 3.247 |
| YOLOv6n | 41.6 | 66.7 | 81.7 | 4.239 |
| YOLOx-s | 30.6 | 51.1 | 63.0 | 8.942 |
| YOLOv8n | 37.8 | 60.1 | 76.0 | 3.157 |
| YOLOv8s | 43.0 | 70.3 | 84.5 | 11.141 |
| SAW-YOLO | 45.3 | 70.8 | 77.4 | 4.58 |
Disclaimer/Publisher’s Note: The statements, opinions and data contained in all publications are solely those of the individual author(s) and contributor(s) and not of MDPI and/or the editor(s). MDPI and/or the editor(s) disclaim responsibility for any injury to people or property resulting from any ideas, methods, instructions or products referred to in the content. |
© 2024 by the authors. Licensee MDPI, Basel, Switzerland. This article is an open access article distributed under the terms and conditions of the Creative Commons Attribution (CC BY) license (https://creativecommons.org/licenses/by/4.0/).
Share and Cite
Wu, X.; Liang, J.; Yang, Y.; Li, Z.; Jia, X.; Pu, H.; Zhu, P. SAW-YOLO: A Multi-Scale YOLO for Small Target Citrus Pests Detection. Agronomy 2024, 14, 1571. https://doi.org/10.3390/agronomy14071571
Wu X, Liang J, Yang Y, Li Z, Jia X, Pu H, Zhu P. SAW-YOLO: A Multi-Scale YOLO for Small Target Citrus Pests Detection. Agronomy. 2024; 14(7):1571. https://doi.org/10.3390/agronomy14071571
Chicago/Turabian StyleWu, Xiaojiang, Jinzhe Liang, Yiyu Yang, Zhenghao Li, Xinyu Jia, Haibo Pu, and Peng Zhu. 2024. "SAW-YOLO: A Multi-Scale YOLO for Small Target Citrus Pests Detection" Agronomy 14, no. 7: 1571. https://doi.org/10.3390/agronomy14071571
APA StyleWu, X., Liang, J., Yang, Y., Li, Z., Jia, X., Pu, H., & Zhu, P. (2024). SAW-YOLO: A Multi-Scale YOLO for Small Target Citrus Pests Detection. Agronomy, 14(7), 1571. https://doi.org/10.3390/agronomy14071571

